Evaluation of Compression Wood Incidence Under Different Thinning Regimes in Late Rotation of Pinus taeda
Abstract
1. Introduction
2. Materials and Methods
2.1. Study Area
2.2. Trial Design and Thinning’s Regimes
2.3. Tree Selection and Field Sampling
2.4. Visual Analysis of Compression Wood on Log Ends
2.5. Preliminary Sampling for Juvenile–Mature Wood Transition
2.6. Sawing Methodology
2.7. Visual Analysis of CW in Green Boards
2.8. Evaluation of Defects in Dried Boards
2.9. Visual Analysis of CW in Discs
2.10. Statistical Analysis
3. Results
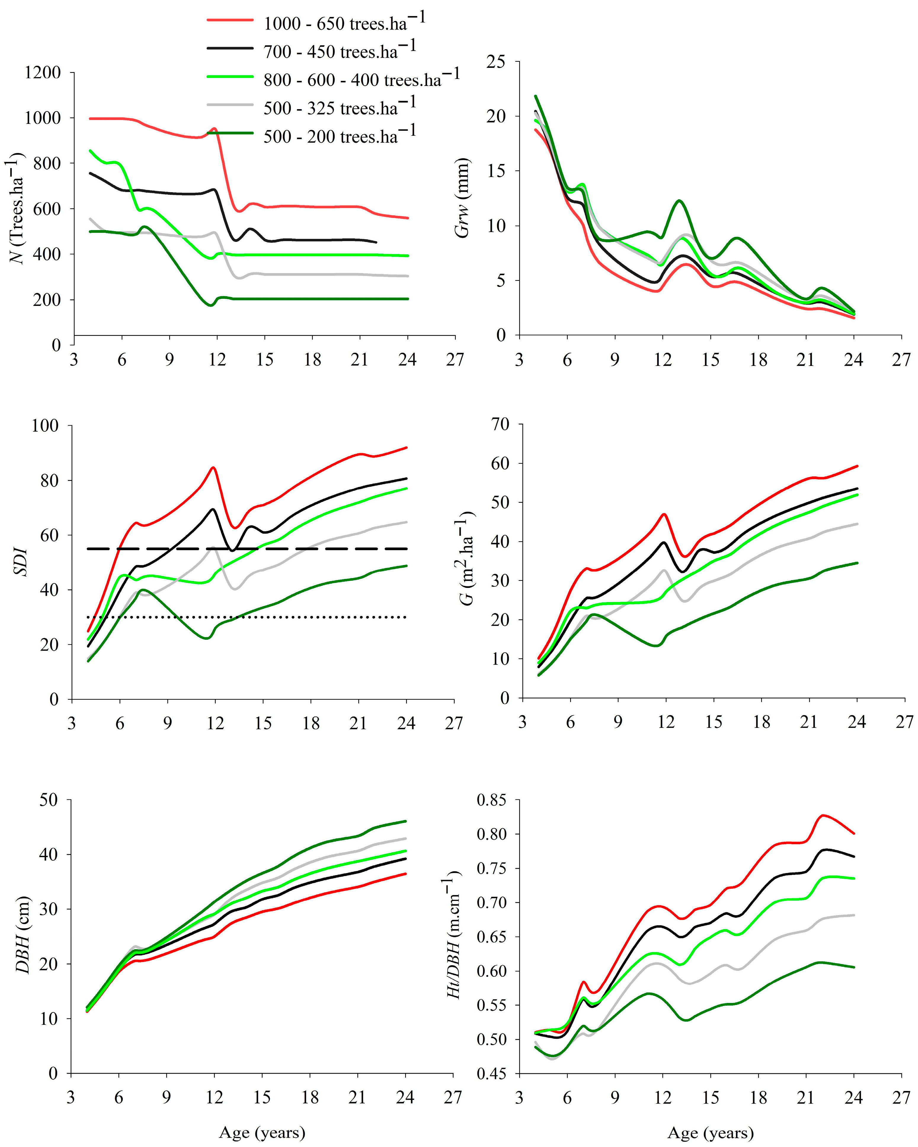
3.1. Effect of Thinning on Growth and Competition Between Trees
3.2. CW Incidence by Thinning Regime
3.2.1. CW Stain on Log Ends
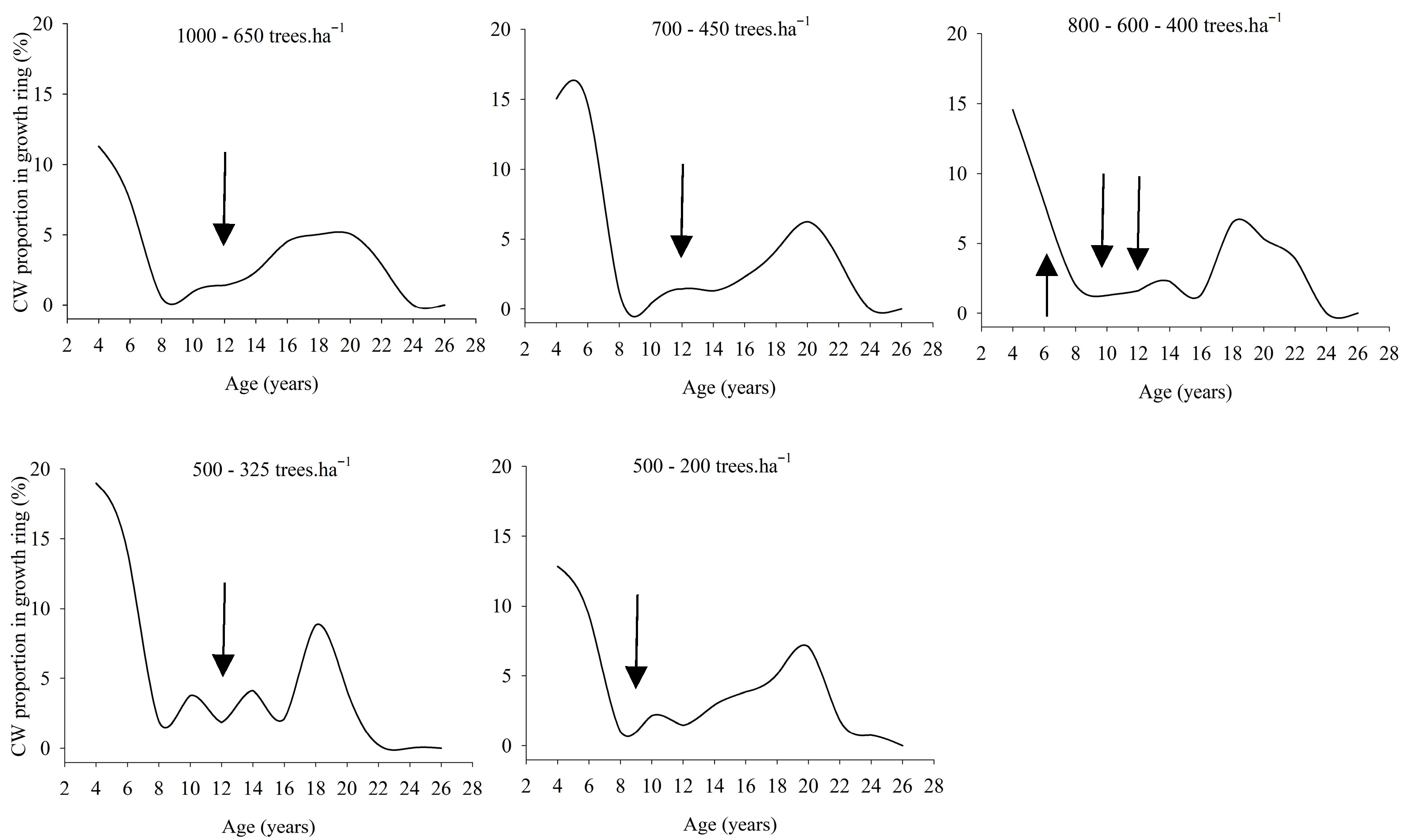
3.2.2. CW Distribution Across Annual Rings
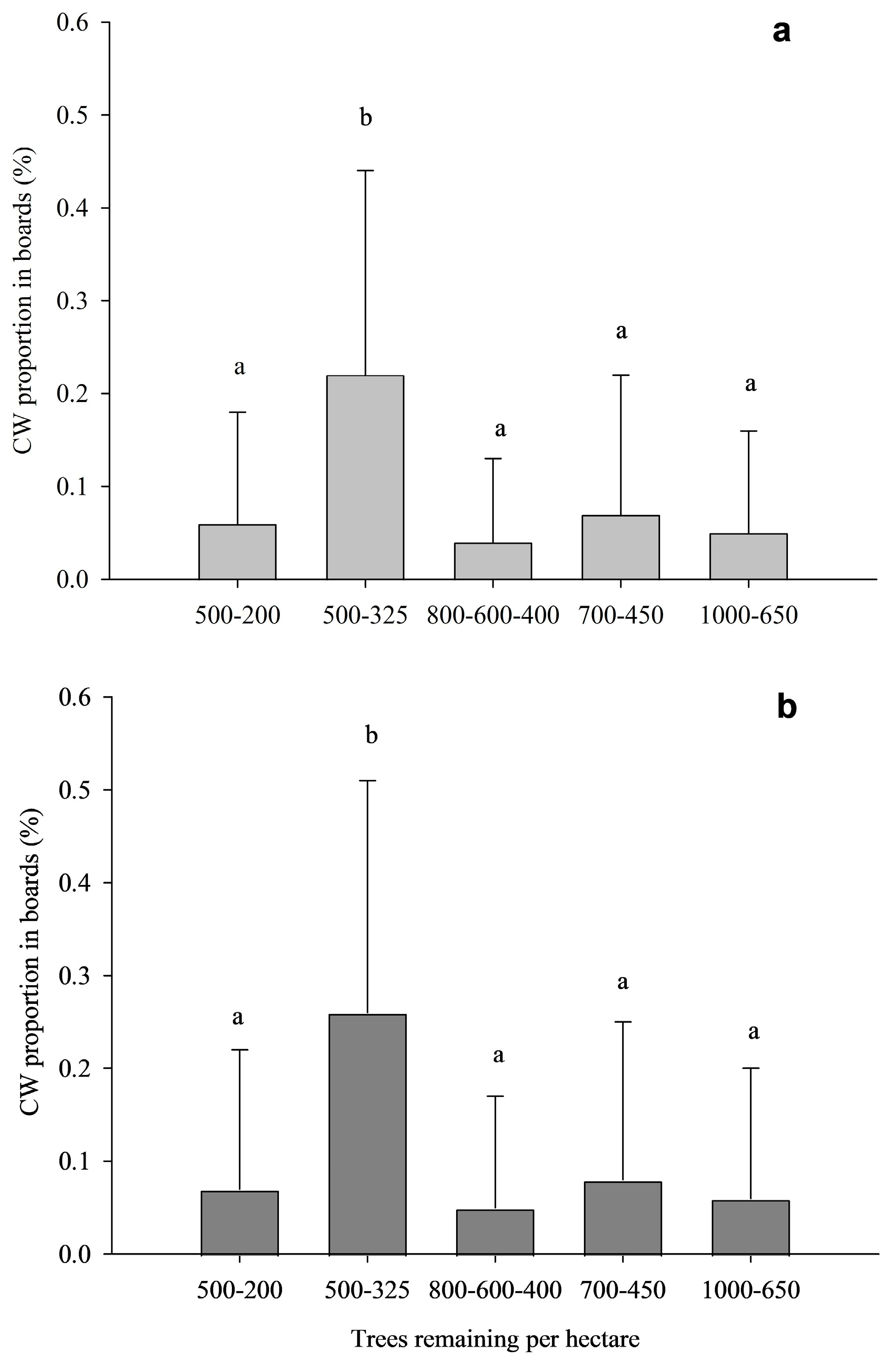
3.2.3. CW Stain in Boards
3.2.4. Board Defects
3.3. Relationship of Dasometric and Silvicultural Variables with CW at the Growth Ring Level
3.4. Predictive Value of Visual CW Assessment on Log Ends
