Rapid and Visual Screening of Virus Infection in Sugar Beets Through Polerovirus-Induced Gene Silencing
Abstract
1. Introduction
2. Materials and Methods
2.1. Plant Material
2.2. Construction of Recombinant BMYV-SUL
2.3. Viral Infection of Beta Vulgaris by Agroinoculation
2.4. Sample and ELISA Standards Preparation for ELISA
2.5. Calibration Curve, Virus Detection, and Semi-Quantification by TAS-ELISA
2.6. Statistical Modelling
2.7. Non-Linear Transformation of OD Values
2.8. Statistical Analysis
2.9. Viral Progeny Analysis by RT-PCR and Sanger Sequencing
2.10. Viral RNA Detection by Northern Blot
2.11. Small RNA Detection by Northern Blot
3. Results
3.1. Virus-Induced Gene Silencing Mediated by BMYV in Sugar Beet
3.2. Evaluation of Recombinant BMYV-SUL Based VIGS in Different Sugar Beet Lines
3.3. Estimation of Viral Concentration from Transformed ELISA Absorbance Values
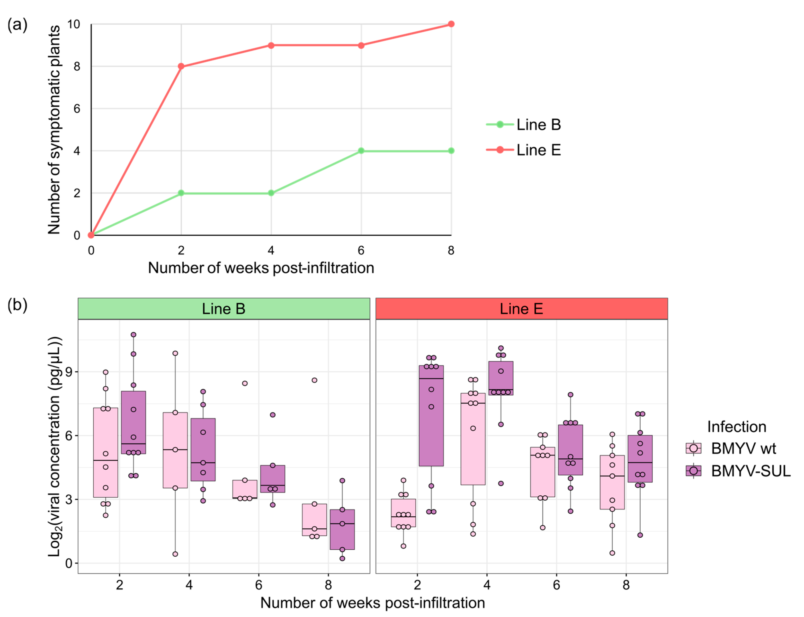
3.4. Time Course Analysis of BMYV-SUL Infection and Symptom Development
3.5. Analysis of Viral and Small Interfering RNAs in BMYV-SUL-Infected Plants
3.6. Persistence of VIGS Symptoms in Sugar Beets
4. Discussion
5. Conclusions
Supplementary Materials
Author Contributions
Funding
Institutional Review Board Statement
Informed Consent Statement
Data Availability Statement
Acknowledgments
Conflicts of Interest
References
- De Lucchi, C.; Biancardi, E.; Skaracis, G.; De Biaggi, M.; Pavli, O.; Ravi, S.; Chiodi, C.; Broccanello, C.; Stevanato, P. Sugar Beet (Beta vulgaris ssp. Vulgaris L.) Improvement with Next-Generation Breeding Technology. In Advances in Plant Breeding Strategies: Vegetable Crops: Volume 8: Bulbs, Roots and Tubers; Al-Khayri, J.M., Jain, S.M., Johnson, D.V., Eds.; Springer International Publishing: Cham, Switzerland, 2021; pp. 305–343. ISBN 978-3-030-66965-2. [Google Scholar]
- Hossain, R.; Menzel, W.; Lachmann, C.; Varrelmann, M. New Insights into Virus Yellows Distribution in Europe and Effects of Beet Yellows Virus, Beet Mild Yellowing Virus, and Beet Chlorosis Virus on Sugar Beet Yield Following Field Inoculation. Plant Pathol. 2021, 70, 584–593. [Google Scholar] [CrossRef]
- LaTourrette, K.; Holste, N.M.; Garcia-Ruiz, H. Polerovirus Genomic Variation. Virus Evol. 2021, 7, veab102. [Google Scholar] [CrossRef] [PubMed]
- Boissinot, S.; Pichon, E.; Sorin, C.; Piccini, C.; Scheidecker, D.; Ziegler-Graff, V.; Brault, V. Systemic Propagation of a Fluorescent Infectious Clone of a Polerovirus Following Inoculation by Agrobacteria and Aphids. Viruses 2017, 9, 166. [Google Scholar] [CrossRef] [PubMed]
- Boissinot, S.; Ducousso, M.; Brault, V.; Drucker, M. Bioluminescence Production by Turnip Yellows Virus Infectious Clones: A New Way to Monitor Plant Virus Infection. Int. J. Mol. Sci. 2022, 23, 13685. [Google Scholar] [CrossRef]
