How Does the Mulching Management of Phyllostachys Praecox Affect Soil Enzyme Activity and Microbial Nutrient Limitation in Karst Bamboo Forest Ecosystems?
Abstract
1. Introduction
2. Materials and Methods
2.1. Study Description
2.2. Experimental Design and Soil Sampling
2.3. Determination of Indices of Soil Properties
2.4. Soil Stoichiometric Ratio and Microbial Nutrient Limitation
2.5. Statistical Analyses
3. Results
3.1. Soil Physicochemical Properties and Microbial Biomass C, N, and P
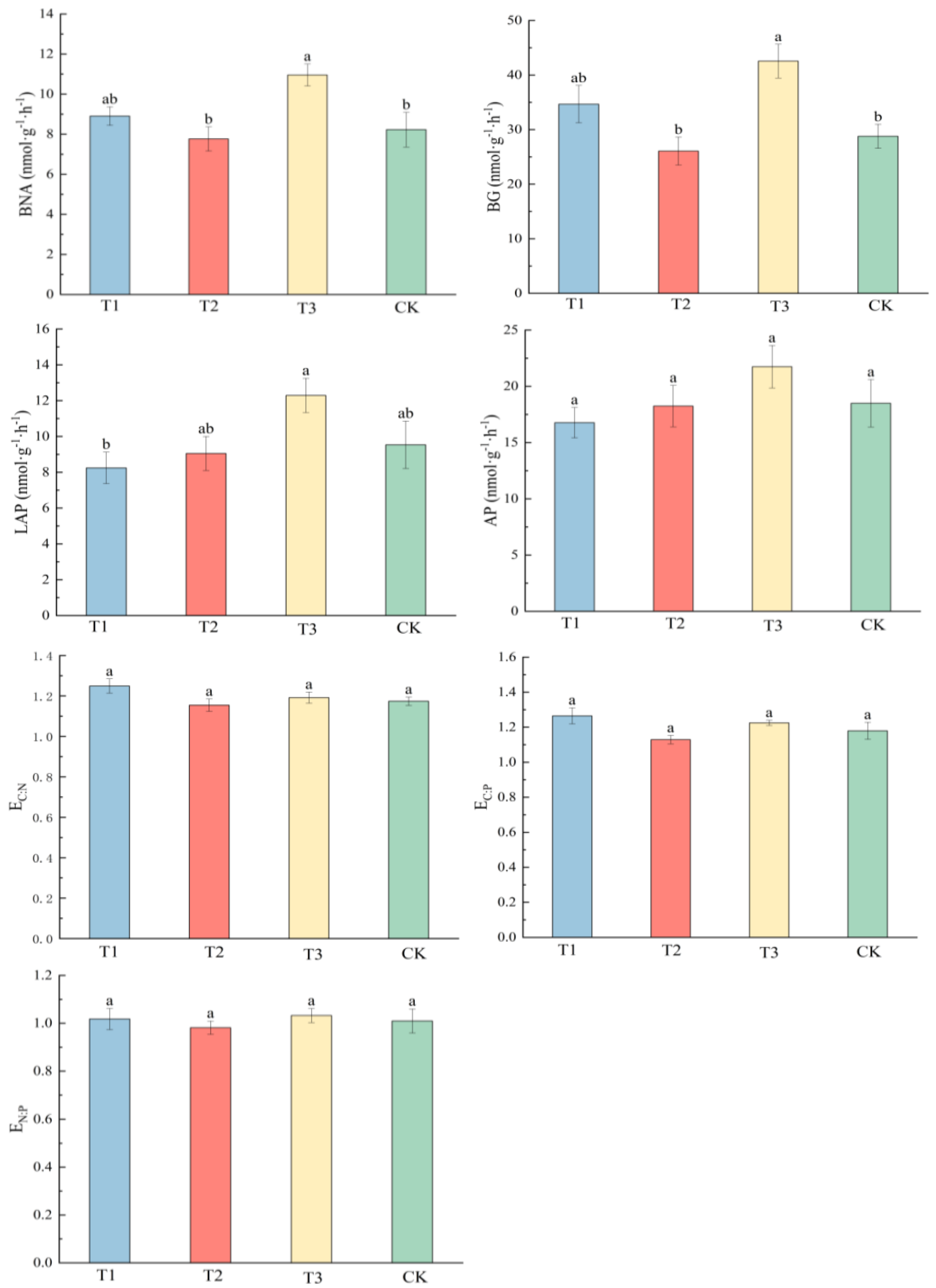
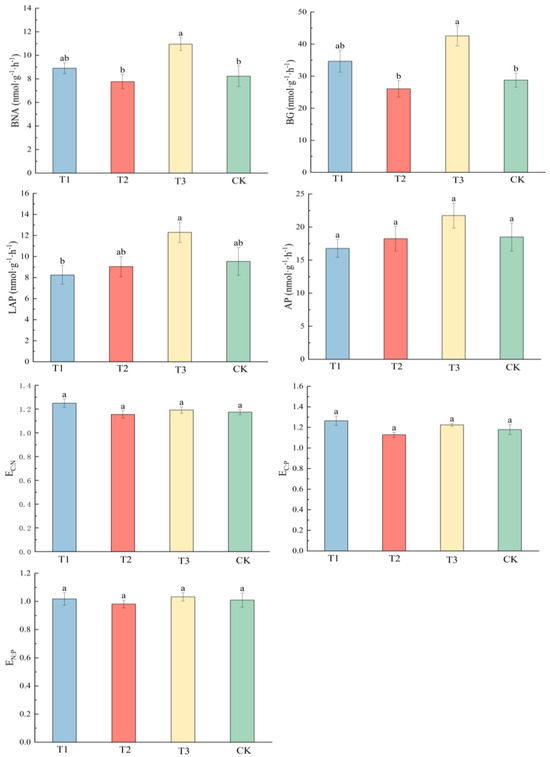
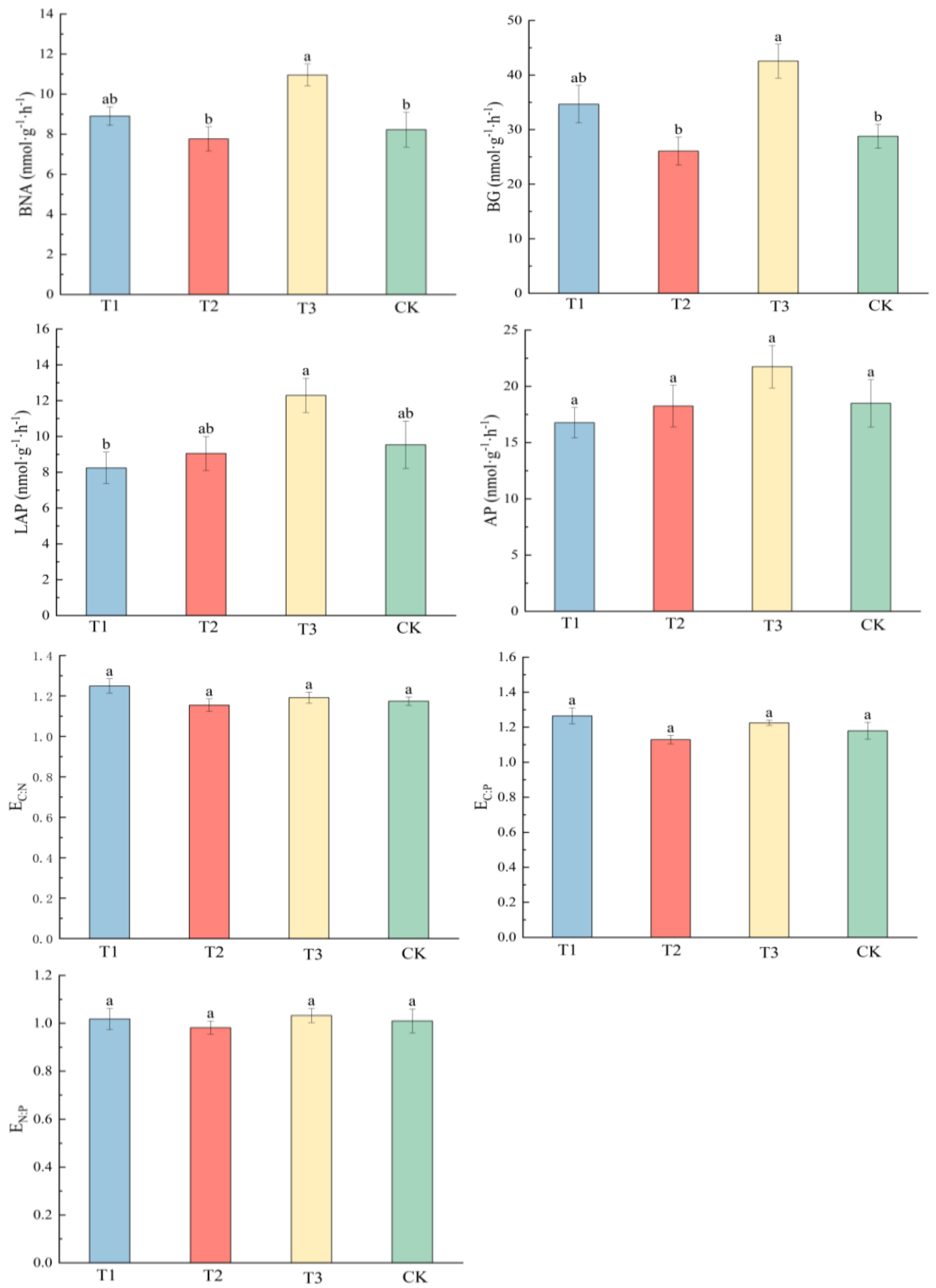
3.2. Soil Extracellular Enzyme Activity and Stoichiometry
3.3. Soil Microbial Nutrient Limitation
3.4. Pivotal Factors Impacting Soil Microbial Nutrient Limitation
4. Discussion
4.1. Ecological Stoichiometric Characteristics of Soil C, N and P for the Different Phyllostachys Praecox Mulching Management Practices
4.2. Soil Enzyme Stoichiometry and Microbial Nutrient Limitations for the Different Phyllostachys Praecox Mulching Managements
4.3. Driving Factors Influencing Soil Enzyme Stoichiometry and Microbial Nutrient Limitations in the Different Phyllostachys Praecox Mulching Managements
5. Conclusions
Author Contributions
Funding
Data Availability Statement
Conflicts of Interest
References
- Zhang, J.F.; Liu, J.K.; Hyde, K.D.; Yang, W.; Liu, Z.Y. Fungi from Asian Karst formations II. Two new species of Occultibambusa from karst landforms of China. Mycosphere 2017, 8, 550–559. [Google Scholar] [CrossRef]
- Zhang, Y.; Fu, B.L.; Sun, X.D.; Yao, H.; Zhang, S.R.; Wu, Y.; Kuang, H.Y.; Deng, T.F.; Mao, D.H.; Chen, C.; et al. Effects of Multi-Growth Periods UAV Images on Classifying Karst Wetland Vegetation Communities Using Object-Based Optimization Stacking Algorithm. Remote Sens. 2023, 15, 4003. [Google Scholar] [CrossRef]
- Qin, Y.B.; Xin, Z.B.; Wang, D.M.; Xiao, Y.L. Soil organic carbon storage and its influencing factors in the riparian woodlands of a Chinese karst area. Catena 2017, 153, 21–29. [Google Scholar] [CrossRef]
- Su, X.Y.; Gao, G.; Huang, X.M.; Wang, Y.; Zhang, W.; Yan, J.L.; Shen, W.J.; You, Y.M. Vegetation Restoration with Mixed N2-Fixer Tree Species Alleviates Microbial C and N Limitation in Surface Soil Aggregates in South Subtropical Karst Area, China. Forests 2022, 13, 1701. [Google Scholar] [CrossRef]
- Haevermans, T.; Mantuano, D.; Zhou, M.Y.; Lamxay, V.; Haevermans, A.; Blanc, P.; Li, D.Z. Discovery of the first succulent bamboo (Poaceae, Bambusoideae) in a new genus from Laos’ karst areas, with a unique adaptation to seasonal drought. Phytokeys 2020, 156, 125–137. [Google Scholar] [CrossRef]