4. Discussion
4.1. Influence of Thinning on Growth and Competition Among Trees
4.2. Influence of Thinning Intensity and Timing on CW Formation
4.3. Implications of CW on Product Quality
4.4. Relationship Between CW and Growth Dynamics
4.5. Value of Visual Assessment on Log Ends
5. Conclusions
Supplementary Materials
Author Contributions
Funding
Data Availability Statement
Acknowledgments
Conflicts of Interest
References
- Gonzalez-Benecke, C.A.; Gezan, S.A.; Albaugh, T.J.; Allen, H.L.; Burkhart, H.E.; Fox, T.R.; Jokela, E.J.; Maier, C.A.; Martin, T.A.; Rubilar, R.A.; et al. Local and general above-stump biomass functions for loblolly pine and slash pine trees. For. Ecol. Manag. 2014, 334, 254–276. [Google Scholar] [CrossRef]
- Malan, F.S.; Kassier, W.E. Compression wood in South African-grown Pinus taeda: Extent, causes and economic impact. S. Afr. J. For. 2002, 194, 27–36. [Google Scholar]
- Schweitzer, V.R.; Matos, J.L.M.D. Origem do “lenho anormal de compressão” e efeitos sobre a qualidade da madeira de Pinus taeda da Região Serrana de Santa Catarina. Aust. J. Basic Appl. Sci. 2019, 13, 36–45. [Google Scholar] [CrossRef]
- Díaz-Vaz, J.E.; Valenzuela, L.; Vera, S. Compression wood in Pinus radiata II: Density and chemical composition. Maderas Cienc. Tecnol. 2009, 11, 123–132. [Google Scholar] [CrossRef]
- Lachenbruch, B.; Droppelmann, F.; Balocchi, C.; Peredo, M.; Pérez, E. Stem form and compression wood formation in young Pinus radiata trees. Can. J. For. Res. 2010, 40, 26–36. [Google Scholar] [CrossRef]
- Du Toit, A.J. A study of the influence of compression wood on the warping of Pinus radiata D. Don timber. S. Afr. J. For. 1963, 44, 11–15. [Google Scholar]
- Burdon, R.D. Compression wood in Pinus radiata clones on four different sites. N. Z. J. For. Sci. 1975, 5, 152–164. [Google Scholar]
- Cown, D.J.; McConchie, D.L. Effects of thinning and fertiliser application on wood properties of Pinus radiata. N. Z. J. For. Sci. 1981, 11, 79–91. [Google Scholar]
