Specific Eucalyptus grandis Tubulin Isoforms Are Involved in Determining the Orientation of Cellulose Microfibrils in the Secondary Cell Wall of Wood Fibres
Abstract
1. Introduction
2. Materials and Methods
2.1. Tubulin Gene Family and Phylogeny
2.2. Plant Material and Growth Conditions
2.3. Gene Selection and Vector Creation
2.4. Transgenic Tissue Production and Morphological Measurements
2.5. Gene Expression Analysis
3. Results
3.1. Phylogeny of Eucalypt α- and β-Tubulin Gene Families
3.2. Expression of Tubulins Is Higher in Xylem Tissues
3.3. Plant Growth and Transformation Efficiency During ISSA Experimentation
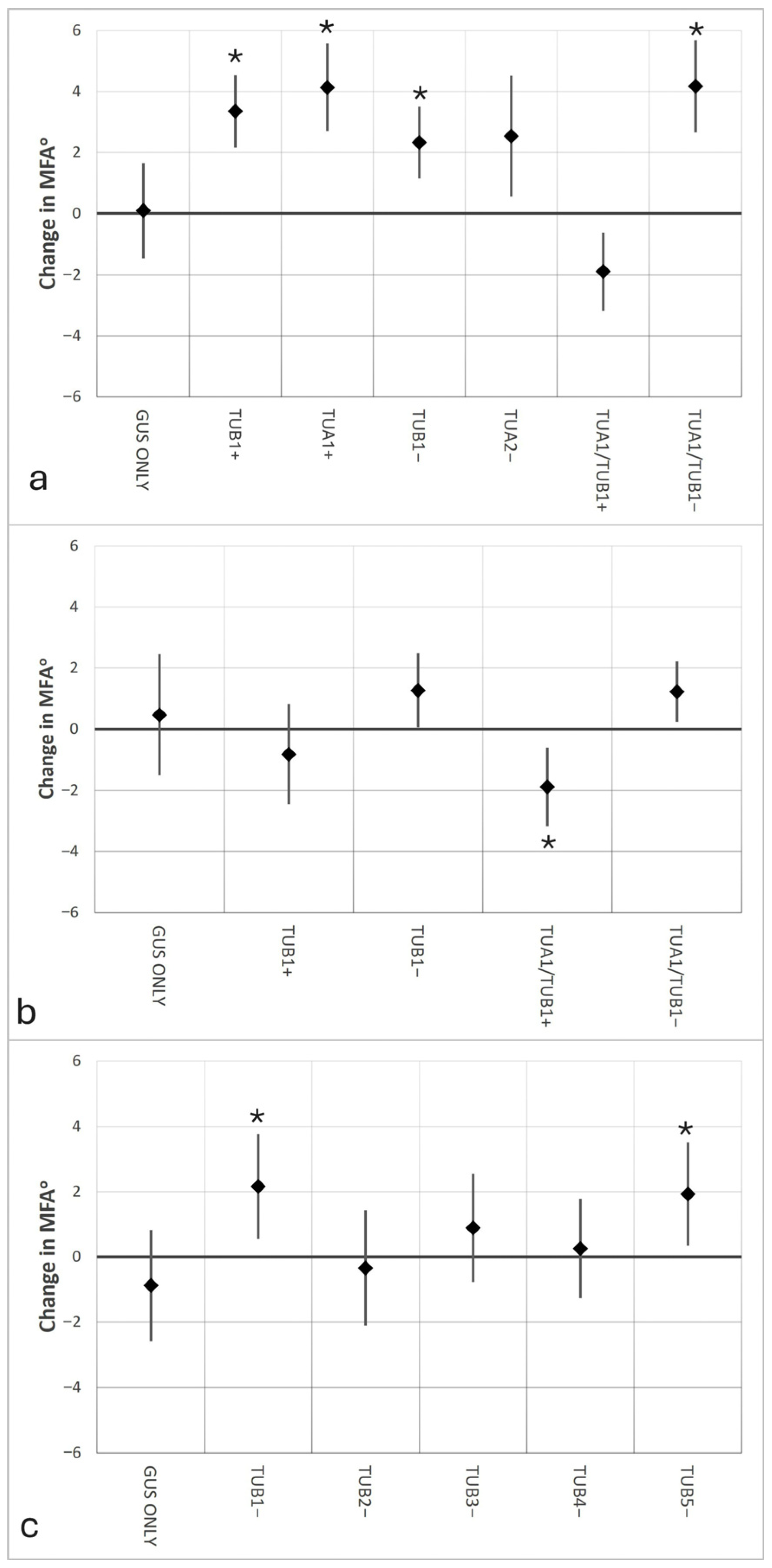
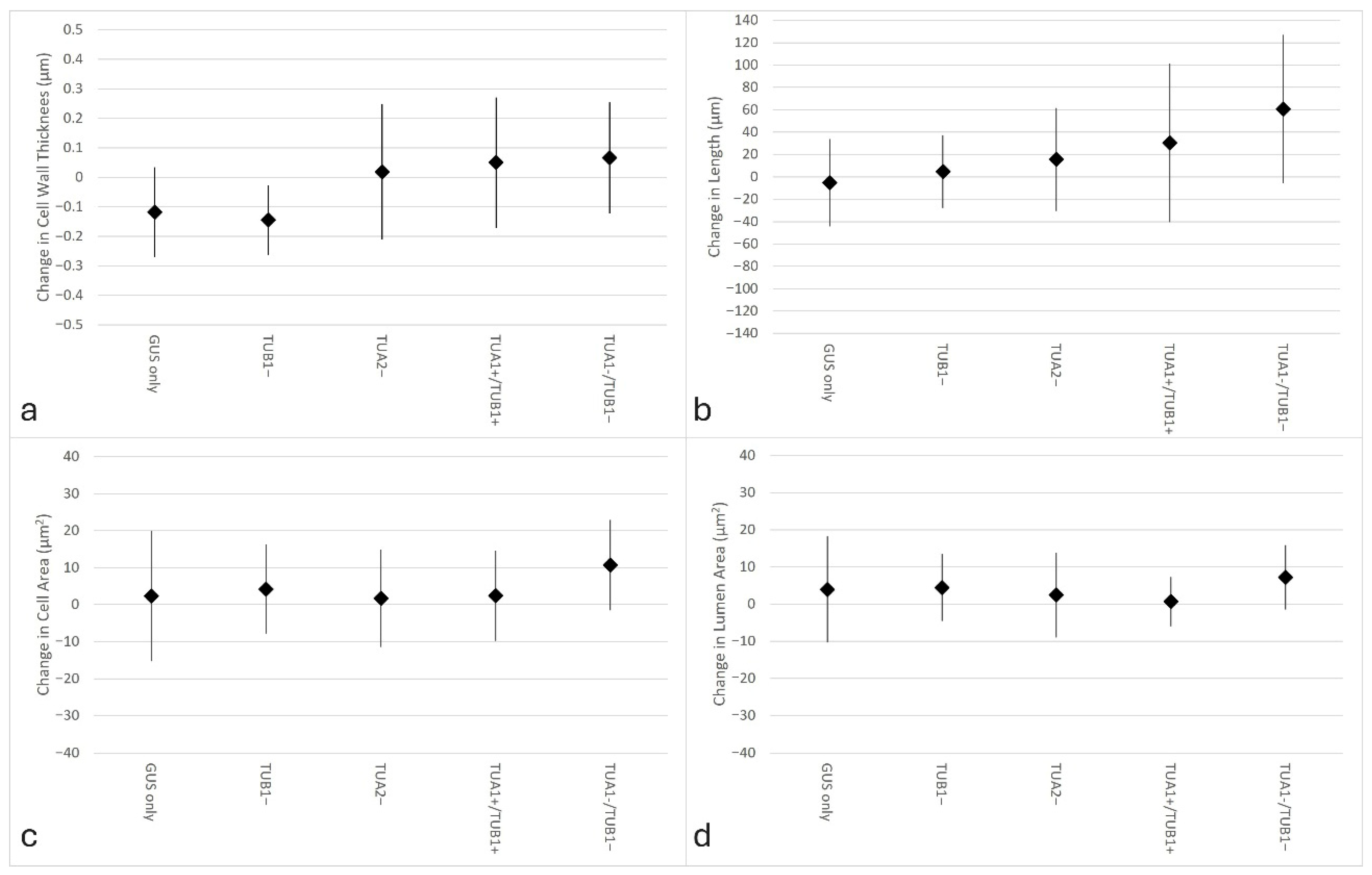
3.4. Overexpression and microRNAi/Antisense Knockdown Vectors of EgrTUA1 and EgrTUB1 Lead to Changes in Microfibril Angle in Secondary Cell Walls of Angiosperm Fibre Cells
3.5. MicroRNAi Knockdown of β-Tubulin Gene Family Members Show Family Member Specificity in Determining Microfibril Angle in Secondary Cell Walls of Angiosperm Fibre Cells
4. Discussion
4.1. Eucalypt α- and β-Tubulin Gene Families Are Relatively Small and Show Tissue Specificity
4.2. Overexpression and Knockdown Vectors of Specific Heterodimers α- and β-Tubulins Influence Microfibril Angle in Secondary Cell Walls
5. Conclusions
Supplementary Materials
Author Contributions
Funding
Data Availability Statement
Acknowledgments
Conflicts of Interest
References
- Carlquist, S. How wood evolves: A new synthesis. Botany 2012, 90, 901–940. [Google Scholar] [CrossRef]
- Meyer-Berthaud, B.; Soria, A.; Decombeix, A.L. The land plant cover in the Devonian: A reassessment of the evolution of the tree habit. In Terrestrialization Process: Modelling Complex Interactions at the Biosphere-Geosphere Interface; Vecoli, M., Clement, G., MeyerBerthaud, B., Eds.; Geological Society Special Publication; Geological Soc Publishing House: Bath, UK, 2010; Volume 339, pp. 59–70. [Google Scholar]
- Andersson-Gunneras, S.; Mellerowicz, E.J.; Love, J.; Segerman, B.; Ohmiya, Y.; Coutinho, P.M.; Nilsson, P.; Henrissat, B.; Moritz, T.; Sundberg, B. Biosynthesis of cellulose-enriched tension wood in Populus: Global analysis of transcripts and metabolites identifies biochemical and developmental regulators in secondary wall biosynthesis. Plant J. 2006, 45, 144–165. [Google Scholar] [CrossRef] [PubMed]
