Study on the Natural Regeneration Characteristics and Influencing Factors of Typical Quercus Forests in Northern China
Abstract
1. Introduction
2. Materials and Methods
2.1. Study Site
2.2. Experiment Design
2.3. Index Measurement
2.4. Index Calculation and Selection
2.4.1. Seedling Density and Importance Value
2.4.2. Plant Species Diversity Indices
2.4.3. Index Selection
2.5. Statistical Analysis
3. Results
3.1. Characteristics of Quercus Stand Regeneration
3.1.1. Regeneration Quantity and Grade Evaluation in Quercus Stands
3.1.2. Seedling Regeneration Characteristics in Quercus Stands
3.2. Correlation Analysis of Factors Affecting Natural Regeneration in Quercus Stands
3.2.1. Correlation Between Natural Regeneration and Site Factors in Quercus Stands
3.2.2. Correlation Between Natural Regeneration and Stand Factors in Quercus Stands
3.2.3. Spatial Distribution Pattern of Forest Stand
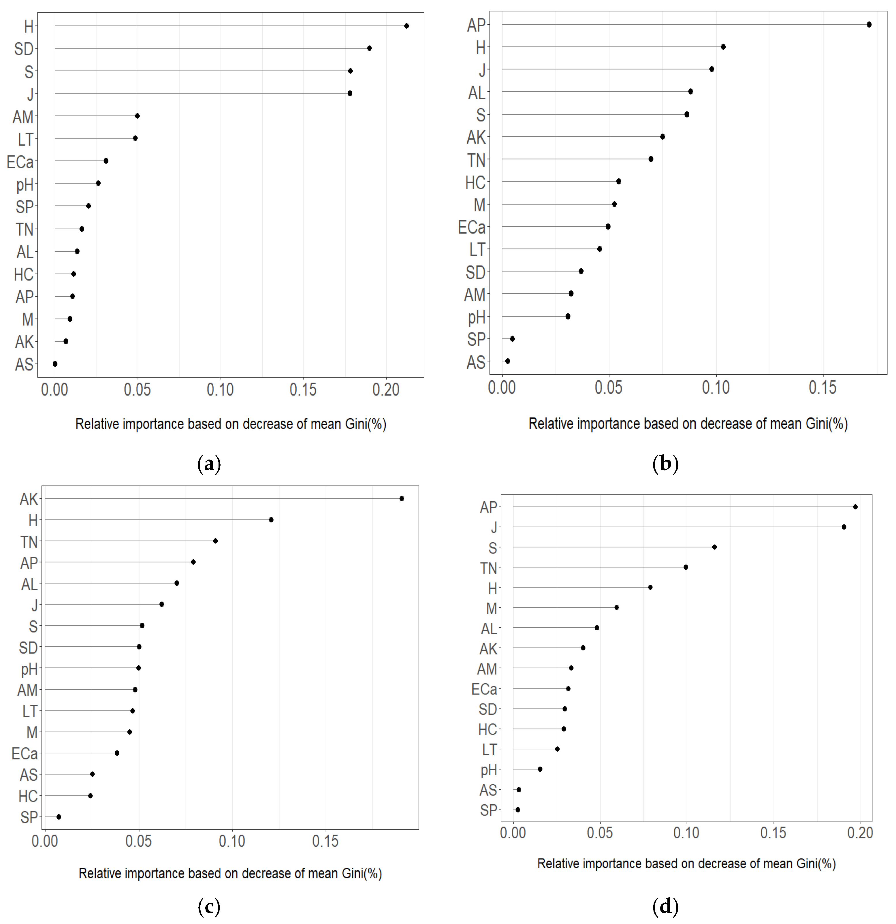
3.3. Random Forest Algorithm for Ranking Important Factors
3.3.1. Ranking of Important Factors Affecting Regeneration Grade in Quercus Stands
3.3.2. Ranking of Important Factors Affecting Regeneration Density in Quercus Stands
4. Discussion
4.1. Analysis of Different Regeneration Characteristics in Quercus Stands
4.2. Effects of Environmental Factors on Natural Regeneration in Quercus Stands
5. Conclusions
Author Contributions
Funding
Data Availability Statement
Conflicts of Interest
References
- Li, Q.B.; Zhang, C.Y.; Zhao, X.H. Species diversity and influencing factors of coniferous and broad-leaved mixed forest communities in different successional stages of Changbai Mountain. Acta Ecol. Sin. 2022, 42, 7147–7155. [Google Scholar]
- Chazdon, R.L.; Guariguata, M.R. Natural regeneration as a tool for large-scale forest restoration in the tropics: Prospects and challenges. Biotropica 2016, 48, 716–730. [Google Scholar] [CrossRef]
- Rahman, M.H.; Khan, M.A.S.A.; Roy, B.; Fardusi, M.J. Assessment of natural regeneration status and diversity of tree species in the biodiversity conservation areas of Northeastern Bangladesh. J. For. Res. 2011, 22, 551–559. [Google Scholar] [CrossRef]
- Xu, Z.B.; Dai, L.M.; Chen, J.Q.; Wang, Z.; Dai, H.; Cai, L.X. Natural regeneration condition in Pinus koraiensis broad-leaved mixed forest. Acta Ecol. Sin. 2001, 9, 1413–1420. [Google Scholar]
- Dubravac, T.; Barčić, D.; Rosavec, R.; Španjol, Ž.; Vojniković, S. The Dynamics of Stand Structure Development and Natural Regeneration of Common Beech (Fagus sylvatica L.) in Plitvice Lakes National Park. Forests 2024, 15, 357. [Google Scholar] [CrossRef]
- Redmond, M.D.; Kelsey, K.C. Topography and overstory mortality interact to control tree regeneration in spruce-fir forests of the southern Rocky Mountains. For. Ecol. Manag. 2018, 427, 106–113. [Google Scholar] [CrossRef]
- Liu, M.G.; Yin, Y.; Kong, F.S.; Lu, G.Z.; Zhang, L.S. Effecting factors of natural regeneration of Pinus tabulaeformis plantation in semiarid region, Western Liaoning. J. Shenyang Agric. Univ. 2014, 45, 418–423. [Google Scholar]
