Changes in Relationship between Forest Biomass Productivity and Biodiversity of Different Type Subtropical Forests in Southern China
Abstract
1. Introduction
2. Materials and Methods
2.1. Study Area
2.2. Data Collection
2.3. Productivity Calculations
2.4. Biodiversity Indices and Functional Traits
2.5. Environmental Variables
2.6. Statistical Analysis
3. Results
3.1. Relationship between Predictive Variables and Forest Productivity
3.2. The Relative Importance of Environmental Factors and Diversity in Determining Forest Community Productivity
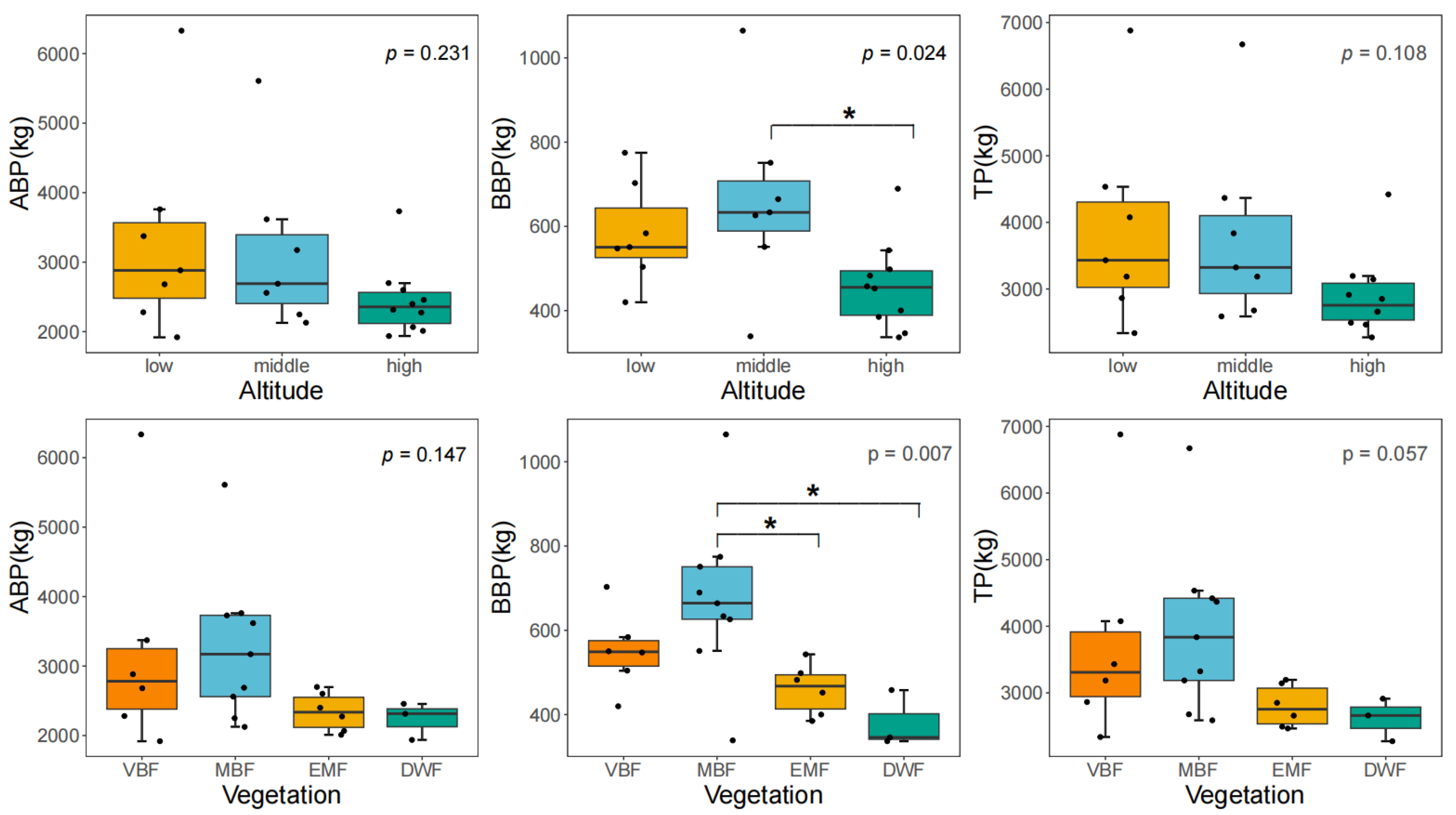
3.3. Relationship between Diversity and Forest Productivity across Altitude and Vegetation Classes
4. Discussion
4.1. The Effects of Biodiversity on Forest Productivity in Nanling Mountains
4.2. Altitudinal and Vegetation Effects on Forest Productivity
4.3. The Relative Influence of Productivity Explained by Different Groups of Predictors
5. Conclusions
Supplementary Materials
Author Contributions
Funding
Data Availability Statement
Acknowledgments
Conflicts of Interest
References
- Mori, A.S.; Lertzman, K.P.; Gustafsson, L. Biodiversity and ecosystem services in forest ecosystems: A research agenda for applied forest ecology. J. Appl. Ecol. 2017, 54, 12–27. [Google Scholar] [CrossRef]
- Van der Plas, F. Biodiversity and ecosystem functioning in naturally assembled communities. Biol. Rev. 2019, 94, 1220–1245. [Google Scholar] [CrossRef] [PubMed]
- Jing, X.; Sanders, N.J.; Shi, Y.; Chu, H.; Classen, A.T.; Zhao, K.; Chen, L.; Shi, Y.; Jiang, Y.; He, J.-S. The links between ecosystem multifunctionality and above- and belowground biodiversity are mediated by climate. Nat. Commun. 2015, 6, 8159. [Google Scholar] [CrossRef] [PubMed]
- McDowell, N.G.; Allen, C.D.; Anderson-Teixeira, K.; Aukema, B.H.; Bond-Lamberty, B.; Chini, L.; Clark, J.S.; Dietze, M.; Grossiord, C.; Hanbury-Brown, A.; et al. Pervasive shifts in forest dynamics in a changing world. Science 2020, 368, eaaz9463. [Google Scholar] [CrossRef] [PubMed]
- Isbell, F.; Gonzalez, A.; Loreau, M.; Cowles, J.; Díaz, S.; Hector, A.; Mace, G.M.; Wardle, D.A.; O’Connor, M.I.; Duffy, J.E.; et al. Linking the influence and dependence of people on biodiversity across scales. Nature 2017, 546, 65–72. [Google Scholar] [CrossRef]
- Willig, M.R. Biodiversity and Productivity. Science 2011, 333, 1709–1710. [Google Scholar] [CrossRef]
- Liang, J.; Crowther, T.W.; Picard, N.; Wiser, S.; Zhou, M.; Alberti, G.; Schulze, E.-D.; McGuire, A.D.; Bozzato, F.; Pretzsch, H.; et al. Positive biodiversity-productivity relationship predominant in global forests. Science 2016, 354, aaf8957. [Google Scholar] [CrossRef]
- Duffy, J.E.; Godwin, C.M.; Cardinale, B.J. Biodiversity effects in the wild are common and as strong as key drivers of productivity. Nature 2017, 549, 261–264. [Google Scholar] [CrossRef]
- Hagan, J.G.; Vanschoenwinkel, B.; Gamfeldt, L. We should not necessarily expect positive relationships between biodiversity and ecosystem functioning in observational field data. Ecol. Lett. 2021, 24, 2537–2548. [Google Scholar] [CrossRef]
