Abstract
Knowledge of soil organic carbon (SOC) dynamics underpins accurate estimation of carbon sequestration in fragile ecosystems. However, most studies focus on SOC content in bulk soil while neglecting its distribution within soil aggregate fractions and the associated stabilization mechanisms. In the Mu Us Sandy Land, five vegetation types of the same restoration age were selected: natural grassland (NG), mixed grass–shrubland (GS), pure shrubland (PS), pure woodland (PW), and mixed woodland (MW). SOC stocks in bulk soil and aggregate fractions were quantified, and their key influencing factors were identified. The results showed that vegetation type and soil depth significantly impacted SOC stocks and their distribution among aggregates. Pure woodland exhibited the highest SOC stocks, particularly in macroaggregates and microaggregates. Aggregate stability, nutrient availability, and extracellular enzyme activities jointly regulated SOC accumulation, but their relative importance varied across vegetation types. Aggregate stability and physical protection were the main drivers in GS, PS, and PW, while nutrient availability played a more significant role in MW and NG. In conclusion, these findings emphasize the crucial role of soil aggregate stability and physical protection of macroaggregates and microaggregates in enhancing soil carbon sequestration, providing important theoretical support for optimizing ecological restoration strategies.
1. Introduction
Soils exert substantial influence on the global carbon cycle, given that they store two to three times more organic carbon than the atmosphere and vegetation combined [1]. Soil organic carbon (SOC) is widely recognized as an essential measure of soil quality and fertility, and its dynamics strongly regulate ecosystem productivity [2,3]. However, SOC in bulk soil is often insensitive to short-term land-use changes and may fail to fully capture internal shifts in carbon pools and their stabilization mechanisms [4]. In contrast, soil aggregates, as primary structural units of soil, respond more sensitively to management and environmental disturbances [5]. The formation and stabilization of soil aggregates represent a central mechanism of SOC sequestration, as their physical protection can occlude organic matter within the aggregate matrix, thereby limiting microbial decomposition and enhancing carbon retention [6,7,8]. Distinct aggregate fractions differ in their mechanisms and contributions to SOC stabilization [9]. Macroaggregates (>0.25 mm) are formed primarily through root exudates, fungal hyphae, and transient organic binding agents that enmesh smaller particles, and they serve as the initial sites for the incorporation of fresh plant-derived inputs [10,11]. At this scale, carbon accumulation largely depends on the intensity of plant residue inputs; although accumulation rates can be rapid, the relatively loose structure of macroaggregates confers weaker physical protection [11]. Microaggregates (0.053–0.25 mm), in contrast, are stabilized by more persistent binding agents, including microbial polysaccharides, humified organic compounds, and polyvalent cation bridges. Their small pore spaces effectively restrict microbial and extracellular enzyme access, thereby providing strong physical protection for SOC [12,13]. In the silt and clay fraction (<0.053 mm), SOC is predominantly associated with mineral surfaces, forming mineral-associated organic carbon (MAOC) with turnover times that can extend to centuries [14,15,16,17]. Therefore, examining SOC distribution among aggregate size fractions is critical for elucidating the mechanisms underlying soil carbon sequestration.
Semi-arid ecosystems are among the most sensitive regions in the terrestrial carbon cycle, where soil carbon pools respond strongly to anthropogenic disturbances and climate change [18]. In recent decades, intensified desertification has progressively weakened SOC sequestration capacity in these regions. Wind erosion removes surface aggregates enriched in organic matter, leading to SOC depletion and a reduction in soil structural stability [3,19]. To counteract these effects, large-scale vegetation restoration programs have been widely implemented. Vegetation restoration enhances SOC sequestration by increasing both aboveground and belowground biomass, thereby augmenting litter inputs and root-derived carbon to the soil [20]. However, vegetation types differ markedly in canopy architecture, litter quality, root distribution, and microenvironmental regulation, which may drive divergent shifts in aggregate size distribution and SOC allocation patterns [8,21]. Grasslands typically develop dense, shallow root systems that exert limited stabilization effects on deeper soil layers. Moreover, relatively low SOC concentrations in these systems may constrain the supply of binding agents necessary for aggregate formation [22]. In contrast, woodland and shrubland, contribute roots in deep soil layers and greater inputs of lignified residues, exerting more persistent influences on aggregation processes in subsurface soils [23]. Previous studies have reported pronounced variations in SOC content across different aggregate fractions under distinct vegetation restoration scenarios [24,25].
Soil aggregate stability is a fundamental determinant of physical protection capacity; more stable aggregates exhibit greater resistance to disruptive forces such as wind erosion [16,26]. Mean weight diameter (MWD), geometric mean diameter (GMD), and the proportion of macroaggregates greater than 0.25 mm (R>0.25) are widely used metrics to characterize aggregate stability [26,27,28,29]. MWD and GMD integrate aggregate size distribution patterns; higher values indicate a greater proportion of larger aggregates, enhanced structural integrity, and stronger physical protection of SOC [30]. The R>0.25 index provides a direct measure of resistance to erosion and structural breakdown. In addition to aggregate stability, soil nutrient status and extracellular enzyme activity are key regulators of SOC accumulation. Soil nutrients influence vegetation productivity and carbon inputs, whereas extracellular enzymes regulate SOC turnover rates [18]. During microbial decomposition of plant-derived carbon, microbial metabolites and necromass act as important biological binding agents in the formation of microaggregates, thereby potentially promoting SOC accumulation within aggregate fractions.
Although extensive research has addressed the influence of vegetation restoration on SOC stocks, most have focused on changes in SOC in bulk soil, with limited attention to SOC distribution among aggregate fractions and the underlying regulatory mechanisms [4,22]. Because aggregate fractions differ in their protective mechanisms for SOC, assessment based solely on SOC in bulk soil cannot adequately quantify the fate of newly incorporated carbon or its stabilization pathways, thereby constraining accurate evaluation of soil carbon sequestration potential. The Mu Us Sandy Land is a typical ecologically vulnerable area marked by low vegetation cover, severe wind erosion, and limited SOC sequestration capacity. Over recent decades, a range of vegetation restoration programs have been carried out in this region, resulting in substantial ecological improvements. In the present study, five representative vegetation types following restoration in the Mu Us Sandy Land were selected: natural grassland (NG), mixed grass–shrubland (GS), pure shrubland (PS), pure woodland (PW), and mixed woodland (MW). This study aims to address two critical questions: (1) How do SOC content and stocks in bulk soil and across aggregate fractions vary among vegetation types? (2) What are the dominant factors regulating SOC distribution and accumulation in aggregates under different vegetation types?
2. Meterials and Methods
2.1. Study Area
This study was conducted in the southeast of Mu Us Sandy Land, located in Shenmu City, Yulin, Shaanxi Province, China (38°49′38.94″ N, 110°18′38.19″ E). The region is marked by a semiarid continental monsoon climate, with an elevation ranging from 738 to 1448 m, a mean annual temperature of 9.2 °C, an average annual precipitation of approximately 400 mm, and about 2716 h of annual sunshine.
The soil in the study area is predominantly aeolian sandy soil with a loose surface structure and low nutrient content. Based on the World Reference Base for Soil Resources (WRB), the soil type in this region is classified as Arenosols. According to field investigations and interviews with local land managers, the study area was historically dominated by cropland used for maize cultivation; prior to the implementation of the “Grain for Green” project, these lands featured consistent agricultural management practices and homogeneous soil textures. Following the cessation of farming, these abandoned croplands were converted into various natural and artificial vegetation types, all of which have a restoration legacy of approximately 15 years. The current vegetation types include naturally restored grassland (NG), dominated by Bothriochloa ischaemum (Linn.) Keng; artificially restored shrubland (PS), dominated by Artemisia desertorum Spreng and mixed grass-shrubland (GS) dominated by Artemisia desertorum Spreng and Salix psammophila; pure woodland (PW), consisting of Pinus sylvestris var. mongolica with an average height of approximately 8 m; and mixed woodland (MW), comprising a mixture of Pinus sylvestris var. mongolica and Salix psammophila. A detailed description of the land-use history of the study area was provided in the Supplementary Materials.
