Forest Structure Regulates Response of Erosion-Induced Carbon Loss to Rainfall Characteristics
Abstract
1. Introduction
2. Materials and Methods
2.1. Study Site
2.2. Erosion Measurement and Sample Analyses
2.3. Stand Characteristics and Soil Physicochemical Properties Measurement
2.4. Rainfall Characteristics Calculation
2.5. Statistical Analysis
3. Results
3.1. Runoff and Soil Loss
3.2. Erosion Induced C Loss
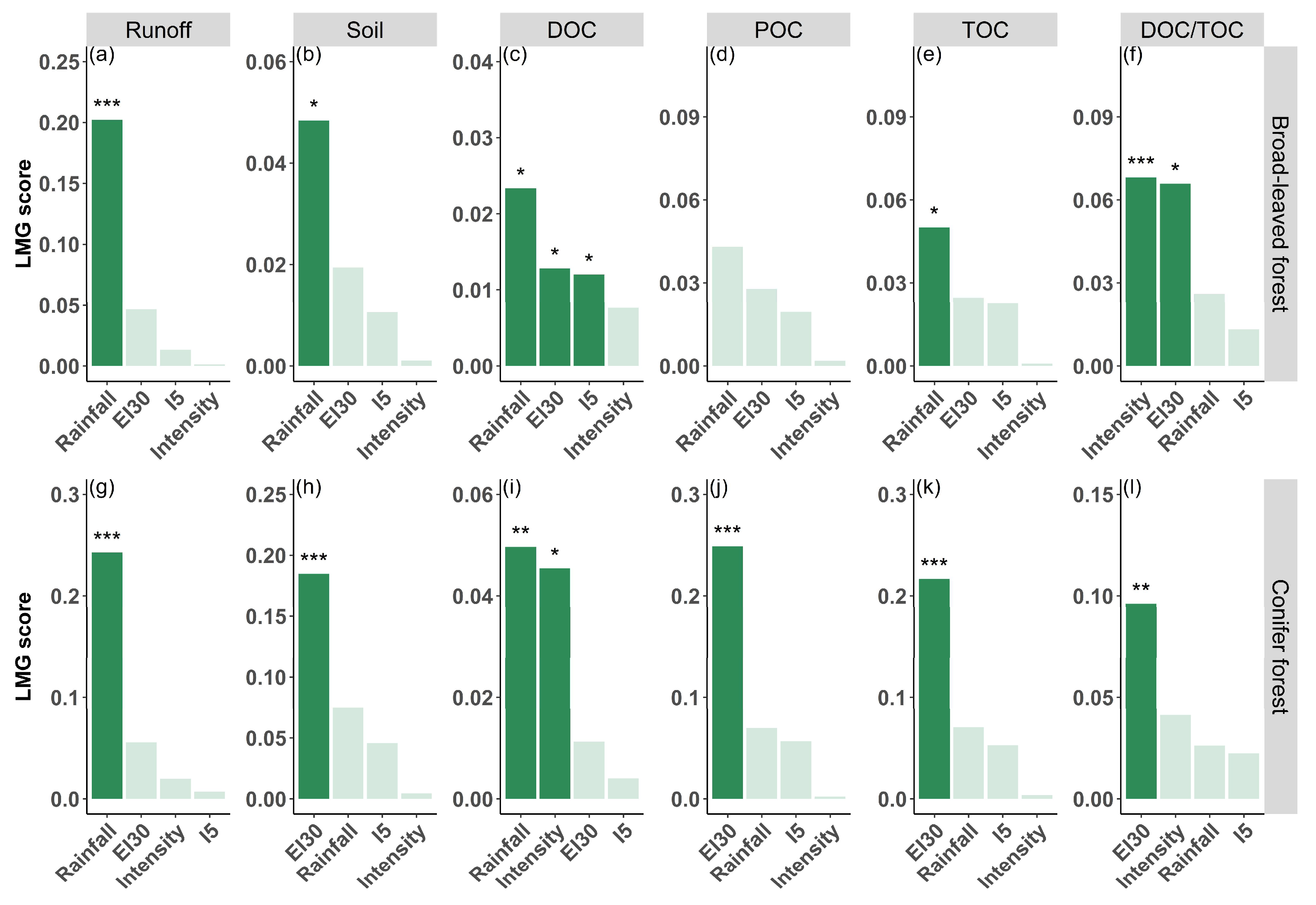
3.3. Relative Contributions of Different Rainfall Characteristics to Variation of Runoff, Soil, DOC, POC and TOC Loss as Well as DOC to TOC Ratio
4. Discussion
4.1. Runoff, Soil, and C Loss in Forests with Contrasting Overstory and Understory Structures
4.2. Drivers of Runoff, Soil, DOC, POC and TOC Losses
4.3. Limitations and Implications of This Study
5. Conclusions
Author Contributions
Funding
Data Availability Statement
Acknowledgments
Conflicts of Interest
References
- Lal, R. Soil degradation by erosion. Land Degrad. Dev. 2001, 12, 519–539. [Google Scholar] [CrossRef]
- Chappell, A.; Baldock, J.; Sanderman, J. The global significance of omitting soil erosion from soil organic carbon cycling schemes. Nat. Clim. Chang. 2016, 6, 187. [Google Scholar] [CrossRef]
- Lal, R. Soil erosion and the global carbon budget. Environ. Int. 2003, 29, 437–450. [Google Scholar] [CrossRef] [PubMed]
- Filoso, S.; Bezerra, M.O.; Weiss, K.C.B.; Palmer, M.A. Impacts of forest restoration on water yield: A systematic review. PLoS ONE 2017, 12, e0183210. [Google Scholar] [CrossRef] [PubMed]
- Seitz, S.; Goebes, P.; Song, Z.; Bruelheide, H.; Härdtle, W.; Kühn, P.; Li, Y.; Scholten, T. Tree species and functional traits but not species richness affect interrill erosion processes in young subtropical forests. Soil 2016, 2, 49–61. [Google Scholar] [CrossRef]
- Vannoppen, W.; De Baets, S.; Keeble, J.; Dong, Y.; Poesen, J. How do root and soil characteristics affect the erosion-reducing potential of plant species? Ecol. Eng. 2017, 109, 186–195. [Google Scholar] [CrossRef]
- Jiang, M.-H.; Lin, T.-C.; Shaner, P.-J.L.; Lyu, M.-K.; Xu, C.; Xie, J.-S.; Lin, C.-F.; Yang, Z.-J.; Yang, Y.-S. Understory interception contributed to the convergence of surface runoff between a Chinese fir plantation and a secondary broadleaf forest. J. Hydrol. 2019, 574, 862–871. [Google Scholar] [CrossRef]
- Zhang, S.; Verheyen, K.; De Frenne, P.; Landuyt, D. Tree species mixing affects throughfall in a young temperate forest plantation. Agric. For. Meteorol. 2022, 327, 109220. [Google Scholar] [CrossRef]
- Foot, K.; Morgan, R.P.C. The role of leaf inclination, leaf orientation and plant canopy architecture in soil particle detachment by raindrops. Earth Surf. Process. Landf. 2005, 30, 1509–1520. [Google Scholar] [CrossRef]
- Yan, T.; Wang, Z.; Liao, C.; Xu, W.; Wan, L. Effects of the morphological characteristics of plants on rainfall interception and kinetic energy. J. Hydrol. 2021, 592, 125807. [Google Scholar] [CrossRef]
- Yue, K.; De Frenne, P.; Fornara, D.A.; Van Meerbeek, K.; Li, W.; Peng, X.; Ni, X.; Peng, Y.; Wu, F.; Yang, Y.; et al. Global patterns and drivers of rainfall partitioning by trees and shrubs. Glob. Chang. Biol. 2021, 27, 3350–3357. [Google Scholar] [CrossRef] [PubMed]