- Fraser, L.H.; Pither, J.; Jentsch, A.; Sternberg, M.; Zobel, M.; Askarizadeh, D.; Bartha, S.; Beierkuhnlein, C.; Bennett, J.A.; Bittel, A.; et al. Worldwide evidence of a unimodal relationship between productivity and plant species richness. Science 2015, 349, 302–305. [Google Scholar] [CrossRef]
- Tilman, D.; Reich, P.B.; Knops, J.; Wedin, D.; Mielke, T.; Lehman, C. Diversity and Productivity in a Long-Term Grassland Experiment. Science 2001, 294, 843–845. [Google Scholar] [CrossRef] [PubMed]
- Thompson, P.L.; Guzman, L.M.; De Meester, L.; Horváth, Z.; Ptacnik, R.; Vanschoenwinkel, B.; Viana, D.S.; Chase, J.M. A process-based metacommunity framework linking local and regional scale community ecology. Ecol. Lett. 2020, 23, 1314–1329. [Google Scholar] [CrossRef] [PubMed]
- Gammal, J.; Hewitt, J.; Gladstone-Gallagher, R.; Thrush, S.; Douglas, E.; Lohrer, A.; Pilditch, C. Stressors Increase the Impacts of Coastal Macrofauna Biodiversity Loss on Ecosystem Multifunctionality. Ecosystems 2023, 26, 539–552. [Google Scholar] [CrossRef]
- Lefcheck, J.S.; Byrnes, J.E.K.; Isbell, F.; Gamfeldt, L.; Griffin, J.N.; Eisenhauer, N.; Hensel, M.J.S.; Hector, A.; Cardinale, B.J.; Duffy, J.E. Biodiversity enhances ecosystem multifunctionality across trophic levels and habitats. Nat. Commun. 2015, 6, 6936. [Google Scholar] [CrossRef] [PubMed]
- Ammer, C. Diversity and forest productivity in a changing climate. New Phytol. 2019, 221, 50–66. [Google Scholar] [CrossRef] [PubMed]
- Hooper, D.U.; Chapin III, F.S.; Ewel, J.J.; Hector, A.; Inchausti, P.; Lavorel, S.; Lawton, J.H.; Lodge, D.M.; Loreau, M.; Naeem, S. Effects of biodiversity on ecosystem functioning: A consensus of current knowledge. Ecol. Monogr. 2005, 75, 3–35. [Google Scholar] [CrossRef]
- Fotis, A.T.; Murphy, S.J.; Ricart, R.D.; Krishnadas, M.; Whitacre, J.; Wenzel, J.W.; Queenborough, S.A.; Comita, L.S. Above-ground biomass is driven by mass-ratio effects and stand structural attributes in a temperate deciduous forest. J. Ecol. 2018, 106, 561–570. [Google Scholar] [CrossRef]
- Sullivan, M.J.; Talbot, J.; Lewis, S.L.; Phillips, O.L.; Qie, L.; Begne, S.K.; Chave, J.; Cuni-Sanchez, A.; Hubau, W.; Lopez-Gonzalez, G. Diversity and carbon storage across the tropical forest biome. Sci. Rep. 2017, 7, 39102. [Google Scholar] [CrossRef]
- Ouyang, S.; Xiang, W.; Wang, X.; Xiao, W.; Chen, L.; Li, S.; Sun, H.; Deng, X.; Forrester, D.I.; Zeng, L.; et al. Effects of stand age, richness and density on productivity in subtropical forests in China. J. Ecol. 2019, 107, 2266–2277. [Google Scholar] [CrossRef]
- Chiang, J.-M.; Spasojevic, M.J.; Muller-Landau, H.C.; Sun, I.F.; Lin, Y.; Su, S.-H.; Chen, Z.-S.; Chen, C.-T.; Swenson, N.G.; McEwan, R.W. Functional composition drives ecosystem function through multiple mechanisms in a broadleaved subtropical forest. Oecologia 2016, 182, 829–840. [Google Scholar] [CrossRef]
- Mori, A.S. Environmental controls on the causes and functional consequences of tree species diversity. J. Ecol. 2018, 106, 113–125. [Google Scholar] [CrossRef]