- Nurkiyanova, K.M.; Ryabov, E.V.; Commandeur, U.; Duncan, G.H.; Canto, T.; Gray, S.M.; Mayo, M.A.; Taliansky, M.E. Tagging Potato Leafroll Virus with the Jellyfish Green Fluorescent Protein Gene. J. Gen. Virol. 2000, 81, 617–626. [Google Scholar] [CrossRef]
- Sakin, V.; Paci, G.; Lemke, E.A.; Müller, B. Labeling of Virus Components for Advanced, Quantitative Imaging Analyses. FEBS Lett. 2016, 590, 1896–1914. [Google Scholar] [CrossRef]
- Kwon, M.-J.; Kwon, S.-J.; Kim, M.-H.; Choi, B.; Byun, H.-S.; Kwak, H.-R.; Seo, J.-K. Visual Tracking of Viral Infection Dynamics Reveals the Synergistic Interactions between Cucumber Mosaic Virus and Broad Bean Wilt Virus 2. Sci. Rep. 2023, 13, 7261. [Google Scholar] [CrossRef]
- Bortolamiol-Bécet, D.; Monsion, B.; Chapuis, S.; Hleibieh, K.; Scheidecker, D.; Alioua, A.; Bogaert, F.; Revers, F.; Brault, V.; Ziegler-Graff, V. Phloem-Triggered Virus-Induced Gene Silencing Using a Recombinant Polerovirus. Front. Microbiol. 2018, 9, 2449. [Google Scholar] [CrossRef]
- Pflieger, S.; Richard, M.M.S.; Blanchet, S.; Meziadi, C.; Geffroy, V. VIGS Technology: An Attractive Tool for Functional Genomics Studies in Legumes. Funct. Plant Biol. 2013, 40, 1234–1248. [Google Scholar] [CrossRef]
- Rössner, C.; Lotz, D.; Becker, A. VIGS Goes Viral: How VIGS Transforms Our Understanding of Plant Science. Annu. Rev. Plant Biol. 2022, 73, 703–728. [Google Scholar] [CrossRef]
- Zulfiqar, S.; Farooq, M.A.; Zhao, T.; Wang, P.; Tabusam, J.; Wang, Y.; Xuan, S.; Zhao, J.; Chen, X.; Shen, S.; et al. Virus-Induced Gene Silencing (VIGS): A Powerful Tool for Crop Improvement and Its Advancement towards Epigenetics. Int. J. Mol. Sci. 2023, 24, 5608. [Google Scholar] [CrossRef] [PubMed]
- Stevens, M.; Patron, N.J.; Dolby, C.A.; Weekes, R.; Hallsworth, P.B.; Lemaire, O.; Smith, H.G. Distribution and Properties of Geographically Distinct Isolates of Sugar Beet Yellowing Viruses. Plant Pathol. 2005, 54, 100–107. [Google Scholar] [CrossRef]
- Klein, E.; Brault, V.; Klein, D.; Weyens, G.; Lefèbvre, M.; Ziegler-Graff, V.; Gilmer, D. Divergence of Host Range and Biological Properties between Natural Isolate and Full-Length Infectious cDNA Clone of the Beet Mild Yellowing Virus 2ITB. Mol. Plant Pathol. 2014, 15, 22–30. [Google Scholar] [CrossRef] [PubMed]
- English, J.J.; Davenport, G.F.; Elmayan, T.; Vaucheret, H.; Baulcombe, D.C. Requirement of Sense Transcription for Homology-Dependent Virus Resistance and Trans-Inactivation. Plant J. 1997, 12, 597–603. [Google Scholar] [CrossRef]
- Van den Heuvel, J.F.; Boerma, T.M.; Peters, D. Transmission of Potato Leafroll Virus from Plants and Artificial Diets by Myzus persicae. Phytopathology 1991, 81, 150–154. [Google Scholar] [CrossRef]
- Armand, T.; Korn, L.; Pichon, E.; Souquet, M.; Barbet, M.; Martin, J.-L.; Devavry, M.; Jacquot, E. Efficiency and Persistence of Movento® Treatment against Myzus persicae and the Transmission of Aphid-Borne Viruses. Plants 2021, 10, 2747. [Google Scholar] [CrossRef]
