Preoperative Biomarkers and Survival in Chinese Breast Cancer Patients with HIV: A Propensity-Score-Matched-Cohort Study
Abstract
1. Introduction
2. Materials and Methods
2.1. Patients
2.2. Follow-Up
2.3. Statistical Analysis
3. Results
3.1. Demographic and Clinicopathological Characteristics
3.2. Prognosis Comparison between Patients with and without HIV
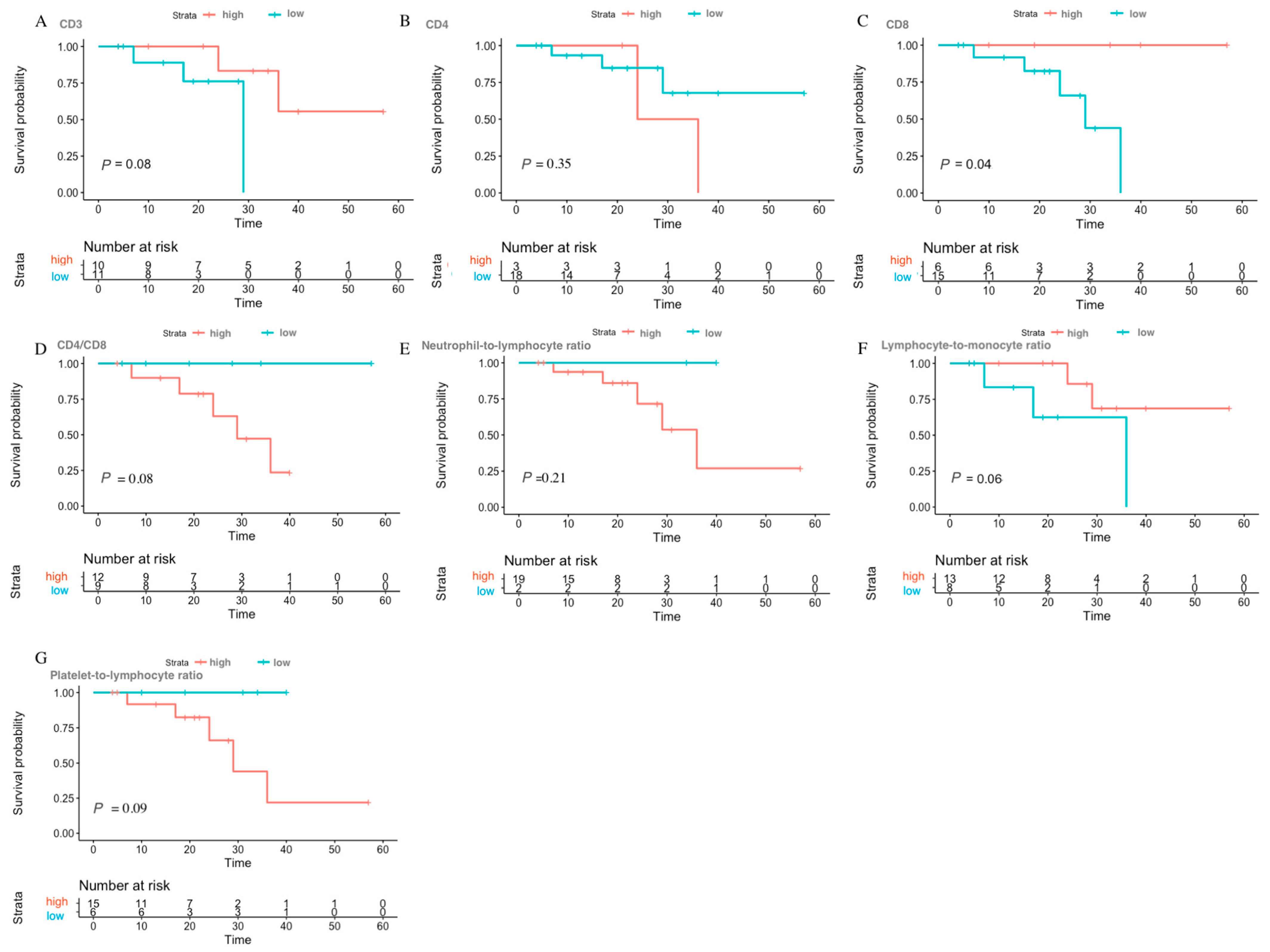
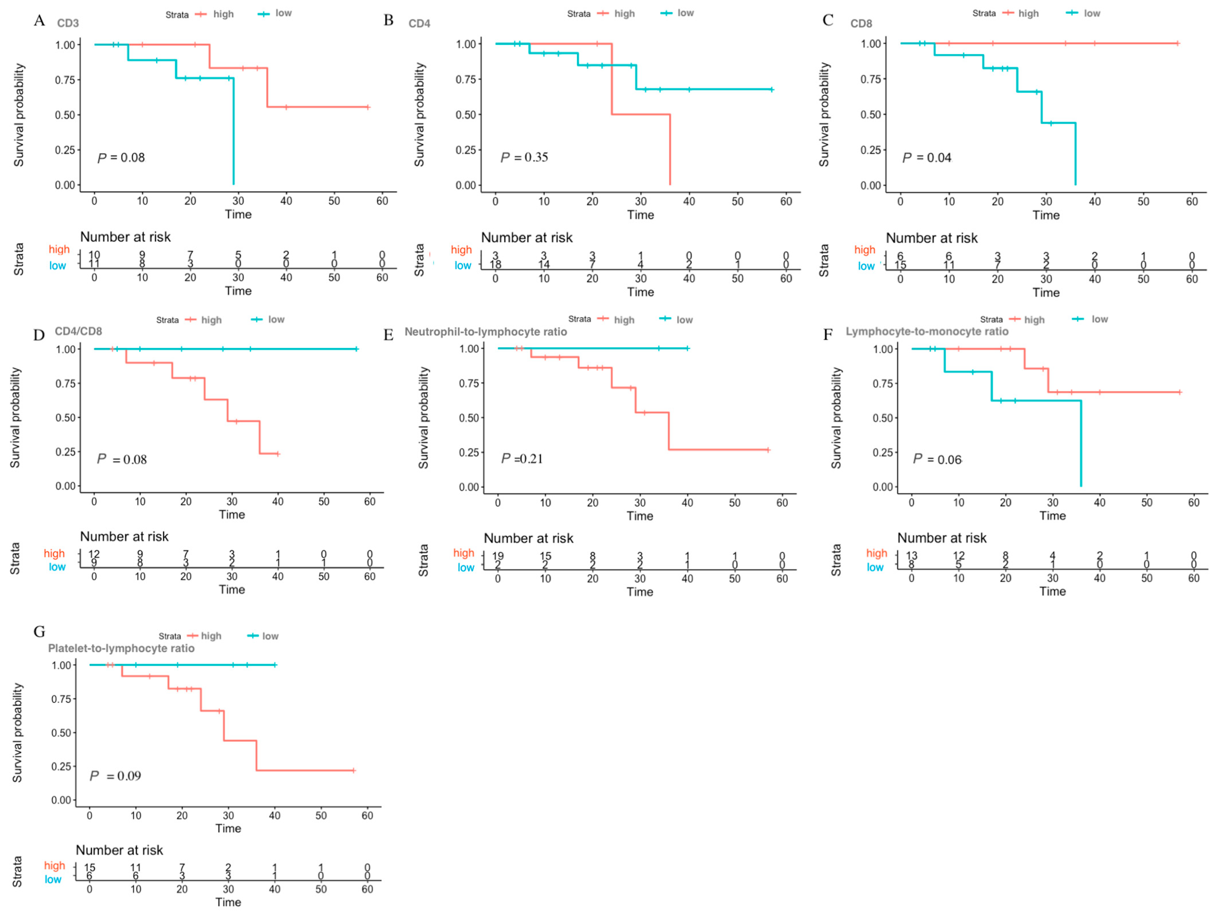
3.3. Prognosis Role of Preoperative Biomarkers in Breast Cancer Patients with HIV
4. Discussion
5. Conclusions
Supplementary Materials
Author Contributions
Funding
Institutional Review Board Statement
Informed Consent Statement
Data Availability Statement
Conflicts of Interest
References
- Arts, E.J.; Hazuda, D.J. HIV-1 Antiretroviral Drug Therapy. Cold Spring Harb. Perspect. Med. 2012, 2, a007161. [Google Scholar] [CrossRef]
- Yarchoan, R.; Uldrick, T.S. HIV-Associated Cancers and Related Diseases. N. Engl. J. Med. 2018, 378, 1029–1041. [Google Scholar] [CrossRef]
- Patel, P.; Hanson, D.L.; Sullivan, P.S.; Novak, R.M.; Moorman, A.C.; Tong, T.C.; Holmberg, S.D.; Brooks, J.T. Incidence of types of cancer among HIV-infected persons compared with the general population in the United States, 1992–2003. Ann. Intern. Med. 2008, 148, 728–736. [Google Scholar] [CrossRef]
- Sung, H.; Ferlay, J.; Siegel, R.L.; Laversanne, M.; Soerjomataram, I.; Jemal, A.; Bray, F. Global Cancer Statistics 2020: GLOBOCAN Estimates of Incidence and Mortality Worldwide for 36 Cancers in 185 Countries. CA Cancer J. Clin. 2021, 71, 209–249. [Google Scholar] [CrossRef]
- Shiels, M.S.; Pfeiffer, R.M.; Gail, M.H.; Hall, H.I.; Li, J.; Chaturvedi, A.K.; Bhatia, K.; Uldrick, T.S.; Yarchoan, R.; Goedert, J.J.; et al. Cancer Burden in the HIV-Infected Population in the United States. J. Natl. Cancer Inst. 2011, 103, 753–762. [Google Scholar] [CrossRef]
- Zhang, F.; Dou, Z.; Ma, Y.; Zhang, Y.; Zhao, Y.; Zhao, D.; Zhou, S.; Bulterys, M.; Zhu, H.; Chen, R.Y. Effect of earlier initiation of antiretroviral treatment and increased treatment coverage on HIV-related mortality in China: A national observational cohort study. Lancet Infect. Dis. 2011, 11, 516–524. [Google Scholar] [CrossRef]
- Gomez, A.; Montero, A.J.; Hurley, J. Clinical outcomes in breast cancer patients with HIV/AIDS: A retrospective study. Breast Cancer Res. Treat. 2015, 149, 781–788. [Google Scholar] [CrossRef]
