Regular Fertilization Effects on the Nutrient Distribution of Bamboo Components in a Moso Bamboo (Phyllostachys pubescens (Mazel) Ohwi) Stand in South Korea
Abstract
1. Introduction
2. Materials and Methods
2.1. Study Site and Experimental Design
2.2. Analysis of Bamboo Components
2.3. Analysis of Soil Properties
2.4. Data Analysis
3. Results and Discussion
3.1. Stand and Soil Attributes
3.2. Nutrient Concentrations of Bamboo Components
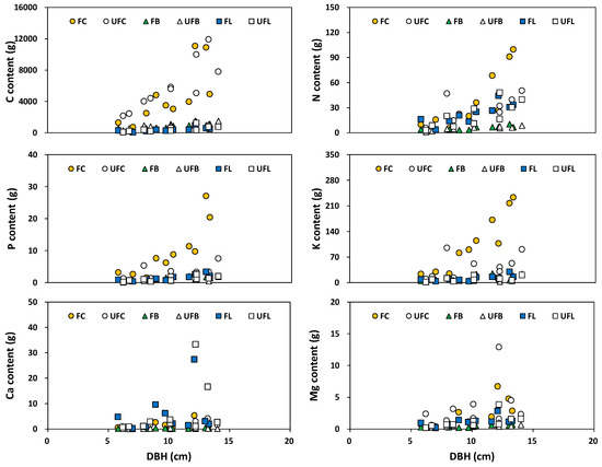
3.3. Nutrient Content and Stocks of Biomass Components
4. Conclusions
Author Contributions
Funding
Acknowledgments
Conflicts of Interest
Appendix A
| Treatment | Nutrient (Y, g) | Bamboo Component | Regression Coefficient | r2 | p-Value | |
|---|---|---|---|---|---|---|
| a | b | |||||
| Fertilized (n = 10) | Carbon | Culm | 0.9625 | 2.6188 | 0.71 | 0.0021 |
| Branch | 1.3693 | 1.5106 | 0.61 | 0.0074 | ||
| Leaf | 0.5548 | 1.9725 | 0.49 | 0.0242 | ||
| Total | 1.3294 | 2.3679 | 0.70 | 0.0026 | ||
| Nitrogen | Culm | −1.4140 | 2.8903 | 0.70 | 0.0027 | |
| Branch | −0.2927 | 1.0293 | 0.55 | 0.0145 | ||
| Leaf | −0.5651 | 1.8717 | 0.52 | 0.0193 | ||
| Total | −0.4568 | 2.2326 | 0.81 | 0.0004 | ||
| Phosphorus | Culm | −1.9100 | 2.8015 | 0.73 | 0.0016 | |
| Branch | −0.7133 | 0.8399 | 0.46 | 0.0323 | ||
| Leaf | −1.8775 | 2.0203 | 0.66 | 0.0042 | ||
| Total | −1.3794 | 2.4172 | 0.78 | 0.0007 | ||
| Potassium | Culm | −1.0276 | 2.9832 | 0.88 | <0.0001 | |
| Branch | 0.1173 | 0.8972 | 0.16 | 0.2461 | ||
| Leaf | −0.5822 | 1.6010 | 0.45 | 0.0346 | ||
| Total | −0.5008 | 2.5651 | 0.90 | <0.0001 | ||
| Calcium | Culm | −2.4260 | 2.5019 | 0.48 | 0.0270 | |
| Branch | −1.8901 | 1.1857 | 0.25 | 0.1397 | ||
| Leaf | −1.0544 | 1.4982 | 0.09 | 0.4106 | ||
| Total | −1.0032 | 1.6494 | 0.14 | 0.2811 | ||
| Magnesium | Culm | −2.4380 | 2.6881 | 0.67 | 0.0037 | |
| Branch | −1.9000 | 1.4823 | 0.61 | 0.0077 | ||
| Leaf | −1.3545 | 1.3770 | 0.35 | 0.0733 | ||
| Total | −1.5660 | 2.0895 | 0.62 | 0.0067 | ||
| Unfertilized (n = 10) | Carbon | Culm | 1.9574 | 1.7762 | 0.85 | 0.0002 |
| Branch | 1.5492 | 1.3988 | 0.71 | 0.0022 | ||
| Leaf | 0.1814 | 2.4027 | 0.69 | 0.0031 | ||
| Total | 2.0680 | 1.7604 | 0.85 | 0.0002 | ||
