The Effect of Preventive Measures and Vaccination against SARS-CoV-2 on the Infection Risk, Treatment, and Hospitalization: A Cross-Sectional Study of Algeria
Abstract
1. Introduction
2. Materials and Methods
2.1. Overview and Development of the Questionnaire
2.1.1. Design
2.1.2. Ethics
2.2. Statistical Analyses
- People applying preventive measures and who are not vaccinated. This category includes respondents who regularly wear a facemask, respect social distancing, follow strict hygiene protocols (hand washing/disinfection), and avoid gatherings (weddings, funerals, group prayers, religious ceremonies, birthdays…). In addition, this group is not vaccinated.
- People not applying preventive measures and are not vaccinated. This category includes respondents who did not regularly wear a facemask, did not respect social distancing, did not follow strict hygiene protocols (hand washing/disinfection), or did not avoid gatherings (weddings, funerals, group prayers, religious ceremonies, birthdays…). In addition, this group is not vaccinated.
- People applying preventive measures and who are vaccinated. This category includes respondents who regularly wear a facemask, respect social distancing, follow strict hygiene protocols (hand washing/disinfection), and avoid gatherings (weddings, funerals, group prayers, religious ceremonies, birthdays…) but who are vaccinated.
- People not applying preventive measures and are vaccinated. This category includes respondents who did not regularly wear a facemask, did not respect social distancing, did not follow strict hygiene protocols (hand washing/disinfection), pr did not avoid gatherings (weddings, funerals, group prayers, religious ceremonies, birthdays…) but who are vaccinated.
- –
- People applying preventive measures and who are not vaccinated.
- –
- People not applying preventive measures and who are not vaccinated.
- –
- People applying preventive measures and who are vaccinated.
- –
- People not applying preventive measures but who are vaccinated.
3. Results
3.1. Descriptive Statistics
3.2. Results of the Logistic Regression
3.2.1. The Relationship between Preventive Measures and Vaccination as Characterized by Probability of Infection
3.2.2. Relationship between Preventive Measures and Vaccination as Characterized by COVID-19 Treatment
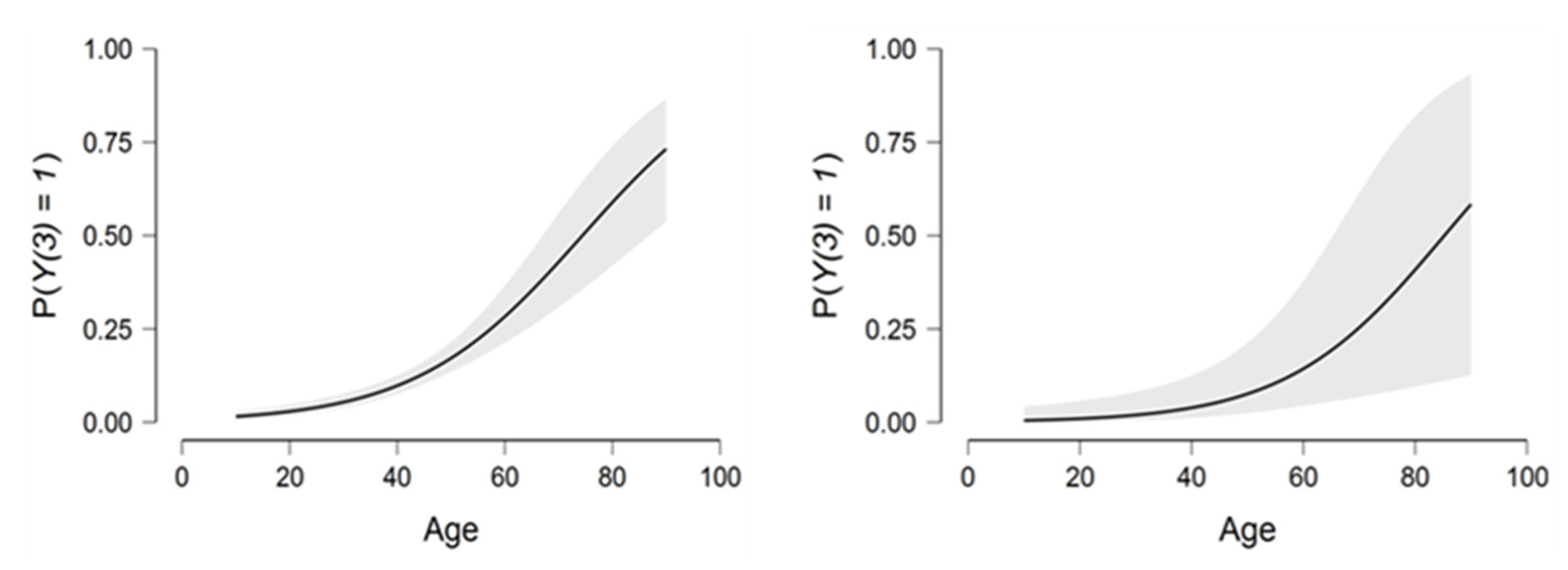
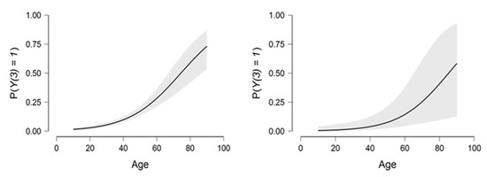
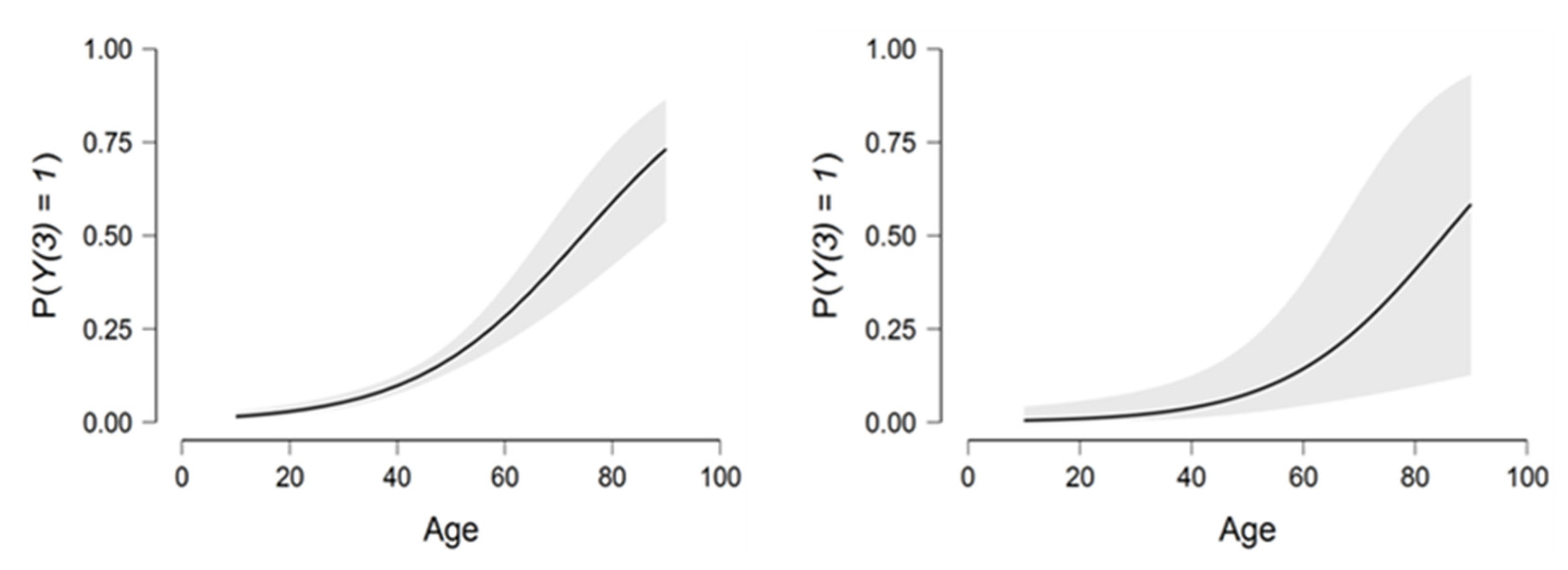
3.2.3. Relationship between Preventive Measures and Vaccination as Characterized by COVID-19 Hospitalization
4. Discussion
4.1. Significance of the Results
4.2. Limitations
4.3. Strengths
5. Conclusions
Author Contributions
Funding
Institutional Review Board Statement
Informed Consent Statement
Data Availability Statement
Acknowledgments
Conflicts of Interest
References
- Coronavirus Disease (COVID-19)—World Health Organization. Available online: https://www.who.int/emergencies/diseases/novel-coronavirus-2019 (accessed on 14 October 2022).