- Grover, S.; Martei, Y.M.; Puri, P.; Prabhakar, P.; Mutebi, M.; Balogun, O.D.; Price, A.J.; Freeman, A.H.; Narasimhamurthy, M.; Rodin, D.; et al. Breast Cancer and HIV in Sub-Saharan Africa: A Complex Relationship. J. Glob. Oncol. 2018, 4, 1–11. [Google Scholar] [CrossRef]
- Cubasch, H.; Joffe, M.; Hanisch, R.; Schuz, J.; Neugut, A.I.; Karstaedt, A.; Broeze, N.; Berg, E.v.D.; McCormack, V.; Jacobson, J.S. Breast cancer characteristics and HIV among 1,092 women in Soweto, South Africa. Breast Cancer Res. Treat. 2013, 140, 177–186. [Google Scholar] [CrossRef]
- Brandão, M.; Bruzzone, M.; Franzoi, M.-A.; De Angelis, C.; Eiger, D.; Caparica, R.; Piccart-Gebhart, M.; Buisseret, L.; Ceppi, M.; Dauby, N.; et al. Impact of HIV infection on baseline characteristics and survival of women with breast cancer. AIDS 2020, 35, 605–618. [Google Scholar] [CrossRef]
- Rathore, A.; Kumar, S.; Konwar, R.; Srivastava, A.; Makker, A.; Goel, M. Presence of CD3+ tumor infiltrating lymphocytes is significantly associated with good prognosis in infiltrating ductal carcinoma of breast. Indian J. Cancer 2013, 50, 239–244. [Google Scholar] [CrossRef] [PubMed]
- Frater, J.; Ewings, F.; Hurst, J.; Brown, H.; Robinson, N.; Fidler, S.; Babiker, A.; Weber, J.; Porter, K.; Phillips, R.E. HIV-1-specific CD4(+) responses in primary HIV-1 infection predict disease progression. AIDS 2014, 28, 699–708. [Google Scholar] [CrossRef] [PubMed]
- Polesel, J.; Franceschi, S.; Suligoi, B.; Crocetti, E.; Falcini, F.; Guzzinati, S.; Vercelli, M.; Zanetti, R.; Tagliabue, G.; Russo, A.; et al. Cancer incidence in people with AIDS in Italy. Int. J. Cancer 2010, 127, 1437–1445. [Google Scholar] [CrossRef] [PubMed]
- Polesel, J.; Clifford, G.M.; Rickenbach, M.; Maso, L.D.; Battegay, M.; Bouchardy, C.; Furrer, H.; Hasse, B.; Levi, F.; Probst-Hensch, N.M.; et al. Non-Hodgkin lymphoma incidence in the Swiss HIV Cohort Study before and after highly active antiretroviral therapy. AIDS 2008, 22, 301–306. [Google Scholar] [CrossRef]
- Galon, J.; Costes, A.; Sanchez-Cabo, F.; Kirilovsky, A.; Mlecnik, B.; Lagorce-Pagès, C.; Tosolini, M.; Camus, M.; Berger, A.; Wind, P.; et al. Type, Density, and Location of Immune Cells within Human Colorectal Tumors Predict Clinical Outcome. Science 2006, 313, 1960–1964. [Google Scholar] [CrossRef]
