The Effects of Different Management Intensities on Biodiversity Conservation in the Wooded Grasslands of the Central Apennines
Abstract
1. Introduction
- Different management intensities lead to changes in plant biodiversity along the transect from the tree trunk to the grassland.
- Plant bioindicators of successional dynamics are more abundant under conditions of abandonment compared to managed sites.
- The conservation of wooded grasslands is closely related to the intensity of the application of traditional management practices.
2. Materials and Methods
2.1. Study Area
2.2. Experimental Design and Surveys
2.3. Statistical Analysis
3. Results
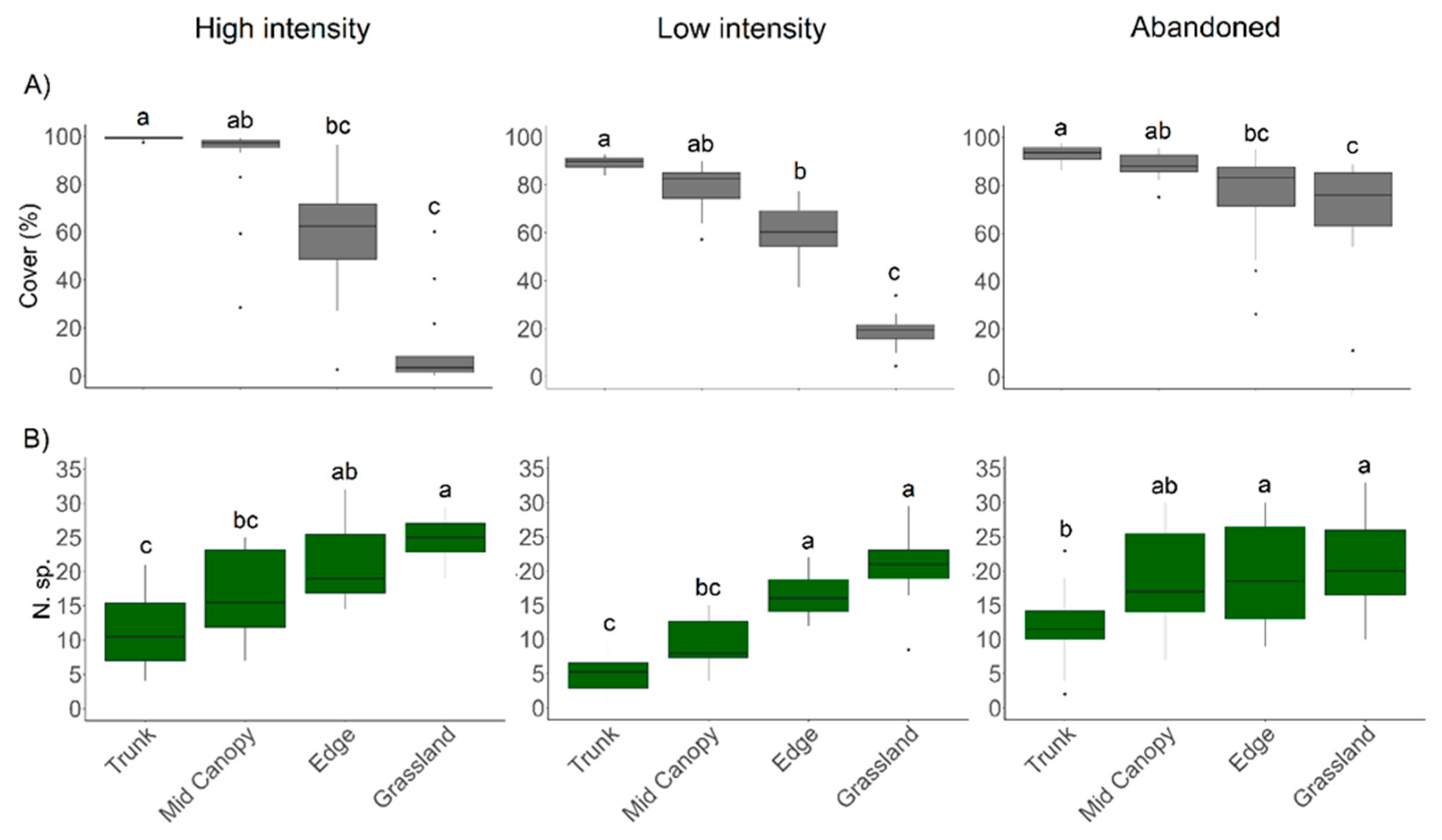
3.1. Canopy Cover and Plant Richness
3.2. Ecological Role of Species
3.3. Floristic Gradient and Composition
4. Discussion
4.1. Management Intensity and Its Effects on Canopy Cover and Species Richness
4.2. Management Intensity and Its Effects on Plant Ecological Categories and Floristic Composition
4.3. Management Strategies for Wooded Grasslands
5. Conclusions
Supplementary Materials
Author Contributions
Funding
Data Availability Statement
Acknowledgments
Conflicts of Interest
References
- Manning, A.D.; Fischer, J.; Lindenmayer, D.B. Scattered trees are keystone structures—Implications for conservation. Biol. Conserv. 2006, 132, 311–321. [Google Scholar] [CrossRef]
- Bergmeier, E.; Roellig, M. Diversity, threats and conservation of European wood pastures. In European Wood Pastures in Transition: A Social-Ecological Approach, 1st ed.; Hartel, T., Plieninger, T., Eds.; Routledge: Abingdon, UK, 2014; Chapter 2. [Google Scholar]
- Garbarino, M.; Bergmeier, E. Plant and vegetation diversity in European wood-pastures. In European Wood Pastures in Transition: A Social-Ecological Approach, 1st ed.; Hartel, T., Plieninger, T., Eds.; Routledge: Abingdon, UK, 2014; Chapter 7. [Google Scholar]
- Seddaiu, G.; Bagella, S.; Pulina, A.; Cappai, C.; Salis, L.; Rossetti, I.; Lai, R.; Roggero, P.P. Mediterranean cork oak wood grasslands: Synergies and trade-offs between plant diversity, pasture production and soil carbon. Agrofor. Syst. 2018, 92, 893–908. [Google Scholar] [CrossRef]
- Tesei, G.; Bonanomi, G.; D’Ottavio, P.; Francioni, M.; Giovagnoli, D.; Landi, L.; Murolo, S.; Trozzo, L.; Allegrezza, M. Under the Crown of Scattered Beech (Fagus sylvatica): Impact on Plant Community, Soil Resources, and Fungal Diversity. J. Veg. Sci. 2025, 36, e70021. [Google Scholar] [CrossRef]