- Lange, T.M.; Rotärmel, M.; Müller, D.; Mahone, G.S.; Kopisch-Obuch, F.; Keunecke, H.; Schmitt, A.O. Non-Linear Transformation of Enzyme-Linked Immunosorbent Assay (ELISA) Measurements Allows Usage of Linear Models for Data Analysis. Virol J. 2022, 19, 85. [Google Scholar] [CrossRef]
- Lange, T.M.; Heinrich, F.; Kopisch-Obuch, F.; Keunecke, H.; Gültas, M.; Schmitt, A.O. Improving Genomic Prediction of Rhizomania Resistance in Sugar Beet (Beta vulgaris L.) by Implementing Epistatic Effects and Feature Selection. F1000Research 2024, 12, 280. [Google Scholar] [CrossRef]
- R Core Team, R. R: A Language and Environment for Statistical Computing. MSOR Connect. 2021. [Google Scholar]
- Jupin, I.; Bouzoubaa, S.; Richards, K.; Jonard, G.; Guilley, H. Multiplication of Beet Necrotic Yellow Vein Virus RNA 3 Lacking a 3’ Poly(A) Tail Is Accompanied by Reappearance of the Poly(A) Tail and a Novel Short U-Rich Tract Preceding It. Virology 1990, 178, 281–284. [Google Scholar] [CrossRef]
- Böhrer, M.; Rymen, B.; Himber, C.; Gerbaud, A.; Pflieger, D.; Laudencia-Chingcuanco, D.; Cartwright, A.; Vogel, J.; Sibout, R.; Blevins, T. Integrated Genome-Scale Analysis and Northern Blot Detection of Retrotransposon siRNAs Across Plant Species. In RNA Tagging: Methods and Protocols; Heinlein, M., Ed.; Springer: New York, NY, USA, 2020; pp. 387–411. ISBN 978-1-07-160712-1. [Google Scholar]
- Flobinus, A.; Hleibieh, K.; Klein, E.; Ratti, C.; Bouzoubaa, S.; Gilmer, D. A Viral Noncoding RNA Complements a Weakened Viral RNA Silencing Suppressor and Promotes Efficient Systemic Host Infection. Viruses 2016, 8, 272. [Google Scholar] [CrossRef] [PubMed]
- Wu, C.; Wang, J.; Zhu, J.; Ren, J.; Yang, Y.; Luo, T.; Xu, L.; Zhou, Q.; Xiao, X.; Zhou, Y.; et al. Molecular Characterization of Mg-Chelatase CHLI Subunit in Pea (Pisum sativum L.). Front. Plant Sci. 2022, 13, 821683. [Google Scholar] [CrossRef] [PubMed]
- Schachtsiek, J.; Hussain, T.; Azzouhri, K.; Kayser, O.; Stehle, F. Virus-Induced Gene Silencing (VIGS) in Cannabis sativa L. Plant Methods 2019, 15, 157. [Google Scholar] [CrossRef] [PubMed]
- Cisneros, A.E.; de la Torre-Montaña, A.; Carbonell, A. Systemic Silencing of an Endogenous Plant Gene by Two Classes of Mobile 21-Nucleotide Artificial Small RNAs. Plant J. 2022, 110, 1166–1181. [Google Scholar] [CrossRef] [PubMed]
- Luo, T.; Luo, S.; Araújo, W.L.; Schlicke, H.; Rothbart, M.; Yu, J.; Fan, T.; Fernie, A.R.; Grimm, B.; Luo, M. Virus-Induced Gene Silencing of Pea CHLI and CHLD Affects Tetrapyrrole Biosynthesis, Chloroplast Development and the Primary Metabolic Network. Plant Physiol. Biochem. 2013, 65, 17–26. [Google Scholar] [CrossRef]
- Kim, K.H.; Lim, S.; Kang, Y.J.; Yoon, M.Y.; Nam, M.; Jun, T.H.; Seo, M.-J.; Baek, S.-B.; Lee, J.-H.; Moon, J.-K.; et al. Optimization of a Virus-Induced Gene Silencing System with Soybean Yellow Common Mosaic Virus for Gene Function Studies in Soybeans. Plant Pathol. J. 2016, 32, 112–122. [Google Scholar] [CrossRef]
