Shrub–Herb Plant Configuration Patterns and Their Relationship with Environmental Factors in the Northern and Southern Mountain Regions of Lhasa
Abstract
1. Introduction
2. Materials and Methods
2.1. Sample Plot Establishment and Data Collection
2.2. Vegetation Survey
2.3. Soil Sampling and Analysis
2.4. Environmental Variables
2.5. Species Diversity Indices Analysis
2.6. Environmental Associations with Species Distribution
2.7. Principal Component Analysis
3. Results
3.1. Species Composition
3.2. Analysis of Plant Community Differences Between Shady and Sunny Slopes in the Northern and Southern Mountains of Lhasa
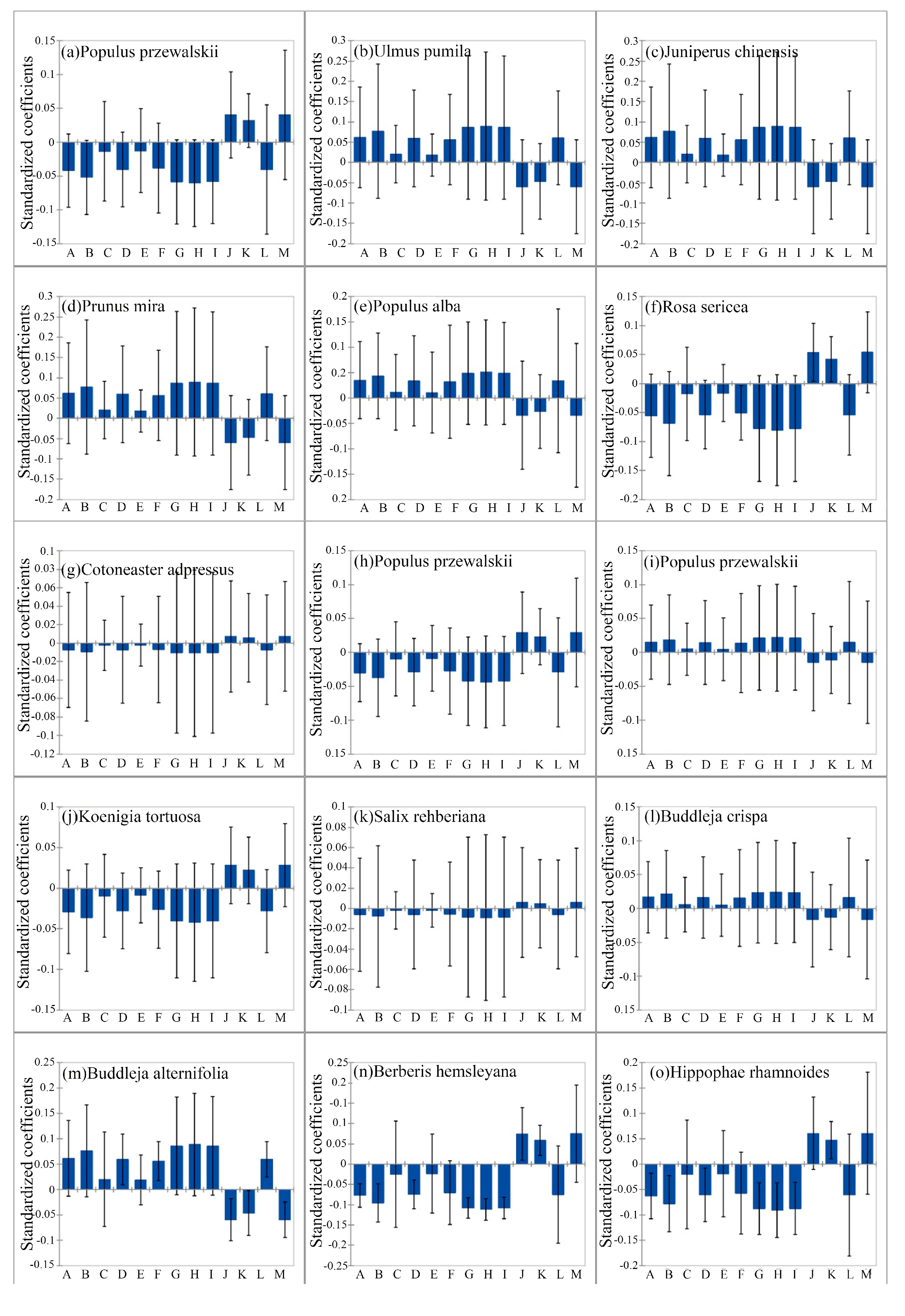
3.3. Regression Analysis of Native Woody Species and Environmental Factors in the Northern and Southern Mountains of Lhasa
3.3.1. Relationship Between Elevation and Species Occurrence
3.3.2. Soil Moisture Associations
3.3.3. Soil Salinity Associations
3.3.4. Soil pH Associations
3.3.5. Important Caveats
3.4. Identification of Shrub–Herb Configuration Patterns Based on PCA
4. Discussion
4.1. Interpretation in Context of Study Limitations
4.2. Environmental Correlates of Species Distribution
4.3. PCA Reveals Effective Shrub–Herb Combinations for Afforestation
4.4. Ecological Implications for Restoration
- (1)
- Slope aspect-based species selection: The higher diversity on shady slopes vs. sunny slopes indicates that species pools should differ by aspect. Shady slopes can accommodate more diverse plantings, while sunny slopes should focus on drought-tolerant shrub combinations.
- (2)
- Target shrub–herb assemblages: The PCA-identified associations (e.g., Rosa sericea with Cynoglossum amabile and Argentina anserina; Cotoneaster adpressus with Taraxacum mongolicum) represent naturally co-occurring combinations that may facilitate establishment through positive interactions. Planting these assemblages together may improve establishment success compared to monocultures.