- Hoogeveen, J.G.; Lopez-Acevedo, G. (Eds.) Distributional Impacts of COVID-19 in the Middle East and North Africa Region; The World Bank: Washington, DC, USA, 2021; ISBN 978-1-4648-1776-2. [Google Scholar]
- Gatti, R.; Lederman, D.; Fan, R.Y.; Hatefi, A.; Nguyen, H.; Sautmann, A.; Sax, J.M.; Wood, C.A. Overconfident: How Economic and Health Fault Lines Left the Middle East and North Africa Ill-Prepared to Face COVID-19; World Bank: Washington, DC, USA, 2021. [Google Scholar]
- Global Health Institute|COVID-19 Dashboard. Available online: https://ghi.aub.edu.lb/covid-19-dashboard/ (accessed on 27 October 2022).
- Barakat, A.M.; Kasemy, Z.A. Preventive Health Behaviours during Coronavirus Disease 2019 Pandemic Based on Health Belief Model among Egyptians. Middle East Curr. Psychiatry 2020, 27, 43. [Google Scholar] [CrossRef]
- Napoli, C.; Riccardo, F.; Declich, S.; Dente, M.G.; Pompa, M.G.; Rizzo, C.; Rota, M.C.; Bella, A.; National Working Group. An early warning system based on syndromic surveillance to detect potential health emergencies among migrants: Results of a two-year experience in Italy. Int. J. Environ. Res. Public Health 2014, 11, 8529–8541. [Google Scholar] [CrossRef] [PubMed]
- Aouissi, H.A.; Kechebar, M.S.A.; Ababsa, M.; Roufayel, R.; Neji, B.; Petrisor, A.-I.; Hamimes, A.; Epelboin, L.; Ohmagari, N. The Importance of Behavioral and Native Factors on COVID-19 Infection and Severity: Insights from a Preliminary Cross-Sectional Study. Healthcare 2022, 10, 1341. [Google Scholar] [CrossRef] [PubMed]
- Azamor, T.; Horbach, I.S.; Brito e Cunha, D.; Melgaço, J.G.; da Silva, A.M.V.; Tubarão, L.N.; de S. Azevedo, A.; Santos, R.T.; dos S. Alves, N.; Machado, T.L.; et al. Protective Immunity of COVID-19 Vaccination with ChAdOx1 NCoV-19 Following Previous SARS-CoV-2 Infection: A Humoral and Cellular Investigation. Viruses 2022, 14, 1916. [Google Scholar] [CrossRef]
- Barchielli, B.; Cricenti, C.; Gallè, F.; Sabella, E.A.; Liguori, F.; Da Molin, G.; Liguori, G.; Orsi, G.B.; Giannini, A.M.; Ferracuti, S.; et al. Climate Changes, Natural Resources Depletion, COVID-19 Pandemic, and Russian-Ukrainian War: What Is the Impact on Habits Change and Mental Health? Int. J. Environ. Res. Public Health 2022, 19, 11929. [Google Scholar] [CrossRef]
- Mathieu, E.; Ritchie, H.; Rodés-Guirao, L.; Appel, C.; Giattino, C.; Hasell, J.; Macdonald, B.; Dattani, S.; Beltekian, D.; Ortiz-Ospina, E.; et al. Coronavirus Pandemic (COVID-19). Our World Data 2020. Available online: https://ourworldindata.org/coronavirus (accessed on 25 October 2022).
- Lounis, M.; Rais, M.A.; Bencherit, D.; Aouissi, H.A.; Oudjedi, A.; Klugarová, J.; Pokorná, A.; Klugar, M.; Riad, A. Side Effects of COVID-19 Inactivated Virus vs. Adenoviral Vector Vaccines: Experience of Algerian Healthcare Workers. Front. Public Health 2022, 10, 896343. [Google Scholar] [CrossRef]
- Kasemy, Z.; Shreif, H.; Tantawy, A.; Barakat, A.; Sharif, A. Barriers to Managing COVID-19 Pandemic: Attitude towards Vaccination and Implications for Public Health. Med. Sci. 2021, 25, 1010–1019. [Google Scholar]
- Saied, S.M.; Saied, E.M.; Kabbash, I.A.; Abdo, S.A.E. Vaccine Hesitancy: Beliefs and Barriers Associated with COVID-19 Vaccination among Egyptian Medical Students. J. Med. Virol. 2021, 93, 4280–4291. [Google Scholar] [CrossRef]
- Lounis, M.; Aouissi, H.A.; Abdelhadi, S.; Rais, M.A.; Belkessa, S.; Bencherit, D. Short-Term Adverse Effects Following Booster Dose of Inactivated-Virus vs. Adenoviral-Vector COVID-19 Vaccines in Algeria: A Cross-Sectional Study of the General Population. Vaccines 2022, 10, 1781. [Google Scholar] [CrossRef]
