Pinus banksiana Lamb. Regeneration Patterns in a Lacustrine Dune System
Abstract
1. Introduction
2. Materials and Methods
2.1. Study Site
2.2. Model Development
2.3. Model Testing
2.4. Statistical Analysis
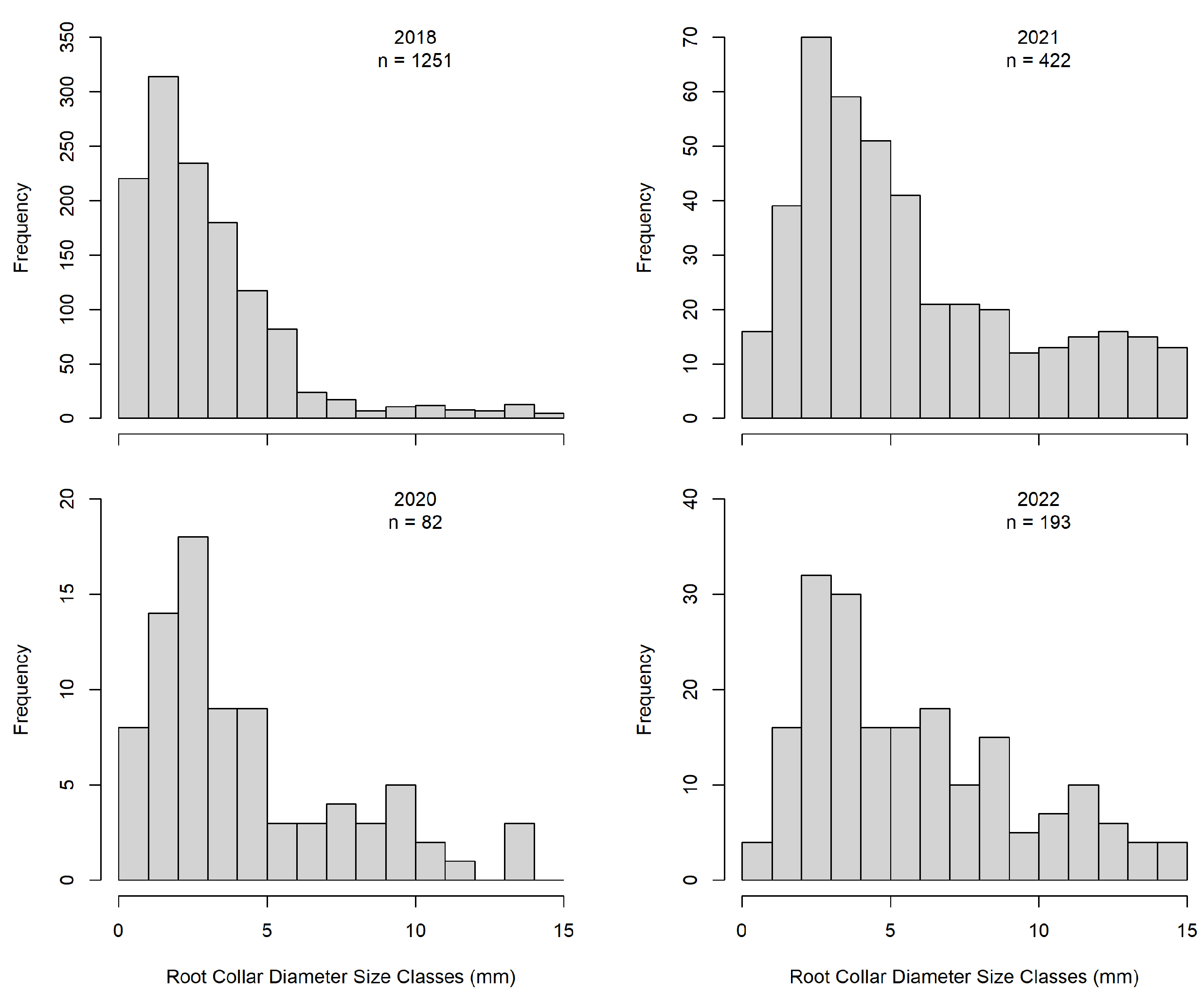
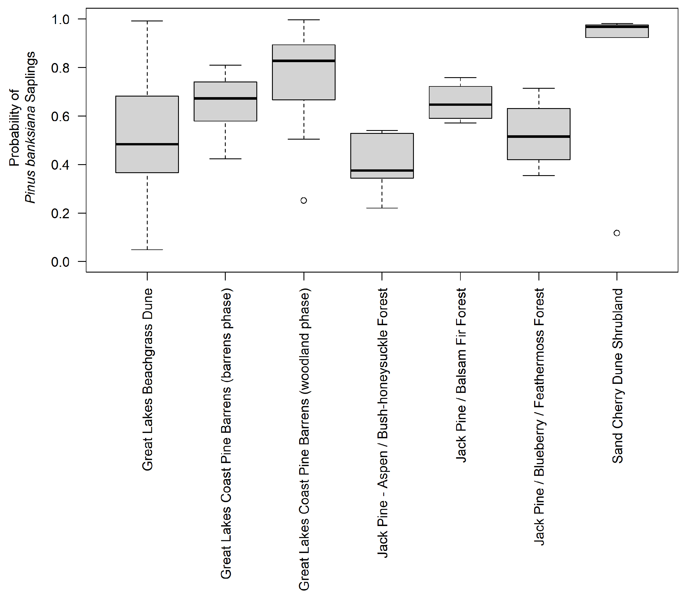
3. Results
3.1. Model Development
3.2. Model Testing
4. Discussion
5. Conclusions
Supplementary Materials
Author Contributions
Funding
Institutional Review Board Statement
Informed Consent Statement
Data Availability Statement
Acknowledgments
Conflicts of Interest
References
- Marsh, W.M.; Marsh, B.D. Wind erosion and sand dune formation on high Lake Superior bluffs. Geogr. Ann. Ser. Phys. Geogr. 1987, 69, 379–391. [Google Scholar] [CrossRef]
- McLeod, K.W.; Murphy, P.G. Establishment of Ptelea trifoliata on Lake Michigan sand dunes. Am. Midl. Nat. 1977, 97, 350–362. [Google Scholar] [CrossRef]
- Kost, M.A.; Albert, D.A.; Cohn, J.G.; Slaughter, B.S.; Schillo, R.K.; Weber, C.R.; Chapman, K.A. Natural Communities of Michigan: Classification and Description; Michigan Natural Features Inventory: Lansing, MI, USA, 2007; Report No. 2007-21. [Google Scholar]
- Marshall, J.M.; Storer, A.J.; Leutscher, B. Comparative analysis of plant and ground dwelling arthropod communities in lacustrine dune areas with and without Centaurea biebersteinii (Asteraceae). Am. Midl. Nat. 2008, 159, 261–274. [Google Scholar] [CrossRef]
- Lichter, J. Primary succession and forest development on coastal Lake Michigan sand dunes. Ecol. Monogr. 1998, 68, 487–510. [Google Scholar] [CrossRef]