- (3)
- Soil moisture management: Given the strong moisture associations observed, irrigation or water harvesting techniques may be critical for establishment, particularly on sunny slopes and for moisture-dependent species like Salix rehderiana.
- (4)
- Site-specific approaches: The environmental heterogeneity revealed by our study indicates that a one-size-fits-all restoration approach will be ineffective. Species selection and planting strategies should be tailored to slope aspect, soil moisture conditions, and salinity levels at each site.
4.5. Challenges and Future Potential in the Establishment of Native Woody Species for Afforestation
4.6. Limitations and Future Directions
5. Conclusions
- (1)
- Slope aspect strongly influences plant communities: Shady slopes supported significantly higher species diversity (Shannon index: 3.62 ± 0.24) and evenness compared to sunny slopes (Shannon index: 3.14 ± 0.31), reflecting differences in moisture availability and microclimate.
- (2)
- Environmental associations: Within the elevational range studied, soil properties (moisture, salinity, pH) showed stronger associations with species occurrence patterns than elevation. However, given our limited sample size, these represent preliminary patterns requiring validation.
- (3)
- Shrub–herb associations: PCA revealed several recurring plant combinations, including Rosa sericea with Cynoglossum amabile, Cotoneaster adpressus with Taraxacum mongolicum, and Hippophae rhamnoides with Setaria viridis. These assemblages may represent promising candidates for restoration plantings.
- (4)
- Native shrubs dominate: Field observations confirmed that native shrub species, rather than trees, form the natural woody vegetation, suggesting restoration efforts should prioritize shrub establishment.