- Lampugnani, E.R.; Khan, G.A.; Somssich, M.; Persson, S. Building a plant cell wall at a glance. J. Cell Sci. 2018, 131, 6. [Google Scholar] [CrossRef] [PubMed]
- Paux, E.; Carocha, V.; Marques, C.; de Sousa, A.M.; Borralho, N.; Sivadon, P.; Grima-Pettenati, J. Transcript profiling of Eucalyptus xylem genes during tension wood formation. New Phytol. 2005, 167, 89–100. [Google Scholar] [CrossRef]
- Chen, H.J.; Chen, B.B.; Zhang, D.Q. Transcript profiling of Populus tomentosa genes in normal, tension, and opposite wood by RNA-seq. BMC Genom. 2015, 16, 65–73. [Google Scholar] [CrossRef]
- Li, G.X.; Yang, X.H.; Wu, H.X. Transcriptome profiling of radiata pine branches reveals new insights into reaction wood formation with implications in plant gravitropism. BMC Genom. 2013, 14, 768. [Google Scholar] [CrossRef]
- Lafarguette, F.; Leple, J.C.; Dejardin, A.; Laurans, F.; Costa, G.; Lesage-Descauses, M.C.; Pilate, G. Poplar genes encoding fasciclin-like arabinogalactan proteins are highly expressed in tension wood. New Phytol. 2004, 164, 107–121. [Google Scholar] [CrossRef]
- Qiu, D.; Wilson, I.W.; Gan, S.; Washusen, R.; Moran, G.F.; Southerton, S.G. Gene expression in Eucalyptus branch wood with marked variation in cellulose microfibril orientation and lacking G-layers. New Phytol. 2008, 179, 94–103. [Google Scholar] [CrossRef]
- Azri, W.; Ennajah, A.; Nasr, Z.; Woo, S.Y.; Khaldi, A. Transcriptome profiling the basal region of poplar stems during the early gravitropic response. Biol. Plant. 2014, 58, 55–63. [Google Scholar] [CrossRef]
- Oakley, R.V.; Wang, Y.S.; Ramakrishna, W.; Harding, S.A.; Tsai, C.J. Differential expansion and expression of alpha- and beta-tubulin gene families in Populus. Plant Physiol. 2007, 145, 961–973. [Google Scholar] [CrossRef] [PubMed]
- Hu, H.; Gu, X.; Xue, L.J.; Swamy, P.S.; Harding, S.A.; Tsai, C.J. Tubulin C-terminal Post-translational Modifications Do Not Occur in Wood Forming Tissue of Populus. Front. Plant Sci. 2016, 7, 1493. [Google Scholar] [CrossRef] [PubMed]
- Rao, G.D.; Zeng, Y.F.; He, C.Y.; Zhang, J.G. Characterization and putative post-translational regulation of alpha- and beta-tubulin gene families in Salix arbutifolia. Sci. Rep. 2016, 6, 19258. [Google Scholar] [CrossRef] [PubMed]