- Mori, A.S.; Dee, L.E.; Gonzalez, A.; Ohashi, H.; Cowles, J.; Wright, A.J.; Loreau, M.; Hautier, Y.; Newbold, T.; Reich, P.B.; et al. Biodiversity–productivity relationships are key to nature-based climate solutions. Nat. Clim. Chang. 2021, 11, 543–550. [Google Scholar] [CrossRef]
- Homeier, J.; Leuschner, C. Factors controlling the productivity of tropical Andean forests: Climate and soil are more important than tree diversity. Biogeosciences 2021, 18, 1525–1541. [Google Scholar] [CrossRef]
- Forrester, D.I.; Bauhus, J. A Review of Processes Behind Diversity—Productivity Relationships in Forests. Curr. For. Rep. 2016, 2, 45–61. [Google Scholar] [CrossRef]
- Clark, J.S.; Iverson, L.; Woodall, C.W.; Allen, C.D.; Bell, D.M.; Bragg, D.C.; D’Amato, A.W.; Davis, F.W.; Hersh, M.H.; Ibanez, I.; et al. The impacts of increasing drought on forest dynamics, structure, and biodiversity in the United States. Glob. Chang. Biol. 2016, 22, 2329–2352. [Google Scholar] [CrossRef] [PubMed]
- Sagar, R.; Pandey, A.; Singh, J.S. Composition, species diversity, and biomass of the herbaceous community in dry tropical forest of northern India in relation to soil moisture and light intensity. Environmentalist 2012, 32, 485–493. [Google Scholar] [CrossRef]
- Anderson-Teixeira, K.J.; Herrmann, V.; Rollinson, C.R.; Gonzalez, B.; Gonzalez-Akre, E.B.; Pederson, N.; Alexander, M.R.; Allen, C.D.; Alfaro-Sánchez, R.; Awada, T.; et al. Joint effects of climate, tree size, and year on annual tree growth derived from tree-ring records of ten globally distributed forests. Glob. Chang. Biol. 2022, 28, 245–266. [Google Scholar] [CrossRef]
- He, M.; Pan, Y.; Zhou, G.; Barry, K.E.; Fu, Y.; Zhou, X. Grazing and global change factors differentially affect biodiversity-ecosystem functioning relationships in grassland ecosystems. Glob. Chang. Biol. 2022, 28, 5492–5504. [Google Scholar] [CrossRef]
- Hagedorn, F.; Gavazov, K.; Alexander, J.M. Above- and belowground linkages shape responses of mountain vegetation to climate change. Science 2019, 365, 1119–1123. [Google Scholar] [CrossRef]
- Mori, A.S.; Shiono, T.; Koide, D.; Kitagawa, R.; Ota, A.T.; Mizumachi, E. Community assembly processes shape an altitudinal gradient of forest biodiversity. Glob. Ecol. Biogeogr. 2013, 22, 878–888. [Google Scholar] [CrossRef]
- Souza, C.R.; Mariano, R.F.; Maia, V.A.; Pompeu, P.V.; Santos, R.M.d.; Fontes, M.A.L. Carbon stock and uptake in the high-elevation tropical montane forests of the threatened Atlantic Forest hotspot: Ecosystem function and effects of elevation variation. Sci. Total Environ. 2023, 882, 163503. [Google Scholar] [CrossRef] [PubMed]
- Li, T.; Wang, Q.; Liu, Y.; Lai, C.; Lu, H.; Qiu, Y.; Peng, L.; Tang, H. An exploration of sustainability versus productivity and ecological stability in planted and natural forests in Sichuan, China. Land Degrad. Dev. 2022, 33, 3641–3651. [Google Scholar] [CrossRef]
- Liu, M.; Zhang, G.; Yin, F.; Wang, S.; Li, L. Relationship between biodiversity and ecosystem multifunctionality along the elevation gradient in alpine meadows on the eastern Qinghai-Tibetan plateau. Ecol. Indic. 2022, 141, 109097. [Google Scholar] [CrossRef]