Author Contributions
Funding
Data Availability Statement
Acknowledgments
Conflicts of Interest
Abbreviations
| pH | Soil pH |
| cond | Conductivity |
| TDS | Total Dissolved Solids |
| SAL | Salinity |
| RESX | Resistance |
| PCA | Principal Component Analysis |
| XLSTAT | Software for statistical analysis |
References
- Myers, N.; Mittermeier, R.A.; Mittermeier, C.G.; da Fonseca, G.A.B.; Kent, J. Biodiversity hotspots for conservation priorities. Nature 2000, 403, 853–858. [Google Scholar] [CrossRef] [PubMed]
- Wang, Y.; Wang, X.; Zhu, W.; Jiang, S.; Li, Z. Evaluation of the suitaiblity of afforestation tree species in the northern and southern mountains of Lhasa using analytic hierarchy process. J. Northeast For. Univ. 2025, 53, 38–57. [Google Scholar]
- Yu, B.; Yao, X. Influencing factors and countermeasures for afforestation survival rate in the north and south mountains greening project of Lhasa. Sichuan Agric. Sci. Technol. 2025, 1, 173–176. [Google Scholar]
- Luo, H.; Zhu, Z.; Yao, H.; Ke, Y.; Pu, B. Tibet plateau semi-arid region seabuckthorn field seedling raising technique. Tibet Agric. Sci. Technol. 2012, 34, 24–26. [Google Scholar]
- Ma, S. Summary of introduction, seedling cultivation and afforestation trials of Cupressus torulosa in Tibet. Hunan For. Sci. Technol. 2001, 28, 44–46. [Google Scholar]
- Feng, J. Cultivation techniques of Cupressus torulosa in Tibet. Pract. For. Technol. 2014, 4, 60–61. [Google Scholar]
- Zhu, Z.; Ke, Y.; Ge, S.; Cui, Z.; Pu, B.; Zuo, L. The main afforestation tree species in tibet—The technology research about Poplar in vitro rapid propagation. Tibet Agric. Sci. Technol. 2012, 34, 23–28. [Google Scholar]
- Luo, D.; Fang, J.; Quan, H.; Guo, Q.; Zhao, K. A study on drought resistance of three cypress species in the semi-arid region of Tibet. Resour. Sci. 2010, 32, 1601–1607. [Google Scholar]
- Zhang, Y. Study on Drought Resistant Forestation Technology of Lhasa Semi-Arid Valley and Overflow Land. Master’s Thesis, Xizang University, Lhasa, China, 2010. [Google Scholar]
- Ding, Y. Tree selection and typical afforestation model of south-north mountains in Lhasa. J. Plateau Agric. 2023, 7, 486–491. [Google Scholar]
- Ding, Y.; Pu, B. Classification of stand type and evaluation on forest suitability in Lhasa South-North Mountains. For. Constr. 2023, 41, 26–28. [Google Scholar]
- Wang, Y.; Liu, Y.; Li, X.; Dong, S.; Zhang, J.; La, Q.; Cao, P. Characteristics of bacterial diversity changes in the watershed of the lower Lhasa River. J. Glaciol. Geocryol. 2025, 47, 537–548. [Google Scholar]
- Wang, Z.; Zhou, J.; Hu, J.; Liu, S.; Weng, S.; Fang, Q.; Pu, B.; Yang, L. Diversity of birds in Lhasa in autumn. Tibet Sci. Technol. 2024, 46, 3–11. [Google Scholar]
- Du, J.; Jian, J.; Yu, Y.; Yang, B.; Lhak, P. Climatic change features of rainfall in Lhasa form1952 to 2005. Arid Land Geogr. 2008, 31, 397–402. [Google Scholar]
- Fang, L.; Huang, Z.; Jie, C.; Zang, J. Study on the diversity of spider community under different afforestation patterns in the northern and southern mountains of Lhasa. Plateau Sci. Res. 2024, 8, 55–64. [Google Scholar]
- Cui, G.-S.; Luo, T.-X.; Liang, E.-Y.; Zhang, L. Advances in the study of shrubland facilitation on herbs in arid and semi-arid regions. Chin. J. Plant Ecol. 2022, 46, 1321–1333. [Google Scholar] [CrossRef]