- Hu, L.N.; Liu, X.H.; Xie, Y.Q.; Zeng, Y.C.; Ou, H.P.; Yu, Y.F.; He, T.G. Bamboo charcoal application altered the mineralization process of soil organic carbon in different succession stages of karst forest land. Front. Environ. Sci. 2024, 12, 1411122. [Google Scholar] [CrossRef]
- Jiang, R.; Lin, J.Y.; Zhang, X.W.; Kang, M.Q. Investigating changes of forest aboveground biomass induced by Moso bamboo expansion with terrestrial laser scanner. Ecol. Inform. 2024, 83, 102812. [Google Scholar] [CrossRef]
- Chen, Z.D.; Xu, X.Y.; Wu, Z.Z.; Huang, Z.Y.; Gao, G.B.; Zhang, J.; Zhang, X.P. Native Bamboo (Indosasa shibataeoides McClure) Invasion of Broadleaved Forests Promotes Soil Organic Carbon Sequestration in South China Karst. Forests 2023, 14, 2135. [Google Scholar] [CrossRef]
- Chu, H.Y.; Su, W.H.; Zhou, Y.Q.; Wang, Z.Y.; Long, Y.M.; Sun, Y.T.; Fan, S.H. Enzyme Activity Stoichiometry Suggests That Fertilization, Especially Nitrogen Fertilization, Alleviates Nutrient Limitation of Soil Microorganisms in Moso Bamboo Forests. Forests 2024, 15, 1040. [Google Scholar] [CrossRef]
- Luo, W.X.; Zhang, Q.Y.; Wang, P.; Luo, J.; She, C.Y.; Guo, X.M.; Yuan, J.J.; Sun, Y.H.; Guo, R.M.; Li, Z.F.; et al. Unveiling the impacts moso bamboo invasion on litter and soil properties: A meta-analysis. Sci. Total Environ. 2024, 909, 168532. [Google Scholar] [CrossRef]
- She, C.Y.; Yu, Y.L.; Wan, M.J.; Abubakar, A.A.; Luo, W.X.; Liu, J.C.; Tao, J.P. Forest Canopy Structures and Bamboo Rhizome Internodes Impact the Appearance Quality of Bamboo Shoots. Forests 2023, 14, 2435. [Google Scholar] [CrossRef]
- Li, S.; Sheng, M.Y.; Yuan, F.Y.; Yin, J. Effect of land cover change on total SOC and soil PhytOC accumulation in the karst subtropical forest ecosystem, SW China. J. Soils Sediments 2021, 21, 2566–2577. [Google Scholar] [CrossRef]
- Zhao, Y.; Han, Z.; Zhang, G.; Chen, D.; Zang, L.; Liu, Q.; Guo, Y.; Xie, P.; Chen, H.; He, Y. Variability of soil enzyme activities and nutrients with forest gap renewal interacting with soil depths in degraded karst forests. Ecol. Indic. 2024, 166, 112332. [Google Scholar] [CrossRef]
- Ziomek, A.S.; Tomaszewska, R.K. Responses of Soil Enzymes Activities to Sprinkler Irrigation and Differentiated Nitrogen Fertilization in Barley Cultivation. Agriculture 2024, 14, 1255. [Google Scholar] [CrossRef]
- Cui, Y.; Fang, L.; Guo, X.; Han, F.; Ju, W.; Ye, L.; Wang, X.; Tan, W.; Zhang, X. Natural grassland as the optimal pattern of vegetation restoration in arid and semi-arid regions: Evidence from nutrient limitation of soil microbes. Sci. Total Environ. 2019, 648, 388–397. [Google Scholar] [CrossRef]
