Biochar Applications Did Not Increase Summer Soil Respiration in a European Beech Forest
Abstract
1. Introduction
2. Materials and Methods
2.1. Sampling and Preparation of Soil Samples
2.2. Soil Respiration Measurements
2.3. Soil Temperature and Moisture Measurements
2.4. Statistical Analysis
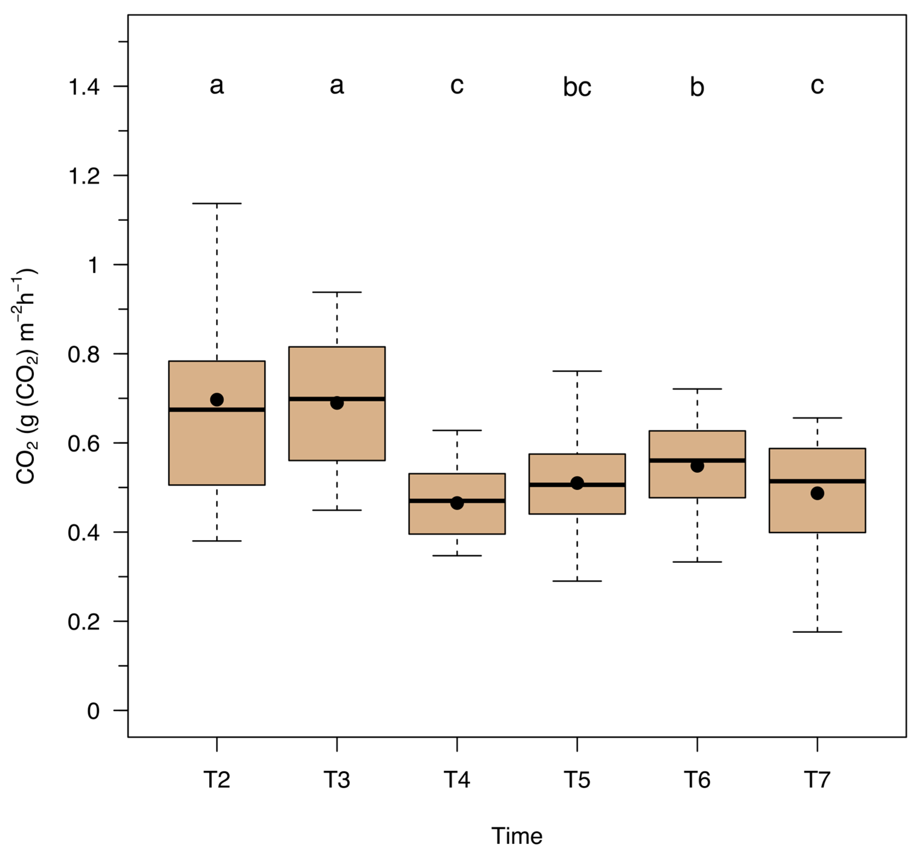
3. Results
4. Discussion
5. Conclusions
Author Contributions
Funding
Data Availability Statement
Acknowledgments
Conflicts of Interest
Abbreviations
| BCH | Biochar | 
| C | Carbon | 
| CEC | Cation exchange capacity | 
| CC | Climate change | 
| CSF | Climate-smart forestry | 
| VWC | Volumetric water content | 
Appendix A
Appendix B



References
- Bayat, A.T. Carbon Stock in an Apennine Beech Forest. Master’s Thesis, Faculty of Geo-Information and Earth Observation (ITC), University of Twente, Enschede, The Netherlands, 2011. [Google Scholar]
 - INFC, Inventario Nazionale Delle Foreste e Dei Serbatoi Forestali Di Carbonio. Superficie forestale e Tipi Forestali. Available online: https://www.sian.it/inventarioforestale/jsp/01tabelle_superficie.jsp#:~{}:text=La%20superficie%20 (accessed on 15 February 2025).
