Transcriptional Immune Signatures of Alveolar Macrophages and the Impact of the NLRP3 Inflammasome on Porcine Reproductive and Respiratory Syndrome Virus (PRRSV) Replication
Abstract
1. Introduction
2. Materials and Methods
2.1. Cells and Virus
2.2. RNA-Seq
2.3. NLRP3 Inflammasome Inhibition
2.3.1. Pretreatment of PAMs with the NLRP3 Inhibitor MCC950
2.3.2. Impact of Disrupted NLRP3 Inflammasome-Induced IL1B Secretion on PRRSV Replication
3. Results
3.1. Transcriptome Profiling of PRRSV Strain VR-2332 Infected Porcine Alveolar Macrophages
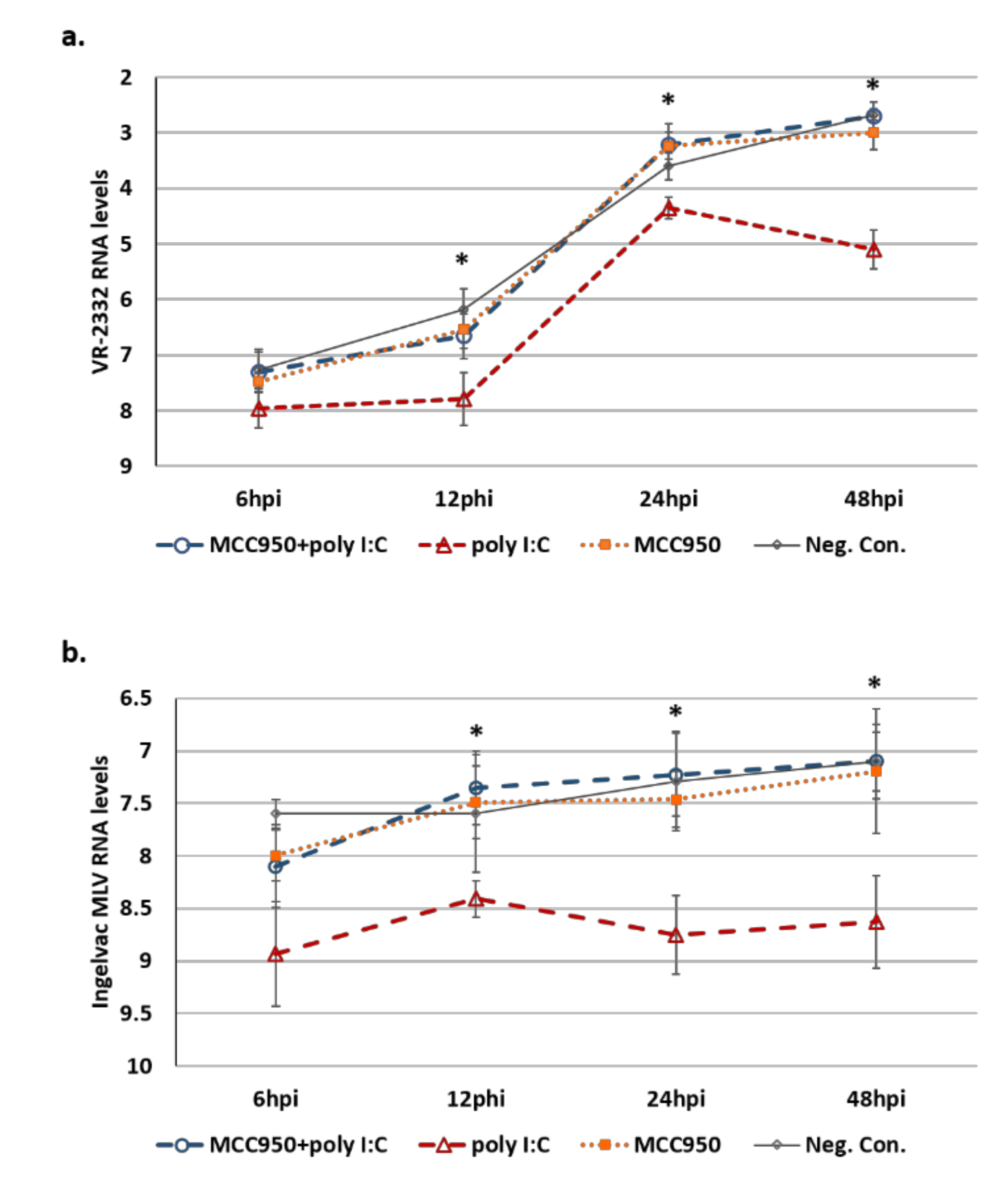
3.2. Impact of NLRP3 Inflammasome Inhibition on the PRRSV
4. Discussion
5. Conclusions
Supplementary Materials
Author Contributions
Funding
Conflicts of Interest
References
- Stoian, A.M.M.; Rowland, R.R.R. Challenges for Porcine Reproductive and Respiratory Syndrome (PRRS) Vaccine Design: Reviewing Virus Glycoprotein Interactions with CD163 and Targets of Virus Neutralization. Vet. Sci. 2019, 6, 9. [Google Scholar] [CrossRef] [PubMed]
- Niederwerder, M.C.; Rowland, R.R. Is There a Risk for Introducing Porcine Reproductive and Respiratory Syndrome Virus (PRRSV) Through the Legal Importation of Pork? Food Environ. Virol. 2017, 9, 1–13. [Google Scholar] [CrossRef] [PubMed]
- Ke, H.; Yoo, D. The viral innate immune antagonism and an alternative vaccine design for PRRS virus. Vet. Microbiol. 2017, 209, 75–89. [Google Scholar] [CrossRef] [PubMed]
- Kim, W.I.; Kim, J.J.; Cha, S.H.; Yoon, K.J. Different biological characteristics of wild-type porcine reproductive and respiratory syndrome viruses and vaccine viruses and identification of the corresponding genetic determinants. J. Clin. Microbiol. 2008, 46, 1758–1768. [Google Scholar] [CrossRef] [PubMed]
- Howrylak, J.A.; Nakahira, K. Inflammasomes: Key Mediators of Lung Immunity. Annu. Rev. Physiol. 2017, 79, 471–494. [Google Scholar] [CrossRef] [PubMed]
- Robertson, A.A.B. Inhibiting Inflammasomes with Small Molecules. Exp. Suppl. 2018, 108, 343–400. [Google Scholar] [PubMed]
- Park, H.S.; Liu, G.; Thulasi Raman, S.N.; Landreth, S.L.; Liu, Q.; Zhou, Y. NS1 Protein of 2009 Pandemic Influenza A Virus Inhibits Porcine NLRP3 Inflammasome-Mediated Interleukin-1 Beta Production by Suppressing ASC Ubiquitination. J. Virol. 2018, 92, e00022-18. [Google Scholar] [CrossRef] [PubMed]
- Komatsu, T.; Tanaka, Y.; Kitagawa, Y.; Koide, N.; Naiki, Y.; Morita, N.; Gotoh, B.; Yokochi, T. Sendai Virus V Protein Inhibits the Secretion of Interleukin-1β by Preventing NLRP3 Inflammasome Assembly. J. Virol. 2018, 92, e00842-18. [Google Scholar] [CrossRef]