- Ssentongo, P.; Ssentongo, A.E.; Voleti, N.; Groff, D.; Sun, A.; Ba, D.M.; Nunez, J.; Parent, L.J.; Chinchilli, V.M.; Paules, C.I. SARS-CoV-2 Vaccine Effectiveness against Infection, Symptomatic and Severe COVID-19: A Systematic Review and Meta-Analysis. BMC Infect. Dis. 2022, 22, 439. [Google Scholar] [CrossRef] [PubMed]
- Antonelli, M.; Penfold, R.S.; Merino, J.; Sudre, C.H.; Molteni, E.; Berry, S.; Canas, L.S.; Graham, M.S.; Klaser, K.; Modat, M.; et al. Risk Factors and Disease Profile of Post-Vaccination SARS-CoV-2 Infection in UK Users of the COVID Symptom Study App: A Prospective, Community-Based, Nested, Case-Control Study. Lancet Infect. Dis. 2022, 22, 43–55. [Google Scholar] [CrossRef] [PubMed]
- León, T.M. COVID-19 Cases and Hospitalizations by COVID-19 Vaccination Status and Previous COVID-19 Diagnosis—California and New York, May–November 2021. MMWR. Morb. Mortal. Wkly. Rep. 2022, 71, 125–131. [Google Scholar] [CrossRef] [PubMed]
- Ababsa, M.; Aouissi, H.A. Current State of the Coronavirus (Covid-19) in Algeria. J. Community Med. Health Care 2020, 5, 1036. [Google Scholar] [CrossRef]
- Aouissi, H.A.; Belhaouchet, I. What about Rheumatic Diseases and COVID-19? New Microbes New Infect. 2021, 41, 100846. [Google Scholar] [CrossRef]
- CSSEGISandData COVID-19 Data Repository by the Center for Systems Science and Engineering (CSSE) at Johns Hopkins University. 2022. Available online: https://github.com/CSSEGISandData/COVID-19 (accessed on 21 October 2022).
- Aouissi, H.A.; Hamimes, A.; Ababsa, M.; Bianco, L.; Napoli, C.; Kebaili, F.K.; Krauklis, A.E.; Bouzekri, H.; Dhama, K. Bayesian Modeling of COVID-19 to Classify the Infection and Death Rates in a Specific Duration: The Case of Algerian Provinces. Int. J. Environ. Res. Public Health 2022, 19, 9586. [Google Scholar] [CrossRef]
- Leveau, C.M.; Aouissi, H.A.; Kebaili, F.K. Spatial Diffusion of COVID-19 in Algeria during the Third Wave. GeoJournal 2022. [Google Scholar] [CrossRef]
- Policy Responses to COVID-19. Available online: https://www.imf.org/en/Topics/imf-and-covid19/Policy-Responses-to-COVID-19 (accessed on 15 October 2022).
- Du, R.-H.; Liang, L.-R.; Yang, C.-Q.; Wang, W.; Cao, T.-Z.; Li, M.; Guo, G.-Y.; Du, J.; Zheng, C.-L.; Zhu, Q.; et al. Predictors of Mortality for Patients with COVID-19 Pneumonia Caused by SARS-CoV-2: A Prospective Cohort Study. Eur. Respir. J. 2020, 55, 2000524. [Google Scholar] [CrossRef]
- Statsenko, Y.; Al Zahmi, F.; Habuza, T.; Almansoori, T.M.; Smetanina, D.; Simiyu, G.L.; Neidl-Van Gorkom, K.; Ljubisavljevic, M.; Awawdeh, R.; Elshekhali, H.; et al. Impact of Age and Sex on COVID-19 Severity Assessed From Radiologic and Clinical Findings. Front. Cell. Infect. Microbiol. 2022, 11, 777070. [Google Scholar] [CrossRef]
- Liu, K.; Chen, Y.; Lin, R.; Han, K. Clinical Features of COVID-19 in Elderly Patients: A Comparison with Young and Middle-Aged Patients. J. Infect. 2020, 80, e14–e18. [Google Scholar] [CrossRef]
- Aouissi, H.A. Algeria’s Preparedness for Omicron Variant and for the Fourth Wave of COVID-19. Glob. Health Med. 2021, 3, 413–414. [Google Scholar] [CrossRef] [PubMed]
- Von Elm, E.; Altman, D.G.; Egger, M.; Pocock, S.J.; Gøtzsche, P.C.; Vandenbroucke, J.P. Strengthening the Reporting of Observational Studies in Epidemiology (STROBE) Statement: Guidelines for Reporting Observational Studies. BMJ 2007, 335, 806–808. [Google Scholar] [CrossRef] [PubMed]
- World Medical Association World Medical Association Declaration of Helsinki: Ethical Principles for Medical Research Involving Human Subjects. JAMA 2013, 310, 2191–2194. [CrossRef] [PubMed]
- XLSTAT | Statistical Software for Excel. Available online: https://www.xlstat.com/en/ (accessed on 15 October 2022).