- Gedling, C.R.; Ali, E.M.; Gunadi, A.; Finer, J.J.; Xie, K.; Liu, Y.; Yoshikawa, N.; Qu, F.; Dorrance, A.E. Improved Apple Latent Spherical Virus-Induced Gene Silencing in Multiple Soybean Genotypes through Direct Inoculation of Agro-Infiltrated Nicotiana Benthamiana Extract. Plant Methods 2018, 14, 19. [Google Scholar] [CrossRef]
- Wang, F.; Xu, Y.; Liu, X.; Shen, W.; Zhu, S.; Zhao, X. Use of TRV-Mediated VIGS for Functional Genomics Research in Citrus. Plant Cell Tiss. Organ Cult. 2019, 139, 609–613. [Google Scholar] [CrossRef]
- Wijekoon, C.; Singer, S.D.; Weselake, R.J.; Subedi, U.; Acharya, S.N. Evaluation of Virus-Induced Gene Silencing Methods for Forage Legumes Including Alfalfa, Sainfoin, and Fenugreek. Can. J. Plant Sci. 2019, 99, 917–926. [Google Scholar] [CrossRef]
- Mardini, M.; Kazancev, M.; Ivoilova, E.; Utkina, V.; Vlasova, A.; Demurin, Y.; Soloviev, A.; Kirov, I. Advancing Virus-Induced Gene Silencing in Sunflower: Key Factors of VIGS Spreading and a Novel Simple Protocol. Plant Methods 2024, 20, 122. [Google Scholar] [CrossRef]
- Lilyanna, S.; Ng, E.M.W.; Moriguchi, S.; Chan, S.P.; Kokawa, R.; Huynh, S.H.; Chong, P.C.J.; Ng, Y.X.; Richards, A.M.; Ng, T.W.; et al. Variability in Microplate Surface Properties and Its Impact on ELISA. J. Appl. Lab. Med. 2018, 2, 687–699. [Google Scholar] [CrossRef] [PubMed]
- Bursa, F.; Yellowlees, A.; Bishop, A.; Beckett, A.; Hallis, B.; Matheson, M. Estimation of ELISA Results Using a Parallel Curve Analysis. J. Immunol. Methods 2020, 486, 112836. [Google Scholar] [CrossRef] [PubMed]
- Djaïleb, A.; Parker, M.-F.; Lavallée, É.; Stuible, M.; Durocher, Y.; Thériault, M.; Santerre, K.; Gilbert, C.; Boudreau, D.; Baz, M.; et al. Longitudinal Study on Seroprevalence and Immune Response to SARS-CoV-2 in a Population of Food and Retail Workers Through Transformation of ELISA Datasets. medRxiv 2024. [Google Scholar] [CrossRef]
- Ratcliff, F.; Martin-Hernandez, A.M.; Baulcombe, D.C. Technical Advance: Tobacco Rattle Virus as a Vector for Analysis of Gene Function by Silencing. Plant J. 2001, 25, 237–245. [Google Scholar] [CrossRef]
- Senthil-Kumar, M.; Mysore, K.S. New Dimensions for VIGS in Plant Functional Genomics. Trends Plant Sci. 2011, 16, 656–665. [Google Scholar] [CrossRef]
- Senthil-Kumar, M.; Mysore, K.S. Virus-Induced Gene Silencing Can Persist for More than 2 Years and Also Be Transmitted to Progeny Seedlings in Nicotiana Benthamiana and Tomato. Plant Biotechnol. J. 2011, 9, 797–806. [Google Scholar] [CrossRef]
- Wang, C.; Ma, Z.; Zhou, J.; Li, J.; Cao, P.; Song, C.; Li, C.; Wang, X.; Bin, Y.; Zhou, C.; et al. A Simple and Effective VIGS System Facilitates the Control of Citrus Canker by Silencing CsLOB1. Phytopathol. Res. 2024, 6, 12. [Google Scholar] [CrossRef]