- Cowles, H.C. The ecological relations of the vegetation on the sand dunes of Lake Michigan. Bot. Gaz. 1899, 27, 95–117, 167–202, 281–308, 361–391. [Google Scholar] [CrossRef]
- Warming, E. Botaniske Exkursioner 2. De psammophile Formationer i Danmark. Vidensk. Meddelel. fra den Naturhist. Foren. 1891, 1891, 153–202. [Google Scholar]
- Johnson, E.A.; Miyanishi, K. Testing the assumptions of chronosequences in succession. Ecol. Lett. 2008, 11, 419–431. [Google Scholar] [CrossRef]
- Marshall, J.M. Spotted knapweed spread and plant community changes in a lacustrine dune system. Nat. Areas J. 2021, 41, 11–17. [Google Scholar] [CrossRef]
- Lichter, J. Colonization constraints during primary succession on coastal Lake Michigan sand dunes. J. Ecol. 2000, 88, 825–839. [Google Scholar] [CrossRef]
- Balke, T.; Herman, P.M.J.; Bouma, T.J. Critical transition in disturbance-driven ecosystems: Identifying windows of opportunity for recover. J. Ecol. 2014, 102, 700–708. [Google Scholar] [CrossRef]
- Zobel, M.; Öpik, M. Plant and arbuscular mycorrhizal fungal (AMF) communities—Which drives which? J. Veg. Sci. 2014, 25, 1133–1140. [Google Scholar] [CrossRef]
- Dech, J.P.; Maun, M.A. Zonation of vegetation along a burial gradient on the leeward slopes of Lake Huron sand dunes. Can. J. Bot. 2005, 83, 227–236. [Google Scholar] [CrossRef]
- Rudolph, T.D.; Laidly, P.R. Pinus banksiana Lamb. Jack Pine. In Silvics of North America. Volume 1: Conifers; Burns, R.M., Honkala, B.H., Eds.; Tech. Coords; Agricultural Handbook 654; Forest Service, United States Department of Agriculture: Washington, DC, USA, 1990. Available online: https://www.srs.fs.usda.gov/pubs/misc/ag_654/volume_1/pinus/banksiana.htm (accessed on 30 May 2024).