- JASP—A Fresh Way to Do Statistics. Available online: https://jasp-stats.org/ (accessed on 15 October 2022).
- Wilder-Smith, A.; Osman, S. Public Health Emergencies of International Concern: A Historic Overview. J. Travel Med. 2020, 27, taaa227. [Google Scholar] [CrossRef] [PubMed]
- Doung-ngern, P.; Suphanchaimat, R.; Panjangampatthana, A.; Janekrongtham, C.; Ruampoom, D.; Daochaeng, N.; Eungkanit, N.; Pisitpayat, N.; Srisong, N.; Yasopa, O.; et al. Case-Control Study of Use of Personal Protective Measures and Risk for SARS-CoV-2 Infection, Thailand. Emerg. Infect. Dis. 2020, 26, 2607–2616. [Google Scholar] [CrossRef]
- Capalbo, C.; Aceti, A.; Simmaco, M.; Bonfini, R.; Rocco, M.; Ricci, A.; Napoli, C.; Rocco, M.; Alfonsi, V.; Teggi, A.; et al. The Exponential Phase of the Covid-19 Pandemic in Central Italy: An Integrated Care Pathway. Int. J. Environ. Res. Public Health 2020, 17, 3792. [Google Scholar] [CrossRef]
- Randolph, H.E.; Barreiro, L.B. Herd Immunity: Understanding COVID-19. Immunity 2020, 52, 737–741. [Google Scholar] [CrossRef]
- Ashby, B.; Best, A. Herd Immunity. Curr. Biol. 2021, 31, R174–R177. [Google Scholar] [CrossRef]
- Kaszowska-Mojsa, J.; Włodarczyk, P.; Szymańska, A. Immunity in the ABM-DSGE Framework for Preventing and Controlling Epidemics—Validation of Results. Entropy 2022, 24, 126. [Google Scholar] [CrossRef]
- Plans-Rubió, P. Percentages of Vaccination Coverage Required to Establish Herd Immunity against SARS-CoV-2. Vaccines 2022, 10, 736. [Google Scholar] [CrossRef]
- Moore, S.; Hill, E.M.; Dyson, L.; Tildesley, M.J.; Keeling, M.J. Modelling Optimal Vaccination Strategy for SARS-CoV-2 in the UK. PLoS Comput. Biol. 2021, 17, e1008849. [Google Scholar] [CrossRef] [PubMed]
- Barajas-Nava, L.A. Development of SARS-CoV-2 Vaccines. Boletín Médico Del Hosp. Infant. De México 2021, 78, 66–74. [Google Scholar] [CrossRef] [PubMed]
- Masai, A.N.; Akın, L. Practice of COVID-19 Preventive Measures and Risk of Acute Respiratory Infections: A Longitudinal Study in Students from 95 Countries. Int. J. Infect. Dis. 2021, 113, 168–174. [Google Scholar] [CrossRef]
- Talic, S.; Shah, S.; Wild, H.; Gasevic, D.; Maharaj, A.; Ademi, Z.; Li, X.; Xu, W.; Mesa-Eguiagaray, I.; Rostron, J.; et al. Effectiveness of Public Health Measures in Reducing the Incidence of Covid-19, SARS-CoV-2 Transmission, and Covid-19 Mortality: Systematic Review and Meta-Analysis. BMJ 2021, 375, e068302. [Google Scholar] [CrossRef]
- Galvin, C.J.; Li, Y.-C.; Malwade, S.; Syed-Abdul, S. COVID-19 Preventive Measures Showing an Unintended Decline in Infectious Diseases in Taiwan. Int. J. Infect. Dis. 2020, 98, 18–20. [Google Scholar] [CrossRef] [PubMed]
- Bentivegna, E.; Alessio, G.; Spuntarelli, V.; Luciani, M.; Santino, I.; Simmaco, M.; Martelletti, P. Impact of COVID-19 Prevention Measures on Risk of Health Care-Associated Clostridium Difficile Infection. Am. J. Infect. Control. 2021, 49, 640–642. [Google Scholar] [CrossRef]
- Compliance with the Main Preventive Measures of COVID-19 in Spain: The Role of Knowledge, Attitudes, Practices, and Risk Perception—Beca-Martínez—2022—Transboundary and Emerging Diseases—Wiley Online Library. Available online: https://onlinelibrary.wiley.com/doi/10.1111/tbed.14364 (accessed on 15 October 2022).
