Abstract
Understanding the effects of landscape greening pest control modes (LGPCMs) on carbon storage and soil physicochemical properties is crucial for promoting the sustainable development of urban landscape greening. Climate change and green development have led to increased landscape pest occurrences. However, the impacts of different LGPCMs on carbon storage and soil properties remain unclear. We examined six typical LGPCMs employed in Beijing, China: chemical control (HXFZ), enclosure (WH), light trapping (DGYS), biological agent application (SWYJ), natural enemy release (SFTD), and trap hanging (XGYBQ). Field surveys and laboratory experiments were conducted to analyze their effects on carbon storage and soil physicochemical properties, and their interrelationships. The main results were as follows: (1) Different LGPCMs significantly affected carbon storage in the tree and soil layers (p < 0.05), but not in the shrub and herb layers (p > 0.05). Carbon storage composition across all modes followed the following order: tree layer (64.19%–93.52%) > soil layer > shrub layer > herb layer. HXFZ exhibited the highest tree layer carbon storage (95.82 t/hm2) but the lowest soil layer carbon storage (6.48 t/hm2), while DGYS performed best in the soil, herb, and shrub layers. (2) LGPCMs significantly influenced soil bulk density (SBD), clay (SC), silt particle (SSP), sand (SS), pH, organic carbon (OC), total nitrogen (TN), and heavy metal content (lead (Pb), cadmium (Cd), mercury (Hg)). WH had the highest TN (1.37 g/kg), TP (0.84 g/kg), SC (10.71%) and SSP (42.14%); HXFZ had the highest Cd (8.98 mg/kg), but lowest OC and Pb. DGYS had the highest OC and Hg, and the lowest Cd, SC, and TP. Under different LGPCMs, the heavy metal content in soil ranked as follows: Pb > Cd > Hg. (3) There were significant differences in the relationship between carbon storage and soil physicochemical properties under different LGPCMs. A significant positive correlation was observed between the soil layer carbon storage, TN, and OC, while significant negative correlations were noted between SS and SC as well as SSP. Under SFTD, the tree layer carbon storage showed a negative correlation with Cd, while under DGYS, it correlated negatively with pH and Hg. In summary, While HXFZ increased the short-term tree layer carbon storage, it reduced carbon storage in the other layers and damaged soil structure. Conversely, WH and DGYS better supported carbon sequestration and soil protection, offering more sustainable control strategies. We recommend developing integrated pest management focusing on green control methods, optimizing tree species selection, and enhancing plant and soil conservation management. These research results can provide scientific guidance for collaborative implementation of pest control and carbon sequestration in sustainable landscaping.
1. Introduction
The greenhouse effect and climate change, driven primarily by excessive greenhouse gas emissions, particularly carbon dioxide, constitute some of the most pressing environmental challenges faced globally today [1,2]. In response, reducing carbon emissions and increasing enhancing carbon sequestration have become top priorities in addressing global climate change [3,4]. Urban areas are significant contributors to greenhouse gas emissions [5], with projections indicating that 70% of the global population will reside in cities by 2050 [4,6,7]. This shift exacerbates the pressure on urban greenhouse gas outputs. Thus, cities have emerged as critical arenas for combating climate change and mitigating carbon emissions [8,9]. As a vital component of urban environments, landscape greening serves as a direct carbon sink [10]. It plays a key role in maintaining biodiversity, balancing carbon and oxygen levels, regulating temperature, purifying air, reducing solar radiation, enhancing aesthetics, repairing soil, and improving the physical and mental health of residents [11,12]. However, with rapid urbanization and increasingly evident climate change, landscape greening efforts in China have encountered growing pest challenges, including a notable rise in the frequency and intensity of pest outbreaks [13,14,15]. This situation poses significant challenges to the health of urban ecosystems and the sustainable development of green resources [16]. Traditionally, chemical pesticides have been the predominant method for pest control in landscape greening [15,17,18]. While effective in the short term [19], the long-term use of chemical pesticides can lead to increased resistance in pests and diseases, the emergence of new pests, and diminished effectiveness in pest control [18,20]. Furthermore, these chemicals can adversely impact plants, soil health, microorganisms, ecological