2.2. Field Sampling
In September 2022, soil samples were collected from different vegetation types mentioned above in the Mu Us Desert (Shenmu, Shaanxi Province). All sites were located within the same sandy soil region with comparable parent material and similar initial texture, and had undergone comparable restoration periods (~15 years), ensuring that the observed differences reflect the specific vegetation types rather than inherent granularity or restoration age. For each vegetation type, three independent plots (20 m × 20 m) were established. Within each plot, three 1 m × 1 m quadrats were positioned along the diagonal for vegetation surveys. Soil samples were then collected from two depths: 0–20 cm (surface layer) and 20–40 cm (subsurface layer). Within each plot, five soil cores were collected per layer using a soil auger following an S-shaped sampling pattern; these cores were then pooled to form one composite sample per layer per plot. All sampling sites shared similar elevations, topographies, and slopes. A total of 30 soil samples were obtained (5 vegetation types × 3 replicates × 2 soil layers). The community characteristics and basic physicochemical properties for each vegetation type are summarized in Table 1.
Table 1.
Characteristics of understory vegetations and basic physicochemical properties of soil under different vegetation types. Note: NG: natural grassland, PS: pure shrubland, GS: mixed grass-shrubland, PW: pure woodland, MW: mixed woodland. Values represent means ± standard error (n = 3). Lowercase letters indicate significant differences (p < 0.05) among different vegetation types.
All impurities (e.g., gravel and ferro-manganese nodules) and residual fine roots were manually removed using tweezers, and the soil was sieved through a 2 mm mesh. Each composite sample was divided into two subsamples for distinct analyses: one fresh subsample was stored at −20 °C for the determination of extracellular enzyme activities, while the other was air-dried to analyze soil physicochemical properties and soil organic carbon (SOC) content. Additionally, undisturbed soil cores were collected from both layers (0–20 cm and 20–40 cm) using a cutting ring (100 cm3 volume) to determine soil bulk density.
2.3. Determination of SOC Stocks in Bulk Soil and Aggregates and Soil Aggregate Properties
The aggregate size distribution and stability of the soil aggregates were determined using the dry sieving method [31]. Soil aggregates were separated into four size classes: large macroaggregate (>0.5 mm), small macroaggregate (0.25–0.5 mm), microaggregate (0.053–0.25 mm), and silt + clay (<0.053 mm). The soil samples from each aggregate fraction were ground and passed through a 0.15 mm sieve to to determine SOC concentrations. SOC in both bulk soil and aggregate fractions were measured using the external heating H2SO4–K2Cr2O7 oxidation method with FeSO4 titration, and an oxidation correction factor of 1.1 was applied [32]. Soil pH was determined using a pH meter (Shanghai Leici Instrument Factory, Shanghai, China) in a soil–water suspension at a ratio of 1:2.5 (w/v). Soil moisture was quantified by oven drying the samples at 105 °C for 48 h. The soil ammonium nitrogen (NH4+-N) and nitrate nitrogen (NO3−-N) were measured via a continuous flow analyzer (Autoanalyzer 3, Bran and Luebbe, Norderstedt, Germany). The soil total phosphorus (TP) and available phosphorus (A-P) concentrations were assayed by melt-molybdenum, antimony and scandium colorimetry [32].
Given the absence of coarse particles (>2 mm) in the soil samples, SOC stocks were estimated based on the following equations [33]:
where SOCStock is total soil organic carbon stocks (Mg·ha−1), SOCi is the soil organic carbon content (g·kg−1) in each aggregate size fraction; SOC is the total soil organic carbon content in bulk soil (g·kg−1), BD is soil bulk density (g·cm−3), T is soil layer thickness (cm) and Wi is the weight proportion of each aggregate fraction relative to the total soil sample (%).
To assess soil aggregate stability, three key parameters were calculated, including the mean weight diameter (MWD), the proportion of macroaggregates (R>0.25) and the geometric mean diameter (GMD) [34]. The macroaggregate fraction (R>0.25 mm) was determined by summing the mass proportions of the >0.5 mm and 0.25–0.5 mm size classes, while MWD and GMD indices were calculated based on the full distribution of the four measured sieve fractions (>0.5 mm, 0.25–0.5 mm, 0.053–0.25 mm, and <0.053 mm), ensuring that the cumulative weight proportion of all fractions equals 100%.
where Wi indicates the mass fraction (%) of each aggregate size class, Ri denotes the mean diameter of the corresponding size class (mm).
2.4. Soil Enzyme Activity Analysis
We assessed the activities of four key enzymes in the soils: β-1,4-glucosidase (BG), cello-biohydrolase (CBH), N-acetyl-β-glucosaminidase (NAG), and alkaline phosphatase (AP). BG and CBH activities were indicative of carbon cycling, NAG activity reflected nitrogen cycling, and AP activity provided insights into phosphorus cycling [35]. In general, BG and CBH play pivotal roles in the decomposition of cellulose, a major structural component of plant biomass. CBH catalyzes the hydrolysis of cellulose into cellobiose, while BG further converts cellobiose into glucose. Enzyme activities were determined using a microplate fluorometric method [36]. Enzyme activities were expressed in nmol·h−1·g−1. The detailed steps for extracellular enzyme assay were described in the Supplementary Materials.
2.5. Statistical Analysis
All data were assessed for normality and homogeneity of variances. when these assumptions were not satisfied, a log10(x + 1) transformation was applied. One-way analysis of variance (ANOVA) was applied to determine the effects of different vegetation types on various soil parameters, including soil aggregate-associated carbon, physicochemical properties, soil aggregate stability indices, and enzyme activities. Post hoc multiple comparisons were conducted using the Tukey HSD test to further identify significant differences among the vegetation types. Two-way ANOVA was conducted to examine the combined effects of vegetation type and soil depth on the distribution of soil aggregate fractions. All statistical analyses were performed using SPSS 26.0 (SPSS Inc., Chicago, IL, USA) and OriginPro 2023 (OriginLab, Northampton, MA, USA). Spearman correlation analysis was employed to explore the relationships among soil aggregate-associated carbon stocks, total soil organic carbon (SOC) stocks, aggregate stability indices, and soil enzyme activities. A random forest (RF) model was applied to evaluate the relative importance of factors in explaining variations in SOC stocks. However, this approach identifies the contribution of predictors rather than establishing direct causal relationships. Furthermore, structural equation modeling (SEM) was employed to determine the direct and indirect relationships among aggregate stability indices, enzyme activities, physicochemical properties, aggregate-associated carbon, and the target variable SOC. Model performance was evaluated using the goodness-of-fit index (GFI) and the root mean square error of approximation (RMSEA). All results were presented as mean ± standard error (SE), with statistical significance defined at p < 0.05 unless otherwise stated. Detailed descriptions of the parameter settings for the RF and SEM construction were provided in the Supplementary Materials.
3. Results
3.1. Soil Aggregate Composition Under Different Vegetation Types
Vegetation type and soil depth both had significant effects on soil aggregate composition (Table 2). Artificially restored sites (PS, PW, GS, MW) had higher proportions of macroaggregates and lower proportions of microaggregates than naturally restored grassland (NG) across both soil layers (Figure 1). The proportion of macroaggregates in artificial vegetation types (PS, PW, GS, and MW) ranged from 49.35% to 60.95%, while microaggregates and silt + clay fractions accounted for 35.45%–43.05% and 2.3%–7.5%, respectively. In NG, the proportion of microaggregates (54.85%) was higher than that of macroaggregates (39.55%). The highest proportion of macroaggregates and lowest proportion of microaggregates were observed in PW.