- Albrecht, M.A.; McCarthy, B.C. Seedling establishment shapes the distribution of shade-adapted forest herbs across a topographical moisture gradient. J. Ecol. 2009, 97, 1037–1049. [Google Scholar] [CrossRef]
- Ali, A.; Dai, D.; Akhtar, K.; Teng, M.; Yan, Z.; Urbina-Cardona, N.; Mullerova, J.; Zhou, Z. Response of understory vegetation, tree regeneration, and soil quality to manipulated stand density in a Pinus massoniana plantation. Glob. Ecol. Conserv. 2019, 20, e00775. [Google Scholar] [CrossRef]
- Zhang, Z.D.; Mao, P.L.; Liu, Y.H.; Li, Q.; Liu, S.; Xue, Q. Effects of forest structure on natural regeneration of Pinus thunbergii coastal shelter forest in Yantai region. Acta Ecol. Sin. 2010, 30, 2205–2211. [Google Scholar]
- Bai, Z.Q.; Liu, H.; Zhang, X.P.; Liu, D.; Guo, Z.J. Analysis on influence factors of natural regeneration of young poplar seedlings in Irtysh River Basin, Xinjiang. J. Northwest For. Univ. 2011, 26, 98–102. [Google Scholar]
- Sun, G.L.; Ji, P.P.; Ge, Z.X. Study on relationship of soil nutrients and stand growth of Larix principis-rupprechtii plantations with different ages. Hebei J. For. Orchard. Res. 2017, 32, 129–133. [Google Scholar]
- Liu, S.C.; Chen, L.X.; Duan, W.B.; Zhang, C.; Li, S.B.; Li, Y.F.; Li, S.R.; Liang, W.W. Effects of soil characteristics on forest gap regeneration in different types of natural Pinus koraiensis mixed forest. Acta Ecol. Sin. 2017, 37, 4072–4083. [Google Scholar]
- Bharathi, S.; Devi Prasad, A.G. Diversity, population structure and regeneration status of arboreal species in the four sacred groves of Kushalnagar, Karnataka. J. For. Res. 2017, 28, 357–370. [Google Scholar] [CrossRef]
- Ye, Z.L.; Dou, X.W.; Tang, M.P. Impact of site factors on forest regeneration in Mount Tianmu mixed coniferous and broad-leaved forests. J. Zhejiang AF Univ. 2024, 41, 557–567. [Google Scholar]
- Tiwari, O.P.; Sharma, C.M.; Rana, Y.S. Influence of altitude and slope-aspect on diversity, regeneration and structure of some moist temperate forests of Garhwal Himalaya. Trop. Ecol. 2020, 61, 278–289. [Google Scholar] [CrossRef]
- Gou, Y.Y.; Zhang, W.H.; Zhou, J.Y.; He, J.F.; Li, Y.H. Characteristic of seedling regeneration of Xanthoceras sorbifolia in Hilly Areas of Loess Plateau. Sci. Silvae Sin. 2008, 51, 11–17. [Google Scholar]
- Wang, Z.; Qin, K.; Fang, W.; Wang, H. Neighborhood Competition and Understory-Associated Vegetation Are Important Factors Influencing the Natural Regeneration of Subtropical Mountain Forests. Forests 2024, 15, 1017. [Google Scholar] [CrossRef]
- Li, S.J.; Wang, X.J. Regeneration Characteristics and its contributing factors in Castanopsis kawakamii natural forests. J. Northeast. For. Univ. 2023, 51, 20–24+45. [Google Scholar]
- Dong, L.L.; Liu, H.M.; Zhao, J.C.; Gao, Y.X.; Wang, C.C.; Fan, J.G. Effects of stand structure on natural regeneration of Mongolian oak forests in the Liaodong mountainous region of China. For. Res. 2021, 34, 104–110. [Google Scholar]