balance, and human health [18,21]. Therefore, in the current context of green development and climate change, it is imperative to implement environmentally friendly pest control methods in urban landscape management [13]. Green pest control strategies aim to safeguard landscape environments while reducing reliance on chemical pesticides. They incorporate physical, ecological, and biological control measures to manage pest populations sustainably [22]. Such approaches balance safety, sustainability, and economic feasibility [18], serving as essential strategies for promoting sustainable urban development [16,19]. Currently, research on pest control in landscape greening, both domestically and internationally, has primarily concentrated on pest control technologies [23,24], challenges and corresponding strategies [18,25,26], the impact of landscape pattern, elevation and other factors on pest populations [27,28,29], and specific diseases and pests, biological control methods [18,30] or potential assessment [31,32]. However, the impact of landscape greening pest control modes (LGPCMs) on the soil physicochemical properties has not been systematically explored, despite the fact that soil properties significantly influence the growth, carbon sequestration potential, and pest resistance of landscape greening plants [33,34]. Moreover, LGPCMs play a crucial role in determining soil physicochemical characteristics [35]. Existing studies have not thoroughly investigated the effects of various LGPCMs on the growth of landscape greening plants, their carbon sequestration abilities, and the interplay between these factors and soil physicochemical properties. Thus, it is necessary to further study the response of landscape greening carbon storage and soil physicochemical properties to different LGPCMs, as well as their relationships, to provide scientific support for urban landscape greening pest control policy formulation and sustainable management.
As the capital of China, Beijing has made significant progress in landscape greening, achieving a greening coverage rate of 49.8%. However, the pressure for effective pest management has intensified, with a notable increase in common pests, raising concerns about urban landscapes and ecological safety. In response, the Beijing Municipal Forestry and Parks Bureau issued policy documents, such as “Beijing Municipal Forestry and Parks Bureau’s Technical Guidance on Promoting High-quality Development of Landscape Greening”, “Work Guidance on Implementing the ‘Double Carbon’ Goal in Beijing’s Landscape Greening Industry during the ‘14th Five-Year Plan’”, and “Beijing Municipal Forestry and Parks Bureau’s Comprehensive Promotion of Pesticide Use Management in the Field of Landscape Greening”, emphasizing the need to accelerate pesticide reduction and implement green pest control measures in landscape management. Presently, research on pest control in Beijing’s landscape greening is primarily focused on pest surveys, biological control case studies [36], problems and countermeasures [37], or identifying optimal areas for chemical pesticide use [15]. There is a significant gap in systematic investigations of carbon sequestration capacities and soil physicochemical properties under different typical LGPCMs, as well as an unclear relationship between these factors. To address this gap, we focus on six typical LGPCMs in Beijing, employing a combination of field surveys and laboratory experiments to examine the differences and relationships between carbon storage and soil physicochemical properties under various LGPCMs. Our specific research objectives include the following: (1) quantitatively analyzing the differences in carbon storage among the tree, shrub, herb, and soil layers across different LGPCMs using data from field plots and local biomass models and carbon metering parameters; (2) comparing the effects of different LGPCMs on soil physicochemical properties through field sampling and laboratory measurements; (3) utilizing Pearson correlation analysis to explore the relationship between carbon storage and soil physicochemical properties under different LGPCMs; and (4) proposing management strategies to optimize pest control in landscape greening. Based on the above research objectives, we propose the following scientific hypothesis: different LGPCMs will significantly impact carbon storage and soil physicochemical properties, with green control models potentially demonstrating higher carbon sequestration capacity and improved soil physicochemical characteristics. By testing this hypothesis, the results can provide a scientific basis for enhancing pest control, promoting sustainable landscape management, and optimizing carbon sequestration in urban green spaces.