- Zhang, S.; Xu, Y.; Zheng, M.; Yang, W.; Wang, Y.; Liu, S.; Zhao, Y.; Cha, X.; Zhao, F.; Han, X.; et al. Regulation of nutrient addition-induced priming effect by both soil C accessibility and nutrient limitation in afforested ecosystem. Catena 2024, 238, 107889. [Google Scholar] [CrossRef]
- Zhang, Z.; Zhao, Y.; Li, Z.; Wang, H.; Li, Z.; Chen, Y.; Li, B.L. Vegetation drives soil microbial metabolic limitation through modifications of soil properties and microbial biomass during desert grassland-shrubland state anthropogenic transition. Appl. Soil Ecol. 2024, 202, 105609. [Google Scholar] [CrossRef]
- Yumei, L.; Ana, R.; Ning, W. Decay processes in Salix psammophila sand barriers increase soil microbial element stoichiomery ratios. Front. Environ. Sci. 2022, 10, 1015821. [Google Scholar]
- Carrino-Kyker, S.R.; Parker, A.L.; Medeiros, J.S.; Hewins, C.R.; Novotny, G.R.; Krebs, S.L.; Burke, D.J. Soil microbial communities alter resource allocation in Fagus grandifolia when challenged with a pathogen. Symbiosis 2024, 92, 231–244. [Google Scholar] [CrossRef]
- Yang, X.; Shang, L.L.; Liu, X.E.; Yang, S.M.; Tian, G.L. Changes in bamboo fiber subjected to different chemical treatments and freeze-drying as measured by nanoindentation. J. Wood Sci. 2017, 63, 24–30. [Google Scholar] [CrossRef]
- Moorhead, D.L.; Sinsabaugh, R.L.; Hill, B.H.; Weintraub, M.N. Vector analysis of ecoenzyme activities reveal constraints on coupled C, N and P dynamics. Soil Biol. Biochem. 2016, 93, 1–7. [Google Scholar] [CrossRef]
- Mori, T.; Rosinger, C.; Margenot, A.J. Enzymatic C:N:P stoichiometry: Questionable assumptions and inconsistencies to infer soil microbial nutrient limitation. Geoderma 2023, 429, 116242. [Google Scholar] [CrossRef]
- Luo, W.X.; Ma, Y.X.; Luo, J.; Han, S.X.; Sun, C.X.; You, Z.Y.; Du, H.H.; Li, Z.F.; Liu, J.C.; Tao, J.P. Understory bamboo removal impacts on woody seedling regeneration in forest ecosystems: A meta-analysis. Ecol. Process. 2024, 13, 47. [Google Scholar] [CrossRef]
- Haifeng, Z.; Lars, V.; Kappel, S.I.; Johannes, R. Ecoenzymatic stoichiometry can reflect microbial resource limitation, substrate quality, or both in forest soils. Soil Biol. Biochem. 2022, 167, 108613. [Google Scholar]
- Lu, X.Q.; Toda, H.; Ding, F.J.; Fang, S.Z.; Yang, W.X.; Xu, H.G. Effect of vegetation types on chemical and biological properties of soils of karst ecosystems. Eur. J. Soil Biol. 2014, 61, 49–57. [Google Scholar] [CrossRef]
- Khamare, Y.; Marble, S.C. Mulching as a weed management tool in container plant production—Review. Front. Agron. 2023, 5, 1235196. [Google Scholar] [CrossRef]
- Shaikh, T.N.; Patel, J.R.; Patel, B.H. Mulching effect on water management in agro-ecological system: A review. Aqua-Water Infrastruct. Ecosyst. Soc. 2023, 72, 1664–1680. [Google Scholar] [CrossRef]