- Lv, K.; Zhou, M.; Ding, Y.; Zang, R.; Yao, J.; Luo, Y.; Yan, D. Regeneration characteristics and influencing factors of woody plant on natural evergreen secondary broad-leaved forests in the subtropical, China. Glob. Ecol. Conserv. 2023, 42, e02394. [Google Scholar] [CrossRef]
- Muscolo, A.; Sidari, M.; Mercurio, R. Influence of gap size on organic matter decomposition, microbial biomass and nutrient cycle in Calabrian pine (Pinus laricio, Poiret) stands. For. Ecol. Manag. 2007, 242, 412–418. [Google Scholar] [CrossRef]
- Zeng, S.Q.; Zhang, M.; Xiao, H.S.; Huang, Y.J.; Gan, J.J.; Peng, Q.L. Study on regeneration and succession of mixed forest of Schima superb and Cunninghamia lanceolata in Qingshigang Forest Farm. J. Cent. South Univ. For. Technol. 2013, 33, 1–6. [Google Scholar]
- Xu, E.; Niu, Y.; Zhao, W.; Jing, W.; Wu, X.; Zhao, J.; Ma, X.; Ren, X. Response of natural regeneration of Picea crassifolia forest to soil physical and chemical properties in the northern foot of Qilian mountains. J. Cent. South Univ. For. Technol. 2024, 44, 90–100. [Google Scholar]
- Xiong, Z.; Sun, J.; Zhong, P.; Liang, L.; Dang, H.; Wang, G. The Impact of Natural Regeneration of Phoebe bournei in Anfu County, Jiangxi Province, on Community Diversity and Soil Nutrient Characteristics. Forests 2023, 14, 1783. [Google Scholar] [CrossRef]
- Han, G.; Wang, G.; Mao, P.; Zhang, Z.; Yu, J.; Xu, J. Regeneration dynamics of young Pinus thunbergii and its influencing factors in the coastal protection forests in Northern Shandong Peninsula. Sci. Silvae Sin. 2010, 46, 158–164. [Google Scholar]
- National Forestry and Grassland Administration. China Forest Resources Report (2014–2018); China Forestry Press: Beijing, China, 2019; pp. 164–166. [Google Scholar]
- Zhang, Y.M. Update and application of “One Map” for forest resource management in Beijing. For. Investig. Des. 2023, 52, 83–87. [Google Scholar]
- Shi, N.N.; Han, Y.; Wang, Q.; Xiao, N.W.; Quan, Z.J. Spatial and Temporal Characteristics of Fractional Vegetation Cover and Its Response to Urbanization in Beijing. Environ. Sci. 2024, 45, 5318–5328. [Google Scholar]
- Ren, Y.M.; Wen, Z.Y.; Wang, M.N.; Li, F.; Jia, Z.K. Evaluation of forest carbon sequestration capacity in Beijing. J. Beijing For. Univ. 2023, 45, 100–111. [Google Scholar]
- Bao, S.D. Soil Agricultural Chemical Analysis, 3rd ed.; China Agricultural Press: Beijing, China, 2000; pp. 30–107. [Google Scholar]
- Qin, W.X.; Si, G.C.; Lei, T.Z.; Zhang, S.Y.; Ma, J.Z. The impact of nitrogen fertilizer addition on soil microbial biomass and enzyme activity. Jiangsu Agric. Sci. 2021, 49, 170–175. [Google Scholar]
- Wu, H.; Wang, L.D.; Song, D.C.; Guo, C.X.; Wang, F.L.; He, F.L.; Zhao, H.R. Soil properties and enzyme activities of abandoned farmland in different years in Minqin. Agric. Res. Arid. Areas 2021, 39, 191–199. [Google Scholar]
- GB/T 38590-2020; Technical Regulations for Continuous Forest Resource Inventory. China Standards Press: Beijing, China, 2020.
