Genome-Wide Profiling of the Genes Related to Leaf Discoloration in Zelkova schneideriana
Abstract
1. Introduction
2. Materials and Methods
2.1. Plant Materials and Culture Conditions
2.2. Detection of Leaf Color Parameters
2.3. Measurement of Pigment Contents
2.4. Measurement of Physiological Index
2.5. Transcriptome Analysis
2.6. RT-PCR Test
3. Results
3.1. Leaf Parameters and Pigment Content in the Discoloration Period of Z. schneideriana
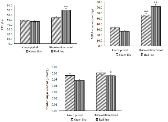
3.2. Physiological Performance of Zelkova Lines in the Discoloration Period
3.3. Gene Expression Profiling of the Red and Green Zelkova Lines in the Discoloration Period
3.4. Identification of DEGs in Red and Green Zelkova Lines in the Discoloration Period
3.5. DEGs Involved in Pigment Metabolism in Red and Green Zelkova Lines in the Discoloration Period
3.6. Differential Expression of the Transcription Factors in Red and Green Zelkova Lines in the Discoloration Period
4. Discussion
4.1. Decrease of Chlorophyll Content Promoted Leaf Discoloration
4.2. The increase of Anthocyanin Content Was Significant for Red Color Leaves
4.3. Some Other Genes Were Involved in Leaves Discoloration
5. Conclusions
Supplementary Materials
Author Contributions
Funding
Data Availability Statement
Acknowledgments
Conflicts of Interest
References
- Chu, A.; Zhang, Y.; Tian, Y. Physiological characteristics of leaf color changes of several autumn-colored tree species in autumn and winter. J. Northeast. For. Univ. 2012, 40, 40–43. [Google Scholar]
- Wang, Y.; Zhen, J.; Che, X.; Zhang, K.; Zhang, G.; Yang, H.; Wen, J.; Wang, J.; Wanf, J.; He, B.; et al. Transcriptomic and metabolomic analysis of autumn leaf color change in Fraxinus angustifolia. PeerJ 2023, 11, e15319. [Google Scholar] [CrossRef] [PubMed]
- Yang, X.; Yang, N.; Zhang, Q.; Pei, Z.; Chang, M.; Zhou, H.; Ge, Y.; Yang, Q.; Li, G. Anthocyanin biosynthesis associated with natural variation in autumn leaf coloration in Quercus aliena accessions. Int. J. Mol. Sci. 2022, 23, 12179. [Google Scholar] [CrossRef] [PubMed]
- Wang, Y.; Che, X.; Li, Y. Research on physiological changes of leaf coloration in autumn of Fraxinus angustifolia. J. Hebei Agric. Univ. 2023, 46, 55–64. [Google Scholar] [CrossRef]
- Li, W.; Wang, L.; He, Z.; Lu, Z.; Cui, J.; Xu, N.; Jin, B.; Wang, L. Physiological and transcriptomic changes during autumn coloration and senescence in Ginkgo biloba leaves. Hortic. Plant J. 2020, 6, 396–408. [Google Scholar] [CrossRef]
- Yin, G.; Wang, Y.; Xiao, Y.; Wang, R.; Jiang, Y.; Huang, R.; Liu, X.; Jiang, Y.; Yang, J. Relationships between leaf color changes, pigment levels, enzyme activity, photosynthetic fluorescence characteristics and chloroplast ultrastructure of Liquidambar formosana Hance. J. For. Res. 2022, 33, 1559–1572. [Google Scholar] [CrossRef]
- Liu, G.; Gu, H.; Cai, H.; Guo, C.; Chen, Y.; Wang, L.; Chen, G. Integrated transcriptome and biochemical analysis provides new insights into the leaf color change in Acer fabri. Forests 2023, 14, 1638. [Google Scholar] [CrossRef]
- Song, X.; Yang, Q.; Liu, Y.; Li, J.; Chang, X.; Xian, L.; Zhang, J. Genome-wide identification of Pistacia R2R3-MYB gene family and function characterization of PcMYB113 during autumn leaf coloration in Pistacia chinensis. Int. J. Biol. Macromol. 2021, 192, 16–27. [Google Scholar] [CrossRef] [PubMed]