- Low, A.J. A study of compression wood in Scots pine (Pinus sylvestris L.). Forestry 1964, 37, 179–201. [Google Scholar] [CrossRef]
- Riesco Muñoz, G.; Soilán Cañas, M.A.; Rodríguez Soalleiro, R. Physical properties of wood in thinned Scots pines (Pinus sylvestris L.) from plantations in northern Spain. Ann. For. Sci. 2008, 65, 507. [Google Scholar] [CrossRef]
- Cameron, A.; Thomas, K. Effect of thinning on the development of compression wood in stems of Corsican pine (Pinus nigra L.). Eur. J. For. Res. 2008, 127, 247–251. [Google Scholar] [CrossRef]
- Kılıç, A.; Sarıusta, S.E.; Hafızoğlu, H. Chemical structure of compression wood of Pinus sylvestris, P. nigra and P. brutia. J. Bartin Fac. For. 2010, 12, 33–39. Available online: https://www.cabidigitallibrary.org/doi/full/10.5555/20113211773 (accessed on 1 April 2025).
- Ministerio de Ganadería, Agricultura y Pesca (MGAP). Superficie Forestal del Uruguay (Bosques Plantados). Available online: https://www.gub.uy/ministerio-ganaderia-agricultura-pesca (accessed on 12 July 2025).