 - Martinez del Castillo, E.; Zang, C.S.; Buras, A.; Hacket-Pain, A.; Esper, J.; Serrano-Notivoli, R.; Hartl, C.; Weigel, R.; Klesse, S.; Resco de Dios, V.; et al. Climate-Change-Driven Growth Decline of European Beech Forests. Commun. Biol. 2022, 5, 163. [Google Scholar] [CrossRef] [PubMed]
 - Engel, M.; Mette, T.; Falk, W.; Poschenrieder, W.; Fridman, J.; Skudnik, M. Modelling Dominant Tree Heights of Fagus sylvatica L. Using Function-on-Scalar Regression Based on Forest Inventory Data. Forests 2023, 14, 304. [Google Scholar] [CrossRef]
 - Leuschner, C. Drought Response of European Beech (Fagus Sylvatica L.)—A Review. Perspect. Plant Ecol. Evol. Syst. 2020, 47, 125576. [Google Scholar] [CrossRef]
 - Geßler, A.; Keitel, C.; Kreuzwieser, J.; Matyssek, R.; Seiler, W.; Rennenberg, H. Potential Risks for European Beech (Fagus Sylvatica L.) in a Changing Climate. Trees 2007, 21, 1–11. [Google Scholar] [CrossRef]
 - European Commission. Europe’s Beech Forests Threatened by Climate Change. 26 October 2022. Available online: https://environment.ec.europa.eu/news/europes-beech-forests-threatened-climate-change-2022-10-26_en (accessed on 1 February 2025).
 - Augustynczik, A.L.D.; Yousefpour, R. Assessing the Synergistic Value of Ecosystem Services in European Beech Forests. Ecosyst. Serv. 2021, 49, 101264. [Google Scholar] [CrossRef]
 - von Hedemann, N.; Wurtzebach, Z.; Timberlake, T.J.; Sinkular, E.; Schultz, C.A. Forest Policy and Management Approaches for Carbon Dioxide Removal. Interface Focus. 2020, 10, 20200001. [Google Scholar] [CrossRef]
 - Antonucci, S.; Santopuoli, G.; Marchetti, M.; Tognetti, R.; Chiavetta, U.; Garfì, V. What Is Known about the Management of European Beech Forests Facing Climate Change? A Review. Curr. For. Rep. 2021, 7, 321–333. [Google Scholar] [CrossRef]
 - Ding, Y.; Liu, Y.; Liu, S.; Li, Z.; Tan, X.; Huang, X.; Zeng, G.; Zhou, L.; Zheng, B. Biochar to Improve Soil Fertility: A Review. Agron. Sustain. Dev. 2016, 36, 36. [Google Scholar] [CrossRef]
 - Kapoor, A.; Sharma, R.; Kumar, A.; Sepehya, S. Biochar as a Means to Improve Soil Fertility and Crop Productivity: A Review. J. Plant Nutr. 2022, 45, 2380–2388. [Google Scholar] [CrossRef]
 - Schulz, H.; Dunst, G.; Glaser, B. Positive Effects of Composted Biochar on Plant Growth and Soil Fertility. Agron. Sustain. Dev. 2013, 33, 817–827. [Google Scholar] [CrossRef]
 - Lal, R. Forest Soils and Carbon Sequestration. For. Ecol. Manag. 2005, 220, 242–258. [Google Scholar] [CrossRef]
 - Paustian, K.; Larson, E.; Kent, J.; Marx, E.; Swan, A. Soil C Sequestration as a Biological Negative Emission Strategy. Front. Clim. 2019, 1, 8. [Google Scholar] [CrossRef]
 - Franco, C.R.; Page-Dumroese, D.S.; Archuleta, J. Forest Management and Biochar for Continued Ecosystem Services. J. Soil. Water Conserv. 2022, 77, 60A–64A. [Google Scholar] [CrossRef]
 - Lal, R. Biochar and Soil Carbon Sequestration. In Agricultural and Environmental Applications of Biochar: Advances and Barriers; John Wiley & Sons, Ltd.: Madison, WI, USA, 2015; pp. 175–197. ISBN 978-0-89118-967-1. [Google Scholar]
 - Lehmann, J.; Gaunt, J.; Rondon, M. Bio-Char Sequestration in Terrestrial Ecosystems—A Review. Mitig. Adapt. Strat. Glob. Chang. 2006, 11, 403–427. [Google Scholar] [CrossRef]