- Gigante, V.; Iacobellis, V.; Manfreda, S.; Milella, P.; Portoghese, I. Influences of Leaf Area Index estimations on water balance modeling in a Mediterranean semi-arid basin. Nat. Hazards Earth Syst. Sci. 2009, 9, 979–991. [Google Scholar] [CrossRef]
- Wu, X.-X.; Gu, Z.-J.; Luo, H.; Shi, X.-Z.; Yu, D.-S. Analyzing forest effects on runoff and sediment production using leaf area index. J. Mt. Sci. 2014, 11, 119–130. [Google Scholar] [CrossRef]
- Liu, H.; Blagodatsky, S.; Giese, M.; Liu, F.; Xu, J.; Cadisch, G. Impact of herbicide application on soil erosion and induced carbon loss in a rubber plantation of Southwest China. Catena 2016, 145, 180–192. [Google Scholar] [CrossRef]
- Liu, Y.-F.; Liu, Y.; Shi, Z.-H.; López-Vicente, M.; Wu, G.-L. Effectiveness of re-vegetated forest and grassland on soil erosion control in the semi-arid Loess Plateau. Catena 2020, 195, 104787. [Google Scholar] [CrossRef]
- López-Vicente, M.; Sun, X.; Onda, Y.; Kato, H.; Gomi, T.; Hiraoka, M. Effect of tree thinning and skidding trails on hydrological connectivity in two Japanese forest catchments. Geomorphology 2017, 292, 104–114. [Google Scholar] [CrossRef]
- Gomi, T.; Sidle, R.C.; Miyata, S.; Kosugi, K.i.; Onda, Y. Dynamic runoff connectivity of overland flow on steep forested hillslopes: Scale effects and runoff transfer. Water Resour. Res. 2008, 44. [Google Scholar] [CrossRef]
- Berends, K.D.; Ji, U.; Penning, W.E.; Warmink, J.J.; Kang, J.; Hulscher, S.J.M.H. Stream-scale flow experiment reveals large influence of understory growth on vegetation roughness. Adv. Water Resour. 2020, 143, 103675. [Google Scholar] [CrossRef]
- Gomi, T.; Sidle, R.C.; Ueno, M.; Miyata, S.; Kosugi, K.i. Characteristics of overland flow generation on steep forested hillslopes of central Japan. J. Hydrol. 2008, 361, 275–290. [Google Scholar] [CrossRef]
- Kurothe, R.S.; Kumar, G.; Singh, R.; Singh, H.B.; Tiwari, S.P.; Vishwakarma, A.K.; Sena, D.R.; Pande, V.C. Effect of tillage and cropping systems on runoff, soil loss and crop yields under semiarid rainfed agriculture in India. Soil Tillage Res. 2014, 140, 126–134. [Google Scholar] [CrossRef]
- Miyata, S.; Kosugi, K.i.; Gomi, T.; Mizuyama, T. Effects of forest floor coverage on overland flow and soil erosion on hillslopes in Japanese cypress plantation forests. Water Resour. Res. 2009, 45. [Google Scholar] [CrossRef]
- Xu, C.; De Frenne, P.; Blondeel, H.; De Pauw, K.; Landuyt, D.; Lorer, E.; Sanczuk, P.; Verheyen, K.; De Lombaerde, E. Light more than warming impacts understory tree seedling growth in a temperate deciduous forest. For. Ecol. Manag. 2023, 549, 121496. [Google Scholar] [CrossRef]
- De Lombaerde, E.; Blondeel, H.; Baeten, L.; Landuyt, D.; Perring, M.P.; Depauw, L.; Maes, S.L.; Wang, B.; Verheyen, K. Light, temperature and understorey cover predominantly affect early life stages of tree seedlings in a multifactorial mesocosm experiment. For. Ecol. Manag. 2020, 461, 117907. [Google Scholar] [CrossRef]
- Balandier, P.; Mårell, A.; Prévosto, B.; Vincenot, L. Tamm review: Forest understorey and overstorey interactions: So much more than just light interception by trees. For. Ecol. Manag. 2022, 526, 120584. [Google Scholar] [CrossRef]
- Fei, K.; Deng, L.; Zhang, L.; Sun, T.; Wu, Y.; Fan, X.; Dong, Y. Lateral transport of soil total carbon with slope runoff and interflow: Effects of rainstorm characteristics under simulated rainfall. Catena 2019, 179, 39–48. [Google Scholar] [CrossRef]