- Hartel, T.; Dorresteijn, I.; Klein, C.; Máthé, O.; Moga, C.I.; Öllerer, K.; Roellig, M.; von Wehrden, H.; Fischer, J. Wood-pastures in a traditional rural region of Eastern Europe: Characteristics, management and status. Biol. Conserv. 2013, 166, 267–275. [Google Scholar] [CrossRef]
- Plieninger, T.; Hartel, T.; Martín-López, B.; Beaufoy, G.; Bergmeier, E.; Kirby, K.; Montero, M.J.; Moreno, G.; Oteros-Rozas, E.; Van Uytvanck, J. Wood-pastures of Europe: Geographic coverage, social–ecological values, conservation management, and policy implications. Biol. Conserv. 2015, 190, 70–79. [Google Scholar] [CrossRef]
- Vojta, J.; Drhovska, L. Are abandoned wooded pastures suitable refugia for forest species? J. Veg. Sci. 2012, 23, 880–891. [Google Scholar] [CrossRef]
- Bergmeier, E.; Petermann, J.; Schröder, E. Geobotanical survey of wood-pasture habitats in Europe: Diversity, threats and conservation. Biodivers. Conserv. 2010, 19, 2995–3014. [Google Scholar] [CrossRef]
- Centeri, C.; Renes, H.; Roth, M.; Kruse, A.; Eiter, S.; Kapfer, J.; Santoro, A.; Agnoletti, M.; Emanueli, F.; Sigura, M.; et al. Wooded Grasslands as Part of the European Agricultural Heritage. In Biocultural Diversity in Europe Environmental History; Agnoletti, M., Emanueli, F., Eds.; Springer: Cham, Switzerland, 2016; Volume 5, pp. 75–103. [Google Scholar] [CrossRef]
- Mosquera-Losada, M.R.; McAdam, J.H.; Romero-Franco, R. Definitions and components of agroforestry practices in Europe. In Agroforestry in Europe. Current Status and Future Prospects; Rigueiro-Rodríguez, A., McAdam, J., Mosquera-Losada, M.R., Eds.; Springer: Berlin, Germany, 2009; pp. 3–19. [Google Scholar]
- Bianchini, M.; Tarhouni, M.; Francioni, M.; Fiorentini, M.; Rivosecchi, C.; Msadek, J.; Tlili, A.; Chouikhi, F.; Allegrezza, M.; Tesei, G.; et al. Modeling Climate-Driven Vegetation Changes Under Contrasting Temperate and Arid Conditions in the Mediterranean Basin. Ecol. Evol. 2025, 15, e70753. [Google Scholar] [CrossRef]
- Pardini, A.; Nori, M. Agro-silvo-pastoral systems in Italy: Integration and diversification. Pastor. Res. Policy Pract. 2011, 1, 26. [Google Scholar] [CrossRef]
- Costa, A.; Madeira, M.; Santos, J.L.; Plieninger, T. Recent dynamics of evergreen oak wood-pastures in south-western Iberia. In European Wood Pastures in Transition: A Social-Ecological Approach, 1st ed.; Hartel, T., Plieninger, T., Eds.; Routledge: Abingdon, UK, 2014; Chapter 5. [Google Scholar]
- Garrido, P.; Elbakidze, M.; Angelstam, P. Stakeholders’ perceptions on ecosystem services in Östergötland’s (Sweden) threatened oak wood-pasture landscapes. Landsc. Urban Plan. 2017, 158, 96–104. [Google Scholar] [CrossRef]