| Nitrogen | Culm | −0.7733 | 2.1422 | 0.63 | 0.0063 | |
| Branch | −1.3282 | 2.0120 | 0.76 | 0.0010 | ||
| Leaf | −1.3116 | 2.5406 | 0.68 | 0.0034 | ||
| Total | −0.6070 | 2.2745 | 0.72 | 0.0019 | ||
| Phosphorus | Culm | −1.3110 | 1.7178 | 0.45 | 0.0348 | |
| Branch | −2.0073 | 1.8216 | 0.54 | 0.0152 | ||
| Leaf | −2.2409 | 2.2278 | 0.60 | 0.0084 | ||
| Total | −1.1065 | 1.7459 | 0.58 | 0.0105 | ||
| Potassium | Culm | −0.1370 | 1.6607 | 0.35 | 0.0701 | |
| Branch | −0.0608 | 0.9591 | 0.13 | 0.3016 | ||
| Leaf | −0.7150 | 1.6399 | 0.34 | 0.0744 | ||
| Total | 0.1877 | 1.5243 | 0.35 | 0.0702 | ||
| Calcium | Culm | −1.6439 | 1.6714 | 0.29 | 0.1048 | |
| Branch | −1.6183 | 0.7783 | 0.09 | 0.3959 | ||
| Leaf | −2.4853 | 2.9499 | 0.43 | 0.0381 | ||
| Total | −1.8777 | 2.5137 | 0.40 | 0.0515 | ||
| Magnesium | Culm | −1.0697 | 1.4745 | 0.26 | 0.1339 | |
| Branch | −1.6570 | 1.2979 | 0.63 | 0.0063 | ||
| Leaf | −2.3823 | 2.3328 | 0.65 | 0.0050 | ||
| Total | −0.9404 | 1.5479 | 0.40 | 0.0502 | ||
References
- Nath, A.J.; Lal, R.; Das, A.K. Managing woody bamboos for carbon farming and carbon trading. Glob. Ecol. Conserv. 2015, 3, 654–663. [Google Scholar] [CrossRef]
- Kleinhenz, V.; Midmore, D.J. Aspects of bamboo agronomy. Adv. Agron. 2001, 74, 99–145. [Google Scholar] [CrossRef]
- Kleinenz, V.; Milne, J.; Walsh, K.B.; Midmore, D.J. A case study on the effects of irrigation and fertilization on soil water and soil nutrient status, and on growth and yield of bamboo (Phyllostachys pubescens) shoots. J. Bamboo Rattan 2003, 2, 281–294. [Google Scholar] [CrossRef]
- Lee, K.S.; Jung, S.Y.; Yoo, B.O.; Park, J.H.; Kim, C.; Ju, N.G. Biomass estimation for Moso bamboo (Phyllostachys pubescens) stands and Henon bamboo (Phyllostachys nigra) stands in southern Korea. J. Agric. Life Sci. 2014, 48, 109–118. [Google Scholar] [CrossRef]
- Zhang, Q.; Wang, J.; Wang, G.; Shamsi, I.H.; Wang, X. Site-specific nutrient management in a bamboo forest in Southeast China. Agric. Ecosyst. Environ. 2014, 197, 264–270. [Google Scholar] [CrossRef]
- Korea Forest Research Institute. Encyclopedia of Bamboos in Korea; New Research Report 7; Ukgo Publishing: Seoul, Korea, 2005; p. 203.