- Wang, L.; Li, Y.; Gan, Y.; Zhao, L.; Qin, W.; Ding, L. Rainfall erosivity index for monitoring global soil erosion. Catena 2024, 234, 107593. [Google Scholar] [CrossRef]
- Wei, B.; Li, Z.; Duan, L.; Gu, Z.; Liu, X. Vegetation types and rainfall regimes impact on surface runoff and soil erosion over 10 years in karst hillslopes. Catena 2023, 232, 107443. [Google Scholar] [CrossRef]
- Tang, C.; Liu, Y.; Li, Z.; Guo, L.; Xu, A.; Zhao, J. Effectiveness of vegetation cover pattern on regulating soil erosion and runoff generation in red soil environment, southern China. Ecol. Indic. 2021, 129, 107956. [Google Scholar] [CrossRef]
- Vásquez-Méndez, R.; Ventura-Ramos, E.; Oleschko, K.; Hernández-Sandoval, L.; Parrot, J.-F.; Nearing, M.A. Soil erosion and runoff in different vegetation patches from semiarid Central Mexico. Catena 2010, 80, 162–169. [Google Scholar] [CrossRef]
- Dhillon, G.S.; Inamdar, S. Storm event patterns of particulate organic carbon (POC) for large storms and differences with dissolved organic carbon (DOC). Biogeochemistry 2014, 118, 61–81. [Google Scholar] [CrossRef]
- Yan, J.; Li, K.; Wang, W.; Zhang, D.; Zhou, G. Changes in dissolved organic carbon and total dissolved nitrogen fluxes across subtropical forest ecosystems at different successional stages. Water Resour. Res. 2015, 51, 3681–3694. [Google Scholar] [CrossRef]
- Zhang, G.-H.; Liu, G.-B.; Wang, G.-L.; Wang, Y.-X. Effects of Vegetation Cover and Rainfall Intensity on Sediment-Bound Nutrient Loss, Size Composition and Volume Fractal Dimension of Sediment Particles. Pedosphere 2011, 21, 676–684. [Google Scholar] [CrossRef]
- Su, X.; Xu, C.; Lin, T.-C.; Yang, Z.; Liu, X.; Chen, S.; Xiong, D.; Yang, Y. Response of erosion-induced carbon loss to rainfall characteristics is forest type dependent. Agric. For. Meteorol. 2024, 345, 109835. [Google Scholar] [CrossRef]
- Lyu, M.; Xie, J.; Vadeboncoeur, M.A.; Wang, M.; Qiu, X.; Ren, Y.; Jiang, M.; Yang, Y.; Kuzyakov, Y. Simulated leaf litter addition causes opposite priming effects on natural forest and plantation soils. Biol. Fertil. Soils 2018, 54, 925–934. [Google Scholar] [CrossRef]
- Valencia, R.; Foster, R.B.; Villa, G.; Condit, R.; Svenning, J.-C.; Hernández, C.; Romoleroux, K.; Losos, E.; Magård, E.; Balslev, H. Tree species distributions and local habitat variation in the Amazon: Large forest plot in eastern Ecuador. J. Ecol. 2004, 92, 214–229. [Google Scholar] [CrossRef]
- Harms, K.E.; Condit, R.; Hubbell, S.P.; Foster, R.B. Habitat associations of trees and shrubs in a 50-ha neotropical forest plot. J. Ecol. 2001, 89, 947–959. [Google Scholar] [CrossRef]
- Lin, K.; Lyu, M.; Jiang, M.; Chen, Y.; Li, Y.; Chen, G.; Xie, J.; Yang, Y. Improved allometric equations for estimating biomass of the three Castanopsis carlesii H. forest types in subtropical China. New For. 2016, 48, 115–135. [Google Scholar] [CrossRef]
- Liu, J.; Liang, Y.; Gao, G.; Dunkerley, D.; Fu, B. Quantifying the effects of rainfall intensity fluctuation on runoff and soil loss: From indicators to models. J. Hydrol. 2022, 607, 127494. [Google Scholar] [CrossRef]