- Hao, M.; Zhang, C.; Zhao, X.; von Gadow, K. Functional and phylogenetic diversity determine woody productivity in a temperate forest. Ecol. Evol. 2018, 8, 2395–2406. [Google Scholar] [CrossRef] [PubMed]
- Paquette, A.; Messier, C. The effect of biodiversity on tree productivity: From temperate to boreal forests. Glob. Ecol. Biogeogr. 2011, 20, 170–180. [Google Scholar] [CrossRef]
- Malizia, A.; Blundo, C.; Carilla, J.; Osinaga Acosta, O.; Cuesta, F.; Duque, A.; Aguirre, N.; Aguirre, Z.; Ataroff, M.; Baez, S.; et al. Elevation and latitude drives structure and tree species composition in Andean forests: Results from a large-scale plot network. PLoS ONE 2020, 15, e0231553. [Google Scholar] [CrossRef] [PubMed]
- Xu, W.; González-Rodríguez, M.Á.; Li, Z.; Tan, Z.; Yan, P.; Zhou, P. Effects of Edaphic Factors at Different Depths on β-Diversity Patterns for Subtropical Plant Communities Based on MS-GDM in Southern China. Forests 2022, 13, 2184. [Google Scholar] [CrossRef]
- Luo, Y.; Wang, X.; Lu, F. Manual of Major Forest Tree Biomass Models in China; China Forestry Press: Beijing, China, 2015. [Google Scholar]
- Ma, Z. Carbon Reserves and Its Influence Factors of Castanopsis Forest in Guangzhou; Chinese Academy of Forestry Sciences: Beijing, China, 2020. [Google Scholar]
- Zhou, G.; Yin, G.; Tang, X. Carbon Reserves of Forest Ecosystem in China: Biomass Equation; Science Press: Beijing, China, 2018. [Google Scholar]
- Zuo, S.; Ren, Y.; Weng, X.; Ding, H.; Luo, Y. Biomass relative growth model of nine common tree species in subtropical evergreen broad-leaved forest. Chin. J. Appl. Ecol. 2015, 26, 356–362. [Google Scholar]
- Webb, C.O.; Ackerly, D.D.; Kembel, S.W. Phylocom: Software for the analysis of phylogenetic community structure and trait evolution. Bioinformatics 2008, 24, 2098–2100. [Google Scholar] [CrossRef]
- Zanne, A.E.; Tank, D.C.; Cornwell, W.K.; Eastman, J.M.; Smith, S.A.; FitzJohn, R.G.; McGlinn, D.J.; O’Meara, B.C.; Moles, A.T.; Reich, P.B. Three keys to the radiation of angiosperms into freezing environments. Nature 2014, 506, 89–92. [Google Scholar] [CrossRef]
- Faith, D.P. Conservation evaluation and phylogenetic diversity. Biol. Conserv. 1992, 61, 1–10. [Google Scholar] [CrossRef]
- Kembel, S.W.; Cowan, P.D.; Helmus, M.R.; Cornwell, W.K.; Morlon, H.; Ackerly, D.D.; Blomberg, S.P.; Webb, C.O. Picante: R tools for integrating phylogenies and ecology. Bioinformatics 2010, 26, 1463–1464. [Google Scholar] [CrossRef] [PubMed]
- Villéger, S.; Mason, N.W.H.; Mouillot, D. New multidimensional functional diversity indices for a multifaceted framework in functional ecology. Ecology 2008, 89, 2290–2301. [Google Scholar] [CrossRef] [PubMed]
- Laliberté, E.; Legendre, P. A distance-based framework for measuring functional diversity from multiple traits. Ecology 2010, 91, 299–305. [Google Scholar] [CrossRef] [PubMed]
- Laliberté, E.; Legendre, P.; Shipley, B.; Laliberté, M. Measuring Functional Diversity from Multiple Traits, and Other Tools for Functional Ecology. R Package FD 2014. Available online: https://www.imsbio.co.jp/RGM/R_rdfile?f=FD/man/FD-package.Rd&d=R_CC (accessed on 1 June 2023).