- Jeong, J.S.; Kwon, Y.H.; Lee, W.K. Effect of organic fertilizer in Phyllostarchys pubecens. FRI. J. For. Sci. 1995, 51, 59–63. [Google Scholar]
- Gao, P.; Zuo, Z.; Zhang, R.; Qiu, Y.; He, R.; Gao, R.; Gui, R. Optimum nitrogen fertilization for Phyllostachys edulis productivity and photosynthetic response. Agron. J. 2016, 108, 448–458. [Google Scholar] [CrossRef]
- Yoo, B.O.; Park, J.H.; Park, Y.B.; Jung, S.Y.; Lee, K.S.; Kim, C. Assessment of expansion characteristics and classification of distribution types for bamboo forests using GIS. J. Korean Assoc. Geogr. Inf. Stud. 2017, 20, 55–64. [Google Scholar] [CrossRef]
- Tang, X.; Xia, M.; Guen, F.; Fan, S. Spatial distribution of soil nitrogen, phosphorus and potassium stocks in Moso bamboo forests in subtropical China. Forests 2016, 7, 267. [Google Scholar] [CrossRef]
- Korea Forest Research Institute. The Forest Soil Profiles in Korea; Ukgo Publishing: Seoul, Korea, 2005; p. 143.
- Wu, J.; Xu, Q.; Jiang, P.; Cao, Z. Dynamics and distribution of nutrition elements in bamboo. J. Plant Nutr. 2009, 32, 489–501. [Google Scholar] [CrossRef]
- Hwang, J.H.; Chung, Y.G.; Lee, S.T.; Kim, B.B.; Shin, H.C.; Lee, K.J.; Park, K.J. Estimation of aboveground biomass and belowground nutrient contents for a Phyllostachys pubescens stand. J. Korean For. Soc. 2005, 94, 161–167. [Google Scholar]
- Fukushima, K.; Usus, N.; Ogawa, R.; Tokuchi, N. Impacts of Moso bamboo (Phyllostachys pubescens) invasion on dry matter and carbon and nitrogen stocks in a broad-leaved secondary forest located in Kyoto, western Japan. Plant Spec. Biol. 2015, 30, 8–95. [Google Scholar] [CrossRef]
- Kalra, Y.P.; Maynard, D.G. Methods Manual for Forest Soil and Plant Analysis. Northwest Region, Information Report. NOR-X-319; Northern Forestry Centre: Edmonton, AB, Canada, 1991; p. 115. [Google Scholar]
- SAS Institute Inc. SAS/STAT Statistical Software; Version 9.1; SAS Publishing: Cary, NC, USA, 2003. [Google Scholar]
- Xu, L.; Shi, Y.; Zhou, G.; Xu, X.; Liu, E.; Zhou, Y.; Zhang, F.; Li, C.; Fang, H.; Chen, L. Structural development and carbon dynamics of Moso bamboo forests in Zhejing province, China. For. Ecol. Manag. 2018, 409, 479–488. [Google Scholar] [CrossRef]
- Piouceau, J.; Bois, G.; Panfili, F.; Anastase, M.; Dufossé, L.; Arfi, V. Effects of high nutrient supply on the growth of seven bamboo species. Int. J. Phytoremediat. 2014, 16, 1042–1057. [Google Scholar] [CrossRef] [PubMed]
- Li, R.; Werger, M.J.A.; During, H.J.; Zhong, Z.C. Carbon and nutrient dynamics in relation to growth rhythm in the giant bamboo Phyllostachys pubescens. Plant Soil 1998, 201, 113–123. [Google Scholar] [CrossRef]