- Fang, J.; Wang, X.; Shen, Z.; Tang, Z.; He, J.; Yu, D.; Jiang, Y.; Wang, Z.; Zheng, C.; Zhu, J.; et al. Methods and protocols for plant community inventory. Biodivers. Sci. 2009, 17, 533–548. [Google Scholar]
- Ma, K.P.; Huang, J.H.; Yu, S.L.; Chen, L.Z. Plant community diversity in Dongling Mountain, Beijing, China II: Species richness, evenness and species diversities. Acta Ecol. Sin. 1995, 15, 268–277. [Google Scholar]
- R Core Team. R: A Language and Environment for Statistical Computing; R Foundation for Statistical Computing: Vienna, Austria, 2023; Available online: https://www.R-project.org/ (accessed on 27 January 2024).
- Wei, T.Y.; Viliam, S. R Package ’corrplot’: Visualization of a Correlation Matrix (Version 0.92). 2021. Available online: https://github.com/taiyun/corrplot (accessed on 27 January 2024).
- Schloerke, B.; Cook, D.; Larmarange, J.; Briatte, F.; Marbach, M.; Thoen, E.; Elberg, A.; Toomet, O.; Crowley, J.; Hofmann, H.; et al. GGally: Extension to ’ggplot2’. R Package Version 2.1.2. 2021. Available online: https://CRAN.R-project.org/package=GGally (accessed on 31 January 2024).
- Martin, L.; Breiman, L.; Friedman, T. Random forests. Mach. Learn. 2005, 48, 275–298. [Google Scholar]
- Wickham, H. ggplot2: Elegant Graphics for Data Analysis; Springer-Verlag: New York, NY, USA, 2016. [Google Scholar]
- Wei, S.P.; Liang, W.J.; Wei, X.; Bu, R.Y.; Yao, J.F. Natural regeneration of Larix principis-rupprechtii plantations with different densities and its influencing factors. Chin. J. Appl. Ecol. 2022, 33, 2687–2694. [Google Scholar]
- Huang, L.; Zhu, G.Y.; Kang, L. Regeneration characteristics and related factors affecting saplings in Quercus spp. natural secondary forests in Hunan Province, China. Acta Ecol. Sin. 2019, 39, 4900–4909. [Google Scholar]
- Ren, X.; Zhu, Y.; Chen, Z.; Ding, C.; Li, Y.; Yang, G. Regeneration of Arbor Trees and Its Contributing Factors in an Oak Forest in Taibai Mountain, China. Sci. Silvae Sin. 2019, 55, 11–21. [Google Scholar]
- Yang, L.; Kang, Y.X.; Li, X.J.; Zhou, L.Y.; Wang, F. Natural regeneration of the ancient Platycladus orientalis in the mausoleum of the Yellow Emperor. J. Northwest For. Univ. 2015, 30, 82–86. [Google Scholar]
- Li, H.P.; Wang, S.S. Regeneration capacity of Spruce forest in Xinjiashan forest area of Shaanxi. Shaanxi For. Sci. Technol. 2009, 1, 9–12. [Google Scholar]
- Zhang, M.X.; Wang, D.X.; Peng, S.L.; Huang, Y.K.; Zhang, G.G. Community stability analysis for the oak-pine mixed forest in Qinling Mountains. Acta Ecol. Sin. 2015, 35, 2564–2573. [Google Scholar]
- Wang, S.L.; Zhou, J.P. Coupling relationship between stand growth and impacting factors based on structural equation model. J. Beijing For. Univ. 2014, 36, 7–12. [Google Scholar]