- Komune, N.; Ichinohe, T.; Ito, M.; Yanagi, Y. Measles virus V protein inhibits NLRP3 inflammasome-mediated interleukin-1β secretion. J. Virol. 2011, 85, 13019–13026. [Google Scholar] [CrossRef]
- Shil, N.K.; Pokharel, S.M.; Banerjee, A.K.; Hoffman, M.; Bose, S. Inflammasome Antagonism by Human Parainfluenza Virus Type 3 C Protein. J. Virol. 2018, 92, e01776-17. [Google Scholar] [CrossRef]
- Feria, M.G.; Taborda, N.A.; Hernandez, J.C.; Rugeles, M.T. HIV replication is associated to inflammasomes activation, IL-1β, IL-18 and caspase-1 expression in GALT and peripheral blood. PLoS ONE 2018, 13, e0192845. [Google Scholar] [CrossRef] [PubMed]
- Nauwynck, H.J.; Van Gorp, H.; Vanhee, M.; Karniychuk, U.; Geldhof, M.; Cao, A.; Verbeeck, M.; Van Breedam, W. Micro-dissecting the pathogenesis and immune response of PRRSV infection paves the way for more efficient PRRSV vaccines. Transbound. Emerg. Dis. 2012, 59, 50–54. [Google Scholar] [CrossRef] [PubMed]
- Dubois, H.; Wullaert, A.; Lamkanfi, M. General Strategies in Inflammasome Biology. Curr. Top. Microbiol. Immunol. 2016, 397, 1–22. [Google Scholar] [PubMed]
- Rajan, J.V.; Warren, S.E.; Miao, E.A.; Aderem, A. Activation of the NLRP3 inflammasome by intracellular poly I: C. FEBS Lett. 2010, 584, 4627–4632. [Google Scholar] [CrossRef]
- Liu, C.H.; Di, Y.P. Analysis of RNA Sequencing Data Using CLC Genomics Workbench. Methods Mol. Biol. 2020, 2102, 61–113. [Google Scholar]
- Robinson, M.D.; McCarthy, D.J.; Smyth, G.K. edgeR: A Bioconductor package for differential expression analysis of digital gene expression data. Bioinformatics 2010, 26, 139–140. [Google Scholar] [CrossRef]
- Livak, K.J.; Schmittgen, T.D. Analysis of relative gene expression data using real-time quantitative PCR and the 2(-Delta Delta C(T)) Method. Methods 2001, 25, 402–408. [Google Scholar] [CrossRef]
- Lukens, J.R.; Gurung, P.; Vogel, P.; Johnson, G.R.; Carter, R.A.; McGoldrick, D.J.; Bandi, S.R.; Calabrese, C.R.; Vande Walle, L.; Lamkanfi, M.; et al. Dietary modulation of the microbiome affects autoinflammatory disease. Nature 2014, 516, 246–249. [Google Scholar] [CrossRef]
- Zhao, C.; Zhao, W. NLRP3 Inflammasome-A Key Player in Antiviral Responses. Front. Immunol. 2020, 11, 211. [Google Scholar] [CrossRef]
- Bermejo-Jambrina, M.; Eder, J.; Helgers, L.C.; Hertoghs, N.; Nijmeijer, B.M.; Stunnenberg, M.; Geijtenbeek, T.B.H. C-Type Lectin Receptors in Antiviral Immunity and Viral Escape. Front. Immunol. 2018, 9, 590. [Google Scholar] [CrossRef]