 - Li, X.; Wang, T.; Chang, S.X.; Jiang, X.; Song, Y. Biochar Increases Soil Microbial Biomass but Has Variable Effects on Microbial Diversity: A Meta-Analysis. Sci. Total Environ. 2020, 749, 141593. [Google Scholar] [CrossRef]
 - Spokas, K.A. Review of the Stability of Biochar in Soils: Predictability of O:C Molar Ratios. Carbon. Manag. 2010, 1, 289–303. [Google Scholar] [CrossRef]
 - Bruckman, V.J.; Pumpanen, J. Chapter 17—Biochar Use in Global Forests: Opportunities and Challenges. In Developments in Soil Science; Global Change and Forest Soils; Busse, M., Giardina, C.P., Morris, D.M., Page-Dumroese, D.S., Eds.; Elsevier: Amsterdam, The Netherlands, 2019; Volume 36, pp. 427–453. [Google Scholar]
 - Chagas, J.K.M.; de Figueiredo, C.C.; Ramos, M.L.G. Biochar Increases Soil Carbon Pools: Evidence from a Global Meta-Analysis. J. Environ. Manag. 2022, 305, 114403. [Google Scholar] [CrossRef]
 - Smith, P. Soil Carbon Sequestration and Biochar as Negative Emission Technologies. Glob. Chang. Biol. 2016, 22, 1315–1324. [Google Scholar] [CrossRef]
 - Li, Y.; Hu, S.; Chen, J.; Müller, K.; Li, Y.; Fu, W.; Lin, Z.; Wang, H. Effects of Biochar Application in Forest Ecosystems on Soil Properties and Greenhouse Gas Emissions: A Review. J. Soils Sediments 2018, 18, 546–563. [Google Scholar] [CrossRef]
 - Thomas, S.C.; Gale, N. Biochar and Forest Restoration: A Review and Meta-Analysis of Tree Growth Responses. New For. 2015, 46, 931–946. [Google Scholar] [CrossRef]
 - Schaffert, E.; Lukac, M.; Percival, G.; Rose, G. The Influence of Biochar Soil Amendment on Tree Growth and Soil Quality: A Review for the Arboricultura Industry. Arboric. Urban For. (AUF) 2022, 48, 176–202. [Google Scholar] [CrossRef]
 - Vannini, A.; Carbognani, M.; Chiari, G.; Forte, T.G.W.; Lumiero, F.; Malcevschi, A.; Rodolfi, M.; Ganino, T.; Petraglia, A. Effects of Wood-Derived Biochar on Germination, Physiology, and Growth of European Beech (Fagus Sylvatica L.) and Turkey Oak (Quercus Cerris L.). Plants 2022, 11, 3254. [Google Scholar] [CrossRef] [PubMed]
 - Vannini, A.; Carbognani, M.; Chiari, G.; Forte, T.G.W.; Rodolfi, M.; Ganino, T.; Petraglia, A. Biochar Effects on Early Decomposition of Standard Litter in a European Beech Forest (Northern Italy). Sci. Total Environ. 2023, 903, 166224. [Google Scholar] [CrossRef]
 - Vannini, A.; Tarasconi, D.; Pietropoli, F.; Forte, T.G.W.; Grillo, F.; Carbognani, M.; Petraglia, A. Effects of Wood-Derived Biochar on Soil Respiration of a European Beech Forest under Current Climate and Simulated Climate Change. Forests 2025, 16, 474. [Google Scholar] [CrossRef]
 - Maestrini, B.; Nannipieri, P.; Abiven, S. A Meta-Analysis on Pyrogenic Organic Matter Induced Priming Effect. GCB Bioenergy 2015, 7, 577–590. [Google Scholar] [CrossRef]
 - Luo, Y.; Zhou, X. Soil Respiration and the Environment; Elsevier Academic Press: Amsterdam, The Netherlands, 2006; ISBN 978-0-12-088782-8. [Google Scholar]
 - EBC. European Biochar Certificate—Guidelines for a Sustainable Production of Biochar; Version 10.0 from 1 January 2022; European Biochar Foundation (EBC): Arbaz, Switzerland, 2012; Available online: http://european-biochar.org (accessed on 1 October 2024).