- Navarro-Cano, J.A. Effect of grass litter on seedling recruitment of the critically endangered Cistus heterophyllus in Spain. Flora-Morphol. Distrib. Funct. Ecol. Plants 2008, 203, 663–668. [Google Scholar] [CrossRef]
- Zhang, S.Z.; Li, M.; Zhang, S.B.; Zhang, Z.D.; Huang, X.R. Factors affecting natural regeneration of Larix principis-rupprechtii plantations in Saihanba of Hebei, China. Acta Ecol. Sin. 2015, 35, 5403–5411. [Google Scholar]
- Catovsky, S.; Bazzaz, F. Feedbacks between canopy composition and seedling regeneration in mixed conifer broad-leaved forests. Oikos 2002, 98, 403–420. [Google Scholar] [CrossRef]






| Stand Type | Plot Number | Plot Area (m2) | Altitude (m) | Slope Aspect | Slope Position | Stand Density (n/ha) |
|---|---|---|---|---|---|---|
| Q. aliena | 1 | 900 | 483 | N | U | 1621 |
| 2 | 400 | 470 | N | U | 899 | |
| 3 | 400 | 465 | N | M | 999 | |
| Q. mongolica | 1 | 600 | 950 | N | M | 2581 |
| 2 | 600 | 930 | N | M | 2914 | |
| 3 | 600 | 925 | N | M | 1832 | |
| Q. acutissima | 1 | 600 | 284 | S | M | 566 |
| 2 | 600 | 284 | S | M | 683 | |
| 3 | 600 | 284 | S | L | 549 | |
| 4 | 400 | 284 | N | M | 350 | |
| Q. variabilis | 1 | 900 | 192 | S | M | 699 |
| 2 | 900 | 195 | S | M | 533 | |
| 3 | 900 | 186 | S | M | 766 | |
| 4 | 2500 | 186 | N | M | 1139 | |
| Q. dentata | 1 | 900 | 755 | N | M | 1365 |
| 2 | 900 | 780 | N | U | 1365 | |
| 3 | 900 | 776 | N | U | 1543 |
| Factor Type | Variable | Abbreviation | Mean | Range | Standard Error |
|---|---|---|---|---|---|
| Regeneration indicators | Seeding 1 (n/ha) | S1 | 1584 | 320–3836 | 955 |
| Seeding 2 (n/ha) | S2 | 917 | 160–3037 | 769 | |
| Seeding 3 (n/ha) | S3 | 2177 | 16–6474 | 1710 | |
| Site factors | Altitude (m) | AL | 495.82 | 186.00–950.00 | 291.70 |
| Slope aspect | SA | - | - | - | |
| Slope position | SP | - | - | - | |
| Stand factors | Species richness (n) | S | 8 | 4–20 | 4 |
| Shannon–Wiener index | H | 1.48 | 1.09–2.34 | 0.33 | |
| Pielou evenness index | J | 0.21 | 0.12–0.29 | 0.05 | |
| Stand volume (m3/ha) | M | 94.62 | 42.71–162.54 | 32.35 | |
| Shrub density (10,000/ha) | SD | 1.14 | 0.58–2.28 | 2.27 | |
| Herbaceous coverage (%) | HC | 13.17 | 0.6–36.6 | 9.72 | |
| Soil factors | Litter layer thickness (cm) | LT | 5.65 | 2.00–10.00 | 2.52 |
| Total nitrogen (g/kg) | TN | 2.01 | 0.70–2.99 | 0.59 | |
| Available phosphorus (mg/kg) | AP | 3.49 | 1.22–6.95 | 1.65 | |
| Available potassium (mg/kg) | AK | 101.07 | 38.15–161.91 | 33.75 | |
| pH value | pH | 6.46 | 5.41–7.05 | 0.48 | |
| Exchangeable calcium (mg/kg) | ECa | 2774.54 | 1197.11–4191.62 | 707.26 | |
| Available manganese (mg/kg) | AM | 25.99 | 9.43–71.80 | 16.39 |
| Level | Stand Types | Average Height (cm) | Regeneration Density (n/ha) | Grade |