- Ashida, A.; Boku, N.; Aoyagi, K.; Sato, H.; Tsubosa, Y.; Minashi, K.; Muto, M.; Ohtsu, A.; Ochiai, A.; Yoshida, T.; et al. Expression profiling of esophageal squamous cell carcinoma patients treated with definitive chemoradiotherapy: Clinical implications. Int. J. Oncol. 2006, 28, 1345–1352. [Google Scholar] [CrossRef]
- Fukunaga, A.; Miyamoto, M.; Cho, Y.; Murakami, S.; Kawarada, Y.; Oshikiri, T.; Kato, K.; Kurokawa, T.; Suzuoki, M.; Nakakubo, Y.; et al. CD8+ Tumor-Infiltrating Lymphocytes Together with CD4+ Tumor-Infiltrating Lymphocytes and Dendritic Cells Improve the Prognosis of Patients with Pancreatic Adenocarcinoma. Pancreas 2004, 28, e26–e31. [Google Scholar] [CrossRef]
- Han, W.M.; Apornpong, T.; Kerr, S.J.; Hiransuthikul, A.; Gatechompol, S.; Do, T.; Ruxrungtham, K.; Avihingsanon, A. CD4/CD8 ratio normalization rates and low ratio as prognostic marker for non-AIDS defining events among long-term virologically suppressed people living with HIV. AIDS Res. Ther. 2018, 15, 13. [Google Scholar] [CrossRef]
- Kang, S.U.; Cho, S.Y.; Jeong, H.; Han, J.; Chae, H.Y.; Yang, H.; Sung, C.O.; Choi, Y.-L.; Shin, Y.K.; Kwon, M.J. Matrix metalloproteinase 11 (MMP11) in macrophages promotes the migration of HER2-positive breast cancer cells and monocyte recruitment through CCL2–CCR2 signaling. Lab. Investig. 2022, 102, 376–390. [Google Scholar] [CrossRef]
- Coussens, L.M.; Werb, Z. Inflammation and cancer. Nature 2002, 420, 860–867. [Google Scholar] [CrossRef]
- Dunn, G.P.; Old, L.J.; Schreiber, R.D. The Immunobiology of Cancer Immunosurveillance and Immunoediting. Immunity 2004, 21, 137–148. [Google Scholar] [CrossRef]
- Thomas, M.R.; Storey, R.F. The role of platelets in inflammation. Thromb. Haemost. 2015, 114, 449–458. [Google Scholar] [CrossRef]
- Proctor, M.J.; Morrison, D.S.; Talwar, D.; Balmer, S.M.; Fletcher, C.D.; O’Reilly, D.S.J.; Foulis, A.K.; Horgan, P.G.; McMillan, D.C. A comparison of inflammation-based prognostic scores in patients with cancer. A Glasgow Inflammation Outcome Study. Eur. J. Cancer 2011, 47, 2633–2641. [Google Scholar] [CrossRef]
- Gawiński, C.; Michalski, W.; Mróz, A.; Wyrwicz, L. Correlation between Lymphocyte-to-Monocyte Ratio (LMR), Neutrophil-to-Lymphocyte Ratio (NLR), Platelet-to-Lymphocyte Ratio (PLR) and Tumor-Infiltrating Lymphocytes (TILs) in Left-Sided Colorectal Cancer Patients. Biology 2022, 11, 385. [Google Scholar] [CrossRef]
- Chen, Y.; Zhang, C.; Peng, Z.; Qi, C.; Gong, J.; Zhang, X.; Li, J.; Shen, L. Association of Lymphocyte-to-Monocyte Ratio with Survival in Advanced Gastric Cancer Patients Treated with Immune Checkpoint Inhibitor. Front. Oncol. 2021, 11, 589022. [Google Scholar] [CrossRef]