- Davicino, R.C.; Eliçabe, R.J.; Di Genaro, M.S.; Rabinovich, G.A. Coupling pathogen recognition to innate immunity through glycan-dependent mechanisms. Int. Immunopharmacol. 2011, 11, 1457–1463. [Google Scholar] [CrossRef] [PubMed]
- Cheng, S.C.; Joosten, L.A.; Netea, M.G. The interplay between central metabolism and innate immune responses. Cytokine Growth Factor Rev. 2014, 25, 707–713. [Google Scholar] [CrossRef] [PubMed]
- Siouti, E.; Andreakos, E. The many facets of macrophages in rheumatoid arthritis. Biochem. Pharmacol. 2019. [Google Scholar] [CrossRef] [PubMed]
- Geijtenbeek, T.B.; Gringhuis, S.I. Signalling through C-type lectin receptors: Shaping immune responses. Nat. Rev. Immunol. 2009, 9, 465–479. [Google Scholar] [CrossRef]
- Mantovani, A.; Dinarello, C.A.; Molgora, M.; Garlanda, C. Interleukin-1 and Related Cytokines in the Regulation of Inflammation and Immunity. Immunity 2019, 50, 778–795. [Google Scholar] [CrossRef]
- Palazon-Riquelme, P.; Lopez-Castejon, G. The inflammasomes, immune guardians at defence barriers. Immunology 2018, 155, 320–330. [Google Scholar] [CrossRef]
- Liu, Y.; Guo, J.Z.; Liu, Y.; Wang, K.; Ding, W.; Wang, H.; Liu, X.; Zhou, S.; Lu, X.C.; Yang, H.B.; et al. Nuclear lactate dehydrogenase A senses ROS to produce α-hydroxybutyrate for HPV-induced cervical tumor growth. Nat Commun. 2018, 9, 4429. [Google Scholar] [CrossRef]
- Baseler, W.A.; Davies, L.C.; Quigley, L.; Ridnour, L.A.; Weiss, J.M.; Hussain, S.P.; Wink, D.A.; McVicar, D.W. Autocrine IL-10 functions as a rheostat for M1 macrophage glycolytic commitment by tuning nitric oxide production. Redox Biol. 2016, 10, 12–23. [Google Scholar] [CrossRef]
- Adinolfi, E.; Giuliani, A.L.; De Marchi, E.; Pegoraro, A.; Orioli, E.; Di Virgilio, F. The P2 × 7 receptor: A main player in inflammation. Biochem. Pharmacol. 2018, 151, 234–244. [Google Scholar] [CrossRef]
- Coutinho-Silva, R.; Corrêa, G.; Sater, A.A.; Ojcius, D.M. The P2X(7) receptor and intracellular pathogens: A continuing struggle. Purinergic Signal. 2009, 5, 197–204. [Google Scholar] [CrossRef]
- Hung, S.C.; Huang, P.R.; Almeida-da-Silva, C.L.C.; Atanasova, K.R.; Yilmaz, O.; Ojcius, D.M. NLRX1 modulates differentially NLRP3 inflammasome activation and NF-κB signaling during Fusobacterium nucleatum infection. Microbes Infect. 2018, 20, 615–625. [Google Scholar] [CrossRef] [PubMed]