2. Materials and Methods
2.1. Study Area
Beijing, the capital of the People’s Republic of China, is situated in the northern part of the North China Plain (115°20′~117°30′ E, 39°.28′~41°05′ N), covering a total area of 16,410 km2 (Figure 1). The terrain features a “high in the northwest and low in the southeast” gradient, the southeast is predominantly plain (38.6%), while the northwest is mountainous (61.4%), with an average elevation of 43.5 m. The climate is classified as a warm temperate semi-humid continental monsoon, characterized by cold, rainy summers and cold, dry winters. The annual average temperature ranges from 9.7 °C to 12.8 °C, and annual precipitation varies between 424 mm and 661 mm, with most rainfall occurring in July and August. The soil mainly includes brown soil, tidal soil and brown soil. Vegetation is predominantly composed of warm temperate deciduous broadleaf forests, supplemented by temperate coniferous forests [38]. Common landscape greening plants include Sophora japonica Linn., Pinus tabuliformis Carr., Fraxinus chinensis Roxb., Ulmus pumila L., Populus tomentosa, Populus simonii Carr., Salix babylonica, Firmiana platanifolia (L. f.) Marsili, Jasminum nudiflorum Lindl., Rosa chinensis Jacq., Ligustrum quihoui Carr., Ophiopogon japonicus, Iris tectorum. The main harmful organisms in landscaping comprise various pests, including piercing–sucking pests, leaf feeders, underground pests, and borers, such as amauronematus saliciphagus Wu, Cinara tujafilina del Guercio, Apocheima cinerarius Erschoff, Hyphantria cunea Drury, Dioryctria splendidella Herrich-Schaeffer, Semanotus bifasciatus Motschulsky, Dendroctonus valens LeConte.
Figure 1.
Distribution map of 33 sample plots across the 11 districts in Beijing.
2.2. Research Methods
2.2.1. Determination of Typical LGPCMs in Beijing
By reviewing the relevant information and literature on landscape greening pest control in 16 districts in Beijing, combined with the results of questionnaire surveys and face-to-face interviews, six typical LGPCMs in Beijing were summarized (Table 1).
Table 1.
Six typical LGPCMs in Beijing and their explanations.
2.2.2. Sample Plot Setting and Survey
Based on the preliminary questionnaire results and observations, we established sample plots according to the standards and technical specifications of the Center for Tropical Forest Science (CTFS) in August 2024. The survey prioritized comprehensiveness, uniformity, and feasibility, taking into account the geographic characteristics of the 16 districts in Beijing, urban functional zoning, pest management techniques, levels of pest occurrence, the size and effectiveness of typical LGPCMs, and the existence of green pest management demonstration areas [41]. We employed a typical sampling method to select 11 representative districts (Table 2). In each district, 3 standard sample plots measuring 20 m × 20 m were established, resulting in a total of 33 sample plots (Figure 1, and Supplementary Material Table S1). Although LGPCMs differed across some sites in terms of target pests, implementation timing, and vegetation composition, our experimental design and analytical approach effectively controlled for these potential confounding factors. For each LGPCM, we established replicate plots (n = 3) in two representative districts, yielding six total replicate plots per LGPCM. Standardized sampling and measurement protocols were implemented across all sites to ensure statistical robustness and enhance result representativeness. Moreover, Analysis of Covariance (ANCOVA) was employed to examine the effects of sample plot location and district on carbon storage and soil physicochemical properties. The results revealed no significant effects of spatial variations in sample plots and districts on the measured parameters (p > 0.05), indicating that our observations primarily reflected the impacts of different LGPCMs rather than spatial heterogeneity. Therefore, the comparative analysis of different LGPCMs in this study maintains high validity and reliability. Basic information, including latitude, longitude, slope, aspect, elevation, dominant species, canopy cover, and growth status, was recorded for each plot. For woody plants with a diameter at breast height (DBH) greater than 5 cm, species were identified, and each tree was measured to assess DBH, height, and other indicators. Within each sample plot, three 2 m × 2 m quadrats were positioned along the diagonal, leading to a total of 99 shrub quadrats, where species, basal diameter, height, crown width, and shrub count were recorded. Additionally, 1 m × 1 m herb quadrats were established in the center of each shrub quadrat, totaling 99 herb quadrats. The species, average height, and coverage of herbs were documented in these quadrats.