Table 2.
Two-way ANOVA results for the effects of vegetation type and soil depth on the proportion of each aggregate size (n = 3).
Figure 1.
Porportion of each soil aggregate size in different vegetation types. Different lowercase letters indicate statistically significant differences among different vegetation types (p < 0.05). Note: NG: natural grassland, PS: pure shrubland, GS: mixed grass-shrubland, PW: pure woodland, MW: mixed woodland. Error bars represent standard errors of the means (n = 3).
Across all vegetation types, the proportion of macroaggregates declined with increasing soil depth, whereas the proportion of microaggregates increased. In NG, the proportion of macroaggregates in the 0–20 cm layer was 1.45 times greater than in the 20–40 cm layer, whereas the proportion of microaggregates in the 20–40 cm soil layer was 1.33 times greater than in the 0–20 cm soil layer. Averaged across artificially restored sites (PS, PW, GS, MW), the proportion of macroaggregates in the 0–20 cm layer was 1.18 times greater than in the 20–40 cm soil layer, whereas the proportion of microaggregates in the 20–40 cm soil layer was 1.23 times greater than in the 0–20 cm soil layer.
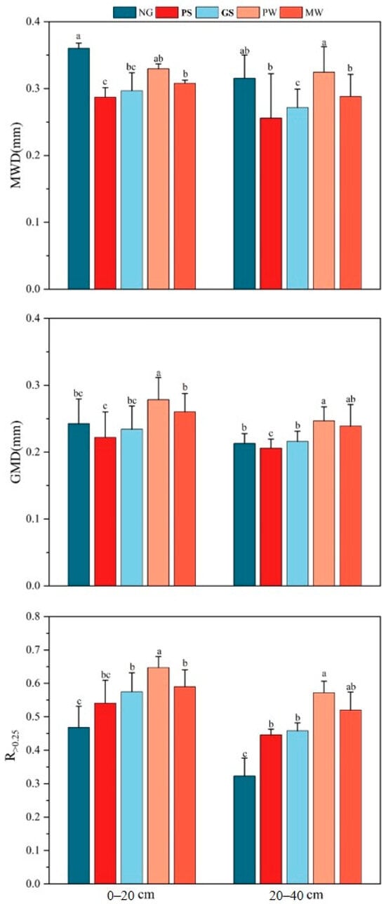
3.2. Soil Aggregate Stability Under Different Vegetation Types
Soil aggregate stability indicators were affected by vegetation type and soil depth (Figure 2). In general, the highest MWD, GMD, and proportion of aggregates with R>0.25 were observed in PW in both 0–20 cm and 20–40 cm layers, except for MWD in the 0–20 cm layer, which was higher in NG. The lowest MWD and GMD in both two layers were observed in PS, except for MWD in 20–40 cm layer, which was lower in GS. The lowest proportion of aggregates with R>0.25 was observed in NG. In all vegetation types, the MWD, GMD and proportion of aggregates with R>0.25 were higher in the 0–20 cm soil layer than in the 20–40 cm soil layer.
Figure 2.
One-way ANOVA results for the soil aggregate stability under different vegetation types. MWD: mean weight diameter, GMD: geometric mean diameter, R>0.25: the proportion of aggregates larger than 0.25 mm. Lowercase letters denote statistically significant differences across vegetation types (p < 0.05). Note: NG: natural grassland, PS: pure shrubland, GS: mixed grass-shrubland, PW: pure woodland, MW: mixed woodland. Error bars represent standard errors of the means (n = 3).
3.3. Soil Organic Carbon Stocks Under Different Vegetation Types
Vegetation type and soil depth exerted significant effects on SOC contents and stocks (Figure 3). The highest SOC contents and stocks were observed in PW in both 0–20 and 20–40 cm soil layers. The lowest SOC contents and stocks in the 0–20 and 20–40 cm soil layers were in GS and NG, respectively. In all vegetation types, the SOC contents and stocks were greater at 0–20 cm than at 20–40 cm.
Figure 3.
The soil organic carbon content (g kg−1) and stocks (Mg ha−1) under different vegetation types. Different lowercase letters indicate statistically significant differences across different vegetation types (p < 0.05). Note: NG: natural grassland, PS: pure shrubland, GS: mixed grass-shrubland, PW: pure woodland, MW: mixed woodland. Error bars indicate the standard error of the mean (n = 3).
3.4. Soil Organic Carbon Stocks in Aggregate Fractions Under Different Vegetation Types
Vegetation type and soil depth significantly affected SOC stocks in soil aggregates (Figure 4). Among the five vegetation types and two soil layers, SOC stocks were highest in macroaggregates (>0.25 mm) and lowest in the silt + clay fraction. In the 0–20 cm layer, SOC stocks in the macroaggregates were lowest in GS and highest in NG, whereas SOC stocks in the microaggregates were highest in PW and those in the silt + clay fraction were highest in NG. In the 20–40 cm layer, SOC stocks in the macroaggregates were lowest in MW and highest in NG, while SOC stocks in both the microaggregates and the silt + clay fraction were highest in PW. SOC stocks in the macroaggregates and microaggregates were greater at 0–20 cm than at 20–40 cm. In contrast, SOC stocks in the silt + clay fraction of the artificially restored sites (PS, PW, and MW) were greater at 20–40 cm than at 0–20 cm, whereas SOC stocks in the silt + clay fraction of NG displayed the opposite trend.
Figure 4.
One–way ANOVA results for soil organic carbon stocks in each aggregate size (Mg ha−1) under different vegetation types. Different lowercase letters denote statistically significant differences (p < 0.05) among vegetation types. Note: NG: natural grassland, PS: pure shrubland, GS: mixed grass-shrubland, PW: pure woodland, MW: mixed woodland. Error bars represent standard errors of the means (n = 3).
3.5. Soil Enzyme Activities Under Different Vegetation Types
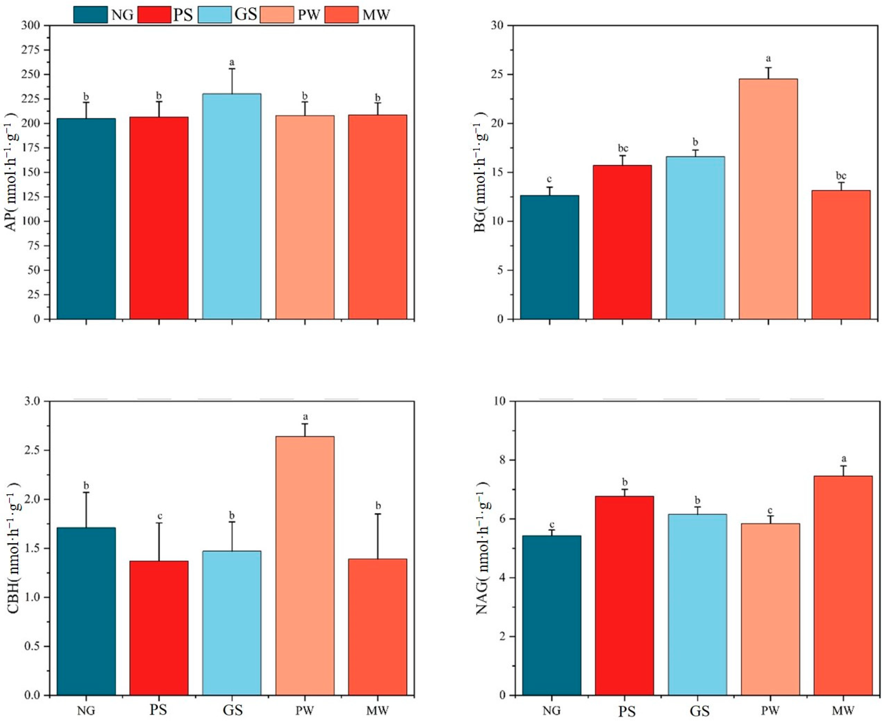
Enzyme activities (BG, CBH, NAG, and AP) varied markedly among vegetation types (Figure 5). BG and CBH showed the highest activities in PW, whereas their lowest values occurred in NG and PS, respectively. NAG and AP exhibited peak activities in MW and GS, while both enzymes showed the lowest activities in NG.