- Spokevicius, A.V.; Southerton, S.G.; MacMillan, C.P.; Qiu, D.; Gan, S.; Tibbits, J.F.G.; Moran, G.F.; Bossinger, G. beta-tubulin affects cellulose microfibril orientation in plant secondary fibre cell walls. Plant J. 2007, 51, 717–726. [Google Scholar] [CrossRef]
- Swamy, P.S.; Hu, H.; Pattathil, S.; Maloney, V.J.; Xiao, H.; Xue, L.J.; Chung, J.D.; Johnson, V.E.; Zhu, Y.Y.; Peter, G.F.; et al. Tubulin perturbation leads to unexpected cell wall modifications and affects stomatal behaviour in Populus. J. Exp. Bot. 2015, 66, 6507–6518. [Google Scholar] [CrossRef]
- Harding, S.A.; Hu, H.; Nyamdari, B.; Xue, L.J.; Naran, R.; Tsai, C.J. Tubulins, rhythms and cell walls in poplar leaves: It’s all in the timing. Tree Physiol. 2018, 38, 397–408. [Google Scholar] [CrossRef]
- Lowe, J.; Li, H.; Downing, K.H.; Nogales, E. Refined structure of alpha beta-tubulin at 3.5 A resolution. J. Mol. Biol. 2001, 313, 1045–1057. [Google Scholar] [CrossRef]
- Heald, R.; Nogales, E. Microtubule dynamics. J. Cell Sci. 2002, 115, 3–4. [Google Scholar] [CrossRef]
- Baskin, T.I. On the alignment of cellulose microfibrils by cortical microtubules: A review and a model. Protoplasma 2001, 215, 150–171. [Google Scholar] [CrossRef]
- Herth, W. Plasma membrane rosettes involved in localised wall thickening during xylem vessel formation of Lepidium sativum L. Planta 1985, 164, 12–21. [Google Scholar] [CrossRef]
- Haigler, H.C.; Brown, R.M. Transport of rosettes from the golgi-apparatus to the plasma membrane in isolated mesophyll-cells of Zinnia elegans differentiation to tracheary elements in suspension culture. Protoplasma 1986, 134, 111–120. [Google Scholar] [CrossRef]
- Paredez, R.A.; Somerville, C.R.; Ehrhardt, D.W. Visualization of cellulose synthase demonstrates functional association with microtubules. Science 2006, 312, 1491–1495. [Google Scholar] [CrossRef]
- Watanabe, Y.; Meents, M.J.; McDonnell, L.M.; Barkwill, S.; Sampathkumar, A.; Cartwright, H.N.; Demura, T.; Ehrhardt, D.W.; Samuels, A.L.; Mansfield, S.D. Visualization of cellulose synthases in Arabidopsis secondary cell walls. Science 2015, 350, 198–203. [Google Scholar] [CrossRef]
- Bringmann, M.; Li, E.Y.; Sampathkumar, A.; Kocabek, T.; Hauser, M.T.; Persson, S. POM-POM2/CELLULOSE SYNTHASE INTERACTING1 Is Essential for the Functional Association of Cellulose Synthase and Microtubules in Arabidopsis. Plant Cell 2012, 24, 163–177. [Google Scholar] [CrossRef]