- Liu, J.; Wang, J.; Morreale, S.J.; Schneider, R.L.; Li, Z.; Wu, G.-L. Contributions of plant litter to soil microbial activity improvement and soil nutrient enhancement along with herb and shrub colonization expansions in an arid sandy land. Catena 2023, 217, 107098. [Google Scholar] [CrossRef]
- Kang, X.; Wu, X.; Liu, Y.; Zhang, A.; Duan, L.; Zhou, J.; Zhan, Z.; Qi, W. Shrub effect on grassland community assembly depends on plant functional traits and shrub morphology. Oecologia 2025, 207, 77. [Google Scholar] [CrossRef]
- Ordoñez, J.C.; van Bodegom, P.M.; Witte, J.P.; Bartholomeus, R.P.; van Hal, J.R.; Aerts, R. Plant strategies in relation to resource supply in mesic to wet environments: Does theory mirror nature? Am. Nat. 2010, 175, 225–239. [Google Scholar] [CrossRef] [PubMed]
- McCluney, K.E.; Belnap, J.; Collins, S.L.; González, A.L.; Hagen, E.M.; Holland, J.N.; Kotler, B.P.; Maestre, F.T.; Smith, S.D.; Wolf, B.O. Shifting species interactions in terrestrial dryland ecosystems under altered water availability and climate change. Biol. Rev. Camb. Philos. Soc. 2012, 87, 563–582. [Google Scholar] [CrossRef] [PubMed]
- Liu, H.; Yu, B.; Sun, Z.; He, P.; Dong, Y.; Yang, H. Spatial variability and driving factors of soil pH in the desert grasslands of northern Xinjiang. Environ. Res. 2025, 276, 121489. [Google Scholar] [CrossRef]
- Ahmed, S.; Sarker, S.K.; Friess, D.A.; Kamruzzaman, M.; Jacobs, M.; Islam, M.A.; Alam, M.A.; Suvo, M.J.; Sani, M.N.; Dey, T.; et al. Salinity reduces site quality and mangrove forest functions. From monitoring to understanding. Sci. Total Environ. 2022, 853, 158662. [Google Scholar] [CrossRef] [PubMed]
- Hou, H.; Zhang, Y.; Zhou, J.; Guo, Y.; Liu, H.; Li, Y.; Gao, S. Aridity and soil properties drive the shrub–herb interactions along environmental gradients. Agronomy 2024, 14, 2588. [Google Scholar] [CrossRef]



| Family | Genus Name | Latin Name | Life Form |
|---|---|---|---|
| Asteraceae | Artemisia | Artemisia argyi H. Lév. & Vaniot | Herb |
| Artemisia | Artemisia caruifolia Buch.-Ham. ex Roxb. | Herb | |
| Arctium | Arctium lappa L. | Herb | |
| Galinsoga | Galinsoga parviflora Cav. | Herb | |
| Artemisia | Artemisia gmelinii Weber ex Stechm. | Herb | |
| Taraxacum | Taraxacum mongolicum Hand.-Mazz. | Herb | |
| Cosmos | Cosmos bipinnatus Cav. | Herb | |
| Leontopodium | Leontopodium leontopodioides (Willd.) Beauverd | Herb | |
| Senecio | Senecio vulgaris L. | Herb | |
| Pseudognaphalium | Pseudognaphalium flavescens (Kitam.) Anderb. | Herb | |
| Sonchus | Sonchus oleraceus L. | Herb | |
| Aster | Aster gouldii C. E. C. Fisch. | Herb | |
| Rosacea | Rosa | Rosa sericea Lindl. | Shrub |
| Cotoneaster | Cotoneaster adpressus Bois | Shrub | |
| Cotoneaster | Cotoneaster microphyllus Wall. ex Lindl. | Shrub | |
| Prunus | Prunus mira Koehne | Tree | |
| Argentina | Argentina anserina (L.) Rydb. | Herb | |
| Fabaceae | Sophora | Sophora moorcroftiana Kanitz | Shrub |
| Vicia | Vicia sativa L. | Herb | |
| Astragalus | Astragalus strictus Graham | Herb | |
| Melilotus | Melilotus suaveolens Ledeb. | Herb | |
| Poaceae | Poa | Poa annua L. | Herb |
| Setaria | Setaria viridis (L.) P. Beauv. | Herb | |
| Eragrostis | Eragrostis nigra Nees ex Steud. | Herb | |
| Pennisetum | Pennisetum flaccidum Griseb. | Herb | |
| Polygonaceae | Koenigia | Koenigia tortuosa (D. Don) T. M. Schust. & Reveal | Shrub |
| Fagopyrum | Fagopyrum tataricum (L.) Gaertn. | Herb | |
| Rumex | Rumex nepalensis Spreng. | Herb | |
| Rumex dentatus L. | Herb | ||