- Gao, D.; Bai, E.; Wang, S.; Zong, S.; Liu, Z.; Fan, X.; Zhao, C.; Hagedorn, F. Three-dimensional mapping of carbon, nitrogen, and phosphorus in soil microbial biomass and their stoichiometry at the global scale. Glob. Chang. Biol. 2022, 28, 6728–6740. [Google Scholar] [CrossRef]
- James, G.; Witten, D.; Hastie, T.; Tibshirani, R. An Introduction to Statistical Learning with Applications in R; Springer Publication: Berlin/Heidelberg, Germany, 2013. [Google Scholar]
- Song, Z.; Seitz, S.; Li, J.; Goebes, P.; Schmidt, K.; Kühn, P.; Shi, X.; Scholten, T. Tree diversity reduced soil erosion by affecting tree canopy and biological soil crust development in a subtropical forest experiment. For. Ecol. Manag. 2019, 444, 69–77. [Google Scholar] [CrossRef]
- Zhu, X.; Liu, W.; Jiang, X.J.; Wang, P.; Li, W. Effects of land-use changes on runoff and sediment yield: Implications for soil conservation and forest management in Xishuangbanna, Southwest China. Land Degrad. Dev. 2018, 29, 2962–2974. [Google Scholar] [CrossRef]
- Li, Y.; Yu, H.Q.; Zhou, N.; Tian, G.; Poesen, J.; Zhang, Z.D. Linking fine root and understory vegetation to channel erosion in forested hillslopes of southwestern China. Plant Soil 2015, 389, 323–334. [Google Scholar] [CrossRef]
- Sun, D.; Zhang, W.; Lin, Y.; Liu, Z.; Shen, W.; Zhou, L.; Rao, X.; Liu, S.; Cai, X.-A.; He, D.; et al. Soil erosion and water retention varies with plantation type and age. For. Ecol. Manag. 2018, 422, 1–10. [Google Scholar] [CrossRef]
- Mosley, M.P. The effect of a new zealand beech forest canopy on the kinetic energy of water drops and on surface erosion. Earth Surf. Process. Landf. 1982, 7, 103–107. [Google Scholar] [CrossRef]
- Nanko, K.; Mizugaki, S.; Onda, Y. Estimation of soil splash detachment rates on the forest floor of an unmanaged Japanese cypress plantation based on field measurements of throughfall drop sizes and velocities. Catena 2008, 72, 348–361. [Google Scholar] [CrossRef]
- Calder, I.R. Canopy Processes: Implications for Transpiration, Interception and Splash Induced Erosion, Ultimately for Forest Management and Water Resources. Plant Ecol. 2001, 153, 203–214. [Google Scholar] [CrossRef]
- Nanko, K.; Hotta, N.; Suzuki, M. Evaluating the influence of canopy species and meteorological factors on throughfall drop size distribution. J. Hydrol. 2006, 329, 422–431. [Google Scholar] [CrossRef]
- Martin, B.A.; Shao, G.; Swihart, R.K.; Parker, G.R.; Tang, L. Implications of shared edge length between land cover types for landscape quality: The case of Midwestern US, 1940-1998. Landsc. Ecol. 2008, 23, 391–402. [Google Scholar] [CrossRef]
- Liu, J.; Liu, W.; Zhu, K. Throughfall kinetic energy and its spatial characteristics under rubber-based agroforestry systems. Catena 2018, 161, 113–121. [Google Scholar] [CrossRef]
- Zhang, W.; Liu, W.; Li, W.; Zhu, X.; Chen, C.; Zeng, H.; Jiang, X.; Singh, A.K.; Yang, B. Characteristics of throughfall kinetic energy under the banana (Musa nana Lour.) canopy: The role of leaf shapes. Catena 2021, 197, 104985. [Google Scholar] [CrossRef]
- Kang, S.; Zhang, L.; Song, X.; Zhang, S.; Liu, X.; Liang, Y.; Zheng, S. Runoff and sediment loss responses to rainfall and land use in two agricultural catchments on the Loess Plateau of China. Hydrol. Process. 2001, 15, 977–988. [Google Scholar] [CrossRef]