- Chun, Y.M.; Choi, Y.D. Structure, species composition, and soil characteristics in a chronosequence of jack pine (Pinus banksiana Lamb.) stands on the southern shore of Lake Michigan. Am. Midl. Nat. 2012, 168, 408–426. [Google Scholar] [CrossRef]
- Abrams, M.D.; Sprugel, D.G.; Dickmann, D.I. Multiple successional pathways on recently disturbed jack pine sites in Michigan. For. Ecol. Manag. 1985, 10, 31–48. [Google Scholar] [CrossRef]
- Venier, L.A.; Pearce, J.L. Boreal bird community response to jack pine forest succession. For. Ecol. Manag. 2005, 217, 19–36. [Google Scholar] [CrossRef]
- Cayford, J.H.; McRae, D.J. The ecological role of fire in jack pine forests. In Role of Fire in Northern Circumpolar Ecosystems; Wein, R.W., MacLean, D.A., Eds.; John Wiley and Sons: New York, NY, USA, 1983; pp. 183–199. [Google Scholar]
- Greene, D.F.; Splawinski, T.B.; Gauthier, S.; Bergeron, Y. Seed abscission schedules and the timing of post-fire salvage of Picea mariana and Pinus banksiana. For. Ecol. Manag. 2013, 303, 20–24. [Google Scholar] [CrossRef]
- Pinno, B.D.; Errington, R.C.; Thompson, D.K. Young jack pine and high severity fire combine to create potentially expansive areas of understocked forest. For. Ecol. Manag. 2013, 310, 517–522. [Google Scholar] [CrossRef]
- Gauthier, S.; Bergeron, Y.; Simon, J.-P. Effects of fire regime on the serotiny level of jack pine. J. Ecol. 1996, 84, 539–548. [Google Scholar] [CrossRef]
- Hernández-Serrano, A.; Verdu, M.; Santos-del-Blanco, L.; Climent, J.; González-Martínez, S.C.; Pausas, J.G. Heritability and quantitative genetic divergence of serotiny, a fire persistence plant trait. Ann. Bot. 2014, 114, 571–577. [Google Scholar] [CrossRef]
- Braind, C.H.; Schwilk, D.W.; Gauthier, S.; Bergeron, Y. Does fire regime influence life history traits of jack pine in the southern boreal forest of Québec, Canada? Plant Ecol. 2015, 216, 157–164. [Google Scholar] [CrossRef]
- Radeloff, V.C.; Mladenoff, D.J.; Guries, R.P.; Boyce, M.S. Spatial patterns of cone serotiny in Pinus banksiana in relation to fire disturbance. For. Ecol. Manag. 2004, 189, 133–141. [Google Scholar] [CrossRef]
- Gauthier, S.; Bergeron, Y.; Simon, J.-P. Cone serotiny in jack pine: Ontogenetic, positional, and environmental effects. Can. J. For. Res. 1993, 23, 394–401. [Google Scholar] [CrossRef]
- Luu, H.; Ris Lambers, J.H.; Lutz, J.A.; Metz, M.; Snell, R.S. The importance of regeneration processes on forest diversity in old-growth forests in the Pacific Northwest. Phil. Trans. R. Soc. B 2024, 379, 20230016. [Google Scholar] [CrossRef] [PubMed]
- Seidl, R.; Turner, M.G. Post-disturbance reorganization of forest ecosystems in a changing world. Proc. Nat. Acad. Sci. USA 2022, 119, e2202190119. [Google Scholar] [CrossRef] [PubMed]
- Sandoval-Martínez, J.; Badano, E.I.; Guerra-Coss, F.A.; Flores Cano, J.A.; Flores, J.; Gelviz-Gelvez, S.M.; Barragán-Torres, F. Selecting tree species to restore forest under climate change conditions: Complementing species distribution models with field experimentation. J. Environ. Manag. 2023, 329, 117038. [Google Scholar] [CrossRef] [PubMed]