- Li, S.; Lei, L.; Somerville, C.R.; Gu, Y. Cellulose synthase interactive protein 1 (CSI1) links microtubules and cellulose synthase complexes. Proc. Natl. Acad. Sci. USA 2012, 109, 185–190. [Google Scholar] [CrossRef] [PubMed]
- Schneider, R.; Tang, L.; Lampugnani, E.R.; Barkwill, S.; Lathe, R.; Zhang, Y.; McFarlane, H.E.; Pesquet, E.; Niittyla, T.; Mansfield, S.D.; et al. Two Complementary Mechanisms Underpin Cell Wall Patterning during Xylem Vessel Development. Plant Cell 2017, 29, 2433–2449. [Google Scholar] [CrossRef] [PubMed]
- Woodley, M.; Mulvihill, A.; Fujita, M.; Wasteneys, G.O. Exploring microtubule-dependent cellulose-synthase-complex movement with high precision particle tracking. Plants 2018, 7, 53. [Google Scholar] [CrossRef]
- Somerville, C. Cellulose synthesis in higher plants. In Annual Review of Cell and Developmental Biology; Annual Review of Cell and Developmental Biology; Annual Reviews: Palo Alto, CA, USA, 2006; Volume 22, pp. 53–78. [Google Scholar]
- Tuskan, G.A.; DiFazio, S.; Jansson, S.; Bohlmann, J.; Grigoriev, I.; Hellsten, U.; Putnam, N.; Ralph, S.; Rombauts, S.; Salamov, A.; et al. The genome of black cottonwood, Populus trichocarpa (Torr. & Gray). Science 2006, 313, 1596–1604. [Google Scholar] [CrossRef]
- Myburg, A.A.; Grattapaglia, D.; Tuskan, G.A.; Hellsten, U.; Hayes, R.D.; Grimwood, J.; Jenkins, J.; Lindquist, E.; Tice, H.; Bauer, D.; et al. The genome of Eucalyptus grandis. Nature 2014, 510, 356–362. [Google Scholar] [CrossRef]
- Tamura, K.; Stecher, G.; Kumar, S. MEGA11: Molecular Evolutionary Genetics Analysis Version 11. Mol. Biol. Evol. 2021, 38, 3022–3027. [Google Scholar] [CrossRef] [PubMed]
- Melder, E.; Bossinger, G.; Spokevicius, A.V. Overexpression of ARBORKNOX1 delays the differentiation of induced somatic sector analysis (ISSA) derived xylem fibre cells in poplar stems. Tree Genet. Genomes 2015, 11, 87. [Google Scholar] [CrossRef]
- Reinhart, B.J.; Weinstein, E.G.; Rhoades, M.W.; Bartel, B.; Bartel, D.P. MicroRNAs in plants. Genes Dev. 2002, 16, 1616–1626. [Google Scholar] [CrossRef]
- Spokevicius, A.; Taylor, L.; Melder, E.; Van Beveren, K.; Tibbits, J.; Creux, N.; Bossinger, G. The Use of Induced Somatic Sector Analysis (ISSA) for Studying Genes and Promoters Involved in Wood Formation and Secondary Stem Development. Jove-J. Vis. Exp. 2016, 116, 54553. [Google Scholar] [CrossRef]