Table 2.
Specific locations and relevant information of representative districts of six typical LGPCMs in Beijing.
2.2.3. Soil Sample Collection
As shown in Figure 1 and Supplementary Material Table S1, soil samples were collected from the 33 sample plots distributed across 11 districts in Beijing. In each 20 m × 20 m sample plot, three soil sampling points were selected using the S-type sampling method [35,42]. A total of 99 soil samples were collected from the 0–10 cm surface layer using the ring knife method (100 cm3) and were transported to the laboratory for analysis of soil physical properties [35]. Additionally, for each of the three sampling points within each plot, 500 g of soil was collected and combined using the quadrature method to create one composite soil sample per plot, resulting in a total of 33 composite samples [43]. These samples were secured in sealed bags, then naturally dried, ground, and sieved to determine the soil’s chemical properties.
2.2.4. Determination of Soil Physicochemical Properties
Soil bulk density (SBD) was measured using the ring knife method, soil water content (SWC) determined via the drying method. A laser particle size meter (Malvern Panak Mastersizer 3000, FOSS, Hillerød, Denmark) was employed to analyze soil particles, classified as follows: soil clay (SC, 0 mm ≤ particles < 0.002 mm), soil silt particle (SSP, 0.002 mm ≤ particles < 0.02 mm), soil sand (SS, 0.02 mm ≤ particles ≤ 2 mm) [44]. Soil pH (pH) was measured using the acidometer method with a water–soil ratio of 2.5:1 [45]. Soil organic carbon (OC) was quantified through the potassium dichromate oxidation–external heating method [46]. Total nitrogen (TN) was assessed using the Kjeldahl method (Kjeldahl meter model: FOSS 8400, Malvern Panalytical, Malvern, UK) [47], and total phosphorus (TP) determined via sulfuric acid-perchloric acid digestion followed by the molybdenum-antimony colorimetric method. Soil heavy metal contents such as lead (Pb), cadmium (Cd), and mercury (Hg) were determined by ICP-MS (Atomic Absorption Graphite Furnace Spectrometer, model A3AFG, Persee, Beijing, China) [48,49].
2.2.5. Calculation of Carbon Storage
The carbon storage capacity of plants mainly depends on their accumulated biomass, making it crucial to select an appropriate biomass allometric growth equation for measuring plant carbon storage [10]. To ensure scientific accuracy in carbon storage calculations, we mainly referred to local Beijing standards [50,51], China’s Voluntary Greenhouse Gas Emission Reduction Program Methodology [52] and related research [53] to determine the biomass model, carbon content, root to stem ratio, average biomass, and other relevant parameters for the tree species studied.
(1) The calculation formula for the tree layer carbon storage is as follows:
where: Sq is the tree layer carbon storage (t); Bi is the biomass of tree species i (kg); Rsri is the root to stem ratio of tree species i; CFi is the carbon content of tree species i; n is the total number of tree species; D is the DBH (cm); H is the tree height (m); and ai, bi are the parameters specific to tree species i.
(2) The shrub layer carbon storage is calculated using the average carbon storage per plant and the number of plants [54], as shown in the formula:
where Sg is the shrub layer carbon storage (t); Si is the number of shrub species i; Csi is the average carbon storage per tree of shrub species i (t). This average was calculated using the biomass model from the China Voluntary Greenhouse Gas Emission Reduction Project Methodology [52]:
where Bi is the biomass of shrub species i (kg); Rsri is the root to stem ratio of shrub species i; CFi is the carbon content rate of shrub species i (the default value is 0.4672 if not specified); ni is the number of plants of shrub species i; D is the ground diameter of the shrub (cm); H is the height of the shrub (m); ai and bi are the parameters specific to the shrub species i.