- Guo, H.; König, R.; Deng, M.; Riess, M.; Mo, J.; Zhang, L.; Petrucelli, A.; Yoh, S.M.; Barefoot, B.; Samo, M.; et al. NLRX1 Sequesters STING to Negatively Regulate the Interferon Response, Thereby Facilitating the Replication of HIV-1 and DNA Viruses. Cell Host Microbe 2016, 19, 515–528. [Google Scholar] [CrossRef] [PubMed]
- Zahid, A.; Li, B.; Kombe, A.J.K.; Jin, T.; Tao, J. Pharmacological Inhibitors of the NLRP3 Inflammasome. Front. Immunol. 2019, 10, 2538. [Google Scholar] [CrossRef] [PubMed]
- Wu, D.; Chen, Y.; Sun, Y.; Gao, Q.; Li, H.; Yang, Z.; Wang, Y.; Jiang, X.; Yu, B. Target of MCC950 in Inhibition of NLRP3 Inflammasome Activation: A Literature Review. Inflammation 2020, 43, 17–23. [Google Scholar] [CrossRef] [PubMed]
- Chen, N.; Ou, Z.; Zhang, W.; Zhu, X.; Li, P.; Gong, J. Cathepsin B regulates non-canonical NLRP3 inflammasome pathway by modulating activation of caspase-11 in Kupffer cells. Cell Prolif. 2018, 51, e12487. [Google Scholar] [CrossRef]
- Murphy, N.; Lynch, M.A. Activation of the P2X7 receptor induces migration of glial cells by inducing cathepsin B degradation of tissue inhibitor of metalloproteinase 1. J. Neurochem. 2012, 123, 761–770. [Google Scholar] [CrossRef]
- Okinaga, T.; Ariyoshi, W.; Nishihara, T. Aggregatibacter actinomycetemcomitans Invasion Induces Interleukin-1β Production Through Reactive Oxygen Species and Cathepsin B. J. Interferon Cytokine Res. 2015, 35, 431–440. [Google Scholar] [CrossRef]









| Time-Point Post Infection | Canonical Pathway |
|---|---|
| 12 hpi | LXR/RXR Activation |
| Phagosome Formation | |
| LPS/IL-1 mediated Inhibition of RXR Function | |
| Production of Nitric Oxide and Reactive Oxygen Species in Macrophages | |
| IL-6 Signaling | |
| CXCR4 Signaling | |
| IL-12 Signaling and Production in Macrophages | |
| NRF2-mediated Oxidative Stress Response | |
| Role of Pattern Recognition Receptors in Recognition of Bacteria and VirusesInflammasome pathway | |
| LPS-stimulated MAPK Signaling | |
| NF-κB Activation by Viruses | |
| TR/RXR Activation | |
| IL-10 Signaling | |
| IL-1 Signaling | |
| NF-κB Signaling | |
| 24 hpi | LXR/RXR Activation |
| TNFR2 Signaling | |
| IL-10 Signaling | |
| Toll-like Receptor Signaling | |
| Production of Nitric Oxide and Reactive Oxygen Species in Macrophages | |
| IL-12 Signaling and Production in Macrophages | |
| TNFR1 Signaling | |
| NF-κB Activation by Viruses | |
| Acute Phase Response Signaling | |
| Activation of IRF by Cytosolic Pattern Recognition Receptors | |
| IL-6 Signaling | |
| Phagosome Formation | |
| MIF Regulation of Innate Immunity | |
| iNOS Signaling | |
| NF-κB Signaling | |
| IL-1 Signaling | |
| CCR5 Signaling in Macrophages | |