- Spokevicius, A.V.; Tibbits, J.; Rigault, P.; Nolin, M.A.; Muller, C.; Merchant, A. Medium term water deficit elicits distinct transcriptome responses in Eucalyptus species of contrasting environmental origin. Bmc Genom. 2017, 18, 284. [Google Scholar] [CrossRef]
- Breviario, D.; Giani, S.; Morello, L. Multiple tubulins: Evolutionary aspects and biological implications. Plant J. 2013, 75, 202–218. [Google Scholar] [CrossRef]
- Kopczak, S.D.; Haas, N.A.; Hussey, P.J.; Silflow, C.D.; Snustad, D.P. The small genome of Arabidopsis contains at least 6 expressed alpha-tubulin genes. Plant Cell 1992, 4, 539–547. [Google Scholar] [CrossRef]
- Snustad, D.P.; Haas, N.A.; Kopczak, S.D.; Silflow, C.D. The small genome of Arabidopsis contains at least 9 expressed beta-tubulin genes. Plant Cell 1992, 4, 549–556. [Google Scholar] [CrossRef] [PubMed]
- Villemur, R.; Joyce, C.M.; Haas, N.A.; Goddard, R.H.; Kopczak, S.D.; Hussey, P.J.; Snustad, D.P.; Silflow, C.D. Alpha tubulin gene family of maize (Zea mays L): Evidence for 2 ancient alpha-tubulin genes in plants. J. Mol. Biol. 1992, 227, 81–96. [Google Scholar] [CrossRef] [PubMed]
- Villemur, R.; Haas, N.A.; Joyce, C.M.; Snustad, D.P.; Silflow, C.D. Characterization Of 4 New Beta-Tubulin Genes And Their Expression During Male Flower Development In Maize (Zea-mays L). Plant Mol. Biol. 1994, 24, 295–315. [Google Scholar] [CrossRef] [PubMed]
- Yoshikawa, M.; Yang, G.X.; Kawaguchi, K.; Komatsu, S. Expression analyses of beta-tubulin isotype genes in rice. Plant Cell Physiol. 2003, 44, 1202–1207. [Google Scholar] [CrossRef]
- Almeras, T.; Clair, B. Critical review on the mechanisms of maturation stress generation in trees. J. R. Soc. Interface 2016, 3, 20160550. [Google Scholar] [CrossRef]
- Paradez, A.; Wright, A.; Ehrhardt, D.W. Microtubule cortical array organization and plant cell morphogenesis. Curr. Opin. Plant Biol. 2006, 9, 571–578. [Google Scholar] [CrossRef] [PubMed]
- Parrotta, L.; Cresti, M.; Cai, G. Accumulation and post-translational modifications of plant tubulins. Plant Biol. 2014, 16, 521–527. [Google Scholar] [CrossRef] [PubMed]
- Zhang, K.X.; Zhu, X.; Durst, S.; Hohenberger, P.; Han, M.J.; An, G.; Sahi, V.P.; Riemann, M.; Nick, P. A rice tubulin tyrosine ligase-like 12 protein affects the dynamic and orientation of microtubules. J. Integr. Plant Biol. 2021, 63, 848–864. [Google Scholar] [CrossRef]