- López-Tarazón, J.A.; Batalla, R.J.; Vericat, D.; Balasch, J.C. Rainfall, runoff and sediment transport relations in a mesoscale mountainous catchment: The River Isábena (Ebro basin). Catena 2010, 82, 23–34. [Google Scholar] [CrossRef]
- Nadal-Romero, E.; Peña-Angulo, D.; Regüés, D. Rainfall, run-off, and sediment transport dynamics in a humid mountain badland area: Long-term results from a small catchment. Hydrol. Process. 2018, 32, 1588–1606. [Google Scholar] [CrossRef]
- Xu, C.; Yang, Z.; Qian, W.; Chen, S.; Liu, X.; Lin, W.; Xiong, D.; Jiang, M.; Chang, C.-T.; Huang, J.-C.; et al. Runoff and soil erosion responses to rainfall and vegetation cover under various afforestation management regimes in subtropical montane forest. Land Degrad. Dev. 2019, 30, 1711–1724. [Google Scholar] [CrossRef]
- Zhou, J.; Fu, B.; Gao, G.; Lü, Y.; Liu, Y.; Lü, N.; Wang, S. Effects of precipitation and restoration vegetation on soil erosion in a semi-arid environment in the Loess Plateau, China. Catena 2016, 137, 1–11. [Google Scholar] [CrossRef]
- Xu, X.-L.; Liu, W.; Kong, Y.-P.; Zhang, K.-L.; Yu, B.; Chen, J.-D. Runoff and water erosion on road side-slopes: Effects of rainfall characteristics and slope length. Transp. Res. Part D Transp. Environ. 2009, 14, 497–501. [Google Scholar] [CrossRef]
- Hastings, B.K.; Breshears, D.D.; Smith, F.M. Spatial Variability in Rainfall Erosivity versus Rainfall Depth: Implications for Sediment Yield. Vadose Zone J. 2005, 4, 500–504. [Google Scholar] [CrossRef]
- Molina, A.; Govers, G.; Vanacker, V.; Poesen, J.; Zeelmaekers, E.; Cisneros, F. Runoff generation in a degraded Andean ecosystem: Interaction of vegetation cover and land use. Catena 2007, 71, 357–370. [Google Scholar] [CrossRef]
- Guo, T.; Wang, Q.; Li, D.; Wu, L. Sediment and solute transport on soil slope under simultaneous influence of rainfall impact and scouring flow. Hydrol. Process. 2010, 24, 1446–1454. [Google Scholar] [CrossRef]
- Sun, L.; Liu, Y.-F.; Wang, X.; Liu, Y.; Wu, G.-L. Soil nutrient loss by gully erosion on sloping alpine steppe in the northern Qinghai-Tibetan Plateau. Catena 2022, 208, 105763. [Google Scholar] [CrossRef]
- Wu, L.; Qiao, S.; Peng, M.; Ma, X. Coupling loss characteristics of runoff-sediment-adsorbed and dissolved nitrogen and phosphorus on bare loess slope. Environ. Sci. Pollut. Res. 2018, 25, 14018–14031. [Google Scholar] [CrossRef] [PubMed]
- Salles, C.; Poesen, J. Rain properties controlling soil splash detachment. Hydrol. Process. 2000, 14, 271–282. [Google Scholar] [CrossRef]
- Salles, C.; Poesen, J.; Govers, G. Statistical and physical analysis of soil detachment by raindrop impact: Rain erosivity indices and threshold energy. Water Resour. Res. 2000, 36, 2721–2729. [Google Scholar] [CrossRef]
- Van Dijk, A.I.J.M.; Bruijnzeel, L.A.; Eisma, E.H. A methodology to study rain splash and wash processes under natural rainfall. Hydrol. Process. 2003, 17, 153–167. [Google Scholar] [CrossRef]
- Liu, B.; Xie, Y.; Li, Z.; Liang, Y.; Zhang, W.; Fu, S.; Yin, S.; Wei, X.; Zhang, K.; Wang, Z.; et al. The assessment of soil loss by water erosion in China. Int. Soil Water Conserv. Res. 2020, 8, 430–439. [Google Scholar] [CrossRef]
- Li, X.; Niu, J.-Z.; Li, J.; Xie, B.-Y.; Han, Y.-N.; Tan, J.-P.; Zhang, Y.-h. Characteristics of runoff and sediment generation of forest vegetation on a hill slope by use of artificial rainfall apparatus. J. For. Res. 2012, 23, 419–424. [Google Scholar] [CrossRef]