- Gebru, A.A.; Birhanu, T.; Wendimu, E.; Ayalew, A.F.; Mulat, S.; Abasimel, H.Z.; Kazemi, A.; Tadesse, B.A.; Gebru, B.A.; Deriba, B.S.; et al. Global Burden of COVID-19: Situational Analyis and Review. Hum. Antibodies 2021, 29, 139–148. [Google Scholar] [CrossRef]
- Azlan, A.A.; Hamzah, M.R.; Sern, T.J.; Ayub, S.H.; Mohamad, E. Public Knowledge, Attitudes and Practices towards COVID-19: A Cross-Sectional Study in Malaysia. PLoS ONE 2020, 15, e0233668. [Google Scholar] [CrossRef]
- Yuan, J.; Cao, B.; Zhang, C.; Chan, P.S.; Xin, M.; Fang, Y.; Chen, Y.; Huang, D.; Li, L.; Xuan, X.; et al. Changes in Compliance With Personal Preventive Measures and Mental Health Status Among Chinese Factory Workers During the COVID-19 Pandemic: An Observational Prospective Cohort Study. Front. Public Health 2022, 10, 831456. [Google Scholar] [CrossRef]
- Milani, G.P.; Macchi, M.; Guz-Mark, A. Vitamin C in the Treatment of COVID-19. Nutrients 2021, 13, 1172. [Google Scholar] [CrossRef]
- Name, J.J.; Souza, A.C.R.; Vasconcelos, A.R.; Prado, P.S.; Pereira, C.P.M. Zinc, Vitamin D and Vitamin C: Perspectives for COVID-19 With a Focus on Physical Tissue Barrier Integrity. Front. Nutr. 2020, 7, 606398. [Google Scholar] [CrossRef] [PubMed]
- Gautret, P.; Lagier, J.-C.; Parola, P.; Hoang, V.T.; Meddeb, L.; Mailhe, M.; Doudier, B.; Courjon, J.; Giordanengo, V.; Vieira, V.E.; et al. Hydroxychloroquine and Azithromycin as a Treatment of COVID-19: Results of an Open-Label Non-Randomized Clinical Trial. Int. J. Antimicrob. Agents 2020, 56, 105949. [Google Scholar] [CrossRef] [PubMed]
- Aouissi, H.A.; Ababsa, M.; Gaagai, A. Review of a Controversial Treatment Method in the Fight against COVID-19 with the Example of Algeria. Bull. Natl. Res. Cent. 2021, 45, 94. [Google Scholar] [CrossRef] [PubMed]
- Swann, J. The Pharmaceutical Industries. In The Cambridge History of Science: Volume 6: The Modern Biological and Earth Sciences; Pickstone, J.V., Bowler, P.J., Eds.; The Cambridge History of Science; Cambridge University Press: Cambridge, UK, 2009; Volume 6, pp. 126–140. ISBN 978-0-521-57201-9. [Google Scholar]
- Research, C. for D.E. and Coronavirus (COVID-19)|Drugs. Available online: https://www.fda.gov/drugs/emergency-preparedness-drugs/coronavirus-covid-19-drugs (accessed on 15 October 2022).