- Wilson, M.F.J.; O’Connell, B.; Brown, C.; Guinan, J.C.; Grehan, A.J. Multiscale Terrain Analysis of Multibeam Bathymetry Data for Habitat Mapping on the Continental Slope. Mar. Geod. 2007, 30, 3–35. [Google Scholar] [CrossRef]
- Hijmans, R.J. Raster: Geographic data analysis and modeling. R Package Version 2018, 2, 8. [Google Scholar]
- Xu, X. Monthly Spatial Interpolation Dataset of Meteorological Elements in China. Resour. Environ. Sci. Data Regist. Publ. Syst. 2022. [Google Scholar] [CrossRef]
- Fox, J.; Weisberg, S. An R Companion to Applied Regression; Sage Publications: Thousand Oaks, CA, USA, 2018. [Google Scholar]
- Lai, J.; Zou, Y.; Zhang, S.; Zhang, X.; Mao, L. glmm.hp: An R package for computing individual effect of predictors in generalized linear mixed models. J. Plant Ecol. 2022, 15, 1302–1307. [Google Scholar] [CrossRef]
- Rosseel, Y. lavaan: An R package for structural equation modeling. J. Stat. Softw. 2012, 48, 1–36. [Google Scholar] [CrossRef]
- R Core Team. R: A Language and Environment for Statistical Computing; R Foundation for Statistical Computing: Vienna, Austria, 2023. [Google Scholar]
- Qiao, X.; Zhang, N.; Zhang, C.; Zhang, Z.; Zhao, X.; von Gadow, K. Unravelling biodiversity–productivity relationships across a large temperate forest region. Funct. Ecol. 2021, 35, 2808–2820. [Google Scholar] [CrossRef]
- Wu, X.; Wang, X.; Wu, Y.; Xia, X.; Fang, J. Forest biomass is strongly shaped by forest height across boreal to tropical forests in China. J. Plant Ecol. 2015, 8, 559–567. [Google Scholar] [CrossRef]
- Chase, J.M.; Leibold, M.A. Spatial scale dictates the productivity–biodiversity relationship. Nature 2002, 416, 427–430. [Google Scholar] [CrossRef] [PubMed]
- Chisholm, R.A.; Muller-Landau, H.C.; Abdul Rahman, K.; Bebber, D.P.; Bin, Y.; Bohlman, S.A.; Bourg, N.A.; Brinks, J.; Bunyavejchewin, S.; Butt, N.; et al. Scale-dependent relationships between tree species richness and ecosystem function in forests. J. Ecol. 2013, 101, 1214–1224. [Google Scholar] [CrossRef]
- Hector, A.; Bagchi, R. Biodiversity and ecosystem multifunctionality. Nature 2007, 448, 188–190. [Google Scholar] [CrossRef] [PubMed]
- Loreau, M.; Hector, A. Partitioning selection and complementarity in biodiversity experiments. Nature 2001, 412, 72–76. [Google Scholar] [CrossRef] [PubMed]
- Cardinale, B.J.; Wright, J.P.; Cadotte, M.W.; Carroll, I.T.; Hector, A.; Srivastava, D.S.; Loreau, M.; Weis, J.J. Impacts of plant diversity on biomass production increase through time because of species complementarity. Proc. Natl. Acad. Sci. USA 2007, 104, 18123–18128. [Google Scholar] [CrossRef]
- Rusanov, A.G.; Bíró, T.; Kiss, K.T.; Buczkó, K.; Grigorszky, I.; Hidas, A.; Duleba, M.; Trábert, Z.; Földi, A.; Ács, É. Relative importance of climate and spatial processes in shaping species composition, functional structure and beta diversity of phytoplankton in a large river. Sci. Total Environ. 2022, 807, 150891. [Google Scholar] [CrossRef]
- Buckley, J.; Widmer, A.; Mescher, M.C.; De Moraes, C.M. Variation in growth and defence traits among plant populations at different elevations: Implications for adaptation to climate change. J. Ecol. 2019, 107, 2478–2492. [Google Scholar] [CrossRef]