|---|---|---|---|---|
| <30 cm | Q. aliena | 21 | 1971 | Poor |
| Q. dentata | 15 | 1678 | Poor | |
| Q. acutissima | 20 | 1379 | Poor | |
| Q. mongolica | 22 | 1545 | Poor | |
| Q. variabilis | 20 | 1459 | Poor | |
| 31–50 cm | Q. aliena | 41 | 1332 | Moderate |
| Q. dentata | 40 | 1332 | Moderate | |
| Q. acutissima | 41 | 519 | Poor | |
| Q. mongolica | 42 | 453 | Poor | |
| Q. variabilis | 41 | 1039 | Moderate | |
| >51 cm | Q. aliena | 100 | 4236 | Good |
| Q. dentata | 117 | 1945 | Moderate | |
| Q. acutissima | 125 | 1039 | Moderate | |
| Q. mongolica | 112 | 1225 | Moderate | |
| Q. variabilis | 113 | 2657 | Good |
| Stand Types | Tree Species | RA/% | RF/% | RD/% | IV/% |
|---|---|---|---|---|---|
| Q. aliena | Celtis koraiensis | 23.3 | 15.1 | 6.3 | 14.9 |
| Celtis sinensi | 13.4 | 15.1 | 4.9 | 11.1 | |
| Prunus triloba | 9.8 | 9.6 | 8.0 | 9.1 | |
| Fraxinus chinensis | 9.4 | 6.8 | 4.3 | 6.8 | |
| Fraxinus pennsylvanica | 6.7 | 6.8 | 7.0 | 6.8 | |
| Ulmus laevis | 8.3 | 6.8 | 3.2 | 6.1 | |
| Morus mongolica | 3.9 | 6.8 | 5.7 | 5.5 | |
| Sophora tomentosa | 3.5 | 6.8 | 5.1 | 5.1 | |
| Prunus padus | 0.8 | 1.4 | 11.1 | 4.4 | |
| Ailanthus altissima | 0.8 | 1.4 | 10.9 | 4.4 | |
| Pistacia chinensis | 1.2 | 2.7 | 7.9 | 3.9 | |
| Cotinus coggygria | 8.6 | 1.4 | 1.6 | 3.9 | |
| Morus alba | 0.8 | 2.7 | 7.7 | 3.7 | |
| Acer truncatum | 1.6 | 4.1 | 5.5 | 3.7 | |
| Quercus aliena | 2.0 | 4.1 | 2.2 | 2.8 | |
| Koelreuteria paniculata | 2.0 | 2.7 | 3.1 | 2.6 | |
| Celtis tetrandra | 1.6 | 2.7 | 1.6 | 2.0 | |
| Broussonetia papyrifera | 0.7 | 1.5 | 2.6 | 1.7 | |
| Quercus dentata | 1.6 | 1.5 | 1.3 | 1.5 | |
| Q. dentata | Quercus dentata | 19.4 | 21.7 | 3.5 | 14.9 |
| Fraxinus chinensis | 15.6 | 18.3 | 10.6 | 14.8 | |
| Morus mongolica | 5.9 | 15.0 | 16.2 | 12.4 | |
| Morus alba | 8.4 | 13.3 | 11.6 | 11.1 | |
| Diospyros lotus | 24.0 | 3.3 | 4.1 | 10.5 | |
| Koelreuteria paniculata | 14.7 | 8.3 | 4.5 | 9.2 | |
| Acer pictum | 1.3 | 1.7 | 21.7 | 8.2 | |
| Acer truncatum | 3.2 | 5.0 | 13.8 | 7.3 | |
| Celtis bungeana | 3.8 | 5.0 | 5.0 | 4.6 | |
| Cotinus coggygria | 2.5 | 5.0 | 5.9 | 4.4 | |
| Quercus variabilis | 1.2 | 3.4 | 3.1 | 2.6 | |
| Q. acutissima | Quercus acutissima | 16.7 | 26.8 | 3.3 | 15.6 |
| Quercus dentata | 20.2 | 19.6 | 3.7 | 14.5 | |
| Ziziphus jujuba | 21.0 | 3.6 | 3.8 | 9.5 | |
| Robinia pseudoacacia | 7.9 | 12.5 | 7.6 | 9.3 | |
| Prunus sibirica | 7.9 | 8.9 | 7.4 | 8.1 | |
| Celtis bungeana | 3.5 | 1.8 | 19.1 | 8.1 | |
| Ulmus pumila | 7.0 | 7.1 | 6.7 | 6.9 | |
| Morus alba | 1.8 | 1.8 | 16.6 | 6.7 | |
| Koelreuteria paniculata | 6.1 | 7.1 | 5.0 | 6.1 | |
| Acer truncatum | 3.5 | 3.6 | 10.1 | 5.7 | |
| Morus mongolica | 1.8 | 1.8 | 11.6 | 5.1 | |