- Chen, M.; Li, H.; Zhang, W.; Huang, L.; Zhu, J. Transcriptomic analysis of the differences in leaf color formation during stage transitions in Populus × Euramericana ‘Zhonghuahongye’. Agronomy 2022, 12, 2396. [Google Scholar] [CrossRef]
- Cao, X.; Luo, Y.; Cui, X.; Pan, J.; Cai, R. Analysis of genetic variation and advanced trees selection of Zelkova schneideriana. J. Shanghai Jiaotong Univ. 2010, 28, 499–503. [Google Scholar]
- Huang, L.; Shi, D.; Ge, J.; Zhang, M. Study on the relationship between colour show and pigment contents in fall leaves of Zelkova schnideriana. J. Jiangsu For. Sci. Technol. 2012, 39, 1–4. [Google Scholar]
- Guo, H.; Jin, X. Effects of exogenous sucrose on leaf color in three leaf-color types of Zelkova schneideriana in autumn. Plant Physiol. J. 2020, 56, 2487–2494. [Google Scholar] [CrossRef]
- Huang, K.; Wang, X.; Liu, Y.; Liu, M. Leaf color changes in Acer palmatum ‘Atropurpureum’ and relations to pigment content. J. Zhejiang A F Univ. 2012, 29, 734–738. [Google Scholar]
- Liu, X.; Jin, X.; Wang, X.; Wang, Z. Studies on the pigment content change rule in the leaf color expression period of 3 groups of leaf color Zelkova schneideriana. J. Henan Agric. Univ. 2014, 48, 596–601. [Google Scholar] [CrossRef]
- Feng, S.; Liu, Y.; Yan, S.; Dai, S.; Chen, L.; Fan, Y.; Bai, Y.; Huang, Y. The potential mechanism of UpCrtR-b regulates leaf color change in Ulmus pumila by multi-omics and functional analysis. Sci. Hortic. 2023, 324, 112616. [Google Scholar] [CrossRef]
- Sun, Y.; Bai, P.; Gu, K.; Yang, S.; Lin, H.; Shi, C.; Zhao, Y. Dynamic transcriptome and network-based analysis of yellow leaf mutant Ginkgo biloba. BMC Plant Biol. 2022, 22, 465. [Google Scholar] [CrossRef] [PubMed]
- Xue, H.; Zhu, M.; Fang, H.; Liang, C. Effects of photoperiod on photosynthesis and antioxidative enzyme activities of Lonicera japonica. J. Jiangsu For. Sci. Technol. 2018, 45, 13–16. [Google Scholar] [CrossRef]
- Mao, H.; Hang, T.; Zhang, X.; Lu, N. Both multi-segment light intensity and extended photoperiod lighting strategies, with the same daily light integral, promoted Lactuca sativa L. growth and photosynthesis. Agronomy 2019, 9, 857. [Google Scholar] [CrossRef]
- Yang, Y.; Chen, M.; Liu, Y.; Ding, H.; Du, H.; Sun, Z.; Zhu, J. Metabolome and transcriptome analyses reveal different flavonoid biosynthesis and chlorophyll metabolism profiles between red leaf and green leaf of Eucommia ulmoides. Forests 2021, 12, 1260. [Google Scholar] [CrossRef]
- Guo, P.; Huang, Z.; Zhao, W.; Lin, N.; Wang, Y.; Shang, F. Mechanisms for leaf color changes in Osmanthus fragrans ‘Ziyan Gongzhu’ using physiology, transcriptomics and metabolomics. BMC Plant Biol. 2023, 23, 453. [Google Scholar] [CrossRef]
- Han, H.; Zhou, Y.; Liu, H.; Chen, X.; Wang, Q.; Zhuang, H.; Sun, X.; Ling, Q.; Zhang, H.; Wang, B.; et al. Transcriptomics and metabolomics analysis provides insight into leaf color and photosynthesis variation of the yellow-green leaf mutant of Hami Melon (Cucumis melo L.). Plants 2023, 12, 1623. [Google Scholar] [CrossRef] [PubMed]
- Dai, Y.; Zhang, L.; Sun, X.; Li, F.; Zhang, S.; Zhang, H.; Li, G.; Fang, Z.; Sun, R.; Hou, X.; et al. Transcriptome analysis reveals anthocyanin regulation in Chinese cabbage (Brassica rapa L.) at low temperatures. Sci. Rep. 2022, 12, 6308. [Google Scholar] [CrossRef] [PubMed]
- Yang, Y.; Zhu, J.; Chen, M.; Zhao, H.; Liu, P.; Ding, H.; Jia, Z.; Du, H. Phenotypic and transcriptome analysis on red leaf and green leaf Eucommia ulmoides Oliver. Acta Physiol. Plant. 2020, 42, 65. [Google Scholar] [CrossRef]