- Hong, Y.Z.; Wang, S.Q.; Feng, J.; Liang, Y. Effect of Mulching on Soil Temperatures and Its Impact on and Clubroot. Plant Dis. 2023, 107, 3731–3736. [Google Scholar] [CrossRef]
- Ai, L.; Dai, Y.X.; Chen, F.; Zhang, J.J.; Ma, J.M.; Bai, K.D.; Yang, Z.Q.; Yang, H. Dynamic changes of soil metabolite profiles during Moso bamboo expansion into adjacent planted forests in a typical karst river basin, South China. Appl. Soil Ecol. 2024, 203, 105671. [Google Scholar] [CrossRef]
- Feng, Y.; Hao, W.P.; Gao, L.L.; Li, H.R.; Gong, D.Z.; Cui, N.B. Comparison of maize water consumption at different scales between mulched and non-mulched croplands. Agric. Water Manag. 2019, 216, 315–324. [Google Scholar] [CrossRef]
- He, H.J.; Wang, Z.H.; Guo, L.; Zheng, X.R.; Zhang, J.Z.; Li, W.H.; Fan, B.H. Distribution characteristics of residual film over a cotton field under long-term film mulching and drip irrigation in an oasis agroecosystem. Soil Tillage Res. 2018, 180, 194–203. [Google Scholar] [CrossRef]
- Li, Y.H.; Ma, G.Z.; Zhou, Q.H.; Li, Y.B.; Huang, Z.H. Nutrient contents predict the bamboo-leaf-based diet of Assamese macaques living in limestone forests of southwest Guangxi, China. Ecol. Evol. 2020, 10, 5570–5581. [Google Scholar] [CrossRef] [PubMed]
- Hao, A.B.; Yin, C.B.; Léonard, A.; Dogot, T. Cost-Benefit Analysis of Mulch Film Management and Its Policy Implications in Northern China. Agriculture 2024, 14, 1081. [Google Scholar] [CrossRef]
- Shcherbatyuk, N.; Wortman, S.E.; McFadden, D.; Weiss, B.; Weyers, S.; Ahmad, W.; Bajwa, D.S.; Galinato, S.P.; Formiga, A.; Gramig, G.; et al. Alternative and Emerging Mulch Technologies for Organic and Sustainable Agriculture in the United States: A Review. Hortscience 2024, 59, 1524–1533. [Google Scholar] [CrossRef]
- Xiao, R.; Duan, B.; Dai, C.; Wu, Y. Soil Enzyme Activities and Microbial Nutrient Limitation of Various Temperate Forest Types in Northeastern China. Forests 2024, 15, 1815. [Google Scholar] [CrossRef]
- Hongwei, X.; Qing, Q.; Zhanhui, W.; Sha, X.; Zhenfeng, X. Plant-soil-enzyme C-N-P stoichiometry and microbial nutrient limitation responses to plant-soil feedbacks during community succession: A 3-year pot experiment in China. Front. Plant Sci. 2022, 13, 1009886. [Google Scholar]
- Bao, S.D. Soil Agrochemical Analysis; China Agricultural Press: Beijing, China, 2000; pp. 176–185. [Google Scholar]
- Xu, W.; Zhang, Y.; Tahir, A.; Cao, Y.; Kuang, C.; Guo, X.; Sun, R.; Liu, W.; Wu, Z.; Yang, Q. Rubber-Based Agroforestry Ecosystems Enhance Soil Enzyme Activity but Exacerbate Microbial Nutrient Limitations. Forests 2024, 15, 1827. [Google Scholar] [CrossRef]