- Dean, G.; Francioni, M.; Toderi, M.; Lopez-i-Gelats, F.; Trozzo, L.; Rivera-Ferre, M.G.; Franca, A.; Altana, G.M.; Karatassiou, M.; Parissi, Z.M.; et al. Nature’s contribution to people provided by pastoral systems across European, African, and Middle East Mediterranean countries: Trends, approaches and gaps. Reg. Environ. Change 2024, 24, 77. [Google Scholar] [CrossRef]
- Garbarino, M.; Morresi, D.; Urbinati, C.; Malandra, F.; Motta, R.; Sibona, E.M.; Vitali, A.; Weisberg, P.J. Contrasting land use legacy effects on forest landscape dynamics in the Italian Alps and the Apennines. Landsc. Ecol. 2020, 35, 2679–2694. [Google Scholar] [CrossRef]
- Garbarino, M.; Lingua, E.; Subira, M.M.; Motta, R. The larch wood pasture: Structure and dynamics of a cultural landscape. Eur. J. For. Res. 2011, 130, 491–502. [Google Scholar] [CrossRef]
- Jørgensen, D.; Quelch, P. The origins and history of medieval wood-pastures. In European Wood Pastures in Transition: A Social-Ecological Approach, 1st ed.; Hartel, T., Plieninger, T., Eds.; Routledge: Abingdon, UK, 2014; Chapter 4. [Google Scholar]
- Janssen, J.A.M.; Rodwell, J.S.; García Criado, M.; Gubbay, S.; Haynes, T.; Nieto, A.; Sanders, N.; Landucci, F.; Loidi, J.; Symank, A.; et al. (Eds.) European Red List of Habitats. Part 2. Terrestrial and Freshwater Habitats; Publications Office of the European Union: Luxembourg, 2016. [Google Scholar] [CrossRef]
- Plieninger, T.; Dijks, S.; Oteros-Rozas, E.; Bieling, C. Assessing, mapping, and quantifying cultural ecosystem services at community level. Land Use Policy 2013, 33, 118–129. [Google Scholar] [CrossRef]
- Varga, A.; Zsolt, M. The role of traditional ecological knowledge in managing wood-pastures. In European Wood Pastures in Transition: A Social-Ecological Approach, 1st ed.; Hartel, T., Plieninger, T., Eds.; Routledge: Abingdon, UK, 2014; Chapter 11. [Google Scholar]
- Plieninger, T.; Hartel, T. European wood-pastures in transition: Lessons for science, conservation and policy development in high nature value landscapes. In European Wood Pastures in Transition: A Social-Ecological Approach, 1st ed.; Hartel, T., Plieninger, T., Eds.; Routledge: Abingdon, UK, 2014; Chapter 17. [Google Scholar]
- Alias, S.; Bianchi, L.; Calamini, G.; Gregori, E.; Sioni, S. Shrub facilitation of Quercus ilex and Quercus pubescens regeneration in a wooded pasture in central Sardinia (Italy). iForest Biogeosci. For. 2010, 3, 16–22. [Google Scholar] [CrossRef]