- Si, F.; Wang, X.; Du, X.; Wang, J.; Tao, J.; Qiao, Q.; Feng, Z. Transcriptome sequencing and screening of anthocyanin-related genes in the leaves of Acer truncatum Bunge. Biochem. Genet. 2022, 60, 1845–1864. [Google Scholar] [CrossRef] [PubMed]
- Zou, J.; Gong, Z.; Liu, Z.; Ren, J.; Feng, H. Investigation of the key genes associated with anthocyanin accumulation during inner leaf reddening in ornamental kale (Brassica oleracea L. var. acephala). Int. J. Mol. Sci. 2023, 24, 2837. [Google Scholar] [CrossRef] [PubMed]
- Yang, K.; Hou, Y.; Wu, M.; Pan, Q.; Xie, Y.; Zhang, Y.; Sun, F.; Zhang, Z.; Wu, J. DoMYB5 and DobHLH24, Transcription factors involved in regulating anthocyanin accumulation in Dendrobium officinale. Int. J. Mol. Sci. 2023, 24, 7552. [Google Scholar] [CrossRef] [PubMed]
- Wang, L.; Tang, W.; Hu, Y.; Zhang, Y.; Sun, J.; Guo, X.; Lu, H.; Yang, Y.; Fang, C.; Niu, X.; et al. A MYB/bHLH complex regulates tissue-specific anthocyanin biosynthesis in the inner pericarp of red-centered kiwifruit Actinidia chinensis cv. Hongyang. Plant J. 2019, 99, 359–378. [Google Scholar] [CrossRef] [PubMed]
- Liu, M.; Liu, G.; Wang, G.; Song, S.; Zhang, P.; Liu, X.; Li, Y.; Mao, X.; Bao, Z.; Ma, F. MaIdentification and functional characterization of AcMYB113 in anthocyanin metabolism of Aesculus chinensis Bunge var. chinensis leaves. Plant Physiol. Bioch. 2023, 199, 107709. [Google Scholar] [CrossRef] [PubMed]
- Gao, T.; Zhang, Z.; Liu, X.; Wu, Q.; Chen, Q.; Liu, Q.; Nocker, S.; Ma, F.; Li, C. Physiological and transcriptome analyses of the effects of exogenous dopamine on drought tolerance in apple. Plant Physiol. Bioch. 2020, 148, 260–272. [Google Scholar] [CrossRef]
- Li, X.; Wang, Y.; Dai, Y.; He, Y.; Li, C.; Mao, P.; Ma, X. The transcription factors of tall fescue in response to temperature stress. Plant Biol. 2021, 23, 89–99. [Google Scholar] [CrossRef]
- Bi, G.; Zhou, Z.; Wang, W.; Li, L.; Rao, S.; Wu, Y.; Zhan, X.; Menke, F.L.H.; Chen, S.; Zhou, J. Receptor-like cytoplasmic kinases directly link diverse pattern recognition receptors to the activation of mitogen-activated protein kinase cascades in Arabidopsis. Plant Cell 2018, 30, 1543–1561. [Google Scholar] [CrossRef] [PubMed]
- Cargnello, M.; Roux, P.P. Activation and function of the mapks and their substrates, the mapk-activated protein kinases. Microbiol. Mol. Biol. Rep. 2011, 75, 50–83. [Google Scholar] [CrossRef] [PubMed]
- Zhao, C.; Wang, P.; Si, T.; Hsu, C.; Wang, L.; Zayed, O.; Yu, Z.; Zhu, Y.; Dong, J.; Tao, W.; et al. MAP kinase cascades regulate the cold response by modulating ICE1 protein stability. Dev. Cell 2017, 43, 618–629. [Google Scholar] [CrossRef] [PubMed]
- Zhu, W.; Cao, H.; Wang, Q.; Niu, Y.; Sadeghnezhad, E.; Han, S.; Liu, M.; Wang, L.; Liu, Z. Transcriptome analysis revealed MAPK and hormone pathway involving in exogenous melatonin-regulated salt tolerance in sour jujube. Fruit Res. 2023, 3, 19. [Google Scholar] [CrossRef]
- Li, H.; Ding, Y.; Shi, Y.; Zhang, X.; Zhang, S.; Gong, Z.; Yang, S. MPK3- and MPK6-mediated ICE1 phosphorylation negatively regulates ICE1 stability and freezing tolerance in Arabidopsis. Dev. Cell 2017, 3, 630–642. [Google Scholar] [CrossRef]











| Pigment Content | Green Leaf Period | Discoloration Period | ||||
|---|---|---|---|---|---|---|
| Green Line | Red Line | Ratio of Green/Red | Green Line | Red Line | Ratio of Green/Red | |