- Mohamadi, M.A.; Kavian, A. Effects of rainfall patterns on runoff and soil erosion in field plots. Int. Soil Water Conserv. Res. 2015, 3, 273–281. [Google Scholar] [CrossRef]
- Wu, L.; Peng, M.; Qiao, S.; Ma, X.-y. Effects of rainfall intensity and slope gradient on runoff and sediment yield characteristics of bare loess soil. Environ. Sci. Pollut. Res. 2018, 25, 3480–3487. [Google Scholar] [CrossRef] [PubMed]
- Yan, Y.; Dai, Q.; Yuan, Y.; Peng, X.; Zhao, L.; Yang, J. Effects of rainfall intensity on runoff and sediment yields on bare slopes in a karst area, SW China. Geoderma 2018, 330, 30–40. [Google Scholar] [CrossRef]
- Mhaske, S.N.; Pathak, K.; Basak, A. A comprehensive design of rainfall simulator for the assessment of soil erosion in the laboratory. Catena 2019, 172, 408–420. [Google Scholar] [CrossRef]
- Shen, H.; Zheng, F.; Wen, L.; Han, Y.; Hu, W. Impacts of rainfall intensity and slope gradient on rill erosion processes at loessial hillslope. Soil Tillage Res. 2016, 155, 429–436. [Google Scholar] [CrossRef]
- Zheng, H.; Nie, X.; Liu, Z.; Mo, M.; Song, Y. Identifying optimal ridge practices under different rainfall types on runoff and soil loss from sloping farmland in a humid subtropical region of Southern China. Agric. Water Manag. 2021, 255, 107043. [Google Scholar] [CrossRef]
- Bai, Y.; Zhou, Y.; Du, J.; Zhang, X.; Di, N. Effects of a broadleaf-oriented transformation of coniferous plantations on the hydrological characteristics of litter layers in subtropical China. Glob. Ecol. Conserv. 2021, 25, e01400. [Google Scholar] [CrossRef]
- Förster, A.; Hertel, D.; Werner, R.; Leuschner, C. Belowground consequences of converting broadleaf to conifer forest: Comparing the fine root systems of European beech and Scots pine. For. Ecol. Manag. 2021, 496, 119457. [Google Scholar] [CrossRef]
- Komatsu, H.; Kume, T.; Otsuki, K. The effect of converting a native broad-leaved forest to a coniferous plantation forest on annual water yield: A paired-catchment study in northern Japan. For. Ecol. Manag. 2008, 255, 880–886. [Google Scholar] [CrossRef]
- Li, W.-Q.; Huang, Y.-X.; Chen, F.-S.; Liu, Y.-Q.; Lin, X.-F.; Zong, Y.-Y.; Wu, G.-Y.; Yu, Z.-R.; Fang, X.-M. Mixing with broad-leaved trees shapes the rhizosphere soil fungal communities of coniferous tree species in subtropical forests. For. Ecol. Manag. 2021, 480, 118664. [Google Scholar] [CrossRef]
- Malla, R.; Neupane, P.R.; Köhl, M. Climate change impacts: Vegetation shift of broad-leaved and coniferous forests. Trees For. People 2023, 14, 100457. [Google Scholar] [CrossRef]
- Chen, Q.; Liu, Y.; Huang, J.; Xie, Y.; Bai, T.; Yuan, X.; Wang, T.; Xiao, T.; Deng, W. Soil water movement changes following conversion from evergreen and deciduous broad-leaved mixed forests to Chinese fir plantations. J. Soils Sed. 2023, 23, 2712–2725. [Google Scholar] [CrossRef]
- Luo, X.; Hou, E.; Chen, J.; Li, J.; Zhang, L.; Zang, X.; Wen, D. Dynamics of carbon, nitrogen, and phosphorus stocks and stoichiometry resulting from conversion of primary broadleaf forest to plantation and secondary forest in subtropical China. Catena 2020, 193, 104606. [Google Scholar] [CrossRef]
- Kitahara, H.; Okura, Y.; Sammori, T.; Kawanami, A. Application of Universal Soil Loss Equation (USLE) to Mountainous Forests in Japan. J. For. Res. 2000, 5, 231–236. [Google Scholar] [CrossRef]