- Rossetti, I.; Bagella, S.; Cappai, C.; Caria, M.; Lai, R.; Roggero, P.; da Silva, P.M.; Sousa, J.; Querner, P.; Seddaiu, G. Isolated cork oak trees affect soil properties and biodiversity in Mediterranean wooded grassland. Agric. Ecosyst. Environ. 2015, 202, 203–216. [Google Scholar] [CrossRef]
- Moreno, G.; Gonzalez-Bornay, G.; Pulido, F.; Lopez-Diaz, M.L.; Bertomeu, M.; Juárez, E.; Diaz, M. Exploring the causes of high biodiversity of Iberian dehesas: The importance of wood pastures and marginal habitats. Agrofor. Syst. 2016, 90, 87–105. [Google Scholar] [CrossRef]
- Bagella, S.; Caria, M.C.; Seddaiu, G.; Leites, L.; Roggero, P.P. Patchy landscapes support more plant diversity and ecosystem services than wood grasslands in Mediterranean silvopastoral agroforestry systems. Agric. Syst. 2020, 185, 102945. [Google Scholar] [CrossRef]
- Susmel, P.; Fabro, C.; Filacorda, S. Transhumance in the Italian Alps and Apennines. In Transhumance and Biodiversity in European Mountains, 1st ed.; Bunce, G.H., Pérez-Soba, M., Jongman, R.H.G., Sal, A.G., Herzog, F., Eds.; IALE: Wageningen, The Netherlands, 2004; pp. 231–232. [Google Scholar]
- Alinei, M. (Ed.) From Lat. meridies ‘Sheep’s Meriggio’, to Lat. mora and Lat. umbra: Italic Origins and Linguistic Development of a Term from Transhumant Pastoralism; Quaderni di Semantica, a. XXX, 1; Cooperativa Libraria Universitaria CLUEB: Bologna, Italy, 2009. (In Italian) [Google Scholar]
- Rivas-Martínez, S.; Sáenz, S.R.; Penas, À. Worldwide bioclimatic classification system. Glob. Geobot. 2011, 1, 1–634. [Google Scholar] [CrossRef]
- Pesaresi, S.; Biondi, E.; Casavecchia, S. Bioclimates of Italy. J. Maps 2017, 13, 955–960. [Google Scholar] [CrossRef]
- Pignatti, S.; Guarino, R.; La Rosa, M. (Eds.) Flora of Italy, 2nd ed.; Edagricole New Business Media: Milano, Italy, 2017. (In Italian) [Google Scholar]
- Bartolucci, F.; Peruzzi, L.; Galasso, G.; Albano, A.; Alessandrini, A.; Ardenghi, N.M.G.; Astuti, G.; Bacchetta, G.; Ballelli, S.; Banfi, E.; et al. An updated checklist of the vascular flora native to Italy. Plant Biosyst. 2018, 152, 179–303. [Google Scholar] [CrossRef]
- Biondi, E.; Blasi, C.; Allegrezza, M.; Anzellotti, I.; Azzella, M.M.; Carli, E.; Casavecchia, S.; Copiz, R.; Del Vico, E.; Facioni, L.; et al. Plant communities of Italy: The Vegetation Prodrome. Plant Biosyst. 2014, 148, 728–814. [Google Scholar] [CrossRef]
- Tichý, L. GLAMA-Gap Light Analysis Mobile Application; Department of Botany and Zoology: Brno, Czech Republic, 2014. [Google Scholar]