- Tobias, L.M.; Spokevicius, A.V.; McFarlane, H.E.; Bossinger, G. The Cytoskeleton and Its Role in Determining Cellulose Microfibril Angle in Secondary Cell Walls of Woody Tree Species. Plants 2020, 9, 90. [Google Scholar] [CrossRef]
- Anthony, R.G.; Hussey, P.J. Suppression of endogenous alpha and beta tubulin synthesis in transgenic maize calli overexpressing alpha and beta tubulins. Plant J. 1998, 16, 297–304. [Google Scholar] [CrossRef] [PubMed]




Disclaimer/Publisher’s Note: The statements, opinions and data contained in all publications are solely those of the individual author(s) and contributor(s) and not of MDPI and/or the editor(s). MDPI and/or the editor(s) disclaim responsibility for any injury to people or property resulting from any ideas, methods, instructions or products referred to in the content. |
© 2026 by the authors. Licensee MDPI, Basel, Switzerland. This article is an open access article distributed under the terms and conditions of the Creative Commons Attribution (CC BY) license.
Share and Cite
Taylor, L.; Tobias, L.M.; Bossinger, G.; Southerton, S.; Spokevicius, A.V. Specific Eucalyptus grandis Tubulin Isoforms Are Involved in Determining the Orientation of Cellulose Microfibrils in the Secondary Cell Wall of Wood Fibres. Forests 2026, 17, 234. https://doi.org/10.3390/f17020234
Taylor L, Tobias LM, Bossinger G, Southerton S, Spokevicius AV. Specific Eucalyptus grandis Tubulin Isoforms Are Involved in Determining the Orientation of Cellulose Microfibrils in the Secondary Cell Wall of Wood Fibres. Forests. 2026; 17(2):234. https://doi.org/10.3390/f17020234
Chicago/Turabian StyleTaylor, Lynette, Larissa Machado Tobias, Gerd Bossinger, Simon Southerton, and Antanas V. Spokevicius. 2026. "Specific Eucalyptus grandis Tubulin Isoforms Are Involved in Determining the Orientation of Cellulose Microfibrils in the Secondary Cell Wall of Wood Fibres" Forests 17, no. 2: 234. https://doi.org/10.3390/f17020234
APA StyleTaylor, L., Tobias, L. M., Bossinger, G., Southerton, S., & Spokevicius, A. V. (2026). Specific Eucalyptus grandis Tubulin Isoforms Are Involved in Determining the Orientation of Cellulose Microfibrils in the Secondary Cell Wall of Wood Fibres. Forests, 17(2), 234. https://doi.org/10.3390/f17020234