- Mano, R.; Flynn, J.; Blum, K.A.; Silagy, A.W.; DiNatale, R.G.; Marcon, J.; Wang, A.; Sanchez, A.; Coleman, J.A.; Russo, P.; et al. The predictive role of preoperative and postoperative neutrophil-lymphocyte ratio in sarcomatoid renal cell carcinoma. Urol Oncol. 2019, 37, 916–923. [Google Scholar] [CrossRef]
- Raffetti, E.; Donato, F.; Pezzoli, C.; Digiambenedetto, S.; Bandera, A.; Di Pietro, M.; Di Filippo, E.; Maggiolo, F.; Sighinolfi, L.; Fornabaio, C.; et al. Systemic Inflammation-Based Biomarkers and Survival in HIV-Positive Subject with Solid Cancer in an Italian Multicenter Study. Am. J. Ther. 2015, 69, 585–592. [Google Scholar] [CrossRef]
- Rassen, J.A.; Shelat, A.A.; Myers, J.; Glynn, R.J.; Rothman, K.J.; Schneeweiss, S. One-to-many propensity score matching in cohort studies. Pharmacoepidemiol. Drug Saf. 2012, 21 (Suppl. S2), 69–80. [Google Scholar] [CrossRef]
- Hothorn, T.; Zeileis, A. Generalized maximally selected statistics. Biometrics 2008, 64, 1263–1269. [Google Scholar] [CrossRef]
- Simonds, H.M.; Jacobson, J.S. Breast cancer survival in women living with HIV. Lancet HIV 2022, 9, e141–e142. [Google Scholar] [CrossRef]
- Collins, L.C.; Marotti, J.D.; Gelber, S.; Cole, K.; Ruddy, K.; Kereakoglow, S.; Brachtel, E.F.; Schapira, L.; Come, S.E.; Winer, E.P.; et al. Pathologic features and molecular phenotype by patient age in a large cohort of young women with breast cancer. Breast Cancer Res. Treat. 2012, 131, 1061–1066. [Google Scholar] [CrossRef] [PubMed]
- Coghill, A.E.; Han, X.; Suneja, G.; Lin, C.C.; Jemal, A.; Shiels, M.S. Advanced stage at diagnosis and elevated mortality among US patients with cancer infected with HIV in the National Cancer Data Base. Cancer 2019, 125, 2868–2876. [Google Scholar] [CrossRef] [PubMed]
- Zheng, R.S.; Sun, K.X.; Zhang, S.W.; Zeng, H.M.; Zou, X.N.; Chen, R.; Gu, X.Y.; Wei, W.W.; He, J. Report of cancer epidemiology in China, 2015. Zhonghua Zhong Liu Za Zhi 2019, 41, 19–28. [Google Scholar] [PubMed]
- Dubrow, R.; Silverberg, M.J.; Park, L.S.; Crothers, K.; Justice, A.C. HIV infection, aging, and immune function: Implications for cancer risk and prevention. Curr. Opin. Oncol. 2012, 24, 506–516. [Google Scholar] [CrossRef]