Figure 5.
One-way ANOVA results for soil enzyme activities under different vegetation types (n = 6). BG: β-glucosidase; CBH: cello-biohydrolase; NAG: β-1,4-N-acetyl-glucosaminnidase and AP: alkaline phosphatase. Different lowercase letters denote statistically significant differences across different vegetation types (p < 0.05). Note: NG: natural grassland, PS: pure shrubland, GS: mixed grass-shrubland, PW: pure woodland, MW: mixed woodland. Error bars denote standard errors of the means (n = 3).
3.6. The Influence of Environmental Factors on Soil Organic Carbon Stocks
SOC stocks (SOCs) in bulk soil were positively correlated with soil enzyme activities (BG, CBH, NAG), aggregate stability indices (MWD, GMD, and R>0.25), and aggregate-associated SOCs (Figure 6). SOCs in macroaggregates were positively correlated with NO3−-N, enzyme activities and GMD. SOCs in microaggregates were positively correlated with enzyme activities. Among the aggregate stability indicators, MWD exerted the strongest influence on SOCs. Aggregate-associated SOC content and stocks also contributed substantially to SOCs variation, whereas BG and CBH were the main explanatory factors among enzyme activities.
Figure 6.
Spearman correlation and random forest analysis were conducted on soil nutrient status, enzyme activities, aggregate stability, SOC content and stocks in bulk soil and aggregates (n = 6). Red denotes positive correlations, green denotes negative correlations, and the color shading indicates * p < 0.05. The histograms illustrated the extent of variation in the overall interpretation of SOC stocks caused by each influencing factor, as determined through random forest analysis. BG: β-1,4-glucosidase, CBH: cellobio-hydrolase, NAG: β-1,4-N-acetyl-glucosaminnidase, AP: alkaline phosphatase, A-P: available P; NO4+-N; ammonium nitrogen; NO3−-N; nitrate nitrogen; GMD: geometric mean diameter, MWD: mean weight diameter, SOC: soil organic carbon, MOCt: macroaggregate organic carbon content (g kg−1), mOCt: microaggregate organic carbon content (g kg−1), SCOCt: Silt + Clay particles organic carbon content (g kg−1), SOCt: soil organic carbon content in bulk soil (g kg−1), MOCs: macroaggregate organic carbon stocks (Mg ha−1), mOCs: microaggregate organic carbon stocks (Mg ha−1), SCOCs: Silt + Clay particles organic carbon stocks (Mg ha−1), SOCs: soil organic carbon stocks in bulk soil (Mg ha−1).
The structural equation model (SEM) further revealed both direct and indirect pathways linking influencing factors to SOCs in bulk soil (Figure 7). The critical factors explained 71%, 81%, 75%, 87%, and 69% of the variation in SOCs in GS, PS, PW, MW, and NG, respectively. In each vegetation type, aggregate stability and aggregate-associated SOCs directly regulated SOCs in bulk soil. In artificially restored sites (GS, PS, PW, and MW), nutrient status also affected SOCs by mediating aggregate stability and aggregate-associated SOCs. Aggregate stability positively influenced aggregate-associated SOCs across all vegetation types. Aggregate-associated SOCs were the primary contributors to SOC variation in GS, PS, and PW, whereas nutrient status was the dominant influencing factor in MW and NG.
Figure 7.
Structural equation model (SEM) analysis was conducted to investigate the regulation of SOC stocks in bulk soil and in aggregates by soil nutrient status, enzyme activities and aggregate stability, as well as the physical protection of aggregates under GS, mixed grass-shrubland (A,A1); PS, pure shrubland (B,B1); PW, pure woodland (C,C1); MW, mixed woodland (D,D1) and NG, natural grassland (E,E1). Square boxes indicate variables included in the model (n = 6). BG: β-glucosidase; CBH: cellobio-hydrolase; MOCs, mOCs and SCOCs: the soil organic carbon stocks in macroaggregates, microaggregates and silt + clay particles, respectively. GMD: geometric mean diameter, MWD: mean weight diameter; A-P: available P; NO3−-N: Nitrate nitrogen; SOC, soil organic carbon; AAOC, aggregate associated organic carbon. Arrow width reflects the significance of the relationship; red arrows indicate positive correlations, whereas black arrows indicate negative correlations. Values adjacent to the arrows represent the effect size of each relationship, and arrow thickness corresponds to the magnitude of the path coefficient. The symbols of ‘↑’ and ‘↓’ mean the positive and negative of the normalized load coefficient. R2 values indicate the percentage of variance accounted for in each endogenous variable. GFI denotes the goodness-of-fit index, and RMSEA refers to the root mean square error of approximation.
4. Discussion
4.1. Effects of Different Vegetation Types on Soil Aggregate Composition and Stability
Soil aggregate composition and its stability serve as key indicators for assessing soil quality and erodibility, with their formation and persistence regulated by vegetation types and organic matter inputs [16,37]. In this study, both vegetation type and soil depth exerted significant effects on soil aggregate composition. Compared with naturally restored grassland (NG), artificially restored vegetation types (PS, PW, GS, and MW) exhibited higher proportions of macroaggregates and lower proportions of microaggregates in both two soil layers. These findings align with previous studies suggesting that shrublands and woodlands were associated with lower proportions of microaggregates and higher proportions of macroaggregates [38,39]. Among the artificially restored vegetation types, PW displayed the highest macroaggregate proportion and the lowest microaggregate proportion. The variations in aggregate composition across vegetation types stems from variations in the quantity and quality of aboveground and belowground vegetation biomass inputs [38]. Specifically, PW possessed higher root and litter biomass, providing an abundant source of organic cementing agents for the soil. Root exudates and fungal hyphal networks directly facilitate the aggregation of soil particles, while organic matter derived from litter decomposition acts as a binding agent that cements microaggregates into macroaggregates [40,41]. In contrast, despite having the highest vegetation coverage, NG was dominated by shallow herbaceous roots with lower root and litter biomass. This insufficiency of persistent cementing agents hindered the formation of macroaggregates, resulting in a soil structure characterized by a microaggregate-dominated pattern [39].
Soil aggregate stability indices further corroborated the influence of vegetation type on soil structure. In this study, PW exhibited the highest aggregate stability (GMD, MWD, and R>0.25) in both two soil layers. This was attributable to shifts in root traits associated with vegetation type; woodland is characterized by a more complex root network and greater root biomass. In deep soil layers, roots not only mechanically stabilize soil through penetration and entanglement, but also supply organic binding agents via root exudates and decomposed roots, thereby enhancing aggregate stability [13,16]. Although PS had the highest root biomass, its lower vegetation cover and limited surface litter input may render surface aggregates more susceptible to external disturbance, which may account for the relatively lower MWD and GMD observed in PS [42].
Differences in aggregate composition and stability across soil layers under various vegetation types also warrant attention. Across all vegetation types, macroaggregate proportions declined with soil depth, while microaggregates showed a concurrent increase. This vertical distribution pattern aligns with the general principles of soil aggregate formation: surface soils receive greater inputs of fresh organic matter and exhibit more intensive microbial activity, which facilitates the formation and stabilization of macroaggregates; in contrast, subsurface soils experience limited organic matter inputs, resulting in weaker aggregation [43,44]. Notably, the macroaggregate proportion of the artificially restored vegetation types (PS, PW, GS, MW) decreased less markedly with soil depth compared to NG, indicating that the roots of woodlands and shrublands can sustain aggregation processes in deeper soil layers. Overall, these results reveal that vegetation types influence soil aggregate composition and stability by modulating the quantity and quality of plant-derived organic matter inputs. Artificially restored vegetation types, particularly PW, were associated with macroaggregate formation and higher aggregate stability, likely due to the more abundant sources of root exudates and litter provided by PW.