- Oksanen, J.; Blanchet, F.G.; Kindt, R.; Legendre, P.; O’hara, R.B.; Simpson, G.L.; Solymos, P.; Stevens, M.H.; Wagner, H. vegan: Community Ecology Package. R Package Version 2.5-7. 2020. Available online: https://CRAN.R-project.org/package=vegan (accessed on 15 January 2025).
- R Core Team. R: A Language and Environment for Statistical Computing. Version 4.2.2. 2021. Available online: https://www.R-project.org/ (accessed on 10 November 2024).
- Dormann, C.F.; Bagnara, M.; Boch, S.; Hinderling, J.; Janeiro-Otero, A.; Schäfer, D.; Schall, P.; Hartig, F. Plant species richness increases with light availability, but not variability, in temperate forests understorey. BMC Ecol. 2020, 20, 43. [Google Scholar] [CrossRef] [PubMed]
- Márialigeti, S.; Tinya, F.; Bidló, A.; Ódor, P. Environmental drivers of the composition and diversity of the herb layer in mixed temperate forests in Hungary. Plant Ecol. 2016, 217, 549–563. [Google Scholar] [CrossRef]
- Pignatti, S.; Menegoni, P.; Pietrosanti, S. Biondicazione attraverso le piante vascolari. Valori di indicazione secondo Ellenberg (Zeigerwerte) per le specie della Flora d’Italia. Braun-Blanquetia 2005, 39, 1–97. [Google Scholar]
- De Pauw, K.; Meeussen, C.; Govaert, S.; Sanczuk, P.; Vanneste, T.; Bernhardt-Römermann, M.; Bollmann, K.; Brunet, J.; Calders, K.; Cousins, S.A.O.; et al. Taxonomic, phylogenetic and functional diversity of understorey plants respond differently to environmental conditions in European forest edges. J. Ecol. 2021, 109, 2629–2648. [Google Scholar] [CrossRef]
- Allegrezza, M.; Biondi, E.; Ballelli, S.; Tesei, G.; Ottaviani, C. The edge communities of Asphodelus macrocarpus subsp. macrocarpus: The different ecological aspects and a new case study in the central Apennines. Plant Sociol. 2015, 52, 19–40. [Google Scholar] [CrossRef]
- Allegrezza, M.; Biondi, E.; Ballelli, S.; Tesei, G.; Ottaviani, C.; Zitti, S. Brachypodium rupestre (Host) Roem. & Schult. Herbaceous communities of heliophilous edge in the Trifolio medii-Geranietea sanguinei Müller 1962 class. Plant Sociol. 2016, 53, 59–76. [Google Scholar] [CrossRef]
- Tesei, G.; D’oTtavio, P.; Toderi, M.; Ottaviani, C.; Pesaresi, S.; Francioni, M.; Trozzo, L.; Allegrezza, M. Restoration strategies for grasslands colonized by asphodel-dominant communities. Grassl. Sci. 2020, 66, 54–63. [Google Scholar] [CrossRef]