| Salicaceae | Salix | Salix rehderiana C. K. Schneid. | Shrub |
| Populus | Populus przewalskii Maxim. | Tree | |
| Populus alba L. | Tree | ||
| Scrophulariaceae | Buddleja | Buddleja crispa Benth. | Shrub |
| Buddleja alternifolia Maxim. | Shrub | ||
| Berberidaceae | Berberis | Berberis hemsleyana Ahrendt | Shrub |
| Ranunculaceae | Clematis | Clematis florida Thunb. | liana |
| Elaeagnaceae | Hippophae | Hippophae rhamnoides L. | Shrub |
| Urticaceae | Urtica | Urtica fissa E. Pritz. | Herb |
| Solanaceae | Datura | Datura stramonium L. | Herb |
| Ulmaceae | Ulmus | Ulmus pumila L. | Tree |
| Cupressaceae | Juniperus | Juniperus chinensis L. | Tree |
| Malvaceae | Malva | Malva verticillata L. | Herb |
| Araceae | Arisaema | Arisaema flavum (Forssk.) Schott | Herb |
| Apiaceae | Heracleum | Heracleum candicans Wall. ex DC. | Herb |
| Caryophyllaceae | Eremogone | Eremogone brevipetala (Tsui & L. H. Zhou) Sadeghian & Zarre | Herb |
| Plantaginaceae | Plantago | Plantago depressa Willd. | Herb |
| Cyperaceae | Carex | Carex myosuroides Vill. | Herb |
| Saxifragaceae | Saxifraga | Saxifraga stolonifera Curtis | Herb |
| Gesneriaceae | Corallodiscus | Corallodiscus kingianus (Craib) Burtt | Herb |
| Gentianaceae | Gentiana | Gentiana scabra Bunge | Herb |
| Boraginaceae | Cynoglossum | Cynoglossum amabile Stapf & Drummond | Herb |
| Campanulaceae | Cyananthus | Cyananthus hookeri C. B. Clarke | Herb |
| Brassicaceae | Lepidium | Lepidium apetalum Willd. | Herb |
| Mazaceae | Lancea | Lancea tibetica Hook. f. & Thomson | Herb |
| Diversity Index | Sunny Slope | Shaded Slope |
|---|---|---|
| Shannon Index | 3.14 | 3.62 |
| Simpson Index | 0.947 | 0.97 |
Disclaimer/Publisher’s Note: The statements, opinions and data contained in all publications are solely those of the individual author(s) and contributor(s) and not of MDPI and/or the editor(s). MDPI and/or the editor(s) disclaim responsibility for any injury to people or property resulting from any ideas, methods, instructions or products referred to in the content. |
© 2025 by the authors. Licensee MDPI, Basel, Switzerland. This article is an open access article distributed under the terms and conditions of the Creative Commons Attribution (CC BY) license.
Share and Cite
Tso, N.; Li, X.; Wang, J.; Qunzong, G.; Huang, S.; Zhou, Y.; Liu, R. Shrub–Herb Plant Configuration Patterns and Their Relationship with Environmental Factors in the Northern and Southern Mountain Regions of Lhasa. Forests 2026, 17, 41. https://doi.org/10.3390/f17010041
Tso N, Li X, Wang J, Qunzong G, Huang S, Zhou Y, Liu R. Shrub–Herb Plant Configuration Patterns and Their Relationship with Environmental Factors in the Northern and Southern Mountain Regions of Lhasa. Forests. 2026; 17(1):41. https://doi.org/10.3390/f17010041
Chicago/Turabian StyleTso, Norzin, Xinyao Li, Junwei Wang, Gusang Qunzong, Shuaishuai Huang, Yonghong Zhou, and Ruojin Liu. 2026. "Shrub–Herb Plant Configuration Patterns and Their Relationship with Environmental Factors in the Northern and Southern Mountain Regions of Lhasa" Forests 17, no. 1: 41. https://doi.org/10.3390/f17010041
APA StyleTso, N., Li, X., Wang, J., Qunzong, G., Huang, S., Zhou, Y., & Liu, R. (2026). Shrub–Herb Plant Configuration Patterns and Their Relationship with Environmental Factors in the Northern and Southern Mountain Regions of Lhasa. Forests, 17(1), 41. https://doi.org/10.3390/f17010041