- Rollwage, L.; Maiss, E.; Menzel, W.; Hossain, R.; Varrelmann, M. Beet Mosaic Virus Expression of a Betalain Transcription Factor Allows Visual Virus Tracking in Beta vulgaris. Mol. Plant Pathol. 2023, 24, 1319–1329. [Google Scholar] [CrossRef]
- Bennypaul, H.S.; Mutti, J.S.; Rustgi, S.; Kumar, N.; Okubara, P.A.; Gill, K.S. Virus-Induced Gene Silencing (VIGS) of Genes Expressed in Root, Leaf, and Meiotic Tissues of Wheat. Funct. Integr. Genom. 2012, 12, 143–156. [Google Scholar] [CrossRef]
- Deng, X.; Elomaa, P.; Nguyen, C.X.; Hytönen, T.; Valkonen, J.P.T.; Teeri, T.H. Virus-Induced Gene Silencing for Asteraceae—A Reverse Genetics Approach for Functional Genomics in Gerbera Hybrida. Plant Biotechnol. J. 2012, 10, 970–978. [Google Scholar] [CrossRef]
- Dobnik, D.; Lazar, A.; Stare, T.; Gruden, K.; Vleeshouwers, V.G.A.A.; Žel, J. Solanum Venturii, a Suitable Model System for Virus-Induced Gene Silencing Studies in Potato Reveals StMKK6 as an Important Player in Plant Immunity. Plant Methods 2016, 12, 29. [Google Scholar] [CrossRef] [PubMed]
- Lacomme, C.; Hrubikova, K. and Enhancement of Virus-Induced Gene Silencing through Viral-Based Production of Inverted-Repeats. Plant J. 2003, 34, 543–553. [Google Scholar] [CrossRef] [PubMed]
- Faivre-Rampant, O.; Gilroy, E.M.; Hrubikova, K.; Hein, I.; Millam, S.; Loake, G.J.; Birch, P.; Taylor, M.; Lacomme, C. Potato Virus X-Induced Gene Silencing in Leaves and Tubers of Potato. Plant Physiol. 2004, 134, 1308–1316. [Google Scholar] [CrossRef]
- Agüero, J.; del Vives, M.C.; Velázquez, K.; Pina, J.A.; Navarro, L.; Moreno, P.; Guerri, J. Effectiveness of Gene Silencing Induced by Viral Vectors Based on Citrus Leaf Blotch Virus Is Different in Nicotiana benthamiana and Citrus Plants. Virology 2014, 460–461, 154–164. [Google Scholar] [CrossRef]
- Beyene, G.; Chauhan, R.D.; Taylor, N.J. A Rapid Virus-Induced Gene Silencing (VIGS) Method for Assessing Resistance and Susceptibility to Cassava Mosaic Disease. Virol. J. 2017, 14, 47. [Google Scholar] [CrossRef]
- Swain, S.M.; Tseng, T.-S.; Thornton, T.M.; Gopalraj, M.; Olszewski, N.E. SPINDLY Is a Nuclear-Localized Repressor of Gibberellin Signal Transduction Expressed throughout the Plant. Plant Physiol. 2002, 129, 605–615. [Google Scholar] [CrossRef]
- Hiriart, J.-B.; Aro, E.-M.; Lehto, K. Dynamics of the VIGS-Mediated Chimeric Silencing of the Nicotiana Benthamiana ChlH Gene and of the Tobacco Mosaic Virus Vector. MPMI 2003, 16, 99–106. [Google Scholar] [CrossRef]
- Shi, G.; Hao, M.; Tian, B.; Cao, G.; Wei, F.; Xie, Z. A Methodological Advance of Tobacco Rattle Virus-Induced Gene Silencing for Functional Genomics in Plants. Front. Plant Sci. 2021, 12, 671091. [Google Scholar] [CrossRef]
- Tian, Y.; Fang, Y.; Zhang, K.; Zhai, Z.; Yang, Y.; He, M.; Cao, X. Applications of Virus-Induced Gene Silencing in Cotton. Plants 2024, 13, 272. [Google Scholar] [CrossRef]
- Zhang, Y.; Chen, H.; Han, R. Advances in the Application of Virus-Induced Gene Silencing in Plants. Am. J. Plant Sci. 2019, 10, 1649–1661. [Google Scholar] [CrossRef]