- Guisan, A.; Weiss, S.B.; Weiss, A.D. GLM versus CCA spatial modeling of plant species distribution. Plant Ecol. 1999, 143, 107–122. [Google Scholar] [CrossRef]
- Lissovsky, A.A.; Dudov, S.V. Species-distribution modeling: Advantages and limitations of its application. 2. MaxEnt. Biol. Bull. Rev. 2021, 11, 265–275. [Google Scholar] [CrossRef]
- Baldwin, R.A. Use of maximum entropy modeling in wildlife research. Entropy 2009, 11, 854–866. [Google Scholar] [CrossRef]
- Phillips, S.J.; Anderson, R.P.; Schapire, R.E. Maximum entropy modeling of species geographic distributions. Ecol. Model. 2006, 190, 231–259. [Google Scholar] [CrossRef]
- Phillips, S.J.; Anderson, R.P.; Dudík, M.; Schapire, R.E.; Blair, M.E. Opening the black box: An open-source release of Maxent. Ecography 2017, 40, 887–893. [Google Scholar] [CrossRef]
- Harremoës, P.; Topsøe, F. Maximum entropy fundamentals. Entropy 2001, 3, 191–226. [Google Scholar] [CrossRef]
- Guiasu, S.; Shenitzer, A. The principle of maximum entropy. Math. Intell. 1985, 7, 42–48. [Google Scholar] [CrossRef]
- Bach, D.P. Plant Communities, Habitats, and Soil Conditions of Grand Sable Dunes, Pictured Rocks National Lakeshore, Michigan. Master’s Thesis, Michigan Technological University, Houghton, MI, USA, 1978. [Google Scholar]
- Marshall, J.M. Influence of topography, bare sand, and soil pH on the occurrence and distribution of plant species in a lacustrine dune ecosystem. J. Torrey Bot. Soc. 2014, 141, 29–38. [Google Scholar] [CrossRef]
- Anderton, J.B.; Loope, W.L. Buried soils in a perched dunefield as indicators of late Holocene lake-level change in the Lake Superior basin. Quat. Res. 1995, 44, 190–199. [Google Scholar] [CrossRef]
- Millers, I.; Lachance, D.; Burkman, W.G.; Allen, D.C. North American Sugar Maple Decline Project: Organization and Field Methods; USDA Forest Service General Technical Report NE-154; USDA Forest Service: Radnor, PA, USA, 1991.
- US Geological Survey. One Meter x56y517 and x57y517 MI AlgerCo 2015 DEM. Available online: https://www.sciencebase.gov/catalog/item/543e6b86e4b0fd76af69cf4c (accessed on 30 May 2024).
- Hop, K.; Lubinski, S.; Dieck, J.; Menard, S.; Drake, J. National Park Service Vegetation Inventory Program: Pictured Rocks National Lakeshore; Natural Resource Report NPS/GLKN/NRR—2010/201; Natural Resource Program Center: Fort Collins, CO, USA, 2010.
- US Geological Survey. Lidar Point Cloud—USGS National Map 3DEP Downloadable Data Collection. Available online: https://www.sciencebase.gov/catalog/item/4f70ab64e4b058caae3f8def (accessed on 30 May 2024).
- Khosravipour, A.; Skidmore, A.K.; Isenburg, M.; Wang, T.; Hussin, Y.A. Generating pit-free canopy height models from airborne lidar. Photogram. Eng. Remote Sens. 2014, 80, 863–872. [Google Scholar] [CrossRef]
- R Core Team. R: A Language and Environment for Statistical Computing; R Foundation for Statistical Computing: Vienna, Austria, 2023; Available online: https://www.R-project.org/ (accessed on 30 May 2024).