- Fan, H.; Lou, F.; Fan, J.; Li, M.; Tong, Y. The Emergence of Powerful Oral Anti-COVID-19 Drugs in the Post-Vaccine Era. Lancet Microbe 2022, 3, e91. [Google Scholar] [CrossRef] [PubMed]
- Khandia, R.; Singhal, S.; Alqahtani, T.; Kamal, M.A.; El-Shall, N.A.; Nainu, F.; Desingu, P.A.; Dhama, K. Emergence of SARS-CoV-2 Omicron (B.1.1.529) Variant, Salient Features, High Global Health Concerns and Strategies to Counter It amid Ongoing COVID-19 Pandemic. Environ. Res. 2022, 209, 112816. [Google Scholar] [CrossRef]
- Doroshenko, A. The Combined Effect of Vaccination and Nonpharmaceutical Public Health Interventions—Ending the COVID-19 Pandemic. JAMA Netw. Open 2021, 4, e2111675. [Google Scholar] [CrossRef]
- Damijan, J.P.; Damijan, S.; Kostevc, Č. Vaccination Is Reasonably Effective in Limiting the Spread of COVID-19 Infections, Hospitalizations and Deaths with COVID-19. Vaccines 2022, 10, 678. [Google Scholar] [CrossRef]
- Uzun, O.; Akpolat, T.; Varol, A.; Turan, S.; Bektas, S.G.; Cetinkaya, P.D.; Dursun, M.; Bakan, N.; Ketencioglu, B.B.; Bayrak, M.; et al. COVID-19: Vaccination vs. Hospitalization. Infection 2022, 50, 747–752. [Google Scholar] [CrossRef]






| Variable | Response | n | Percentage (%) |
|---|---|---|---|
| Did you wear a facemask regularly? (in public places, in the presence of other people) | No | 1236 | 54% |
| Yes | 1058 | 46% | |
| Did you respect social distancing? (2 m and above) | No | 1755 | 77% |
| Yes | 539 | 23% | |
| Did you follow strict hygiene? (Washing hands/disinfection) | No | 1497 | 65% |
| Yes | 797 | 35% | |
| Did you avoid clustering? (Weddings, funerals, group prayer, religious celebrations, birthdays…etc.) | No | 1402 | 61% |
| Yes | 892 | 39% | |
| Did you get vaccinated? (or at least 1 dose) | No | 1933 | 84% |
| Yes | 361 | 16% | |
| Have you been infected with COVID-19? (Confirmed by PCR, serology, scanner, antigenic…etc.) | No | 1256 | 55% |
| Yes | 1038 | 45% | |
| Have you taken any treatment? (medicinal, natural, preventive, prescribed…etc.) | No | 575 | 25% |
| Yes | 1719 | 75% | |
| Have you been hospitalized because of COVID-19? | No | 2080 | 91% |
| Yes | 214 | 9% |
| Variable | Observations | Min | Max | Mean ± SD |
|---|---|---|---|---|
| Age ? | 2294 | 18 | 82 | 36.787 ± 14.177 |
| Source | Value | SE | OR | Lower CI (95%) | Upper CI (95%) | ||
|---|---|---|---|---|---|---|---|
| −0.931 | 0.219 | 18.090 | <0.0001 | ||||
| 0.025 | 0.006 | 20.504 | <0.0001 | 1.025 | 1.014 | 1.037 | |
| −0.269 | 0.163 | 2.718 | 0.099 | 0.764 | 0.555 | 1.052 |
| Source | Value | SE | OR | Lower CI (95%) | Upper CI (95%) | ||
|---|---|---|---|---|---|---|---|
| −0.048 | 0.623 | 0.006 | 0.938 | ||||
| 0.025 | 0.014 | 3.291 | 0.070 | 1.025 | 0.998 | 1.053 | |
| −2.226 | 0.424 | 27.542 | <0.0001 | 0.108 | 0.047 | 0.248 |
| Model | Deviance | BIC | df | p-Value | McFadden R2 | Nagelkerke R2 | |
|---|---|---|---|---|---|---|---|
| 1168.136 | 1174.87 | 843 | |||||
| 1141.920 | 1162.13 | 841 | 26.216 | <0.0001 | 0.022 | 0.041 |
| Model | Deviance | BIC | df | p-Value | McFadden R2 | Nagelkerke R2 | |
|---|---|---|---|---|---|---|---|
| 179.883 | 184.758 | 130 | |||||
| 146.501 | 161.127 | 128 | 33.382 | <0.0001 | 0.186 | 0.301 |
| Source | Value | SE | OR | Lower CI (95%) | Upper CI (95%) | ||
|---|---|---|---|---|---|---|---|
| −0.126 | 0.247 | 0.258 | 0.612 | ||||
| 0.034 | 0.007 | 25.948 | <0.0001 | 1.035 | 1.021 | 1.048 | |
| −0.805 | 0.169 | 22.696 | <0.0001 | 0.447 | 0.321 | 0.623 |
| Source | Value | SE | OR | Lower CI (95%) | Upper CI (95%) | ||
|---|---|---|---|---|---|---|---|