- Maza, B.; Rodes-Blanco, M.; Rojas, E. Aboveground Biomass Along an Elevation Gradient in an Evergreen Andean–Amazonian Forest in Ecuador. Front. For. Glob. Chang. 2022, 5, 738585. [Google Scholar] [CrossRef]
- Beniston, M.; Diaz, H.F.; Bradley, R.S. Climatic change at high elevation sites: An overview. Clim. Chang. 1997, 36, 233–251. [Google Scholar] [CrossRef]
- Leuschner, C. Are high elevations in tropical mountains arid environments for plants? Ecology 2000, 81, 1425–1436. [Google Scholar] [CrossRef]
- Con, T.V.; Thang, N.T.; Ha, D.T.T.; Khiem, C.C.; Quy, T.H.; Lam, V.T.; Van Do, T.; Sato, T. Relationship between aboveground biomass and measures of structure and species diversity in tropical forests of Vietnam. For. Ecol. Manag. 2013, 310, 213–218. [Google Scholar] [CrossRef]
- Chesson, P. Mechanisms of maintenance of species diversity. Annu. Rev. Ecol. Syst. 2000, 31, 343–366. [Google Scholar] [CrossRef]
- Randall Hughes, A.; Byrnes, J.E.; Kimbro, D.L.; Stachowicz, J.J. Reciprocal relationships and potential feedbacks between biodiversity and disturbance. Ecol. Lett. 2007, 10, 849–864. [Google Scholar] [CrossRef] [PubMed]
- Wang, J.; Wang, X.; Ji, Y.; Gao, J. Climate factors determine the utilization strategy of forest plant resources at large scales. Front. Plant Sci. 2022, 13, 990441. [Google Scholar] [CrossRef] [PubMed]
- Liang, M.; Liu, X.; Parker, I.M.; Johnson, D.; Zheng, Y.; Luo, S.; Gilbert, G.S.; Yu, S. Soil microbes drive phylogenetic diversity-productivity relationships in a subtropical forest. Sci. Adv. 2019, 5, eaax5088. [Google Scholar] [CrossRef] [PubMed]
- Michelaki, C.; Fyllas, N.M.; Galanidis, A.; Aloupi, M.; Evangelou, E.; Arianoutsou, M.; Dimitrakopoulos, P.G. An integrated phenotypic trait-network in thermo-Mediterranean vegetation describing alternative, coexisting resource-use strategies. Sci. Total Environ. 2019, 672, 583–592. [Google Scholar] [CrossRef] [PubMed]
- Weemstra, M.; Zambrano, J.; Allen, D.; Umaña, M.N. Tree growth increases through opposing above-ground and below-ground resource strategies. J. Ecol. 2021, 109, 3502–3512. [Google Scholar] [CrossRef]
- Chase, J.M. Stochastic Community Assembly Causes Higher Biodiversity in More Productive Environments. Science 2010, 328, 1388–1391. [Google Scholar] [CrossRef]
- Steudel, B.; Hallmann, C.; Lorenz, M.; Abrahamczyk, S.; Prinz, K.; Herrfurth, C.; Feussner, I.; Martini, J.W.R.; Kessler, M. Contrasting biodiversity–ecosystem functioning relationships in phylogenetic and functional diversity. New Phytol. 2016, 212, 409–420. [Google Scholar] [CrossRef]
- Hussein, A. Links Between Biodiversity, Ecosystems Functions and Services: Systematic Review. Int. J. Ecotoxicol. Ecobiol. 2021, 6, 70–79. [Google Scholar] [CrossRef]




| Variables | Abbreviation | Units | Ecological Roles | |
|---|---|---|---|---|
| Stem Total Carbon content | stc | % | stem structure and function | 50.76 ± 0.78 |
| Stem Total Nitrogen content | stn | g/kg | plant growth and photosynthesis | 12.81 ± 0.62 |
| Stem Total Phosphorus content | stp | g/kg | reproduction and energy transfer | 1.25 ± 0.06 |
| Stem Total Potassium content | stk | k/kg | enzyme activation and the transport of nutrients and water | 7.08 ± 0.49 |
| Stem Sulphur content | ssc | g/kg | component of proteins | 1.79 ± 0.4 |