- Yu, H.; Cui, H.; Chen, J.; Li, X. The herbicidal activity of pre-emergence herbicide cinmethylin and its potential risks on soil ecology: pH, enzyme activities and bacterial community. Environ. Microbiome 2024, 19, 66. [Google Scholar] [CrossRef]
- Wang, Y.; Tian, Z.; Li, X.; Zhang, M.; Fang, Y.; Xiang, Y.; Liu, Y.; Liu, E.; Jia, Z.; Siddique, K.H.M.; et al. Straw-derived biochar regulates soil enzyme activities, reduces greenhouse gas emissions, and enhances carbon accumulation in farmland under mulching. Field Crops Res. 2024, 317, 109547. [Google Scholar] [CrossRef]
- Zhang, Y.; Wang, G.; Liu, Y.; Xu, B.; Zheng, H.; Tian, D.; Guo, J.; Su, J.; Ma, Z.; Zhou, F.; et al. Effects of Restricted Irrigation and Straw Mulching on Corn Quality, Soil Enzyme Activity, and Water Use Efficiency in West Ordos. Agronomy 2024, 14, 1691. [Google Scholar] [CrossRef]
- Taiki, M. Microbial nutrient limitation in tropical forest soils determined using the V-T model contradicts the traditional view that C is the major limiting element. Tropics 2022, 31, 59–63. [Google Scholar]
- Zhang, F.; Li, M.; Qi, J.H.; Li, F.M.; Sun, G.J. Plastic Film Mulching Increases Soil Respiration in Ridge-furrow Maize Management. Arid Land Res. Manag. 2015, 29, 432–453. [Google Scholar] [CrossRef]
- Taak, P.; Koul, B.; Chopra, M.; Sharma, K. Comparative assessment of mulching and herbicide treatments for weed management in (Bertoni) cultivation. S. Afr. J. Bot. 2021, 140, 303–311. [Google Scholar] [CrossRef]
- Natalia, R.-F.C.; Joanna, P.; Jacobo, M.; Noemí, G.M.; Ximena, F.-M.; Andrea, M. Terrigenous dissolved organic matter input and nutrient-light-limited conditions on the winter microbial food web of the Beagle Channel. J. Mar. Syst. 2023, 239, 103860. [Google Scholar]
- Madrid, B.; Goldberger, J.R.; Miles, C.A.; DeVetter, L.W. Risk and uncertainty of plastic mulch adoption in raspberry production systems. Renew. Agric. Food Syst. 2022, 37, 660–671. [Google Scholar] [CrossRef]
- Xu, J.Y.; Ji, N.; Wang, R.; Ma, C.; Lei, J.Q.; Zhang, N.; Liu, R.C.; Deng, Y.B. Study on the Regulation Mechanism of 1-MCP Combined with SO2 Treatment on Postharvest Senescence of Bamboo Shoots in Karst Mountain Area. Agronomy 2023, 13, 1122. [Google Scholar] [CrossRef]
- Li, W.C.; Tian, X.L.; Sheng, H.Y.; Ekawati, D.; Zhou, Y.; Zhang, R. Response of bacterial compositions to soil biochemical properties under mulching-intensive management in a forest. Appl. Soil Ecol. 2020, 150, 103436. [Google Scholar] [CrossRef]
- Tarrant, A.R.; Brainard, D.C.; Hayden, Z.D. Cover Crop Performance between Plastic-mulched Beds: Impacts on Weeds and Soil Resources. Hortscience 2020, 55, 1069–1077. [Google Scholar] [CrossRef]