- Yin, Y.; Zhang, Y.; Li, L.; Zhang, S.; Liu, N.; Yuan, S. Prognostic Value of Pretreatment Lymphocyte-to-Monocyte Ratio and Development of a Nomogram in Breast Cancer Patients. Front. Oncol. 2021, 17, 650980. [Google Scholar] [CrossRef]
- Cutrell, J.; Bedimo, R. Non-AIDS-defining Cancers among HIV-Infected Patients. Curr. HIV/AIDS Rep. 2013, 10, 207–216. [Google Scholar] [CrossRef]
- Zeng, J.; Zhang, X.; Jia, L.; Wu, Y.; Tian, Y.; Zhang, Y. Pretreatment lymphocyte-to-monocyte ratios predict AIDS-related diffuse large B-cell lymphoma overall survival. J. Med. Virol. 2021, 93, 3907–3914. [Google Scholar] [CrossRef]
- McDermott, A.B.; Koup, R.A. CD8+ T cells in preventing HIV infection and disease. AIDS 2012, 26, 1281–1292. [Google Scholar] [CrossRef]
- Smyth, M.J.; Dunn, G.P.; Schreiber, R.D. Cancer Immunosurveillance and Immunoediting: The Roles of Immunity in Suppressing Tumor Development and Shaping Tumor Immunogenicity. Adv. Immunol. 2006, 90, 1–50. [Google Scholar] [CrossRef]
- Mahmoud, S.M.; Paish, E.C.; Powe, D.G.; Macmillan, R.D.; Grainge, M.J.; Lee, A.H.; Ellis, I.O.; Green, A.R. Tumor-Infiltrating CD8+ Lymphocytes Predict Clinical Outcome in Breast Cancer. J. Clin. Oncol. 2011, 29, 1949–1955. [Google Scholar] [CrossRef]
- Dahlin, A.M.; Henriksson, M.L.; Van Guelpen, B.; Stenling, R.; Öberg, A.; Rutegård, J.; Palmqvist, R. Colorectal cancer prognosis depends on T-cell infiltration and molecular characteristics of the tumor. Mod. Pathol. 2011, 24, 671–682. [Google Scholar] [CrossRef]
- Williams, M.A.; Tyznik, A.J.; Bevan, M.J. Interleukin-2 signals during priming are required for secondary expansion of CD8+ memory T cells. Nature 2006, 441, 890–893. [Google Scholar] [CrossRef]
- Gottlieb, M.S.; Schroff, R.; Schanker, H.M.; Weisman, J.D.; Fan, P.T.; Wolf, R.A.; Saxon, A. Pneumocystis carinii pneumonia and mucosal candidiasis in previously healthy homosexual men: Evidence of a new ac-quired cellular immunodeficiency. N. Engl. J. Med. 1981, 305, 1425–1431. [Google Scholar] [CrossRef]
- Ndumbi, P.; Falutz, J.; Pai, N.P.; Tsoukas, C.M. Delay in cART Initiation Results in Persistent Immune Dysregulation and Poor Recovery of T-Cell Phenotype Despite a Decade of Successful HIV Suppression. PLoS ONE 2014, 9, e94018. [Google Scholar] [CrossRef]
- Savas, P.; Virassamy, B.; Ye, C.; Salim, A.; Mintoff, C.P.; Caramia, F.; Salgado, R.; Byrne, D.J.; Teo, Z.L.; Dushyanthen, S.; et al. Single-cell profiling of breast cancer T cells reveals a tissue-resident memory subset associated with improved prognosis. Nat. Med. 2018, 24, 986–993. [Google Scholar] [CrossRef]