- Xu, M.; Ji, H.; Zhuang, S. Carbon stock of Moso bamboo (Phyllostachys pubescens) forests along a latitude gradient in the subtropical region of China. PLoS ONE 2018, 13, e0193024. [Google Scholar] [CrossRef] [PubMed]
- Jeong, J.; Jo, C.G.; Baek, G.W.; Park, J.H.; Ma, H.S.; Yoo, B.O.; Kim, C. Soil and the foliage nutrient status following soil amendment applications in a Japanese cypress (Camaecyparis obtusa Endlicher) plantation. J. Sustain. For. 2017, 36, 289–303. [Google Scholar] [CrossRef]
- Kim, C.; Jeong, J.; Park, J.H.; Ma, H.S. Growth and nutrient status of foliage as affected by tree species and fertilization in a fire-disturbed urban forest. Forests 2015, 6, 2199–2233. [Google Scholar] [CrossRef]
- Peri, P.L.; Grgalione, V.; Pastur, G.M.; Lencinas, M.V. Carbon accumulation along a stand development sequence of Northofagus Antarctica forests across a gradient in site quality in Southern Patagonia. For. Ecol. Manag. 2010, 260, 229–237. [Google Scholar] [CrossRef]
- Isagi, Y. Carbon stock and cycling in a bamboo Phyllostachys bambusoides stand. Ecol. Res. 1994, 9, 47–55. [Google Scholar] [CrossRef]
- Thomas, S.C.; Malczewski, G. Wood carbon content of tree species in Eastern China: Interspecific variability and the importance of the volatile fraction. J. Environ. Manag. 2007, 85, 659–662. [Google Scholar] [CrossRef] [PubMed]
- Li, R.; Werger, M.J.A.; de Kroon, H.; During, H.J.; Zhong, Z.C. Interactions between shoot age structure, nutrient availability and physiological integration in the giant bamboo Phyllostachys pubescens. Plant Biol. 2000, 2, 437–446. [Google Scholar] [CrossRef]
- Tu, L.H.; Hu, T.X.; Zhang, J.; Li, R.H.; Dai, H.Z.; Luo, S.H. Short-term stimulated nitrogen deposition increases carbon sequestration in Pleioblastus amarus plantation. Plant Soil 2011, 340, 383–396. [Google Scholar] [CrossRef]
- Watanabe, T.; Fukuzawa, K.; Shibata, H. Short-term response of Sasa dwarf bamboo to a change of soil nitrogen fertility in a forest ecosystem in northern Hokkaido, Japan. Plants 2016, 5, 19. [Google Scholar] [CrossRef] [PubMed]
- Jeong, J.; Kim, C. Growth response of container-grown red pine and black pine seedlings at different types of fertilization. For. Sci. Tech. 2011, 7, 126–133. [Google Scholar] [CrossRef]
- Augusto, L.; Bakker, M.R.; De LavaIssière, C.; Jordan-Meille, L.; Saur, E. Estimation of nutrient content of woody plants using allometric relationships: Quantifying the difference between concentration values from the literature and actuals. Forestry 2009, 82, 463–477. [Google Scholar] [CrossRef]
- Diem, B.; Godbold, D.L. Potassium, calcium and magnesium antagonism in clones of Populus trichocarpa. Plant Soil 1993, 155/156, 411–414. [Google Scholar] [CrossRef]