- Özhan, S.; Balcı, A.N.; Özyuvaci, N.; Hızal, A.; Gökbulak, F.; Serengil, Y. Cover and management factors for the Universal Soil-Loss Equation for forest ecosystems in the Marmara region, Turkey. For. Ecol. Manag. 2005, 214, 118–123. [Google Scholar] [CrossRef]
- Zhang, C.; Xie, G.; Liu, C.; Lu, C. Assessment of soil erosion under woodlands using USLE in China. Front. Earth Sci. 2011, 5, 150–161. [Google Scholar] [CrossRef]
- Yustika, R.D.; Somura, H.; Yuwono, S.B.; Arifin, B.; Ismono, H.; Masunaga, T. Assessment of soil erosion in social forest-dominated watersheds in Lampung, Indonesia. Environ. Monit. Assess. 2019, 191, 726. [Google Scholar] [CrossRef] [PubMed]
- Mahoney, D.; Blandford, B.; Fox, J. Coupling the probability of connectivity and RUSLE reveals pathways of sediment transport and soil loss rates for forest and reclaimed mine landscapes. J. Hydrol. 2021, 594, 125963. [Google Scholar] [CrossRef]
- Pham, T.G.; Degener, J.; Kappas, M. Integrated universal soil loss equation (USLE) and Geographical Information System (GIS) for soil erosion estimation in A Sap basin: Central Vietnam. Int. Soil Water Conserv. Res. 2018, 6, 99–110. [Google Scholar] [CrossRef]
- Wang, Q.; Adiku, S.; Tenhunen, J.; Granier, A. On the relationship of NDVI with leaf area index in a deciduous forest site. Remote Sens. Environ. 2005, 94, 244–255. [Google Scholar] [CrossRef]






| Stand Characteristics | Broad-Leaved Forest | Coniferous Forest |
|---|---|---|
| Stand age (yr) | 38 | 38 |
| Stand density (stems ha−1) | 3700 ± 87 a | 2192 ± 147 b |
| Leaf area index | 4.1 ± 0.08 a | 2.9 ± 0.03 b |
| Aboveground tree biomass (t ha−1) | 265.6 ± 7.3 a | 176.5 ± 11.1 b |
| Understory vegetation biomass (t ha−1) | 3.7 ± 1.2 b | 12.1 ± 0.2 a |
| Slope (o) | 32.6 ± 1.5 a | 32.0 ± 1.0 a |
| Soil bulk density (g cm−3) | 1.19 ± 0.05 a | 1.30 ± 0.02 a |
| Predictor | Broad-Leaved Forest | Coniferous Forest | ||||
|---|---|---|---|---|---|---|
| Coefficient | t | p | Coefficient | t | p | |
| Runoff | Runoff | |||||
| Rainfall | 0.068 | 5.906 | <0.001 | 0.065 | 6.351 | <0.001 |
| EI30 | −0.002 | 0.542 | 0.094 | −0.001 | −1.154 | 0.250 |
| Intensity | 0.018 | 1.227 | 0.589 | −0.047 | −1.577 | 0.117 |
| I5 | 0.012 | −1.685 | 0.222 | 0.003 | 0.376 | 0.707 |
| Summary statistics | n = 156; df = 151; AIC = 688.6; F = 13.5; p < 0.001; mult. r2 = 0.264; adj. r2 = 0.244 | n = 156; df = 151; AIC = 651.0; F = 18.18; p < 0.001; mult. r2 = 0.325; adj. r2 = 0.307 | ||||
| Soil | Soil | |||||
| Rainfall | 0.025 | 2.303 | 0.023 | 0.001 | 0.242 | 0.809 |
| EI30 | <−0.001 | −0.264 | 0.792 | 0.002 | 4.359 | <0.001 |
| Intensity | 0.011 | 0.349 | 0.727 | −0.017 | −1.113 | 0.268 |
| I5 | 0.008 | 0.844 | 0.400 | <0.001 | 0.067 | 0.947 |
| Summary statistics | n = 156; df = 151; AIC = 664.4; F = 3.26; p = 0.013; mult. r2 = 0.080; adj. r2 = 0.055 | n = 156; df = 151; AIC = 442.7; F = 16.96; p<0.001; mult. r2 = 0.31; adj. r2 = 0.292 | ||||
| DOC | DOC | |||||
| Rainfall | <0.001 | 2.387 | 0.018 | <0.001 | 3.033 | 0.003 |
| EI30 | <−0.001 | −2.215 | 0.028 | <−0.001 | −1.901 | 0.059 |
| Intensity | <−0.001 | −1.110 | 0.269 | <0.001 | −2.602 | 0.010 |
| I5 | <0.001 | 1.986 | 0.049 | <0.001 | 1.344 | 0.181 |