4.2. Effects of Different Vegetation Types on Soil Organic Carbon Stocks in Aggregates and Bulk Soil
SOC stocks serve as a core indicator for evaluating the ecological benefits of vegetation restoration. In this study, vegetation types were significantly associated with variations in SOC stocks in bulk soil and aggregate fractions. PW exhibited the highest SOC contents and stocks in bulk soil across the 0–40 cm depth, suggesting that pure woodland was associated with the greatest carbon sequestration potential. This aligns with previous research regarding the regulation of SOC stocks by vegetation types [38]. The elevated SOC stocks in PW were largely driven by. the synergistic increase in root biomass and litter input [45]. Conversely, GS and NG recorded the lowest SOC stocks at depths of 0–20 cm and 20–40 cm, respectively, indicating that while the high vegetation coverage of NG was substantially associated with SOC stocks in the surface layers, its shallow root distribution may be associated with low SOC accumulation in the subsurface layers [38]. Additionally, the lower vegetation coverage and biomass of shrublands were associated with their reduced SOC stocks.
The distribution pattern of SOC stocks within aggregate fractions provides a deeper perspective for understanding carbon sequestration differences across various vegetation types. In this study, across all vegetation types and soil depths, macroaggregates sequestered the highest SOC stocks, followed by microaggregates and finally the silt + clay fractions, indicating that macroaggregates were the primary carrier for SOC storage [16,46,47]. Macroaggregates primarily store particulate organic carbon (POC), while the silt + clay fractions mainly store mineral-associated organic carbon (MAOC). This implied that following vegetation restoration, SOC was predominantly preserved in the soil in the form of POC [48,49]. This result was highly consistent with research on aggregate-associated carbon accumulation under different vegetation types, which found that the contribution of macroaggregates to SOC stocks exceeded 75% in all vegetation types [43,44]. On one hand, macroaggregates are the primary enrichment sites for fresh organic matter upon entering the soil, enabling rapid sequestration of newly input carbon; on the other hand, macroaggregates provide a degree of physical protection for SOC through physical occlusion [40]. PW performed particularly prominently in enhancing SOC stocks in aggregate fractions, exhibiting the highest SOC stocks in microaggregates within the 0–20 cm soil layer, and the highest SOC stocks in both microaggregates and silt + clay fractions within the 20–40 cm soil layer. This was stemmed primarily from the higher root and litter biomass of PW, which provided a continuous source of carbon input to the soil, subsequently transferring from macroaggregates to microaggregates and silt + clay fractions during aggregate turnover. The higher vegetation coverage and height of NG provided continuous and rapid carbon inputs to the soil, while the lower lignin content in litter and roots accelerated SOC turnover, which may explain the rapid accumulation of SOC in macroaggregates under NG. However, SOC stocks in bulk soil under NG were significantly lower than those under PW, which was attributed to the fact that SOC in NG was primarily concentrated in large macroaggregates with high bioavailability, whereas SOC in PW was mainly concentrated in small macroaggregates and microaggregates, which offered stronger physical protection and were less susceptible to microbial decomposition [50,51,52].
SOC stocks in macroaggregates, microaggregates, and in bulk soil decreased with increasing soil depth across different vegetation types [38,43,47]. Surface soil was more directly influenced by carbon inputs from vegetation litter and roots, while intense environmental disturbances and microbial activities in the surface layer promoted the rapid accumulation of SOC in macroaggregates and microaggregates [38]. In contrast to NG, SOC stocks in the silt + clay fraction under artificially restored vegetation types (PS, PW, and MW) were greater at 20–40 cm than at 0–20 cm, a disparity potentially linked to root activities in the deep soil layer of woodlands and shrublands. Organic acids secreted by roots in deeper soil layers may promote mineral weathering and increase mineral binding sites, thereby facilitating the adsorption and stabilization of SOC within the silt + clay fraction [13,39]. In summary, different vegetation types significantly influence SOC accumulation across aggregate fractions by regulating vegetation carbon inputs and aggregate composition. Specifically, PW was significantly associated with higher SOC stocks in bulk soil, which corresponded to increased contributions of small macroaggregates and microaggregates to SOC stocks.
4.3. Driving Mechanisms of SOC Accumulation Under Different Vegetation Types
Aggregate stability is a critical factor determining soil physical protection capacity and acts as a critical regulator of SOC accumulation and stabilization [53]. Results of this study indicated that aggregate stability parameters (MWD, GMD, and R>0.25) were the key factors driving SOC accumulation in aggregate fractions and in bulk soil, while aggregate stability drove variations in SOC stocks in bulk soil by regulating SOC within aggregate fractions. Previous studies have found that aggregate stability contributes significantly to SOC accumulation [38,53,54]. Stable aggregates reduce microbial accessibility through physical occlusion, which favors long-term SOC sequestration [30]. In PW, higher SOC accumulation in bulk soil was associated with greater aggregate stability, which coincided with a higher allocation of SOC within small macroaggregates and microaggregates. Higher aggregate stability also implied superior soil resistance to erosion, which facilitated SOC accumulation to a certain extent. However, an excessively high proportion of macroaggregates does not always translate to higher SOC stocks, as SOC within large macroaggregates may still be decomposed and utilized by microorganisms due to their loose structure [55]. The proportion of large macroaggregates in NG exceeded that of artificially restored vegetation types. However, NG exhibited lower SOC stocks in bulk soil compared to those in artificially restored vegetation types, further substantiating this perspective. Regulatory factors for SOC stocks in bulk soil varied among different vegetation types. In GS, PS, and PW, aggregate stability and physical protection were the primary drivers of SOC variation in bulk soil, likely resulting from enhanced vegetative biomass and microbial activity in shrublands and pure woodlands. Soil microorganisms rapidly decompose plant-derived carbon and facilitate its transfer to small macroaggregates and microaggregates during aggregate turnover, thereby enhancing the physical protection of SOC.
Soil extracellular enzymes represent another core factor regulating SOC accumulation. This study found that BG and CBH activities exhibited a positive correlation with SOC stocks across bulk soil, macroaggregates, and microaggregates. This indicates that vigorous microbial activity accelerates SOC turnover while promoting the secretion of microbial derivatives, such as extracellular polycarbohydrates and proteins. These compounds act as important biological binding agents, enhancing the development and stability of both macroaggregates and microaggregates [41,56,57]. Furthermore, as microorganisms decompose and utilize plant-derived carbon, they accelerate the transformation of plant-derived carbon into microbial necromass, which is a primary source of SOC in microaggregates [58]. Consequently, elevated extracellular enzyme activities could facilitate the sequestration of aggregate-associated SOC, thereby augmenting SOC stocks in bulk soil. This result aligns with the microbial carbon pump hypothesis, which suggests that microbial metabolism achieves long-term carbon sequestration by converting labile carbon into recalcitrant forms. However, the structural equation model (SEM) revealed that soil extracellular enzymes exerted a negative regulatory effect on SOC stocks and aggregate stability across different vegetation types, which contradicted the positive correlations mentioned above. This discrepancy may have arisen because, while extracellular enzymes were positively associated with SOC stocks and aggregate stability when considering all vegetation types collectively, their regulatory roles within specific vegetation types were modulated by soil layers, leading to negative associations. Furthermore, this inconsistency may have been related to specific aggregate fractions. In this study, while extracellular enzymes showed positive associations with SOC stocks in macroaggregates and microaggregates, their relationship with SOC in the silt and clay fraction was non-significant. Since the SEM incorporated SOC stocks from all aggregate fractions alongside extracellular enzyme activities, this may have explained the observed contradiction. Specifically, the relationship between extracellular enzymes, SOC stocks, and aggregate stability within each vegetation type was dependent on aggregate fractions. The regulatory role of soil nutrients on SOC stocks varied by vegetation type. Nitrate nitrogen and available phosphorus were positively correlated with macroaggregate-associated SOC stocks. This suggests that soil nutrients may enhance SOC stocks in bulk soil by promoting SOC accumulation within macroaggregates [59]. In MW and NG, variations in SOC stocks in bulk soil were primarily linked to nutrient status. This could be ascribed to the higher litter quality in NG and MW, which drives increases in soil nutrients. On one hand, higher soil nutrients may further increase plant-derived carbon inputs by promoting vegetation growth. On the other hand, improved nutrient availability may alleviate microbial nutrient limitations, thereby enhancing microbial carbon use efficiency and ultimately influencing SOC accumulation.