- Cattáneo, A.; Metol, C. Mejoramiento Genético Forestal en Uruguay. In Plan Nacional de Investigación Forestal; MGAP-INIA: Montevideo, Uruguay, 2003; pp. 35–49. [Google Scholar]
- Duncker, P.; Spiecker, H. Incidence and structural properties of compression wood in European conifers-A review. Forestry 2014, 87, 456–471. [Google Scholar]
- Díaz Vaz, O.J.E. Anatomía de Maderas; Universidad Austral de Chile: Valdivia, Chile, 2003. [Google Scholar]
- Timell, T.E. Compression Wood in Gymnosperms; Springer: Berlin/Heidelberg, Germany, 1986. [Google Scholar]
- Donaldson, L.A.; Singh, A.P. Formation and Structure of Compression Wood. In Cellular Aspects of Wood Formation; Fromm, J., Ed.; Springer: Berlin/Heidelberg, Germany, 2013; pp. 225–256. [Google Scholar] [CrossRef]
- Wimmer, R.; Johansson, K. Effects of reaction wood on the performance of wood and wood-based products. In Reaction Wood; Gardiner, B., Barnett, J., Saranpää, P., Gril, J., Eds.; Springer: Berlin/Heidelberg, Germany, 2013; pp. 211–234. [Google Scholar]
- Bamber, R.K.; Burley, J. The wood properties of conifers. For. Abstr. 1983, 44, 567–643. [Google Scholar]
- Cown, D.J. Effects of severe thinning and growth rate on wood characteristics of Pinus radiata. N. Z. J. For. Sci. 1974, 4, 456–471. [Google Scholar]
- Museo Virtual de Suelos. Available online: https://museovirtualdesuelos.net/ (accessed on 12 September 2025).
- Instituto Nacional de Investigación Agropecuaria (INIA). GRAS—Banco de Datos Agroclimáticos. Available online: https://www.inia.uy/gras/Clima/Banco-datos-agroclimatico (accessed on 16 October 2025).
- Donaldson, L.; Xu, P.; Cairns, T.; Nieuwoudt, M. Quantification of Compression Wood Severity in Tracheids of Radiata Pine (Pinus radiata D. Don) Using Confocal Microscopy and Image Analysis. Wood Sci. Technol. 2009, 43, 557–575. [Google Scholar] [CrossRef]
- Duncker, P. Detection and Grading of Compression Wood. In From Science to Quality Products; Springer: Berlin/Heidelberg, Germany, 2010; pp. 155–175. [Google Scholar] [CrossRef]
- Wardrop, A.B.; Dadswell, H.E. The nature of reaction wood II. The cell wall organization of compression wood tracheids. Aust. J. Sci. Res. B Biol. Sci. 1950, 3, 1–13. [Google Scholar] [CrossRef]
- Wardrop, A.B.; Davies, G.W. The nature of reaction wood VIII. The structure and differentiation of compression wood. Aust. J. Bot. 1964, 12, 24–38. [Google Scholar] [CrossRef]
- Côté, W.A., Jr.; Day, A.C.; Kutscha, N.P.; Timell, T.E. Studies on compression wood V. Nature of compression wood formed in the early springwood of conifers. Holzforschung 1967, 21, 180–186. [Google Scholar] [CrossRef]
- Kraus, J.E.; Arduin, M. Manual Básico de Métodos em Morfologia Vegetal; Universidade Federal Rural do Rio de Janeiro: Seropédica, Brazil, 1997. [Google Scholar]
- Larson, P.R.; Kretschmann, D.E.; Isebrands, J.G. Formation and Properties of Juvenile Wood in Southern Pines: A Synopsis; USDA Forest Service, Forest Products Laboratory: Rhinelander, WI, USA, 2001. [Google Scholar]
- Zobel, B.J.; van Buijtenen, J.P. Wood Variation: Its Causes and Control; Springer: Berlin/Heidelberg, Germany, 1989. [Google Scholar] [CrossRef]
- Instituto Uruguayo de Normas Técnicas (UNIT). Maderas—Determinación de las Deformaciones: Arqueadura, Encorvadura, Alabeo y Torsión (UNIT 1461); UNIT: Montevideo, Uruguay, 2010. [Google Scholar]
- UNE-EN 14081-1:2016+A1:2020; Timber Structures—Strength Graded Structural Timber with Rectangular Cross Section—Part 1: General Requirements. Asociación Española de Normalización (UNE): Madrid, Spain, 2020.