- Angelini, P.; Casella, L.; Grignetti, A.; Genovesi, P. (Eds.) Manuali per Il Monitoraggio di Specie e Habitat di Interesse Comunitario (Direttiva 92/43/CEE) in Italia: Habitat; Serie Manuali e Linee Guida, 142/2016; ISPRA: Roma, Italy, 2016. [Google Scholar]
- Biondi, E.; Allegrezza, M.; Casavecchia, S.; Galdenzi, D.; Gasparri, R.; Pesaresi, S.; Soriano, P.; Tesei, G.; Blasi, C. New insight on Mediterranean and sub-Mediterranean syntaxa included in the Vegetation Prodrome of Italy. Flora Mediterr. 2015, 25, 77–102. [Google Scholar] [CrossRef]
- De Simone, W.; Allegrezza, M.; Frattaroli, A.R.; Montecchiari, S.; Tesei, G.; Zuccarello, V.; Di Musciano, M. From Remote Sensing to Species Distribution Modelling: An Integrated Workflow to Monitor Spreading Species in Key Grassland Habitats. Remote Sens. 2021, 13, 1904. [Google Scholar] [CrossRef]
- Holl, K.D. Effect of shrubs on tree seedling establishment in an abandoned tropical pasture. J. Ecol. 2002, 90, 179–187. [Google Scholar] [CrossRef]





| Position | |||||
|---|---|---|---|---|---|
| Trunk | Mid-canopy | Edge | Grassland | p Value | |
| Mean canopy cover (%) | |||||
| High | 99.23 ± 0.69 a | 89.79 ± 19.17 ab | 60.30 ± 25.36 bc | 10.50 ± 16.83 c | <0.01 |
| Low | 89.33 ± 2.70 a | 79.55 ± 9.45 ab | 60.05 ± 10.74 b | 18.82 ± 6.98 c | <0.01 |
| Abandoned | 93.32 ± 3.18 a | 88.30 ± 5.38 ab | 75.76 ± 19.42 bc | 69.87 ± 20.33 c | <0.01 |
| Mean species richness (n.) | |||||
| High | 11.28 ± 5.4 c | 16.84 ± 6.49 bc | 21.34 ± 5.59 ab | 24.97 ± 3.04 a | <0.01 |
| Low | 5.04 ± 2.53 c | 9.33 ± 3.83 bc | 16.53 ± 3.47 a | 20.81 ± 4.77 a | <0.01 |
| Abandoned | 12.06 ± 5.69 b | 19.69 ± 8.24 ab | 19.81 ± 7.45 a | 20.73 ± 7.05 a | <0.01 |
| Mean species cover (%) | |||||
| Nemoral | |||||
| High | 9.63 ± 7.99 a | 8 ± 6.84 ab | 2.14 ± 2.16 bc | 0.00 | <0.01 |
| Low | 9.42 ± 10.53 a | 8.14 ± 7.71 ab | 2.44 ± 4.25 bc | 0.00 | <0.01 |
| Abandoned | 13.55 ± 9.80 a | 12.97 ± 9.03 a | 6.60 ± 7.75 ab | 4.22 ± 3.14 b | <0.01 |
| Herbaceous edge | |||||
| High | 24.83 ± 23.86 | 23.69 ± 25.47 | 14.92 ± 17.00 | 6.22 ± 5.21 | 0.077 |
| Low | 15.46 ± 18.77 c | 47.01 ± 19.20 a | 43.88 ± 22.65 ab | 21.94 ± 24.82 bc | <0.01 |
| Abandoned | 4.67 ± 7.24 b | 21.48 ± 17.38 a | 35.66 ± 24.14 a | 15.75 ± 12.06 a | <0.01 |
| Shrub forests and pre-forest | |||||
| High | 8.30 ± 22.42 a | 2.27 ± 6.10 abc | 0.16 ± 0.63 bc | 0.00 | <0.01 |
| Low | 3.67 ± 4.53 ab | 7.84 ± 12.47 a | 0.63 ± 2.00 bc | 0.09 ± 0.38 c | <0.01 |
| Abandoned | 12.09 ± 11.22 c | 19.72 ± 15.15 bc | 36.89 ± 25.90 ab | 57.90 ± 29.41 a | <0.01 |
| Grassland | |||||