(3) The herb layer carbon storage is calculated based on biomass per unit area, carbon content rate, area and herbaceous layer cover [10,54] with the following formula:
where SC is the herb layer carbon storage (t); Bi is the biomass per unit area of the herb layer (0.464 t/hm2) [53]; CFi is the carbon content of herb species i (0.3270); Gi is the coverage of herb species i (%); Ai is the area of the sample plot (m2).
(4) The formula for calculating soil carbon storage is as follows [55]:
where St is the soil carbon storage (t/hm2); Ws is the organic carbon mass fraction of the soil layer (g/kg); Ds is the soil bulk density (g/cm3); and H is the soil layer thickness (m).
2.3. Data Processing
All statistical analyses and data visualization were performed in R version 4.2.3. Prior to analysis, data normality and homogeneity of variance were assessed using Shapiro–Wilk test (“stats” package) and Levene’s (“cars” package) test, respectively. A one-way ANOVA was then performed using the “aov” package, followed by the Least Significant Difference (LSD) method form the “agricolae” package to explore the effects of different LGPCMs on carbon storage in tree layer, shrub layer, herb layer and soil layer, as well as soil physicochemical properties. Additionally, Pearson correlation analysis was conducted using the “cor” package to evaluate the relationships between carbon storage in the tree, shrub, herb, and soil layers and the soil physicochemical properties under different LGPCMs. The spatial distribution of sample plots within the study area was visualized using ArcGIS 10.7.1, providing the layout and characteristics of the research area.
3. Results
3.1. Effects of Different LGPCMs on Carbon Storage
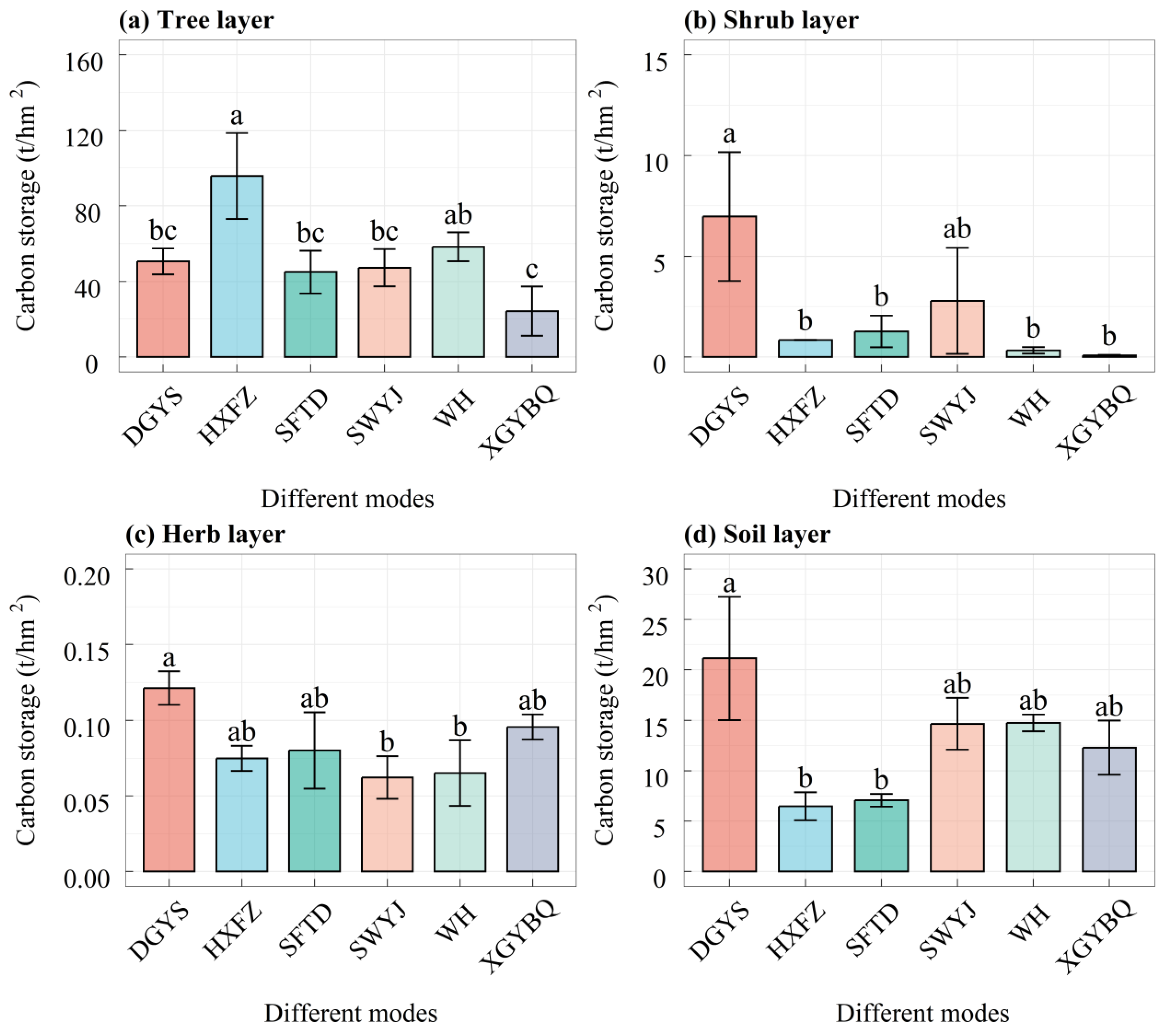