- Di Rienzo, J.A.; Casanoves, F.; Balzarini, M.G.; González, L.; Tablada, M.; Robledo, C.W. InfoStat Software, Version 2020; Grupo InfoStat, FCA; Universidad Nacional de Córdoba: Córdoba, Argentina, 2020.
- Bendtsen, B.A.; Senft, J. Mechanical and anatomical properties in individual growth rings of plantation-grown eastern cottonwood and loblolly pine. Wood Fiber Sci. 1986, 18, 23–38. [Google Scholar]
- Fourcaud, F.; Blaise, P.; Lac, P.; Castéra, P.; De Reffye, P. Numerical modelling of shape regulation and growth stresses in trees: II. Implementation in the AMAPpara software and simulation of tree growth. Trees 2003, 17, 31–39. [Google Scholar] [CrossRef]
- Macdonald, E.; Gardiner, B.; Mason, W. The effects of transformation of even-aged stands to continuous cover forestry on conifer log quality and wood properties in the UK. Forestry 2010, 83, 1–16. [Google Scholar] [CrossRef]
- Gardiner, B.; Barnett, J.; Saranpää, P.; Gril, J. The Biology of Reaction Wood; Springer: Berlin/Heidelberg, Germany, 2014. [Google Scholar]
- Fassola, H.E.; Moscovich, F.A.; Ferrere, P.; Rodríguez, F.A. Evolución de las principales variables de árboles de Pinus taeda L. sometidos a diferentes tratamientos silviculturales en el nordeste de la provincia de Corrientes, Argentina. Ciência Florest. 2002, 12, 51–60. [Google Scholar] [CrossRef][Green Version]
- Crechi, E.; Fassola, H.; Moscovich, F.; Fernández, R.; Friedl, R.; Falher, J. Efecto de la intensidad y oportunidad de raleo en Pinus taeda. In Proceedings of the 2nd Simposio Latino-Americano Sobre Manejo Forestal, Santa Maria, Brazil, 13–14 September 2001; pp. 189–210. [Google Scholar]
- Martiarena, R.; Crechi, E.; Von Wallis, M.P.A.; Marquina, J.; Monteoliva, S. Effect of thinning treatment on growth and wood density of Pinus taeda planted in Misiones, Argentina. Ciência Florest. 2014, 24, 655–663. [Google Scholar] [CrossRef]
- Uranga, M.L. Modelación de la Respuesta de Pinus taeda a Diferentes Regímenes de Raleo en la Zona Norte del País. Master’s Thesis, Facultad de Agronomía, Universidad de la República, Montevideo, Uruguay, 2017. [Google Scholar]
- Pezzutti, R.; Caldato, S.; Schenone, R.; Chrapek, C. Elaboración de un diagrama de manejo de densidad de plantaciones de Pinus taeda para productores forestales. In Proceedings of the XXXIX Jornadas Forestales de Entre Ríos, Concordia, Argentina, 7 November 2020; pp. 1–5. [Google Scholar]
- Malan, F.; Kassier, H. Abnormal compression wood in Pinus taeda: A review of current knowledge and proposed future strategy. S. Afr. J. For. 2002, 194, 43–51. [Google Scholar]
- Nanayakkara, B.; Lagane, F.; Hodgkiss, P.; Dibley, M.; Smaill, S.; Riddell, M.; Harrington, J.; Cown, D. Effects of induced drought and tilting on biomass allocation, wood properties, compression wood formation and chemical composition of young Pinus radiata genotypes (clones). Holzforschung 2014, 68, 455–465. [Google Scholar] [CrossRef]
- Barbour, R.J.; Marshall, D.D.; Lowell, E.C. Managing for wood quality. In Applications of Process Modeling in Forest Management; Springer: Dordrecht, The Netherlands, 2003; pp. 299–336. [Google Scholar] [CrossRef]