| Stem Calcium content | scc | g/kg | prevention of plant diseases and maintenance of cell structure | 15.63 ± 3.22 |
| Stem Magnesium content | smc | mg/kg | photosynthesis | 2.16 ± 0.28 |
| Stem Gross caloric value | sgc | KJ/g | energy content | 26.28 ± 1.88 |
| Stem Ash content | sac | % | inorganic mineral content | 7.33 ± 0.15 |
| Leaves Total Carbon content | ltc | % | leaves structure and photosynthesis | 50.76 ± 0.78 |
| Leaves Total Nitrogen content | ltn | g/kg | key component of chlorophyll, photosynthesis | 14.03 ± 0.6 |
| Leaves Total Phosphorus content | ltp | g/kg | energy transfer and metabolic processes | 1.37 ± 0.07 |
| Leaves Total Potassium content | ltk | k/kg | osmoregulation and stomatal control | 8.34 ± 0.75 |
| Leaves Sulphur content | lsc | g/kg | defense mechanisms | 2.25 ± 0.55 |
| Leaves Calcium content | lcc | g/kg | resistance | 19.82 ± 3.75 |
| Leaves Magnesium content | lmc | mg/kg | key component of chlorophyll, photosynthesis | 2.56 ± 0.3 |
| Leaves Gross caloric value | lgc | KJ/g | energy content | 19.29 ± 2.19 |
| Leaves Ash content | lac | % | inorganic mineral content | 8.22 ± 0.31 |
| Roots Total Carbon content | rtc | % | energy storage and resource acquisition of roots | 50.67 ± 0.88 |
| Roots Total Nitrogen content | rtn | g/kg | nutrient uptake and plant growth | 11.89 ± 0.67 |
| Roots Total Phosphorus content | rtp | g/kg | energy transfer, nutrient uptake, and root growth | 1.14 ± 0.06 |
| Roots Total Potassium content | rtk | k/kg | water and nutrient uptake, osmoregulation | 6.33 ± 0.49 |
| Roots Sulphur content | rsc | g/kg | resistance and mycorrhiza fungi | 1.48 ± 0.38 |
| Roots Calcium content | rcc | g/kg | root development | 14.23 ± 3.27 |
| Roots Magnesium content | rmc | mg/kg | metabolic processes | 1.88 ± 0.33 |
| Roots Gross caloric value | rgc | KJ/g | energy content | 21.1 ± 2.04 |
| Roots Ash content | rac | % | inorganic mineral content | 6.68 ± 0.17 |
| Variables | ABP | BBP | TP | |||||||
|---|---|---|---|---|---|---|---|---|---|---|
| Coefficient | R2 | p-Val. | Coefficient | R2 | p-Val. | Coefficient | R2 | p-Val. | ||
| ENV | mnp | 0.29 | 0.08 | 0.16 | 0.2 | 0.04 | 0.33 | 0.29 | 0.09 | 0.17 |
| min_JAN | 0.27 | 0.07 | 0.21 | 0.18 | 0.03 | 0.41 | 0.26 | 0.07 | 0.21 | |
| slope | 0.11 | 0.01 | 0.6 | 0.07 | 0.005 | 0.75 | 0.11 | 0.01 | 0.6 | |
| sn_aspect | −0.11 | 0.01 | 0.63 | −0.08 | 0.007 | 0.7 | −0.11 | 0.01 | 0.62 | |
| we_aspect | −0.21 | 0.04 | 0.33 | −0.23 | 0.05 | 0.27 | −0.22 | 0.04 | 0.31 | |
| TPI | −0.1 | 0.1 | 0.63 | −0.13 | 0.02 | 0.54 | −0.11 | 0.01 | 0.61 | |
| TRI | 0.11 | 0.01 | 0.61 | 0.21 | 0.05 | 0.32 | 0.13 | 0.02 | 0.55 | |
| TD | DS | 0.29 | 0.08 | 0.17 | 0.54 | 0.29 | 0.01 * | 0.34 | 0.11 | 0.11 |
| J | 0.28 | 0.08 | 0.18 | 0.56 | 0.31 | 0.004 | 0.33 | 0.11 | 0.11 | |
| S | 0.21 | 0.04 | 0.33 | 0.41 | 0.17 | 0.05 | 0.24 | 0.06 | 0.25 | |
| PD | pd | 0.01 | 0.001 | 0.9 | 0.17 | 0.03 | 0.43 | 0.14 | 0.01 | 0.9 |
| mpd | −0.26 | 0.07 | 0.21 | −0.14 | 0.02 | 0.5 | −0.26 | 0.07 | 0.22 | |
| mntd | −0.32 | 0.1 | 0.13 | −0.63 | 0.39 | 0.001 ** | −0.37 | 0.14 | 0.07 | |
| FD | FEve | −0.11 | 0.01 | 0.61 | 0.04 | 0.001 | 0.85 | 0.09 | 0.001 | 0.66 |
| FDiv | −0.002 | 0.001 | 0.9 | −0.23 | 0.06 | 0.26 | −0.03 | 0.001 | 0.89 | |