- Lu, L.; Huaiqiang, L.; Taogetao, B. Mowing Increases Root-to-Shoot Ratio but Decreases Soil Organic Carbon Storage and Microbial Biomass C in a Semiarid Grassland of North China. Agriculture 2022, 12, 1324. [Google Scholar] [CrossRef]
- Li, C.F.; Duan, L.X.; Li, Z.W.; Xu, X.L.; Wang, K.L. Tillage practice greatly influence the temporal variation in magnetic susceptibility in karst depression over the past 60 years. Geoderma 2024, 442, 116797. [Google Scholar] [CrossRef]
- Mairata, A.; Pou, A.; Martínez, J.; Puelles, M.; Labarga, D.; Portu, J. Organic mulches slightly influence the wine phenolic profile and sensory evaluation. Food Chem. 2024, 457, 140045. [Google Scholar] [CrossRef] [PubMed]
- Kumar, B.R.M.; Angadi, S.S. Effect of tillage, mulching and weed management practices on the performance and economics of chickpea. Legume Res. 2016, 39, 786–791. [Google Scholar] [CrossRef]
- Yu, P.J.; Li, Y.X.; Liu, S.W.; Liu, J.L.; Ding, Z.; Ma, M.G.; Tang, X.G. Afforestation influences soil organic carbon and its fractions associated with aggregates in a karst region of Southwest China. Sci. Total Environ. 2022, 814, 152710. [Google Scholar] [CrossRef] [PubMed]
- Zaid, F.; Awwal, N.A.; Yang, J.; Anderson, S.H.; Alsunuse, B.T.B. Effects of Biochar-Amended Composts on Selected Enzyme Activities in Soils. Processes 2024, 12, 1678. [Google Scholar] [CrossRef]
- Xiao, H.; Rong, Y.P.; Li, P.Z.; Liu, Y.L. Soil moisture drives the response of soil microbial nutrient limitation to N and P additions in an Inner Mongolian meadow steppe. Eur. J. Soil Biol. 2024, 120, 103601. [Google Scholar] [CrossRef]
- Zhuang, S.Y.; Sun, X.; Liu, G.Q.; Wong, M.H.; Cao, Z.H. Carbon Sequestration in Bamboo Plantation Soil with Heavy Winter Organic Mulching Management. Bot. Rev. 2011, 77, 252–261. [Google Scholar] [CrossRef]
- Luo, H.; Yu, J.; Li, R.; Gu, J.D.; Luo, L.; Zhang, Y.; He, Y.; Xiao, Y.; Deng, S.; Zhang, Y.; et al. Microbial biomass C:N:P as a better indicator than soil and ecoenzymatic C:N:P for microbial nutrient limitation and C dynamics in Zoige Plateau peatland soils. Int. Biodeterior. Biodegrad. 2022, 175, 105492. [Google Scholar] [CrossRef]
- Jain, N.K.; Meena, H.N.; Bhaduri, D. Improvement in Productivity, Water-Use Efficiency, and Soil Nutrient Dynamics of Summer Peanut through Use of Polythene Mulch, Hydrogel, and Nutrient Management. Commun. Soil Sci. Plant Anal. 2017, 48, 549–564. [Google Scholar] [CrossRef]
- Amit, K.; Johanna, P. Microbial nutrient limitation and catalytic adjustments revealed from a long-term nutrient restriction experiment. J. Sustain. Agric. Environ. 2022, 1, 142–148. [Google Scholar]