- Mukherjee, E.; Gantait, S. Genetic Transformation in Sugar Beet (Beta vulgaris L.): Technologies and Applications. Sugar Tech 2023, 25, 269–281. [Google Scholar] [CrossRef]
- Pattanayak, S.; Das, S.; Kumar, S. Development of Stress Tolerant Transgenomic Traits in Sugar Beet through Biotechnological Application. J. Plant Prot. Res. 2023, 63, 1–12. [Google Scholar] [CrossRef]
- Yuan, C.; Li, C.; Yan, L.; Jackson, A.O.; Liu, Z.; Han, C.; Yu, J.; Li, D. A High Throughput Barley Stripe Mosaic Virus Vector for Virus Induced Gene Silencing in Monocots and Dicots. PLoS ONE 2011, 6, e26468. [Google Scholar] [CrossRef] [PubMed]
- Garg, A.; Brandt, A.S.; Scofield, S.R. Analysis of the Time Course of the Establishment of Systemic Gene Silencing by Barley Stripe Mosaic Virus Virus-Induced Gene Silencing in Wheat. Int. J. Plant Biol. 2024, 15, 122–131. [Google Scholar] [CrossRef]
- Ramegowda, V.; Mysore, K.S.; Senthil-Kumar, M. Virus-Induced Gene Silencing Is a Versatile Tool for Unraveling the Functional Relevance of Multiple Abiotic-Stress-Responsive Genes in Crop Plants. Front. Plant Sci. 2014, 5, 323. [Google Scholar] [CrossRef]






Disclaimer/Publisher’s Note: The statements, opinions and data contained in all publications are solely those of the individual author(s) and contributor(s) and not of MDPI and/or the editor(s). MDPI and/or the editor(s) disclaim responsibility for any injury to people or property resulting from any ideas, methods, instructions or products referred to in the content. |
© 2024 by the authors. Licensee MDPI, Basel, Switzerland. This article is an open access article distributed under the terms and conditions of the Creative Commons Attribution (CC BY) license (https://creativecommons.org/licenses/by/4.0/).
Share and Cite
Bunwaree, H.D.; Klein, E.; Saubeau, G.; Desprez, B.; Ziegler-Graff, V.; Gilmer, D. Rapid and Visual Screening of Virus Infection in Sugar Beets Through Polerovirus-Induced Gene Silencing. Viruses 2024, 16, 1823. https://doi.org/10.3390/v16121823
Bunwaree HD, Klein E, Saubeau G, Desprez B, Ziegler-Graff V, Gilmer D. Rapid and Visual Screening of Virus Infection in Sugar Beets Through Polerovirus-Induced Gene Silencing. Viruses. 2024; 16(12):1823. https://doi.org/10.3390/v16121823
Chicago/Turabian StyleBunwaree, Heemee Devi, Elodie Klein, Guillaume Saubeau, Bruno Desprez, Véronique Ziegler-Graff, and David Gilmer. 2024. "Rapid and Visual Screening of Virus Infection in Sugar Beets Through Polerovirus-Induced Gene Silencing" Viruses 16, no. 12: 1823. https://doi.org/10.3390/v16121823
APA StyleBunwaree, H. D., Klein, E., Saubeau, G., Desprez, B., Ziegler-Graff, V., & Gilmer, D. (2024). Rapid and Visual Screening of Virus Infection in Sugar Beets Through Polerovirus-Induced Gene Silencing. Viruses, 16(12), 1823. https://doi.org/10.3390/v16121823