There were significant differences in carbon storage in the tree layer among LGPCMs (p < 0.05, Figure 2a). Among all LGPCMs, HXFZ exhibited the highest tree layer carbon storage at 95.82 t/hm2. Compared to HXFZ, the tree layer carbon storage decreased by 47.21% for DGYS, 39.13% for WH, 53.12% for SFTD, 50.70% for SWYJ, and 74.67% for XGYBQ. WH had the second highest carbon storage (58.33 t/hm2), which was not significantly different from that of HXFZ, DGYS, SFTD, and SWYJ, but was significantly greater than XGYBQ by 140.34%. XGYBQ had the lowest carbon storage in the tree layer (24.27 t/hm2), significantly lower than that of both HXFZ and WH (Figure 2a). The carbon storage in the shrub layer varied among the different LGPCMs (Figure 2b). The carbon storage in the shrub layer of DGYS was the highest (6.97 t/hm2), followed by SWYJ (2.79 t/hm2). The carbon storage in DGYS was 5.49, 8.30, 2.50, and 87.13 times that of SFTD, HXFZ, WH, and XGYBQ, respectively (p < 0.05). Although SWYJ > SFTD > HXFZ (0.84 t/hm2) > WH (0.33 t/hm2) > XGYBQ, they did not differ at a significant level. XGYBQ had the smallest carbon storage in the shrub layer, which was significantly reduced by 98.85% compared to DGYS (Figure 2b). Different LGPCMs had a significant effect on carbon storage in the herb layer (Figure 2c). DGYS had the highest herb layer carbon storage (0.12 t/hm2), followed by XGYBQ (0.1 t/hm2), SFTD (0.08 t/hm2) and HXFZ (0.07 t/hm2). The differences in carbon storage in the herb layer among DGYS and XGYBQ, SFTD, and HXFZ did not reach a significant level. Carbon storage in the herb layer of DGYS was significantly increased by 100% and 71.43% compared with SWYJ and WH, respectively (p < 0.05). Moreover, different LGPCMs significantly influenced the soil layer carbon storage (p < 0.05, Figure 2d), with DGYS having the highest soil layer carbon storage (21.13 t/hm2). The soil layer carbon storage in DGYS was 44.13%, 43.25% and 71.93% higher than that in SWYJ, WH and XGYBQ (p > 0.05), and significantly higher than that in HXFZ and SFTD by 226.08% and 198.87% (p < 0.05). WH had the second highest soil layer carbon storage (14.75 t/hm2). HXFZ exhibited the lowest soil layer carbon storage (6.48 t/hm2), which was not significantly different from that of SFTD (7.07 t/hm2) (Figure 2d).
Figure 2.