4.4. Limitations and Future Research
While this study investigated the impacts of vegetation types on SOC stocks in bulk soil and aggregates, certain limitations should be acknowledged. Although the selected study sites in different vegetation types shared similar land-use histories and soil classifications, residual small-scale heterogeneity in initial soil properties could not be entirely excluded, particularly regarding differences in soil particle composition prior to vegetation restoration. Consequently, the findings of this study were interpreted with caution. Future research should involve a more comprehensive investigation of initial soil conditions across different vegetation types to achieve more precise and robust conclusions regarding carbon sequestration dynamics.
5. Conclusions
Both vegetation type and soil depth significantly influenced SOC stocks in bulk soil and aggregate fractions. Among all vegetation types, pure woodland exhibited the highest SOC stocks in bulk soil, along with in small macroaggregates and microaggregates. In artificially restored vegetation types, SOC stocks in macroaggregates and microaggregates declined with soil depth, while those in the silt + clay fraction increased. Aggregate stability, soil nutrient status, and extracellular enzyme activities were highly correlated with SOC accumulation in bulk soil and aggregates. These factors indirectly regulated SOC stocks in bulk soil by modulating the SOC dynamics within aggregate fractions. The dominant roles of these drivers varied across vegetation types: in grass-shrubland, pure shrubland, and pure woodland, SOC variation in bulk soil was primarily linked to aggregate stability and physical protection. Conversely, in mixed woodland and naturally restored grassland, the outcomes depended more on nutrient status. In summary, this study emphasizes the key role of aggregate physical protection and stability in enhancing SOC stocks in bulk soil.
Supplementary Materials
The following supporting information can be downloaded at: https://www.mdpi.com/article/10.3390/f17030345/s1.
Author Contributions
Writing—original draft preparation, J.Z. and A.L.; visualization, A.L.; investigation, Z.Y., D.W. and L.D. (Lingbo Dong); supervision, W.W.; funding acquisition, L.D. (Lei Deng). All authors have read and agreed to the published version of the manuscript.
Funding
This study was sponsored by the National Natural Science Foundation of China (U2243225), the Strategic Priority Research Program of the Chinese Academy of Sciences (XDA23070201), the Key Research and Development Program of Shaanxi Province (2021ZDLSF05-02), the Scientific and Technological Innovation Project of Shaanxi Forestry Academy of Sciences (SXLK2021-0206), the Funding of Top Young talents of Ten Thousand talents Plan in China and National Forestry and Grassland Administration in China (20201326015).
Data Availability Statement
The data presented in this study are available on request from the corresponding author. The data are not publicly available due to privacy restrictions.
Conflicts of Interest
The authors declare that they have no known competing financial interests or personal relationships that could have appeared to influence the work reported in this paper.
References
- Lal, R. Offsetting China’s CO2 Emissions by Soil Carbon Sequestration. Clim. Change 2004, 65, 263–275. [Google Scholar] [CrossRef]
- Blanco-Canqui, H.; Lal, R.; Post, W.M.; Izaurralde, R.C.; Shipitalo, M.J. Organic Carbon Influences on Soil Particle Density and Rheological Properties. Soil Sci. Soc. Am. J. 2006, 70, 1407–1414. [Google Scholar] [CrossRef]
- Yang, H.; Li, X.; Wang, Z.; Jia, R.; Liu, L.; Chen, Y.; Wei, Y.; Gao, Y.; Li, G. Carbon Sequestration Capacity of Shifting Sand Dune after Establishing New Vegetation in the Tengger Desert, Northern China. Sci. Total Environ. 2014, 478, 1–11. [Google Scholar] [CrossRef] [PubMed]
- Debnath, S.; Attri, B.L.; Kumar, A.; Kishor, A.; Narayan, R.; Sinha, K.; Bhowmik, A.; Sharma, A.; Singh, D.B. Influence of Peach (Prunus Persica Batsch) Phenological Stage on the Short-Term Changes in Oxidizable and Labile Pools of Soil Organic Carbon and Activities of Carbon-Cycle Enzymes in the North-Western Himalayas. Pedosphere 2020, 30, 638–650. [Google Scholar] [CrossRef]
- Xiao, L.; Yao, K.; Li, P.; Liu, Y.; Chang, E.; Zhang, Y.; Zhu, T. Increased Soil Aggregate Stability Is Strongly Correlated with Root and Soil Properties along a Gradient of Secondary Succession on the Loess Plateau. Ecol. Eng. 2020, 143, 105671. [Google Scholar] [CrossRef]
- Amézketa, E. Soil Aggregate Stability: A Review. J. Sustain. Agric. 1999, 14, 83–151. [Google Scholar] [CrossRef]
- Blanco-Canqui, H.; Lal, R. Mechanisms of Carbon Sequestration in Soil Aggregates. Crit. Rev. Plant Sci. 2004, 23, 481–504. [Google Scholar] [CrossRef]
- Su, Z.; Zhu, S.; Wei, Z.; He, Y.; Su, B.; Zhang, K.; Ma, X.; Shangguan, Z. Vegetation Restoration Changed the Soil Aggregate Stability and Aggregate Carbon Stabilization Pathway According to δ13C Signatures. Agric. Ecosyst. Environ. 2025, 378, 109317. [Google Scholar] [CrossRef]
- McLauchlan, K.K.; Hobbie, S.E. Comparison of Labile Soil Organic Matter Fractionation Techniques. Soil Sci. Soc. Am. J. 2004, 68, 1616–1625. [Google Scholar] [CrossRef]
- Tisdall, J.M.; Oades, J.M. Organic Matter and Water-stable Aggregates in Soils. J. Soil Sci. 1982, 33, 141–163. [Google Scholar] [CrossRef]
- Oades, J.M. Soil Organic Matter and Structural Stability: Mechanisms and Implications for Management. Plant Soil 1984, 76, 319–337. [Google Scholar] [CrossRef]
- Wang, J.; Sun, C.; Zhang, Y.; Xiao, J.; Ma, Y.; Jiang, J.; Jiang, Z.; Zhang, L. Straw Return Rearranges Soil Pore Structure Improving Soil Moisture Memory in a Maize Field Experiment under Rainfed Conditions. Agric. Water Manag. 2024, 306, 109164. [Google Scholar] [CrossRef]
- Liu, C.; Wang, M.; Zhang, Y.; Wang, E. Size—Specific Effects of Intra-Aggregate Pore Size Distribution on Soil Aggregate Stability. CATENA 2026, 263, 109706. [Google Scholar] [CrossRef]