 - Cairns, S.; Sigmund, G.; Robertson, I.; Haine, R. Engineered Biochar as Adsorbent for the Removal of Contaminants from Aqueous Medium. In Engineered Biochar: Fundamentals, Preparation, Characterization and Applications; Ramola, S., Mohan, D., Masek, O., Méndez, A., Tsubota, T., Eds.; Springer Nature: Singapore, 2022; pp. 353–381. ISBN 978-981-19-2488-0. [Google Scholar]
 - R Development Core Team. R: A Language and Environment for Statistical Computing; R Development Core Team: Vienna, Austria, 2022. [Google Scholar]
 - Hothorn, T.; Hornik, K.; van de Wiel, M.A.; Zeileis, A. Implementing a Class of Permutation Tests: The Coin Package. J. Stat. Softw. 2008, 28, 1–23. [Google Scholar] [CrossRef]
 - Pinheiro, J.; Bates, D.; DebRoy, S.; Sarkar, D.; R Core Team. Nlme: Linear and Nonlinear Mixed Effects Models. R Package Versione 3.1-155. Available online: https://CRAN.R-project.org/package=nlme (accessed on 16 October 2023).
 - Zhou, G.; Zhou, X.; Zhang, T.; Du, Z.; He, Y.; Wang, X.; Shao, J.; Cao, Y.; Xue, S.; Wang, H.; et al. Biochar Increased Soil Respiration in Temperate Forests but Had No Effects in Subtropical Forests. For. Ecol. Manag. 2017, 405, 339–349. [Google Scholar] [CrossRef]
 - Rasul, M.; Cho, J.; Shin, H.-S.; Hur, J. Biochar-Induced Priming Effects in Soil via Modifying the Status of Soil Organic Matter and Microflora: A Review. Sci. Total Environ. 2022, 805, 150304. [Google Scholar] [CrossRef]
 - Luo, Y.; Lin, Q.; Durenkamp, M.; Kuzyakov, Y. Does Repeated Biochar Incorporation Induce Further Soil Priming Effect? J. Soils Sediments 2018, 18, 128–135. [Google Scholar] [CrossRef]
 - Whitman, T.; Singh, B.P.; Zimmerman, A.R. Priming Effects in Biochar-Amended Soils: Implications of Biochar-Soil Organic Matter Interactions for Carbon Storage. In Biochar for Environmental Management; Routledge: Abingdon, UK, 2015; ISBN 978-0-203-76226-4. [Google Scholar]
 - Klimek, B.; Chodak, M.; Niklińska, M. Soil Respiration in Seven Types of Temperate Forests Exhibits Similar Temperature Sensitivity. J. Soils Sediments 2021, 21, 338–345. [Google Scholar] [CrossRef]
 - Hereș, A.-M.; Bragă, C.; Petritan, A.M.; Petritan, I.C.; Curiel Yuste, J. Spatial Variability of Soil Respiration (Rs) and Its Controls Are Subjected to Strong Seasonality in an Even-Aged European Beech (Fagus sylvatica L.) Stand. Eur. J. Soil. Sci. 2021, 72, 1988–2005. [Google Scholar] [CrossRef]
 - Barba, J.; Cueva, A.; Bahn, M.; Barron-Gafford, G.A.; Bond-Lamberty, B.; Hanson, P.J.; Jaimes, A.; Kulmala, L.; Pumpanen, J.; Scott, R.L.; et al. Comparing Ecosystem and Soil Respiration: Review and Key Challenges of Tower-Based and Soil Measurements. Agric. For. Meteorol. 2018, 249, 434–443. [Google Scholar] [CrossRef]
 - Fang, Y.; Singh, B.; Singh, B.P. Effect of Temperature on Biochar Priming Effects and Its Stability in Soils. Soil. Biol. Biochem. 2015, 80, 136–145. [Google Scholar] [CrossRef]
 - Pietikäinen, J.; Pettersson, M.; Bååth, E. Comparison of Temperature Effects on Soil Respiration and Bacterial and Fungal Growth Rates. FEMS Microbiol. Ecol. 2005, 52, 49–58. [Google Scholar] [CrossRef]
 - Babur, E.; Dindaroğlu, T.; Solaiman, Z.M.; Battaglia, M.L. Microbial Respiration, Microbial Biomass and Activity Are Highly Sensitive to Forest Tree Species and Seasonal Patterns in the Eastern Mediterranean Karst Ecosystems. Sci. Total Environ. 2021, 775, 145868. [Google Scholar] [CrossRef]