| High | 10.66 ± 9.32 c | 25.69 ± 17.58 bc | 61.45 ± 28.63 ab | 102.30 ± 23.69 a | <0.01 |
| Low | 1.98 ± 2.97 c | 12.58 ± 14.90 b | 54.69 ± 29.02 ab | 104.91 ± 29.18 a | <0.01 |
| Abandoned | 1.31 ± 1.92 | 2.31 ± 2.77 | 8.63 ± 10.91 | 16.13 ± 18.45 | <0.01 |
| Seedling | |||||
| High | 0.13 ± 0.29 | 0.75 ± 1.24 | 0.5 ± 0.80 | 0.16 ± 0.40 | 0.06 |
| Low | 0.15 ± 0.23 | 0.03 ± 0.13 | 0.15 ± 0.39 | 0.03 ± 0.13 | 0.17 |
| Abandoned | 0.40 ± 0.45 | 0.44 ± 0.41 | 0.43 ± 0.42 | 0.35 ± 0.89 | 0.14 |
| Shrub heights (cm) | |||||
| High | 6.00 ± 12.63 a | 1.44 ± 3.97 abc | 0.88 ± 2.42 ab | 0.00 | 0.01 |
| Low | 5.21 ± 4.52 a | 6.42 ± 5.54 ab | 1.97 ± 4.35 ab | 1.09 ± 4.38 b | 0.01 |
| Abandoned | 32.56 ± 18.72 c | 41.84 ± 19.48 bc | 113.41 ± 91.76 ab | 226.61 ± 96.08 a | <0.01 |
Disclaimer/Publisher’s Note: The statements, opinions and data contained in all publications are solely those of the individual author(s) and contributor(s) and not of MDPI and/or the editor(s). MDPI and/or the editor(s) disclaim responsibility for any injury to people or property resulting from any ideas, methods, instructions or products referred to in the content. |
© 2025 by the authors. Licensee MDPI, Basel, Switzerland. This article is an open access article distributed under the terms and conditions of the Creative Commons Attribution (CC BY) license (https://creativecommons.org/licenses/by/4.0/).
Share and Cite
Allegrezza, M.; Tesei, G.; Francioni, M.; Giovagnoli, D.; Bianchini, M.; D’Ottavio, P. The Effects of Different Management Intensities on Biodiversity Conservation in the Wooded Grasslands of the Central Apennines. Forests 2025, 16, 1034. https://doi.org/10.3390/f16071034
Allegrezza M, Tesei G, Francioni M, Giovagnoli D, Bianchini M, D’Ottavio P. The Effects of Different Management Intensities on Biodiversity Conservation in the Wooded Grasslands of the Central Apennines. Forests. 2025; 16(7):1034. https://doi.org/10.3390/f16071034
Chicago/Turabian StyleAllegrezza, Marina, Giulio Tesei, Matteo Francioni, Demetra Giovagnoli, Marco Bianchini, and Paride D’Ottavio. 2025. "The Effects of Different Management Intensities on Biodiversity Conservation in the Wooded Grasslands of the Central Apennines" Forests 16, no. 7: 1034. https://doi.org/10.3390/f16071034
APA StyleAllegrezza, M., Tesei, G., Francioni, M., Giovagnoli, D., Bianchini, M., & D’Ottavio, P. (2025). The Effects of Different Management Intensities on Biodiversity Conservation in the Wooded Grasslands of the Central Apennines. Forests, 16(7), 1034. https://doi.org/10.3390/f16071034