| Chlorophyll content | 2.73 ± 0.11 | 2.48 ± 0.19 | 1.10 ± 0.09 | 2.55 ± 0.45 | 0.88 ± 0.01 ** | 2.90 ± 0.47 ** |
| Carotenoid content | 0.44 ± 0.01 | 0.47 ± 0.03 | 0.94 ± 0.05 | 0.41 ± 0.01 | 0.35 ± 0.03 * | 1.17 ± 0.39 * |
| Anthocyanin content | 0.13 ± 0.01 | 0.19 ± 0.01 | 0.68 ± 0.02 | 0.08 ± 0.02 | 1.72 ± 0.16 ** | 0.05 ± 0.01 ** |
| Chl/Car | 6.20 ± 0.09 | 5.28 ± 0.11 | 1.17 ± 0.04 | 6.22 ± 0.68 | 2.51 ± 0.06 ** | 2.48 ± 0.51 ** |
| Chl/Ant | 21.00 ± 2.96 | 13.05 ± 1.14 | 1.61 ± 0.18 | 31.88 ± 2.42 ** | 0.51 ± 0.01 ** | 62.51 ± 5.29 ** |
| Car/Ant | 3.38 ± 0.43 | 2.47 ± 0.18 | 1.37 ± 0.16 | 5.13 ± 0.15 ** | 0.20 ± 0.02 ** | 25.65 ± 1.60 ** |
| Samples | BMK-ID | Read Number | Base Number | GC Content | %≥Q30 |
|---|---|---|---|---|---|
| Green line-1 | Ze17-1 | 31,270,374 | 9,329,347,800 | 45.59 | 92.37 |
| Green line-2 | Ze17-2 | 22,292,279 | 6,667,456,396 | 45.41 | 93.35 |
| Green line-3 | Ze17-3 | 22,842,061 | 6,834,248,368 | 45.72 | 93.40 |
| Red line-1 | Ze16-1 | 20,952,626 | 6,262,655,662 | 45.87 | 93.69 |
| Red line-2 | Ze16-2 | 30,396,902 | 9,069,904,612 | 45.53 | 93.75 |
| Red line-3 | Ze16-3 | 23,752,553 | 7,083,916,948 | 45.51 | 93.14 |
| Gene Family | Number of Genes | Gene Family | Number of Genes |
|---|---|---|---|
| WRKY | 22 | C2C2-Dof | 2 |
| MYB-related | 17 | EIL | 2 |
| bZIP | 14 | GARP-ARR-B | 2 |
| C3H | 12 | HB-BELL | 2 |
| AP2/ERF-ERF | 11 | HB-other | 2 |
| NAC | 11 | LIM | 2 |
| C2H2 | 10 | LOB | 2 |
| bHLH | 9 | NF-YA | 2 |
| GRAS | 9 | NF-YC | 2 |
| HSF | 8 | Trihelix | 2 |
| HB-HD-ZIP | 7 | TUB | 2 |
| MADS-MIKC | 6 | Alfin-like | 1 |
| MYB | 6 | AP2/ERF-AP2 | 1 |
| GARP-G2-like | 5 | C2C2-LSD | 1 |
| B3-ARF | 4 | C2C2-YABBY | 1 |
| FAR1 | 4 | DBB | 1 |
| RWP-RK | 4 | DBP | 1 |
| C2C2-GATA | 3 | GeBP | 1 |
| CAMTA | 3 | HB-KNOX | 1 |
| MADS-M-type | 3 | Tify | 1 |
| SBP | 3 | VOZ | 1 |
| TCP | 3 | Whirly | 1 |
| B3 | 2 | zf-HD | 1 |
| C2C2-CO-like | 2 |
Disclaimer/Publisher’s Note: The statements, opinions and data contained in all publications are solely those of the individual author(s) and contributor(s) and not of MDPI and/or the editor(s). MDPI and/or the editor(s) disclaim responsibility for any injury to people or property resulting from any ideas, methods, instructions or products referred to in the content. |
© 2024 by the authors. Licensee MDPI, Basel, Switzerland. This article is an open access article distributed under the terms and conditions of the Creative Commons Attribution (CC BY) license (https://creativecommons.org/licenses/by/4.0/).
Share and Cite
Sun, Y.; Gong, L.; Liu, X.; Hu, J.; Lu, X.; Xu, J. Genome-Wide Profiling of the Genes Related to Leaf Discoloration in Zelkova schneideriana. Forests 2024, 15, 1146. https://doi.org/10.3390/f15071146
Sun Y, Gong L, Liu X, Hu J, Lu X, Xu J. Genome-Wide Profiling of the Genes Related to Leaf Discoloration in Zelkova schneideriana. Forests. 2024; 15(7):1146. https://doi.org/10.3390/f15071146
Chicago/Turabian StyleSun, Yuhan, Longfeng Gong, Xiao Liu, Jiayu Hu, Xiaoxiong Lu, and Jichen Xu. 2024. "Genome-Wide Profiling of the Genes Related to Leaf Discoloration in Zelkova schneideriana" Forests 15, no. 7: 1146. https://doi.org/10.3390/f15071146
APA StyleSun, Y., Gong, L., Liu, X., Hu, J., Lu, X., & Xu, J. (2024). Genome-Wide Profiling of the Genes Related to Leaf Discoloration in Zelkova schneideriana. Forests, 15(7), 1146. https://doi.org/10.3390/f15071146