- Cancer Screening. EACS Guide l. E. coil. 2022. Available online: https://eacs.sanfordguide.com/prevention-non-infectious-co-morbidities/cancer/cancer-screening-methods (accessed on 30 May 2022).



| Clinical Characteristics | HIV (n = 21) | Non-HIV (n = 396) | p Value | |
|---|---|---|---|---|
| Age | Mean (SD) | 51.05 (10.40) | 55.14 (12.22) | 0.13 |
| <50 | 10 (47.62%) | 134 (33.84%) | ||
| ≥50 | 11 (52.38%) | 262 (66.16%) | 0.20 | |
| Menopause | no | 9 (42.86%) | 131 (33.08%) | |
| yes | 12 (57.14%) | 265 (66.92%) | 0.36 | |
| Hormone receptor | positive | 12 (57.14%) | 268 (67.68%) | |
| negative | 9 (42.86%) | 128 (32.32%) | 0.32 | |
| Her-2 | positive | 9 (42.86%) | 91 (22.98%) | |
| negative | 12 (57.14%) | 305 (77.02%) | 0.04 | |
| Tumor size (cm) | Mean (SD) | 4.40 (2.47) | 2.51 (1.29) | <0.01 |
| t > 5 cm | 3 (14.29%) | 12 (3.03%) | ||
| 5 ≥ t > 2 cm | 13 (61.90%) | 195 (49.24%) | ||
| t ≤ 2 cm | 5 (23.81%) | 189 (47.73%) | 0.01 | |
| Lymph node involvement | no | 8 (38.10%) | 220 (55.56%) | |
| yes | 13 (61.90%) | 176 (44.44%) | 0.12 | |
| Molecular type | Luminal A | 1 (4.76%) | 51 (12.88%) | |
| Luminal B | 11 (52.38%) | 217 (54.80%) | ||
| HER-2 | 5 (23.81%) | 50 (12.62%) | ||
| TNBC | 4 (19.05%) | 78 (19.70%) | 0.44 | |
| Stage | 0 | 1 (4.76%) | 17 (4.29%) | |
| I | 2 (9.52%) | 111 (28.03%) | ||
| II | 11 (52.38%) | 170 (42.93%) | ||
| III | 5 (23.81%) | 94 (23.74%) | ||
| IV | 2 (9.52%) | 4 (1.01%) | 0.03 |
| Clinical Characteristics | HIV (n = 21) | Non-HIV (n = 21) | p Value | |
|---|---|---|---|---|
| Age | Mean (SD) | 51.05 (10.40) | 51.43 (10.16) | 0.91 |
| <50 | 10 (47.62%) | 10 (47.62%) | ||
| ≥50 | 11 (52.38%) | 11 (52.38%) | 1.00 | |
| Menopause | no | 9 (42.86%) | 10 (47.62%) | |
| yes | 12 (57.14%) | 11 (52.38%) | 0.76 | |
| Hormone receptor | positive | 12 (57.14%) | 12 (57.14%) | |
| negative | 9 (42.86%) | 9 (42.86%) | 1.00 | |
| Her-2 | positive | 9 (42.86%) | 7 (33.33%) | |
| negative | 12 (57.14%) | 14 (66.67%) | 0.53 | |
| Tumor size (cm) | Mean (SD) | 4.40 (2.47) | 2.80 (1.35) | 0.01 |
| t > 5 cm | 3 (14.29%) | 2 (9.52%) | ||
| 5 ≥ t > 2cm | 13 (61.90%) | 10 (47.62%) | ||
| t ≤ 2 cm | 5 (23.81%) | 9 (42.86%) | 0.55 | |
| Lymph node involvement | no | 8 (38.10%) | 11 (52.38%) | |
| yes | 13 (61.90%) | 10 (47.62%) | 0.35 | |
| Molecular type | Luminal A | 1 (4.76%) | 1 (4.76%) | |