- Oades, J.M.; Waters, A.G. Aggregate Hierarchy in Soils. Aust. J. Soil Res. 1991, 29, 815–828. [Google Scholar] [CrossRef]
- Bronick, C.J.; Lal, R. Soil Structure and Management: A Review. Geoderma 2005, 124, 3–22. [Google Scholar] [CrossRef]
- Li, J.; Yuan, X.; Ge, L.; Li, Q.; Li, Z.; Wang, L.; Liu, Y. Rhizosphere Effects Promote Soil Aggregate Stability and Associated Organic Carbon Sequestration in Rocky Areas of Desertification. Agric. Ecosyst. Environ. 2020, 304, 107126. [Google Scholar] [CrossRef]
- Yang, Y.; Gunina, A.; Cheng, H.; Liu, L.; Wang, B.; Dou, Y.; Wang, Y.; Liang, C.; An, S.; Chang, S.X. Unlocking Mechanisms for Soil Organic Matter Accumulation: Carbon Use Efficiency and Microbial Necromass as the Keys. Glob. Change Biol. 2025, 31, e70033. [Google Scholar] [CrossRef]
- Jiang, L.; Hu, D.; Lv, G. The Edaphic and Vegetational Properties Controlling Soil Aggregate Stability Vary with Plant Communities in an Arid Desert Region of Northwest China. Forests 2022, 13, 368. [Google Scholar] [CrossRef]
- Shahabinejad, N.; Mahmoodabadi, M.; Jalalian, A.; Chavoshi, E. The Fractionation of Soil Aggregates Associated with Primary Particles Influencing Wind Erosion Rates in Arid to Semiarid Environments. Geoderma 2019, 356, 113936. [Google Scholar] [CrossRef]
- Deng, L.; Kim, D.; Peng, C.; Shangguan, Z. Controls of Soil and Aggregate-associated Organic Carbon Variations Following Natural Vegetation Restoration on the Loess Plateau in China. Land Degrad. Dev. 2018, 29, 3974–3984. [Google Scholar] [CrossRef]
- Shi, J.; Deng, L.; Gunina, A.; Alharbi, S.; Wang, K.; Li, J.; Liu, Y.; Shangguan, Z.; Kuzyakov, Y. Carbon Stabilization Pathways in Soil Aggregates during Long-Term Forest Succession: Implications from δ13C Signatures. Soil Biol. Biochem. 2023, 180, 108988. [Google Scholar] [CrossRef]
- Xu, S.; Sayer, E.J.; Eisenhauer, N.; Lu, X.; Wang, J.; Liu, C. Aboveground Litter Inputs Determine Carbon Storage across Soil Profiles: A Meta-Analysis. Plant Soil 2021, 462, 429–444. [Google Scholar] [CrossRef]
- Duan, X.-Y.; Surigaoge, S.; Du, Y.-H.; Fu, D.-H.; Yang, H.; Yang, X.; Ma, H.-Y.; Zhou, H.; Christie, P.; Fornara, D.; et al. Interspecific Interactions Increase Soil Aggregate Stability through Altered Root Traits in Long-Term Legume/Maize Intercropping. Soil Tillage Res. 2026, 255, 106808. [Google Scholar] [CrossRef]
- Ge, N.; Wei, X.; Wang, X.; Liu, X.; Shao, M.; Jia, X.; Li, X.; Zhang, Q. Soil Texture Determines the Distribution of Aggregate-Associated Carbon, Nitrogen and Phosphorous under Two Contrasting Land Use Types in the Loess Plateau. CATENA 2019, 172, 148–157. [Google Scholar] [CrossRef]
- Hu, N.; Lan, J. Impact of Vegetation Restoration on Soil Organic Carbon Stocks and Aggregates in a Karst Rocky Desertification Area in Southwest China. J. Soils Sediments 2020, 20, 1264–1275. [Google Scholar] [CrossRef]
- Gan, F.; Shi, H.; Gou, J.; Zhang, L.; Dai, Q.; Yan, Y. Responses of Soil Aggregate Stability and Soil Erosion Resistance to Different Bedrock Strata Dip and Land Use Types in the Karst Trough Valley of Southwest China. Int. Soil Water Conserv. Res. 2024, 12, 684–696. [Google Scholar] [CrossRef]
- Zhou, M.; Xiao, Y.; Zhang, X.; Sui, Y.; Xiao, L.; Lin, J.; Cruse, R.M.; Ding, G.; Liu, X. Warming-Dominated Climate Change Impacts on Soil Organic Carbon Fractions and Aggregate Stability in Mollisols. Geoderma 2023, 438, 116618. [Google Scholar] [CrossRef]
- Cao, Y.; Xiao, B.; Ghanbarian, B. Biocrusts Enhance Soil Structural Stability during Freeze-Thaw Cycles and Improve Soil Erosion Resistance in Cold-Winter Drylands. CATENA 2024, 243, 108206. [Google Scholar] [CrossRef]
- Hu, H.; Wang, Q.; Gao, P.; Zhang, L.; Wei, Z.; Hu, K.; Jiang, K.; Li, J.; Feng, H.; Hu, S. Ten-Year Rice Management Enhances Soil Aggregate Stability in Salt-Alkali Soils: Role of Fe/Al Oxides and Organic Carbon. Clim. Smart Agric. 2025, 2, 100085. [Google Scholar] [CrossRef]
- Peng, J.; Yang, Q.; Zhang, C.; Ni, S.; Wang, J.; Cai, C. Aggregate Pore Structure, Stability Characteristics, and Biochemical Properties Induced by Different Cultivation Durations in the Mollisol Region of Northeast China. Soil Tillage Res. 2023, 233, 105797. [Google Scholar] [CrossRef]
- Elliott, E.T. Aggregate Structure and Carbon, Nitrogen, and Phosphorus in Native and Cultivated Soils. Soil Sci. Soc. Am. J. 1986, 50, 627–633. [Google Scholar] [CrossRef]
- Bao, S. Soil and Agricultural Chemistry Analysis; China Agriculture Press: Beijing, China, 2000. [Google Scholar]
- Deng, L.; Wang, G.; Liu, G.; Shangguan, Z. Effects of Age and Land-Use Changes on Soil Carbon and Nitrogen Sequestrations Following Cropland Abandonment on the Loess Plateau, China. Ecol. Eng. 2016, 90, 105–112. [Google Scholar] [CrossRef]
- Jiang, Y.; Zheng, F.; Wen, L.; Shen, H. Effects of Sheet and Rill Erosion on Soil Aggregates and Organic Carbon Losses for a Mollisol Hillslope under Rainfall Simulation. J. Soils Sediments 2019, 19, 467–477. [Google Scholar] [CrossRef]
- Zhang, W.; Xu, Y.; Gao, D.; Wang, X.; Liu, W.; Deng, J.; Han, X.; Yang, G.; Feng, Y.; Ren, G. Ecoenzymatic Stoichiometry and Nutrient Dynamics along a Revegetation Chronosequence in the Soils of Abandoned Land and Robinia Pseudoacacia Plantation on the Loess Plateau, China. Soil Biol. Biochem. 2019, 134, 1–14. [Google Scholar] [CrossRef]
- He, L.; Lu, S.; Wang, C.; Mu, J.; Zhang, Y.; Wang, X. Changes in Soil Organic Carbon Fractions and Enzyme Activities in Response to Tillage Practices in the Loess Plateau of China. Soil Tillage Res. 2021, 209, 104940. [Google Scholar] [CrossRef]
- Bai, L.; Zhang, H.; Zhang, J.; Li, X.; Wang, B.; Miao, H.; Sial, T.A.; Dong, Q.; Fu, G.; Li, L. Long-Term Vegetation Restoration Increases Carbon Sequestration of Different Soil Particles in a Semi-Arid Desert. Ecosphere 2021, 12, e03848. [Google Scholar] [CrossRef]