- Roussel, J.R.; Auty, D.; Coops, N.C.; Tompalski, P.; Goodbody, T.R.H.; Sánchez Meador, A.; Bourdon, J.F.; de Boissieu, F.; Achim, A. lidR: An R package for analysis of Airborne Laser Scanning (ALS) data. Remote Sens. Environ. 2020, 251, 112061. [Google Scholar] [CrossRef]
- Roussel, J.R.; Auty, D. Airbore LIDAR Data Manipulation and Visualization for Forestry Applications. R Package Version 4.1.1. Available online: https://cran.r-project.org/package=lidR (accessed on 30 May 2024).
- Pebesma, E.J. Multivariable geostatistics in S: The gstat package. Comp. Geosci. 2004, 30, 683–691. [Google Scholar] [CrossRef]
- Gräler, B.; Pebesma, E.; Heuvelink, G. Spatio-temporal interpolation using gstat. R J. 2016, 8, 204–218. [Google Scholar] [CrossRef]
- Hijmans, R. Terra: Spatial Data Analysis. R Package Version 1.7-39. Available online: https://CRAN.R-project.org/package=terra (accessed on 30 May 2024).
- Hijmans, R. Predicts: Spatial Prediction Tools. R Package Version 0.1-8. Available online: https://CRAN.R-project.org/package=predicts (accessed on 30 May 2024).
- Freeman, E.A.; Moisen, G.G. A comparison of the performance of threshold criteria for binary classification in terms of predicted prevalence and kappa. Ecol. Model. 2008, 217, 48–58. [Google Scholar] [CrossRef]
- Maun, M.A. Colonizing ability of Ammophila breviligulata through vegetative regeneration. J. Ecol. 1984, 72, 565–574. [Google Scholar] [CrossRef]
- Voss, E.G. Michigan Flora. Part I. Gymnosperms and Monocots; Bulletin 55; Cranbrook Institute of Science: Bloomfield Hills, MI, USA, 2001. [Google Scholar]
- Kashian, D.M.; Sosin, J.R.; Huber, P.W.; Tucker, M.M.; Dombrowski, J. A neutral modeling approach for designing spatially heterogeneous jack pine plantations in northern Lower Michigan, USA. Land. Ecol. 2017, 32, 1117–1131. [Google Scholar] [CrossRef]
- Filicetti, A.T.; LaPointe, R.A.; Nielson, S.E. Effects of fire severity and woody debris on tree regeneration for exploratory well pads in jack pine (Pinus banksiana) forests. Forests 2021, 12, 1330. [Google Scholar] [CrossRef]
- Whittle, C.A.; Duchesne, L.C.; Needham, T. The impact of broadcast burning and fire severity on species composition and abundance of surface vegetation in a jack pine (Pinus banksiana) clear-cut. For. Ecol. Manag. 1997, 94, 141–148. [Google Scholar] [CrossRef]
- Poulson, T.L. Mechanisms of Plant Succession on the Sand Dunes along the Southern Lake Michigan; A research report submitted to the Science Division; National Park Service—Indiana Dunes National Lakeshore: Porter, IN, USA, 1993. [Google Scholar]
- Day, M.E.; Schedlbauer, J.L.; Livingston, W.H.; Greenwood, M.S.; White, A.S.; Brissette, J.C. Influence of seedbed, light environment, and elevated night temperature on growth and carbon allocation in pitch pine (Pinus rigida) and jack pine (Pinus banksiana) seedlings. For. Ecol. Manag. 2005, 205, 59–71. [Google Scholar] [CrossRef]
- Powers, M.D.; Pregitzer, K.S.; Palik, B.J. Physiological performance of three pine species provides evidence for gap partitioning. For. Ecol. Manag. 2008, 256, 2127–2135. [Google Scholar] [CrossRef]
- Deighton, H.D.; Bell, F.W.; Thiffault, N.; Searle, E.B.; Leitch, M.; Sharma, M.; Dacosta, J. Trade-offs among release treatments in jack pine plantations: Twenty-five year responses. Forests 2021, 12, 370. [Google Scholar] [CrossRef]
- Montgomery, R.A.; Palik, B.J.; Boyden, S.B.; Reich, P.B. New cohort growth and survival in variable retention harvests of a pine ecosystem in Minnesota, USA. For. Ecol. Manag. 2013, 310, 327–335. [Google Scholar] [CrossRef]
- Wilson, L.F. A Guide to Insect Injury of Conifers in the Lake States; Agriculture Handbook 501; Forest Service, United States Department of Agriculture: Washington, DC, USA, 1977.