| Inflammasome pathway | |
| 48 hpi | Role of Pattern Recognition Receptors in Recognition of Bacteria and Viruses |
| Role of RIG1-like Receptors in Antiviral Innate Immunity | |
| TNFR1 Signaling | |
| Activation of IRF by Cytosolic Pattern Recognition Receptors | |
| Toll-like Receptor Signaling | |
| Role of PI3K/AKT Signaling in the Pathogenesis of Influenza | |
| Communication between Innate and Adaptive Immune Cells | |
| IL-6 Signaling | |
| NF-κB Signaling | |
| Role of JAK family kinases in IL-6-type Cytokine Signaling | |
| Role of PKR in Interferon Induction and Antiviral Response | |
| MIF Regulation of Innate Immunity | |
| iNOS Signaling | |
| Role of Cytokines in mediating Communication between Immune Cells | |
| IL-23 Signaling Pathway | |
| IL-10 Signaling | |
| IL-1 Signaling | |
| CCR5 Signaling in Macrophages | |
| LPS-stimulated MAPK Signaling | |
| NF-κB Activation by Viruses | |
| PI3K Signaling in B Lymphocytes | |
| Production of Nitric Oxide and Reactive Oxygen Species in Macrophages |
Publisher’s Note: MDPI stays neutral with regard to jurisdictional claims in published maps and institutional affiliations. |
© 2020 by the authors. Licensee MDPI, Basel, Switzerland. This article is an open access article distributed under the terms and conditions of the Creative Commons Attribution (CC BY) license (http://creativecommons.org/licenses/by/4.0/).
Share and Cite
Hicks, J.A.; Yoo, D.; Liu, H.-C. Transcriptional Immune Signatures of Alveolar Macrophages and the Impact of the NLRP3 Inflammasome on Porcine Reproductive and Respiratory Syndrome Virus (PRRSV) Replication. Viruses 2020, 12, 1299. https://doi.org/10.3390/v12111299
Hicks JA, Yoo D, Liu H-C. Transcriptional Immune Signatures of Alveolar Macrophages and the Impact of the NLRP3 Inflammasome on Porcine Reproductive and Respiratory Syndrome Virus (PRRSV) Replication. Viruses. 2020; 12(11):1299. https://doi.org/10.3390/v12111299
Chicago/Turabian StyleHicks, Julie A., Dongwan Yoo, and Hsiao-Ching Liu. 2020. "Transcriptional Immune Signatures of Alveolar Macrophages and the Impact of the NLRP3 Inflammasome on Porcine Reproductive and Respiratory Syndrome Virus (PRRSV) Replication" Viruses 12, no. 11: 1299. https://doi.org/10.3390/v12111299
APA StyleHicks, J. A., Yoo, D., & Liu, H.-C. (2020). Transcriptional Immune Signatures of Alveolar Macrophages and the Impact of the NLRP3 Inflammasome on Porcine Reproductive and Respiratory Syndrome Virus (PRRSV) Replication. Viruses, 12(11), 1299. https://doi.org/10.3390/v12111299