Effects of different LGPCMs on carbon storage in the tree layer, shrub layer, herb layer and soil layer. DGYS indicates the light trapping; HXFZ represents the chemical control; SFTD indicates the natural enemy release; SWYJ denotes the biological agent application; WH denotes the enclosure; XGYBQ represents the trap hanging. Different lowercase letters indicate significant differences between different LGPCMs (p < 0.05). The same applies below.
The carbon storage composition of each LGPCMs was somewhat similar (Figure 3). The tree layer carbon storage accounted for the largest proportion (64.19%~93.52%), followed by the soil layer (6.32%~32.97%), shrub layer (0.07%~8.85%), and herb layer (0.08%~0.18%). HXFZ had the highest proportion of the tree layer carbon storage (93.52%), followed by SFTD (81.92%), WH (79.57%) and SWYJ (74.7%). The proportion of the tree layer carbon storage in DGYS was the smallest, at 1.43% lower than that of XGYBQ. XGYBQ had the highest proportion of the soil layer carbon storage, followed by DGYS, SWYJ, WH, SFTD and HXFZ. The proportion of the shrub layer carbon storage was the largest in DGYS, followed by SFTD (5.08%) and HXFZ (0.07%). DGYS, SWYJ, WH, SFTD, and XGYBQ had 126.43, 27.71, 0.01, 3.2, and 25.14 times more carbon storage in the shrub layer than HXFZ, respectively. The carbon storage in the herb layer was significantly lower than that in the tree, shrub and soil layers, with SWYJ having the largest proportion of carbon storage in the herb layer, followed by DGYS (0.15%), XGYBQ (0.15%), and SFTD (0.11%). The herb layer carbon storage in WH was the lowest, which was 11.11% less than that in HXFZ. The carbon storage of DGYS was composed of 64.19% of tree layer, 8.85% of shrub layer, 0.15% of herb layer and 26.81% of soil layer. In HXFZ, the proportion of carbon storage in the tree layer was 1136 times that of the shrub layer, 1039.11 times that of the herb layer, and 14.8 times that of the soil layer. SWYJ exhibited 74.7% of carbon storage in the tree layer, 23.18% in the soil layer, and minimal carbon storage in the shrub and herb layers (2.12%). The carbon storage in SFTD comprised 81.92% from the tree layer, 5.08% from the shrub layer, 0.11% from the herb layer, and 12.89% from the soil layer. In WH, the proportion of carbon storage in the tree layer was 3.95 times greater than that in the soil layer, with the shrub layer contributing only 0.23% and the herb layer 0.08%. The composition of XGYBQ carbon storage was ranked as follows: tree layer (65.12%) > soil layer > shrub layer > herb layer (Figure 3).
Figure 3.
The proportion composition of carbon storage in tree layer, shrub layer, herb layer and soil layer under different LGPCMs.
3.2. Effects of Different LGPCMs on Soil Physicochemical Properties
3.2.1. Effects of Different LGPCMs on Soil Physical Properties
Different LGPCMs significantly affected on SBD, SC, SSP, and SS (p < 0.05), while having an insignificant effect on SWC (p > 0.05) (Figure 4). SWC was the highest in SWYJ (20.2%), followed by XGYBQ (19.69%) and WH (19.3%), with no significant difference observed among these treatments and DGYS or HXFZ (Figure 4a). SFTD had the lowest SWC and HXFZ had a 2.24% higher SWC than SFTD, but the difference was not significant (Figure 4a). Significant differences in SBD were observed among the LGPCMs (Figure 4b), with SFTD having the highest (1.43 g/cm3). HXFZ had the second highest SBD (1.39 g/cm3), which was significantly greater than WH by 13.01%. WH had the lowest SBD, significantly lower than SFTD and HXFZ by 13.99% and 