| Summary statistics | n = 156; df = 151; AIC = −542.5; F = 2.23; p = 0.068; mult. r2 = 0.056; adj. r2 = 0.031 | n = 156; df = 151; AIC = −786.5; F = 4.68; p = 0.001; mult. r2 = 0.110; adj. r2 = 0.087 | ||||
| POC | POC | |||||
| Rainfall | 0.002 | 1.928 | 0.056 | <−0.001 | −1.008 | 0.315 |
| EI30 | <0.001 | 0.140 | 0.889 | <0.001 | 6.038 | <0.001 |
| Intensity | 0.001 | 0.364 | 0.717 | <−0.001 | −0.615 | 0.539 |
| I5 | <0.001 | 1.101 | 0.273 | <−0.001 | −0.460 | 0.646 |
| Summary statistics | n = 156; df = 151; AIC = −68.6; F = 3.84; p = 0.005; mult. r2 = 0.092; adj. r2 = 0.068 | n = 156; df = 151; AIC = −293.6; F = 22.9; p < 0.001; mult. r2 = 0.378; adj. r2 = 0.361 | ||||
| TOC | TOC | |||||
| Rainfall | 0.002 | 2.311 | 0.022 | <−0.001 | −0.425 | 0.671 |
| EI30 | <−0.001 | −0.303 | 0.762 | <0.001 | 5.187 | <0.001 |
| Intensity | <0.001 | 0.109 | 0.913 | −0.002 | −1.041 | 0.299 |
| I5 | 0.001 | 1.454 | 0.148 | <−0.001 | −0.087 | 0.931 |
| Summary statistics | n = 156; df = 151; AIC = −52.2; F = 4.12; p = 0.003; mult. r2 = 0.098; adj. r2 = 0.074 | n = 156; df = 151; AIC = −266.0; F = 19.8; p < 0.001; mult. r2 = 0.344; adj. r2 = 0.327 | ||||
| DOC/TOC | DOC/TOC | |||||
| Rainfall | <−0.001 | −0.409 | 0.683 | <0.001 | 0.747 | 0.457 |
| EI30 | <−0.001 | −2.549 | 0.011 | <−0.001 | −2.940 | 0.004 |
| Intensity | <−0.001 | −3.411 | <0.001 | −0.007 | −1.853 | 0.067 |
| I5 | 0.001 | 1.368 | 0.173 | 0.001 | 1.169 | 0.245 |
| Summary statistics | n = 152; df = 147; AIC = −100.7; F = 7.704 p < 0.001; mult. r2 = 0.173; adj. r2 = 0.151 | n = 128; df = 123; AIC = −79.3; F = 7.03; p < 0.001; mult. r2 = 0.186; adj. r2 = 0.160 | ||||
Disclaimer/Publisher’s Note: The statements, opinions and data contained in all publications are solely those of the individual author(s) and contributor(s) and not of MDPI and/or the editor(s). MDPI and/or the editor(s) disclaim responsibility for any injury to people or property resulting from any ideas, methods, instructions or products referred to in the content. |
© 2024 by the authors. Licensee MDPI, Basel, Switzerland. This article is an open access article distributed under the terms and conditions of the Creative Commons Attribution (CC BY) license (https://creativecommons.org/licenses/by/4.0/).
Share and Cite
Wang, W.; Xu, C.; Lin, T.-C.; Yang, Z.; Liu, X.; Xiong, D.; Chen, S.; Chen, G.; Yang, Y. Forest Structure Regulates Response of Erosion-Induced Carbon Loss to Rainfall Characteristics. Forests 2024, 15, 1269. https://doi.org/10.3390/f15071269
Wang W, Xu C, Lin T-C, Yang Z, Liu X, Xiong D, Chen S, Chen G, Yang Y. Forest Structure Regulates Response of Erosion-Induced Carbon Loss to Rainfall Characteristics. Forests. 2024; 15(7):1269. https://doi.org/10.3390/f15071269
Chicago/Turabian StyleWang, Weiwei, Chao Xu, Teng-Chiu Lin, Zhijie Yang, Xiaofei Liu, Decheng Xiong, Shidong Chen, Guangshui Chen, and Yusheng Yang. 2024. "Forest Structure Regulates Response of Erosion-Induced Carbon Loss to Rainfall Characteristics" Forests 15, no. 7: 1269. https://doi.org/10.3390/f15071269
APA StyleWang, W., Xu, C., Lin, T.-C., Yang, Z., Liu, X., Xiong, D., Chen, S., Chen, G., & Yang, Y. (2024). Forest Structure Regulates Response of Erosion-Induced Carbon Loss to Rainfall Characteristics. Forests, 15(7), 1269. https://doi.org/10.3390/f15071269