 - Babur, E.; Dindaroğlu, T.; Riaz, M.; Uslu, O.S. Seasonal Variations in Litter Layers’ Characteristics Control Microbial Respiration and Microbial Carbon Utilization under Mature Pine, Cedar, and Beech Forest Stands in the Eastern Mediterranean Karstic Ecosystems. Microb. Ecol. 2022, 84, 153–167. [Google Scholar] [CrossRef]
 - Dissanayake, P.D.; Palansooriya, K.N.; Sang, M.K.; Oh, D.X.; Park, J.; Hwang, S.Y.; Igalavithana, A.D.; Gu, C.; Ok, Y.S. Combined Effect of Biochar and Soil Moisture on Soil Chemical Properties and Microbial Community Composition in Microplastic-Contaminated Agricultural Soil. Soil. Use Manag. 2022, 38, 1446–1458. [Google Scholar] [CrossRef]
 - Rousk, J.; Brookes, P.C.; Bååth, E. Contrasting Soil pH Effects on Fungal and Bacterial Growth Suggest Functional Redundancy in Carbon Mineralization. Appl. Environ. Microbiol. 2009, 75, 1589–1596. [Google Scholar] [CrossRef] [PubMed]
 - Brtnicky, M.; Datta, R.; Holatko, J.; Bielska, L.; Gusiatin, Z.M.; Kucerik, J.; Hammerschmiedt, T.; Danish, S.; Radziemska, M.; Mravcova, L.; et al. A Critical Review of the Possible Adverse Effects of Biochar in the Soil Environment. Sci. Total Environ. 2021, 796, 148756. [Google Scholar] [CrossRef]
 - Serie Generale n° 248 21/10/1999. Approvazione dei “Metodi Ufficiali di An[alisi Chimica del Suolo”, Gazzetta Ufficiale della Repubblica Italiana, 21 October 1999.
 



| Measurement Date | Abbreviation | 
|---|---|
| 30 May | T0 | 
| 19 June | T1 | 
| 27 June | T2 | 
| 11 July | T3 | 
| 26 July | T4 | 
| 8 August | T5 | 
| 8 September | T6 | 
| 6 October | T7 | 
| 10 November | T8 | 
Disclaimer/Publisher’s Note: The statements, opinions and data contained in all publications are solely those of the individual author(s) and contributor(s) and not of MDPI and/or the editor(s). MDPI and/or the editor(s) disclaim responsibility for any injury to people or property resulting from any ideas, methods, instructions or products referred to in the content.  | 
© 2025 by the authors. Licensee MDPI, Basel, Switzerland. This article is an open access article distributed under the terms and conditions of the Creative Commons Attribution (CC BY) license (https://creativecommons.org/licenses/by/4.0/).
Share and Cite
Vannini, A.; Tarasconi, D.; Grillo, F.; Forte, T.G.W.; Carbognani, M.; Petraglia, A. Biochar Applications Did Not Increase Summer Soil Respiration in a European Beech Forest. Forests 2025, 16, 837. https://doi.org/10.3390/f16050837
Vannini A, Tarasconi D, Grillo F, Forte TGW, Carbognani M, Petraglia A. Biochar Applications Did Not Increase Summer Soil Respiration in a European Beech Forest. Forests. 2025; 16(5):837. https://doi.org/10.3390/f16050837
Chicago/Turabian StyleVannini, Andrea, Debora Tarasconi, Filippo Grillo, T’ai Gladys Whittingham Forte, Michele Carbognani, and Alessandro Petraglia. 2025. "Biochar Applications Did Not Increase Summer Soil Respiration in a European Beech Forest" Forests 16, no. 5: 837. https://doi.org/10.3390/f16050837
APA StyleVannini, A., Tarasconi, D., Grillo, F., Forte, T. G. W., Carbognani, M., & Petraglia, A. (2025). Biochar Applications Did Not Increase Summer Soil Respiration in a European Beech Forest. Forests, 16(5), 837. https://doi.org/10.3390/f16050837
        