- Tang, F.K.; Cui, M.; Lu, Q.; Liu, Y.G.; Guo, H.Y.; Zhou, J.X. Effects of Vegetation Restoration on the Aggregate Stability and Distribution of Aggregate-Associated Organic Carbon in a Typical Karst Gorge Region. Solid Earth 2016, 7, 141–151. [Google Scholar] [CrossRef]
- Bi, Y.; Li, M.; Christie, P.; Du, X.; Tian, L.; Gao, X. Evaluating Carbon Dynamics in Soil Aggregates Using δ13C Following Long-Term Vegetation Restoration near a Surface Mine in a Semi-Arid Region. CATENA 2023, 231, 107281. [Google Scholar] [CrossRef]
- Wiesmeier, M.; Steffens, M.; Mueller, C.W.; Kölbl, A.; Reszkowska, A.; Peth, S.; Horn, R.; Kögel-Knabner, I. Aggregate Stability and Physical Protection of Soil Organic Carbon in Semi-Arid Steppe Soils. Eur. J. Soil Sci. 2012, 63, 22–31. [Google Scholar] [CrossRef]
- Costa, O.Y.A.; Raaijmakers, J.M.; Kuramae, E.E. Microbial Extracellular Polymeric Substances: Ecological Function and Impact on Soil Aggregation. Front. Microbiol. 2018, 9, 1636. [Google Scholar] [CrossRef]
- Gao, X.; Nie, X.; Wang, Y.; Liu, C.; Di, Y.; Chen, Z.; Niu, B.; Liu, S. Fine Root Length Density and Production Surpass Root Exudates to Shape Soil Aggregate Stability in a Warm-Temperate Natural Oak Forest under Multi-Year Drought Conditions. Plant Soil 2025, 515, 241–256. [Google Scholar] [CrossRef]
- Yang, X.; Shao, M.; Li, T.; Gan, M.; Chen, M.; Li, Z. Soil Macroaggregates Determine Soil Organic Carbon in the Natural Grasslands of the Loess Plateau. CATENA 2022, 218, 106533. [Google Scholar] [CrossRef]
- Han, C.; Song, M.; Tang, Q.; Wei, J.; He, X.; Collins, A.L. Post-Farming Land Restoration Schemes Exhibit Higher Soil Aggregate Stability and Organic Carbon: Evidence in the Three Gorges Reservoir Area, China. CATENA 2023, 227, 107099. [Google Scholar] [CrossRef]
- Novara, A.; Rühl, J.; La Mantia, T.; Gristina, L.; La Bella, S.; Tuttolomondo, T. Litter Contribution to Soil Organic Carbon in the Processes of Agriculture Abandon. Solid Earth 2015, 6, 425–432. [Google Scholar] [CrossRef]
- Puget, P.; Chenu, C.; Balesdent, J. Dynamics of Soil Organic Matter Associated with Particle-Size Fractions of Water-Stable Aggregates. Eur. J. Soil Sci. 2000, 51, 595–605. [Google Scholar] [CrossRef]
- Jiang, W.; Li, Z.; Xie, H.; Ouyang, K.; Yuan, H.; Duan, L. Land Use Change Impacts on Red Slate Soil Aggregates and Associated Organic Carbon in Diverse Soil Layers in Subtropical China. Sci. Total Environ. 2023, 856, 159194. [Google Scholar] [CrossRef]
- Wang, Y.; Ao, D.; Wang, B.; Chen, Y.; Hu, Y.; Zhang, B.; Zhang, H.; Guo, W.; An, S. Particulate Organic Carbon Dominates Soil Organic Carbon Dynamics in Alpine Ecosystems for Its Climate Sensitivity and Continuous Storage. Catena 2026, 262, 109607. [Google Scholar] [CrossRef]
- Zhao, Y.; Xu, Y.; Cha, X.; Zhang, P.; Li, Y.; Cai, A.; Zhou, Z.; Yang, G.; Han, X.; Ren, C. A Global Meta-analysis of Land Use Change on Soil Mineral-associated and Particulate Organic Carbon. Glob. Change Biol. 2025, 31, e70111. [Google Scholar] [CrossRef]
- Schmidt, M.W.I.; Torn, M.S.; Abiven, S.; Dittmar, T.; Guggenberger, G.; Janssens, I.A.; Kleber, M.; Kögel-Knabner, I.; Lehmann, J.; Manning, D.A.C.; et al. Persistence of Soil Organic Matter as an Ecosystem Property. Nature 2011, 478, 49–56. [Google Scholar] [CrossRef]
- Dungait, J.A.J.; Hopkins, D.W.; Gregory, A.S.; Whitmore, A.P. Soil Organic Matter Turnover Is Governed by Accessibility Not Recalcitrance. Glob. Change Biol. 2012, 18, 1781–1796. [Google Scholar] [CrossRef]
- Fan, R.; Du, J.; Liang, A.; Lou, J.; Li, J. Carbon Sequestration in Aggregates from Native and Cultivated Soils as Affected by Soil Stoichiometry. Biol. Fertil. Soils 2020, 56, 1109–1120. [Google Scholar] [CrossRef]
- Zheng, F.; Liu, X.; Zhang, M.; Li, S.; Song, X.; Wang, B.; Wu, X.; Van Groenigen, K.J. Strong Links between Aggregate Stability, Soil Carbon Stocks and Microbial Community Composition across Management Practices in a Chinese Dryland Cropping System. CATENA 2023, 233, 107509. [Google Scholar] [CrossRef]
- Yan, L.; Jiang, X.; Ji, X.; Zhou, L.; Li, S.; Chen, C.; Li, P.; Zhu, Y.; Dong, T.; Meng, Q. Distribution of Water-Stable Aggregates under Soil Tillage Practices in a Black Soil Hillslope Cropland in Northeast China. J. Soils Sediments 2020, 20, 24–31. [Google Scholar] [CrossRef]
- Mustafa, A.; Minggang, X.; Ali Shah, S.A.; Abrar, M.M.; Nan, S.; Baoren, W.; Zejiang, C.; Saeed, Q.; Naveed, M.; Mehmood, K.; et al. Soil Aggregation and Soil Aggregate Stability Regulate Organic Carbon and Nitrogen Storage in a Red Soil of Southern China. J. Environ. Manag. 2020, 270, 110894. [Google Scholar] [CrossRef]
- Sandhya, V.; Ali, S.Z. The Production of Exopolysaccharide by Pseudomonas Putida GAP-P45 under Various Abiotic Stress Conditions and Its Role in Soil Aggregation. Microbiology 2015, 84, 512–519. [Google Scholar] [CrossRef]
- Reed Close, K.; LeMaster, D.; Schartiger, R.; Guthrie, K.; Kane, J.; Kotcon, J.; Morrissey, E. Actinobacteria, Mycorrhizae, and the Biology of Soil Aggregate Stability. Soil Biol. Biochem. 2026, 213, 110048. [Google Scholar] [CrossRef]
- Tang, J.; Mo, Y.; Zhang, J.; Zhang, R. Influence of Biological Aggregating Agents Associated with Microbial Population on Soil Aggregate Stability. Appl. Soil Ecol. 2011, 47, 153–159. [Google Scholar] [CrossRef]
- Okebalama, C.B.; Marschner, B. Reapplication of Biochar, Sewage Waste Water, and NPK Fertilizers Affects Soil Fertility, Aggregate Stability, and Carbon and Nitrogen in Dry-Stable Aggregates of Semi-Arid Soil. Sci. Total Environ. 2023, 866, 161203. [Google Scholar] [CrossRef]
Disclaimer/Publisher’s Note: The statements, opinions and data contained in all publications are solely those of the individual author(s) and contributor(s) and not of MDPI and/or the editor(s). MDPI and/or the editor(s) disclaim responsibility for any injury to people or property resulting from any ideas, methods, instructions or products referred to in the content. |
© 2026 by the authors. Licensee MDPI, Basel, Switzerland. This article is an open access article distributed under the terms and conditions of the Creative Commons Attribution (CC BY) license.