| Luminal B | 11 (52.38%) | 11 (52.38%) | ||
| HER-2 | 5 (23.81%) | 5 (23.81%) | ||
| TNBC | 4 (19.05%) | 4 (19.05%) | 1.00 | |
| Stage | 0 | 1 (4.76%) | 1 (4.76%) | |
| I | 2 (9.52%) | 5 (23.81%) | ||
| II | 11 (52.38%) | 9 (42.86%) | ||
| III | 5 (23.81%) | 6 (28.57%) | ||
| IV | 2 (9.52%) | 0 (0%) | 0.56 |
| Clinical Characteristics | HIV (n = 21) | |
|---|---|---|
| Time of HIV diagnosis to breast cancer diagnosis (months) | median (IQR) | 19 (1–66) |
| ≤12 | 10 (47.62%) | |
| >12 | 11 (52.38%) | |
| CD4 counts (/μL) | mean (SD) | 369.33 (225.44) |
| CD4/CD8 ratio | mean (SD) | 0.78 (0.77) |
| CD8 counts (/μL) | mean (SD) | 637.48 (297.28) |
| CD3 counts (/μL) | mean (SD) | 1047.10 (366.77) |
| Neutrophil (109/L) | mean (SD) | 2.85 (1.51) |
| Lymphocyte (109/L) | mean (SD) | 1.40 (0.50) |
| Monocyte (109/L) | mean (SD) | 0.37 (0.17) |
| Platelet (109/L) | mean (SD) | 193.48 (67.50) |
| Neutrophil-to-lymphocyte ratio | mean (SD) | 2.39 (1.91) |
| Lymphocyte-to-monocyte ratio | mean (SD) | 4.58 (2.93) |
| Platelet-to-lymphocyte ratio | mean (SD) | 154.09 (70.60) |
| Progression-Free Survival | Overall Survival | |||||
|---|---|---|---|---|---|---|
| Univariate | Multivariate | Univariate | ||||
| Characters | HRs (95% CI) | p | HRs (95% CI) | p | HRs (95% CI) | p |
| Age (≥50 vs. <50) | 0.456 (0.13–1.57) | 0.21 | - | - | 1.62 (0.29–8.97) | 0.58 |
| Menopause (yes vs. no) | 0.69 (0.21–2.27) | 0.54 | - | - | 4.17 (0.49–35.76) | 0.19 |
| Hormone Receptor (+ vs. −) | 0.15 (0.03–0.71) | 0.02 | 0.07 (0.01–1.07) | 0.06 | 0.16 (0.02–1.37) | 0.09 |
| Her-2 (+ vs. −) | 2.26 (0.69–7.45) | 0.18 | - | - | 1.99 (0.40–9.91) | 0.40 |
| Tumor size (>5 vs. >2 vs. ≤2) | 3.36 (1.26–8.97) | 0.02 | 1.75 (0.54–5.74) | 0.35 | 3.33 (0.85–13.07) | 0.08 |
| Lymph node involvement (yes vs. no) | 10.29 (1.31–80.73) | 0.03 | 4.18 (0.41–43.03) | 0.23 | 5.07 (0.59–43.70) | 0.14 |
| Molecular subtype (TNBC vs Her-2 vs. Hormone Receptor+) | 1.99 (1.01–3.92) | 0.05 | 0.46 (0.09–2.43) | 0.36 | 2.07 (0.81– 5.30) | 0.13 |
| Stage (III/IV vs. 0/I/II) | 4.73 (1.38–16.19) | 0.01 | 1.76 (0.35–8.84) | 0.49 | 4.99 (0.91–27.26) | 0.06 |
| HIV (yes vs. no) | 8.26 (1.64–41.66) | 0.01 | 6.83 (1.22–38.12) | 0.03 | 322.47 (0.04–2,563,794.24) | 0.21 |
| Progression-Free Survival | Overall Survival | |||||
|---|---|---|---|---|---|---|
| Univariate | Multivariate | Univariate | ||||
| Characters | HRs (95% CI) | p | HRs (95% CI) | p | HRs (95% CI) | p |