- Du, Y.; Wei, Y.; Zhou, Y.; Wang, Y.; Zhang, A.; Wang, T.; Li, Z. Temporal variation of microbial nutrient limitation in citrus plantations: Insights from soil enzyme stoichiometry. Environ. Res. 2024, 258, 119275. [Google Scholar] [CrossRef]
- Xu, M.; Li, W.; Wang, J.; Zhu, Y.; Feng, Y.; Yang, G.; Zhang, W.; Han, X. Soil ecoenzymatic stoichiometry reveals microbial phosphorus limitation after vegetation restoration on the loess plateau, China. Sci. Total Environ. 2022, 815, 152918. [Google Scholar] [CrossRef] [PubMed]
- Yu, P.J.; Tang, H.Y.; Sun, X.Z.; Shi, W.Y.; Pan, J.J.; Liu, S.W.; Jia, H.T.; Ding, Z.; Tang, X.G.; Chen, M. Afforestation alters soil microbial community composition and reduces microbial network complexity in a karst region of Southwest China. Land Degrad. Dev. 2024, 35, 2926–2939. [Google Scholar] [CrossRef]
- Xu, Z.; Wang, Y.; Sun, D.; Li, H.; Dong, Y.; Wang, Z.; Wang, S. Soil nutrients and nutrient ratios influence the ratios of soil microbial biomass and metabolic nutrient limitations in mountain peatlands. Catena 2022, 218, 106528. [Google Scholar] [CrossRef]
- Ho, P.; Nakajima, S.; Urabe, J. Species-specific effects of leaf litter leachate on the aquatic microbial community and the ratio of heterotrophic to autotrophic biomass. Freshw. Biol. 2024, 69, 1727–1737. [Google Scholar] [CrossRef]
- Wang, P.; Shen, L.C.; Chen, X.H.; Wang, Z.J.; Liang, X.; Hu, B.X.; Lan, J.C.; Zhai, X.X. Response of soil water hydrochemistry and to changes in spatio-temporal variations under different land covers in SW China karst catchment. Hydrol. Res. 2019, 50, 925–944. [Google Scholar] [CrossRef]
- Liu, Z.; Nie, L.; Zhang, M.; Zhang, S.; Yang, H.; Guo, L.; Xia, J.; Ning, T.; Jiao, N.; Kuzyakov, Y. Long-term subsoiling and straw return increase soil organic carbon fractions and crop yield. J. Soil Water Conserv. 2023, 78, 234–244. [Google Scholar] [CrossRef]





| Type | T1 | T2 | T3 | CK |
|---|---|---|---|---|
| BD (g·cm−3) | 1.61 ± 0.041 a | 1.56 ± 0.04 a | 1.48 ± 0.05 a | 1.52 ± 0.04 a |
| NP (%) | 5.84 ± 0.71 a | 1.45 ± 0.41 b | 2.31 ± 0.57 b | 4.91 ± 0.81 a |
| TPO (%) | 37.76 ± 2.37 a | 39.53 ± 1.62 a | 43.26 ± 1.49 a | 43.36 ± 1.72 a |
| CP (%) | 43.60 ± 2.69 a | 40.98 ± 1.75 a | 45.57 ± 1.74 a | 48.27 ± 2.08 a |
| SWC (%) | 13.76 ± 1.45 b | 16.20 ± 0.68 ab | 18.96 ± 1.11 a | 13.83 ± 0.73 b |
| SOC (g·kg−1) | 10.58 ± 1.35 b | 12.00 ± 1.40 b | 19.89 ± 2.29 a | 9.21 ± 0.45 b |
| TK (g·kg−1) | 15.64 ± 0.22 a | 15.06 ± 0.26 ab | 14.38 ± 0.31 ab | 13.99 ± 0.58 b |
| TP (g·kg−1) | 0.66 ± 0.07 b | 0.61 ± 0.04 b | 1.00 ± 0.10 a | 0.62 ± 0.05 b |
| TN | 1.56 ± 0.07 b | 1.60 ± 0.11 b | 2.25 ± 0.16 a | 1.41 ± 0.05 b |
| pH | 7.29 ± 0.18 a | 7.36 ± 0.14 a | 7.71 ± 0.08 a | 7.38 ± 0.17 a |