- Sundberg, B.; Tuominen, H.; Anthony, C.H. Effects of indole-3-acetic acid (IAA) transport. In Plant Growth Substances 1991; Springer: Berlin/Heidelberg, Germany, 1994; pp. 469–476. [Google Scholar]
- Van Der Sijde, H.A.; Shaw, M.; Van Wyk, G. Reaction wood in Pinus taeda-A preliminary report. S. Afr. J. For. 1985, 133, 27–32. [Google Scholar] [CrossRef]
- Cown, D.J. Comparison of the effects of two thinning regimes on some wood properties of radiata pine. N. Z. J. For. Sci. 1973, 4, 540–551. [Google Scholar]
- Voorhies, G. Incidence and severity of compression wood in thinned stands of young-growth ponderosa pine. Ariz. For. Notes 1982, 15, 12. [Google Scholar]
- Chen, Q.; Hu, Z.; Chang, H. Micro analytical methods for determination of compression wood content in loblolly pine. J. Wood Chem. Technol. 2007, 27, 169–178. [Google Scholar] [CrossRef]
- Donaldson, L.A.; Turner, J.C.P. The influence of compression wood and microfibril angle on the occurrence of distortion in window frames made from Pinus radiata. Holz Roh Werkst. 2001, 59, 163–168. [Google Scholar] [CrossRef]
- Xu, P.; Liu, H.; Evans, R.; Donaldson, L.A. Longitudinal shrinkage behaviour of compression wood in radiata pine. Wood Sci. Technol. 2009, 43, 423–439. [Google Scholar] [CrossRef]
- Brennan, M.; McLean, J.P.; Altaner, C.M.; Ralph, J.; Harris, P.J. Cellulose microfibril angles and cell-wall polymers in different wood types of Pinus radiata. Cellulose 2012, 19, 1385–1404. [Google Scholar] [CrossRef]
- Leonardon, M.; Altaner, C.M.; Vihermaa, L.; Jarvis, M.C. Wood shrinkage: Influence of anatomy, cell wall architecture, chemical composition and cambial age. Eur. J. Wood Wood Prod. 2010, 68, 87–94. [Google Scholar] [CrossRef]
- Zhang, M.; Smith, B.G.; McArdle, B.H.; Chavan, R.R.; James, B.J.; Harris, P.J. Dimensional changes of tracheids during drying of Pinus radiata compression woods: A study using variable-pressure scanning electron microscopy (VP-SEM). Plants 2018, 7, 14. [Google Scholar] [CrossRef]
- Harris, J.M. Physical properties, resin content, and tracheid length of lodgepole pine grown in New Zealand. N. Z. J. For. Sci. 1973, 3, 263–278. [Google Scholar]
- Lasserre, J.P.; Mason, E.G.; Watt, M.S.; Moore, J.R. Influence of initial planting spacing and genotype on microfibril angle, wood density, fibre properties and modulus of elasticity in Pinus radiata D. Don corewood. For. Ecol. Manag. 2009, 258, 1924–1931. [Google Scholar] [CrossRef]
- Watt, M.S.; Zoric, B.; Kimberley, M.O.; Harrington, J. Influence of stocking on radial and longitudinal variation in modulus of elasticity, microfibril angle, and density in a 24-year-old Pinus radiata thinning trial. Can. J. For. Res. 2011, 41, 1422–1431. [Google Scholar] [CrossRef]
- Grace, J.C.; Evans, R. Impact of thinning and pruning on selected wood properties in individual radiata pine trees in New Zealand. N. Z. J. For. Sci. 2012, 42, 117–129. [Google Scholar]
- Erasmus, J.; Kunneke, A.; Drew, D.M.; Wessels, C.B. The effect of planting spacing on Pinus patula stem straightness, microfibril angle and wood density. Forestry 2018, 91, 247–258. [Google Scholar] [CrossRef]