- Poorter, H.; Niklas, K.J.; Reich, P.B.; Oleksyn, J.; Poot, P.; Mommer, L. Biomass allocation to leaves, stems and roots: Meta-analyses of interspecific variation and environmental control. New Phytol. 2012, 193, 30–50. [Google Scholar] [CrossRef] [PubMed]



| Treatment | Aspect | Slope (°) | Culm Density (culm ha−1) | DBH (cm) | ||||
|---|---|---|---|---|---|---|---|---|
| Current-Year | >1-Year-Old | Mean | Current-Year | >1-Year-Old | Mean | |||
| Fertilized | E | <15 | 1200 (0) | 3433 (384) | 4633 (384) | 11.4 (0.4) | 10.1 (0.3) | 10.8 (0.4) |
| Unfertilized | N | 15–20 | 1333 (133) | 5500 (208) | 6833 (317) | 11.2 (0.3) | 10.1 (0.3) | 10.7 (0.3) |
| Depth (cm) | Treatment | Sand (%) | Silt (%) | Clay (%) | pH | EC (µS cm−1) | Carbon (%) | TotalN (%) | Avail. P (mg kg−1) | Exchangeable (cmolc kg−1) | ||
|---|---|---|---|---|---|---|---|---|---|---|---|---|
| K+ | Ca2+ | Mg2+ | ||||||||||
| 0–10 | Fertilized | 53 (2) | 37 (2) | 10 (2) | 4.59 (0.3) | 290 (31) | 2.48 (0.46) | 0.23 (0.03) | 174.5 (11.4) | 3.84 (0.51) | 3.49 (1.15) | 0.07 (0.017) |
| Unfertilized | 63 (4) | 29 (2) | 8 (2) | 4.69 (0.1) | 138 (26) | 2.46 (0.37) | 0.21 (0.02) | 6.22 (1.4) | 3.18 (1.25) | 1.32 (0.30) | 0.03 (0.002) | |
| p-Value | 0.08 | 0.05 | 0.46 | 0.75 | 0.02 | 0.97 | 0.65 | <0.01 | 0.65 | 0.14 | 0.05 | |
| 10–20 | Fertilized | 47 (2) | 40 (2) | 13 (0) | 4.45 (0.1) | 263 (72) | 2.03 (0.19) | 0.20 (0.01) | 132.3 (21.4) | 3.74 (1.65) | 2.49 (0.50) | 0.06 (0.007) |
| Unfertilized | 56 (3) | 31 (1) | 12 (3) | 4.56 (0.1) | 116 (17) | 2.31 (0.45) | 0.19 (0.03) | 5.2 (0.3) | 2.27 (0.86) | 1.31 (0.50) | 0.03 (0.009) | |
| p-Value | 0.07 | 0.01 | 0.56 | 0.54 | 0.11 | 0.59 | 0.85 | 0.03 | 0.47 | 0.16 | 0.02 | |
| Component | Treatment | Nutrient Concentration (g kg−1) | |||||
|---|---|---|---|---|---|---|---|
| C | N | P | K | Ca | Mg | ||
| Roots | Fertilized | 429 (14.4) | 5.20 (0.5) | 0.69 (0.2) | 6.40 (0.77) | 0.44 (0.07) | 0.85 (0.13) |
| Unfertilized | 364 (41.9) | 4.06 (0.81) | 0.11 (0.04) | 3.50 (0.25) | 0.54 (0.05) | 1.31 (0.11) | |
| p-Value | 0.21 | 0.31 | 0.05 | 0.02 | 0.29 | 0.06 | |
| Rhizome | Fertilized | 450 (3.49) | 3.95 (0.46) | 1.26 (0.24) | 5.00 (1.05) | 0.23 (0.04) | 0.29 (0.05) |
| Unfertilized | 456 (1.85) | 3.09 (0.38) | 0.25 (0.03) | 3.53 (0.83) | 0.22 (0.06) | 0.64 (0.17) | |
| p-Value | 0.22 | 0.22 | 0.01 | 0.33 | 0.93 | 0.11 | |
| Part | Bamboo Component | Treatment | Nutrient Stock (kg ha−1) | |||||
|---|---|---|---|---|---|---|---|---|
| C | N | P | K | Ca | Mg | |||
| Aboveground | Culms | Fertilized | 20,810.5 (2406.7) | 167.7 (20.0) | 43.3 (5.1) | 510.4 (61.7) | 6.4 (0.7) | 9.8 (1.2) |
| Unfertilized | 39,851.3 (2936.1) | 176.1 (14.3) | 18.7 (1.4) | 243.5 (17.5) | 7.8 (0.6) | 18.3 (1.3) | ||
| p-Value | <0.01 | 0.75 | <0.01 | 0.01 | 0.22 | <0.01 | ||