| C:N | 6.68 ± 0.61 b | 7.36 ± 0.32 ab | 8.69 ± 0.45 a | 6.50 ± 0.18 b |
| C:P | 16.22 ± 1.56 a | 19.87 ± 1.92 a | 20.00 ± 1.42 a | 15.38 ± 1.07 a |
| N:P | 2.45 ± 0.15 a | 2.68 ± 0.18 a | 2.31 ± 0.13 a | 2.37 ± 0.15 a |
| MBC (mg·kg−1) | 257.88 ± 20.85 b | 253.25 ± 19.57 b | 380.75 ± 28.14 a | 217.57 ± 17.26 b |
| MBN (mg·kg−1) | 8.11 ± 0.53 ab | 7.11 ± 0.97 ab | 21.19 ± 7.34 a | 0.73 ± 0.03 b |
| MBP (mg·kg−1) | 16.41 ± 0.75 b | 12.64 ± 2.14 b | 23.57 ± 2.08 a | 25.10 ± 0.79 a |
| MBC:MBN | 32.89 ± 3.43 b | 39.83 ± 5.43 b | 44.75 ± 16.21 b | 305.22 ± 37.41 a |
| MBC:MBP | 15.79 ± 1.16 a | 26.70 ± 7.91 a | 19.62 ± 5.75 a | 8.78 ± 0.85 a |
| MBN:MBP | 0.50 ± 0.03 a | 0.71 ± 0.16 a | 1.35 ± 0.77 a | 0.03 ± 0.01 a |
Disclaimer/Publisher’s Note: The statements, opinions and data contained in all publications are solely those of the individual author(s) and contributor(s) and not of MDPI and/or the editor(s). MDPI and/or the editor(s) disclaim responsibility for any injury to people or property resulting from any ideas, methods, instructions or products referred to in the content. |
© 2024 by the authors. Licensee MDPI, Basel, Switzerland. This article is an open access article distributed under the terms and conditions of the Creative Commons Attribution (CC BY) license (https://creativecommons.org/licenses/by/4.0/).
Share and Cite
Tong, L.; Qi, L.; Chen, L.; Gan, F.; Zeng, Q.; Li, H.; Li, B.; Liu, Y.; Liu, P.; Zeng, X.; et al. How Does the Mulching Management of Phyllostachys Praecox Affect Soil Enzyme Activity and Microbial Nutrient Limitation in Karst Bamboo Forest Ecosystems? Forests 2024, 15, 2253. https://doi.org/10.3390/f15122253
Tong L, Qi L, Chen L, Gan F, Zeng Q, Li H, Li B, Liu Y, Liu P, Zeng X, et al. How Does the Mulching Management of Phyllostachys Praecox Affect Soil Enzyme Activity and Microbial Nutrient Limitation in Karst Bamboo Forest Ecosystems? Forests. 2024; 15(12):2253. https://doi.org/10.3390/f15122253
Chicago/Turabian StyleTong, Long, Lianghua Qi, Lijie Chen, Fengling Gan, Qingping Zeng, Hongyan Li, Bin Li, Yuan Liu, Ping Liu, Xiaoying Zeng, and et al. 2024. "How Does the Mulching Management of Phyllostachys Praecox Affect Soil Enzyme Activity and Microbial Nutrient Limitation in Karst Bamboo Forest Ecosystems?" Forests 15, no. 12: 2253. https://doi.org/10.3390/f15122253
APA StyleTong, L., Qi, L., Chen, L., Gan, F., Zeng, Q., Li, H., Li, B., Liu, Y., Liu, P., Zeng, X., Jiang, L., Tan, X., & Shi, H. (2024). How Does the Mulching Management of Phyllostachys Praecox Affect Soil Enzyme Activity and Microbial Nutrient Limitation in Karst Bamboo Forest Ecosystems? Forests, 15(12), 2253. https://doi.org/10.3390/f15122253