- Gindl, W. Comparing mechanical properties of normal and compression wood in Norway spruce: The role of lignin in compression parallel to the grain. Holzforschung 2002, 56, 395–401. [Google Scholar] [CrossRef]
- Sonderegger, W.; Mandallaz, D.; Niemz, P. An investigation of the influence of selected factors on the properties of spruce wood. Wood Sci. Technol. 2008, 42, 281–298. [Google Scholar] [CrossRef]
- Davis, C.P.; Carrington, C.G.; Sun, Z.F. The influence of compression wood on the drying curves of Pinus radiata dried in dehumidifier conditions. Dry Technol. 2007, 20, 2005–2026. [Google Scholar] [CrossRef]
- Barger, R.; Ffolliott, P. Factors affecting occurrence of compression wood in individual ponderosa pine trees. Wood Sci. Technol. 1976, 8, 201–208. [Google Scholar]
- de Villiers, A.M. Silvicultural, exploitation and conversion methods that affect timber quality. S. Afr. For. J. 1966, 56, 5–10. [Google Scholar] [CrossRef]
- Donaldson, L.A.; Singh, A.P.; Yoshinaga, A.; Takabe, K. Lignin distribution in mild compression wood of Pinus radiata. Can. J. Bot. 1999, 77, 41–50. [Google Scholar]














| Thinning Regime | Initial Density (Trees.ha−1) | Target Density after Thinning (Trees.ha−1) | Last Density (Trees.ha−1) | |||
|---|---|---|---|---|---|---|
| Age (years) | Age (years) | |||||
| 3 | 6 | 9 | 12 | 22 | ||
| 500-200 | 1000 | 500 | 200 | 204 | ||
| 500-325 | 1000 | 500 | 325 | 304 | ||
| 800-600-400 | 1000 | 800 | 600 | 400 | 393 | |
| 700-450 | 1000 | 700 | 450 | 437 | ||
| 1000-650 | 1000 | 650 | 559 | |||
Disclaimer/Publisher’s Note: The statements, opinions and data contained in all publications are solely those of the individual author(s) and contributor(s) and not of MDPI and/or the editor(s). MDPI and/or the editor(s) disclaim responsibility for any injury to people or property resulting from any ideas, methods, instructions or products referred to in the content. |
© 2025 by the authors. Licensee MDPI, Basel, Switzerland. This article is an open access article distributed under the terms and conditions of the Creative Commons Attribution (CC BY) license (https://creativecommons.org/licenses/by/4.0/).
Share and Cite
Padilla, C.; Resquin, F.; Rachid-Casnati, C.; Hirigoyen, A. Evaluation of Compression Wood Incidence Under Different Thinning Regimes in Late Rotation of Pinus taeda. Forests 2025, 16, 1766. https://doi.org/10.3390/f16121766
Padilla C, Resquin F, Rachid-Casnati C, Hirigoyen A. Evaluation of Compression Wood Incidence Under Different Thinning Regimes in Late Rotation of Pinus taeda. Forests. 2025; 16(12):1766. https://doi.org/10.3390/f16121766
Chicago/Turabian StylePadilla, Carla, Fernando Resquin, Cecilia Rachid-Casnati, and Andrés Hirigoyen. 2025. "Evaluation of Compression Wood Incidence Under Different Thinning Regimes in Late Rotation of Pinus taeda" Forests 16, no. 12: 1766. https://doi.org/10.3390/f16121766
APA StylePadilla, C., Resquin, F., Rachid-Casnati, C., & Hirigoyen, A. (2025). Evaluation of Compression Wood Incidence Under Different Thinning Regimes in Late Rotation of Pinus taeda. Forests, 16(12), 1766. https://doi.org/10.3390/f16121766