| FDis | −0.45 | 0.21 | 0.03 * | −0.63 | 0.4 | <0.001 *** | −0.5 | 0.25 | 0.01 * | |
| CWM | CWM.stn | 0.42 | 0.18 | 0.04 * | 0.67 | 0.45 | 0.001 ** | 0.47 | 0.22 | 0.02 * |
| CWM.stp | −0.003 | 0.001 | 0.9 | −0.27 | 0.08 | 0.2 | −0.04 | 0.002 | 0.9 | |
| CWM.stk | 0.1 | 0.01 | 0.65 | 0.31 | 0.1 | 0.15 | 0.13 | 0.02 | 0.54 | |
| CWM.sgc | 0.04 | 0.001 | 0.9 | −0.01 | 0.001 | 0.9 | 0.03 | 0.001 | 0.9 | |
| CWM.ltc | −0.04 | 0.002 | 0.84 | −0.22 | 0.05 | 0.29 | −0.07 | 0.01 | 0.74 | |
| CWM.ltn | 0.28 | 0.08 | 0.17 | 0.51 | 0.26 | 0.01 * | 0.33 | 0.11 | 0.11 | |
| CWM.rtc | −0.16 | 0.02 | 0.46 | −0.27 | 0.07 | 0.2 | −0.18 | 0.03 | 0.4 | |
| CWM.rtn | 0.5 | 0.25 | 0.01 * | 0.63 | 0.4 | <0.001 *** | 0.54 | 0.29 | 0.01 * | |
| CWM.rtp | 0.17 | 0.03 | 0.43 | −0.02 | 0.001 | 0.9 | 0.15 | 0.02 | 0.5 | |
| CWM.rgc | 0.17 | 0.03 | 0.42 | 0.18 | 0.03 | 0.4 | 0.18 | 0.03 | 0.4 | |
| Variable | VIF | ABP | BBP | TP | ||||||
|---|---|---|---|---|---|---|---|---|---|---|
| Coefficient | Individual Effect (%) | p-Value | Coefficient | Individual Effect (%) | p-Value | Coefficient | Individual Effect (%) | p-Value | ||
| ENV | 1.31 | 0.002 | 0.18 | 0.90 | −0.01 | 2.59 | 0.48 | 0.03 | 51.52 | 0.08 |
| TD | 2.27 | 0.06 | 45.01 | 0.06 | 0.09 | 79.3 | 0.001 *** | 0.03 | 11.43 | 0.40 |
| PD | 1.28 | −0.09 | 26.8 | 0.04 * | −0.14 | 26.1 | 0.001 *** | −0.05 | 9.27 | 0.30 |
| FD | 1.32 | −0.11 | 18.73 | 0.04 * | −0.11 | 0.81 | 0.01 ** | 0.003 | 7.39 | 0.96 |
| CWM | 2.44 | −0.002 | 0.35 | 0.86 | −0.01 | 1.43 | 0.60 | 0.006 | 2 | 0.72 |
| R2 | 0.27 | 0.46 | 0.22 | |||||||
Disclaimer/Publisher’s Note: The statements, opinions and data contained in all publications are solely those of the individual author(s) and contributor(s) and not of MDPI and/or the editor(s). MDPI and/or the editor(s) disclaim responsibility for any injury to people or property resulting from any ideas, methods, instructions or products referred to in the content. |
© 2024 by the authors. Licensee MDPI, Basel, Switzerland. This article is an open access article distributed under the terms and conditions of the Creative Commons Attribution (CC BY) license (https://creativecommons.org/licenses/by/4.0/).
Share and Cite
Xu, W.; Zhou, P.; González-Rodríguez, M.Á.; Tan, Z.; Li, Z.; Yan, P. Changes in Relationship between Forest Biomass Productivity and Biodiversity of Different Type Subtropical Forests in Southern China. Forests 2024, 15, 410. https://doi.org/10.3390/f15030410
Xu W, Zhou P, González-Rodríguez MÁ, Tan Z, Li Z, Yan P. Changes in Relationship between Forest Biomass Productivity and Biodiversity of Different Type Subtropical Forests in Southern China. Forests. 2024; 15(3):410. https://doi.org/10.3390/f15030410
Chicago/Turabian StyleXu, Wei, Ping Zhou, Miguel Ángel González-Rodríguez, Zhaowei Tan, Zehua Li, and Ping Yan. 2024. "Changes in Relationship between Forest Biomass Productivity and Biodiversity of Different Type Subtropical Forests in Southern China" Forests 15, no. 3: 410. https://doi.org/10.3390/f15030410
APA StyleXu, W., Zhou, P., González-Rodríguez, M. Á., Tan, Z., Li, Z., & Yan, P. (2024). Changes in Relationship between Forest Biomass Productivity and Biodiversity of Different Type Subtropical Forests in Southern China. Forests, 15(3), 410. https://doi.org/10.3390/f15030410