| Branches | Fertilized | 3783.1 (380.0) | 26.4 (2.5) | 6.4 (0.6) | 29.0 (2.7) | 0.9 (0.1) | 1.9 (0.2) | |
| Unfertilized | 6371.6 (429.0) | 36.0 (2.8) | 4.8 (0.4) | 55.6 (3.3) | 1.0 (0.1) | 3.1 (0.2) | ||
| p-Value | 0.01 | 0.06 | 0.09 | <0.01 | 0.56 | 0.01 | ||
| Leaves | Fertilized | 1738.0 (185.3) | 103.7 (10.9) | 7.2 (0.8) | 52.4 (5.3) | 13.8 (1.4) | 5.2 (0.5) | |
| Unfertilized | 2947.6 (253.1) | 131.6 (11.6) | 7.4 (0.6) | 62.7 (4.5) | 26.3 (2.6) | 6.8 (0.6) | ||
| p-Value | 0.02 | 0.16 | 0.88 | 0.22 | 0.01 | 0.10 | ||
| Total | Fertilized | 26,331.6 (2971.7) | 297.9 (33.4) | 56.8 (6.5) | 591.8 (69.7) | 21.2 (2.2) | 16.9 (1.8) | |
| Unfertilized | 48,900.4 (3616.6) | 343.6 (28.7) | 30.8 (2.3) | 361.8 (25.3) | 35.1 (3.1) | 28.3 (2.0) | ||
| p-Value | <0.01 | 0.36 | 0.02 | 0.04 | 0.02 | 0.01 | ||
| Belowground | Roots | Fertilized | 1010.7 (207.1) | 12.2 (3.0) | 1.7 (0.8) | 14.7 (2.7) | 1.0 (0.3) | 1.9 (0.4) |
| Unfertilized | 4140.4 (444.4) | 46.6 (10.0) | 1.3 (0.5) | 39.8 (2.8) | 6.1 (0.5) | 14.9 (0.9) | ||
| p-Value | <0.01 | 0.03 | 0.63 | <0.01 | <0.01 | <0.01 | ||
| Rhizomes | Fertilized | 1418.9 (294.9) | 13.0 (4.1) | 4.3 (1.6) | 16.8 (6.8) | 0.8 (0.3) | 1.0 (0.3) | |
| Unfertilized | 3258.3 (2160.7) | 25.5 (18.2) | 2.1 (1.5) | 27.9 (18.0) | 2.2 (1.8) | 5.6 (4.6) | ||
| p-Value | 0.45 | 0.54 | 0.37 | 0.60 | 0.48 | 0.37 | ||
© 2018 by the authors. Licensee MDPI, Basel, Switzerland. This article is an open access article distributed under the terms and conditions of the Creative Commons Attribution (CC BY) license (http://creativecommons.org/licenses/by/4.0/).
Share and Cite
Kim, C.; Baek, G.; Yoo, B.O.; Jung, S.-Y.; Lee, K.S. Regular Fertilization Effects on the Nutrient Distribution of Bamboo Components in a Moso Bamboo (Phyllostachys pubescens (Mazel) Ohwi) Stand in South Korea. Forests 2018, 9, 671. https://doi.org/10.3390/f9110671
Kim C, Baek G, Yoo BO, Jung S-Y, Lee KS. Regular Fertilization Effects on the Nutrient Distribution of Bamboo Components in a Moso Bamboo (Phyllostachys pubescens (Mazel) Ohwi) Stand in South Korea. Forests. 2018; 9(11):671. https://doi.org/10.3390/f9110671
Chicago/Turabian StyleKim, Choonsig, Gyeongwon Baek, Byung Oh Yoo, Su-Young Jung, and Kwang Soo Lee. 2018. "Regular Fertilization Effects on the Nutrient Distribution of Bamboo Components in a Moso Bamboo (Phyllostachys pubescens (Mazel) Ohwi) Stand in South Korea" Forests 9, no. 11: 671. https://doi.org/10.3390/f9110671
APA StyleKim, C., Baek, G., Yoo, B. O., Jung, S.-Y., & Lee, K. S. (2018). Regular Fertilization Effects on the Nutrient Distribution of Bamboo Components in a Moso Bamboo (Phyllostachys pubescens (Mazel) Ohwi) Stand in South Korea. Forests, 9(11), 671. https://doi.org/10.3390/f9110671