| Time of HIV diagnosis to breast cancer diagnosis(>12 vs. ≤12 months) | 0.37 (0.09–1.55) | 0.17 | - | - | 0.15 (0.02–1.31) | 0.09 |
| Neutrophil-to-lymphocyte ratio (High vs. Low group) | 5.44 (0.65–45.72) | 0.12 | - | - | 33.31 (0.01–264,621) | 0.44 |
| Lymphocyte-to-monocyte ratio (High vs. Low group) | 0.22 (0.05–0.93) | 0.04 | 0.15 (0.01–1.65) | 0.12 | 0.20 (0.03–1.28) | 0.09 |
| Platelet-to-lymphocyte ratio (High vs. Low group) | 42.85 (0.10–17989) | 0.22 | - | - | 44.09 (0.02–90,625.90) | 0.33 |
| CD4 (High vs. Low group) | 0.31 (0.06–1.58) | 0.16 | - | - | 2.33 (0.38–14.36) | 0.36 |
| CD8 (High vs. Low group) | 0.01 (0.00–6.62) | 0.18 | - | - | 0.02 (0–27.82) | 0.28 |
| CD4/CD8 (High vs. Low group) | 35.97 (0.06–20264) | 0.27 | - | - | 44.85 (0.03–81381) | 0.32 |
| CD3 (High vs. Low group) | 0.10 (0.01–0.90) | 0.04 | 0.35 (0.07–1.74) | 0.20 | 0.15 (0.01–1.6) | 0.12 |
Disclaimer/Publisher’s Note: The statements, opinions and data contained in all publications are solely those of the individual author(s) and contributor(s) and not of MDPI and/or the editor(s). MDPI and/or the editor(s) disclaim responsibility for any injury to people or property resulting from any ideas, methods, instructions or products referred to in the content. |
© 2023 by the authors. Licensee MDPI, Basel, Switzerland. This article is an open access article distributed under the terms and conditions of the Creative Commons Attribution (CC BY) license (https://creativecommons.org/licenses/by/4.0/).
Share and Cite
Wu, Q.; Deng, L.; Cao, Y.; Lian, S. Preoperative Biomarkers and Survival in Chinese Breast Cancer Patients with HIV: A Propensity-Score-Matched-Cohort Study. Viruses 2023, 15, 1490. https://doi.org/10.3390/v15071490
Wu Q, Deng L, Cao Y, Lian S. Preoperative Biomarkers and Survival in Chinese Breast Cancer Patients with HIV: A Propensity-Score-Matched-Cohort Study. Viruses. 2023; 15(7):1490. https://doi.org/10.3390/v15071490
Chicago/Turabian StyleWu, Qian, Li Deng, Ye Cao, and Shixian Lian. 2023. "Preoperative Biomarkers and Survival in Chinese Breast Cancer Patients with HIV: A Propensity-Score-Matched-Cohort Study" Viruses 15, no. 7: 1490. https://doi.org/10.3390/v15071490
APA StyleWu, Q., Deng, L., Cao, Y., & Lian, S. (2023). Preoperative Biomarkers and Survival in Chinese Breast Cancer Patients with HIV: A Propensity-Score-Matched-Cohort Study. Viruses, 15(7), 1490. https://doi.org/10.3390/v15071490