- McCullough, D.G. A review of factors affecting the population dynamics of jack pine budworm (Choristoneura pinus pinus Freeman). Pop. Ecol. 2000, 42, 243–256. [Google Scholar] [CrossRef]
- McCullough, D.G.; Kulman, H.M. Differences in foliage quality of young jack pine (Pinus banksiana Lamb.) on burned and clearcut sites: Effects on jack pine budworm (Choristoneura pinus pinus Freeman). Oecologia 1991, 87, 135–145. [Google Scholar] [CrossRef]
- Nealis, V.G.; Lomic, P.V. Host-plant influence on the population ecology of the jack pine budworm, Choristoneura pinus (Lepidoptera: Tortricidae). Ecol. Entomol. 1994, 19, 367–373. [Google Scholar] [CrossRef]
- Batzer, H.O.; Jennings, D.T. Numerical analysis of a jack pine budworm outbreak in various densities of jack pine. Environ. Entomol. 1980, 9, 514–524. [Google Scholar] [CrossRef]
- Latsch, M.E. Effects of Management on Native and Exotic Plant Communities in Pictured Rocks National Lakeshore in the Upper Peninsula of Michigan. Ph.D. Thesis, Michigan Technological University, Houghton, MI, USA, 2011. [Google Scholar]
- Grzesiak, K.E. Long-Term Effects of Herbicide Treatments on Spotted Knapweed and Non-Target Plants in the Grand Sable Dunes. Master’s Thesis, University of Michigan, Ann Arbor, MI, USA, 2013. [Google Scholar]







| Total | Pinus banksiana | ||||
|---|---|---|---|---|---|
| Year | Plots | Seedlings | Saplings | Seedlings | Saplings |
| 2020 | 50 | 88 | 32 | 58 | 24 |
| 2021 | 174 | 2403 | 958 | 235 | 187 |
| 2022 | 117 | 964 | 1000 | 98 | 95 |
| Seedling Model | Sapling Model | |||
|---|---|---|---|---|
| Variable | Percent Contribution | Permutation Importance | Percent Contribution | Permutation Importance |
| Aspect | 7.2 | 5.3 | 15.5 | 15.9 |
| Other Species Basal Area | 28.2 | 37.9 | 9.1 | 14.3 |
| Pinus banksiana Basal Area | 14.3 | 19.0 | 42.5 | 46.9 |
| Slope | 24.9 | 18.5 | 6.3 | 7.7 |
| Vegetation Type | 25.4 | 19.3 | 26.6 | 15.2 |
Disclaimer/Publisher’s Note: The statements, opinions and data contained in all publications are solely those of the individual author(s) and contributor(s) and not of MDPI and/or the editor(s). MDPI and/or the editor(s) disclaim responsibility for any injury to people or property resulting from any ideas, methods, instructions or products referred to in the content. |
© 2024 by the authors. Licensee MDPI, Basel, Switzerland. This article is an open access article distributed under the terms and conditions of the Creative Commons Attribution (CC BY) license (https://creativecommons.org/licenses/by/4.0/).
Share and Cite
Danielson, J.C.; Warrix, A.R.; Lehman, M.E.; Lehman, A.C.; Marshall, J.M. Pinus banksiana Lamb. Regeneration Patterns in a Lacustrine Dune System. Forests 2024, 15, 1138. https://doi.org/10.3390/f15071138
Danielson JC, Warrix AR, Lehman ME, Lehman AC, Marshall JM. Pinus banksiana Lamb. Regeneration Patterns in a Lacustrine Dune System. Forests. 2024; 15(7):1138. https://doi.org/10.3390/f15071138
Chicago/Turabian StyleDanielson, Jonathan C., Adam R. Warrix, Madison E. Lehman, Andrew C. Lehman, and Jordan M. Marshall. 2024. "Pinus banksiana Lamb. Regeneration Patterns in a Lacustrine Dune System" Forests 15, no. 7: 1138. https://doi.org/10.3390/f15071138
APA StyleDanielson, J. C., Warrix, A. R., Lehman, M. E., Lehman, A. C., & Marshall, J. M. (2024). Pinus banksiana Lamb. Regeneration Patterns in a Lacustrine Dune System. Forests, 15(7), 1138. https://doi.org/10.3390/f15071138