| 1.482 | 0.615 | 5.808 | 0.016 | ||||
| −0.003 | 0.012 | 0.053 | 0.817 | 0.997 | 0.973 | 1.022 | |
| −1.327 | 0.410 | 10.474 | 0.001 | 0.265 | 0.119 | 0.593 |
| Model | Deviance | BIC | df | p-Value | McFadden R2 | Nagelkerke R2 | |
|---|---|---|---|---|---|---|---|
| 1035.840 | 1042.578 | 843 | |||||
| 977.780 | 997.995 | 841 | 58.059 | <0.001 | 0.056 | 0.094 |
| Model | Deviance | BIC | df | p-Value | McFadden R2 | Nagelkerke R2 | |
|---|---|---|---|---|---|---|---|
| 173.201 | 178.077 | 130 | |||||
| 161.272 | 175.897 | 128 | 11.930 | 0.003 | 0.069 | 0.119 |
| Source | Value | SE | OR | Lower CI (95%) | Upper CI (95%) | ||
|---|---|---|---|---|---|---|---|
| −4.797 | 0.436 | 121.232 | <0.0001 | ||||
| 0.064 | 0.009 | 49.126 | <0.0001 | 1.067 | 1.048 | 1.086 | |
| −1.556 | 0.487 | 10.204 | 0.001 | 0.211 | 0.081 | 0.548 |
| Source | Value | Standard Error | OR | Lower CI (95%) | Upper CI (95%) | ||
|---|---|---|---|---|---|---|---|
| −6.036 | 1.334 | 20.484 | <0.0001 | ||||
| 0.071 | 0.024 | 8.582 | 0.003 | 1.073 | 1.024 | 1.126 | |
| 0.188 | 0.762 | 0.061 | 0.805 | 1.206 | 0.271 | 5.371 |
| Model | Deviance | BIC | Df | p-Value | McFadden R2 | Nagelkerke R2 | |
|---|---|---|---|---|---|---|---|
| 487.369 | 494.108 | 843 | |||||
| 418.778 | 438.993 | 841 | 68.591 | <0.0001 | 0.141 | 0.178 |
| Model | Deviance | BIC | Df | p-Value | McFadden R2 | Nagelkerke R2 | |
|---|---|---|---|---|---|---|---|
| 75.550 | 80.425 | 130 | |||||
| 63.985 | 78.611 | 128 | 11.565 | 0.003 | 0.153 | 0.193 |
| Performance Metrics | Model (1) | Model (2) | Model (3) | Model (4) | Model (5) | Model (6) |
|---|---|---|---|---|---|---|
| AUC | 0.583 | 0.774 | 0.664 | 0.658 | 0.786 | 0.783 |
| Precision | 0.586 | 0.722 | 0.719 | 0.657 | - | - |
| F-measure | 0.508 | 0.696 | 0.812 | 0.747 | - | - |
| Brier score | 0.242 | 0.186 | 0.197 | 0.214 | 0.071 | 0.068 |
Publisher’s Note: MDPI stays neutral with regard to jurisdictional claims in published maps and institutional affiliations. |
© 2022 by the authors. Licensee MDPI, Basel, Switzerland. This article is an open access article distributed under the terms and conditions of the Creative Commons Attribution (CC BY) license (https://creativecommons.org/licenses/by/4.0/).
Share and Cite
Hamimes, A.; Aouissi, H.A.; Ababsa, M.; Lounis, M.; Jayarajah, U.; Napoli, C.; Kasemy, Z.A. The Effect of Preventive Measures and Vaccination against SARS-CoV-2 on the Infection Risk, Treatment, and Hospitalization: A Cross-Sectional Study of Algeria. Viruses 2022, 14, 2771. https://doi.org/10.3390/v14122771
Hamimes A, Aouissi HA, Ababsa M, Lounis M, Jayarajah U, Napoli C, Kasemy ZA. The Effect of Preventive Measures and Vaccination against SARS-CoV-2 on the Infection Risk, Treatment, and Hospitalization: A Cross-Sectional Study of Algeria. Viruses. 2022; 14(12):2771. https://doi.org/10.3390/v14122771
Chicago/Turabian StyleHamimes, Ahmed, Hani Amir Aouissi, Mostefa Ababsa, Mohamed Lounis, Umesh Jayarajah, Christian Napoli, and Zaineb A. Kasemy. 2022. "The Effect of Preventive Measures and Vaccination against SARS-CoV-2 on the Infection Risk, Treatment, and Hospitalization: A Cross-Sectional Study of Algeria" Viruses 14, no. 12: 2771. https://doi.org/10.3390/v14122771
APA StyleHamimes, A., Aouissi, H. A., Ababsa, M., Lounis, M., Jayarajah, U., Napoli, C., & Kasemy, Z. A. (2022). The Effect of Preventive Measures and Vaccination against SARS-CoV-2 on the Infection Risk, Treatment, and Hospitalization: A Cross-Sectional Study of Algeria. Viruses, 14(12), 2771. https://doi.org/10.3390/v14122771