| Quercus variabilis | 2.6 | 5.4 | 5.1 | 4.4 | |
| Q. mongolica | Fraxinus chinensis | 78.7 | 56.5 | 9.0 | 48.1 |
| Cotinus coggygria | 2.4 | 4.3 | 67.5 | 24.7 | |
| Quercus mongolica | 14.2 | 34.8 | 7.2 | 18.7 | |
| Crataegus pinnatifida | 4.7 | 4.4 | 16.3 | 8.5 | |
| Q. variabilis | Koelreuteria paniculata | 23.0 | 17.9 | 7.0 | 16.0 |
| Quercus variabilis | 24.2 | 17.9 | 4.3 | 15.5 | |
| Quercus aliena | 11.7 | 13.4 | 4.7 | 9.9 | |
| Cotinus coggygria | 11.4 | 14.9 | 3.2 | 9.8 | |
| Morus mongolica | 6.4 | 7.5 | 10.7 | 8.2 | |
| Broussonetia papyrifera | 7.0 | 9.0 | 6.2 | 7.4 | |
| Styphnolobium japonicum | 1.8 | 3.0 | 17.3 | 7.4 | |
| Diospyros lotus | 2.9 | 6.0 | 9.8 | 6.2 | |
| Morus alba | 2.3 | 1.5 | 13.4 | 5.7 | |
| Fraxinus chinensis | 2.3 | 3.0 | 7.6 | 4.3 | |
| Acer truncatum | 1.2 | 1.5 | 9.3 | 4.0 | |
| Ailanthus altissima | 3.5 | 1.5 | 3.7 | 2.9 | |
| Platycladus orientalis | 1.2 | 1.5 | 2.2 | 1.6 | |
| Pistacia chinensis | 1.1 | 1.5 | 0.6 | 1.1 |
Disclaimer/Publisher’s Note: The statements, opinions and data contained in all publications are solely those of the individual author(s) and contributor(s) and not of MDPI and/or the editor(s). MDPI and/or the editor(s) disclaim responsibility for any injury to people or property resulting from any ideas, methods, instructions or products referred to in the content. |
© 2025 by the authors. Licensee MDPI, Basel, Switzerland. This article is an open access article distributed under the terms and conditions of the Creative Commons Attribution (CC BY) license (https://creativecommons.org/licenses/by/4.0/).
Share and Cite
Hu, X.; Duan, G.; Jin, Y.; Cheng, Y.; Liang, F.; Lian, Z.; Li, F.; Wang, Y.; Chen, H. Study on the Natural Regeneration Characteristics and Influencing Factors of Typical Quercus Forests in Northern China. Forests 2025, 16, 250. https://doi.org/10.3390/f16020250
Hu X, Duan G, Jin Y, Cheng Y, Liang F, Lian Z, Li F, Wang Y, Chen H. Study on the Natural Regeneration Characteristics and Influencing Factors of Typical Quercus Forests in Northern China. Forests. 2025; 16(2):250. https://doi.org/10.3390/f16020250
Chicago/Turabian StyleHu, Xuefan, Guangshuang Duan, Yingshan Jin, Yuxin Cheng, Fang Liang, Zhenghua Lian, Fang Li, Yuerong Wang, and Hongfei Chen. 2025. "Study on the Natural Regeneration Characteristics and Influencing Factors of Typical Quercus Forests in Northern China" Forests 16, no. 2: 250. https://doi.org/10.3390/f16020250
APA StyleHu, X., Duan, G., Jin, Y., Cheng, Y., Liang, F., Lian, Z., Li, F., Wang, Y., & Chen, H. (2025). Study on the Natural Regeneration Characteristics and Influencing Factors of Typical Quercus Forests in Northern China. Forests, 16(2), 250. https://doi.org/10.3390/f16020250