11.51%, respectively (Figure 4b). The SC of different LGPCMs was significantly different, ranging from 5.7% to 10.71% (Figure 4c). WH recorded the highest SC (10.71%), which was 24.25% greater than that of XGYBQ (p > 0.05). Compared to WH, SC was significantly reduced in DGYS, HXFZ, SFTD, and SWYJ by 46.78%, 34.73%, 44.72%, and 28.94%, respectively. Additionally, the SC of HXFZ was 8.15%, 34.73% and 18.91% lower than that of SWYJ, WH and XGYBQ, respectively (p > 0.05). DGYS had the lowest SC (5.7%), significantly lower than WH (Figure 4c). Significant differences in SSP were also observed among LGPCMs, ranging from 20.75% to 42.14% (Figure 4d). Compared to WH (maximum, 42.14%), SSP was reduced in SWYJ and XGYBQ by 23.85% and 21.26% (p > 0.05), while reductions in DGYS, HXFZ, and SFTD were statistically significant at 38.47%, 38.68%, and 50.76% (p < 0.05), respectively. SFTD had the lowest SSP (20.75%), significantly lower than that of DGYS and HXFZ by 19.98% and 19.70%, respectively. The SSP of WH was 1.63 times greater than that of HXFZ (Figure 4d). Lastly, different LGPCMs significantly affected SS, with values ranging from 47.15% to 73.33% (Figure 4e). SFTD had the largest SS (73.33%), which was 7.24%, 9.19%, 21.61%, 55.52%, and 25.95% higher than DGYS, HXFZ, SWYJ, WH, and XGYBQ, respectively. WH had the smallest SS, significantly lower than SFTD, DGYS, and HXFZ. The SS of HXFZ (67.16%) was significantly higher than that of WH by 42.44%, yet 1.78% and 8.41% lower than DGYS and SFTD, respectively (Figure 4e).
Figure 4.
Effects of different LGPCMs on soil physical properties. SWC is soil water content; SBD is soil bulk density; SC is soil clay; SSP is soil silt particle; and SS is soil sand. Different lowercase letters indicate significant differences among LGPCMs (p < 0.05). The same applies below.
3.2.2. Effects of Different LGPCMs on Soil Chemical Properties
Different LGPCMs had very significant effects on pH, Pb and Cd (p < 0.01); they were significant on TN, OC and Hg (p < 0.05), but not significant on TP (p > 0.05) (Figure 5). Among the LGPCMs, WH exhibited the highest TN at 1.37 g/kg, significantly greater than HXFZ and SFTD by 153.70% and 174%, respectively (Figure 5a). Compared to WH, TN in DGYS, SWYJ and XGYBQ decreased by 5.84%, 10.22% and 18.98%, respectively (p > 0.05). The TN of HXFZ was 0.54 g/kg, which was not significantly different from SFTD (the lowest at 0.5 g/kg). The TN of DGYS, SWYJ, WH, and XGYBQ were 2.39, 2.28, 2.54, and 2.06 times that of HXFZ, respectively (Figure 5a). DGYS had the highest OC at 17.26 g/kg, significantly higher than HXFZ and SFTD (Figure 5b). WH ranked second in OC (12.02 g/kg), followed by SWYJ (11.91 g/kg), and XGYBQ (9.64 g/kg), with no significant differences observed among them. The OC of HXFZ was the lowest, DGYS, SFTD, SWYJ, WH and XGYBQ were 3.67, 1.08, 2.53, 2.5 and 2.05 times of HXFZ, respectively (Figure 5b). The changes in TP under different LGPCMs were relatively small (Figure 5c), but the TP of WH (0.84 g/kg) was higher than the other models and was significantly higher than that of DGYS by 61.54% (p < 0.05). The TP of HXFZ was 0.66 g/kg, which was 6.06%, 21.43% and 20.48% lower than that of SWYJ, WH and XGYBQ, respectively (Figure 5c). The pH of DGYS (6.16) was significantly lower than that of the other LGPCMs and classified as acidic (pH < 6.5) (Figure 5d). SFTD exhibited the highest pH, classifying it as alkaline (pH > 7.5), while HXFZ, SWYJ, WH, and XGYBQ were categorized as neutral (6.5 < pH < 7.5). Compared to HXFZ, the pH values in DGYS, WH, and XGYBQ decreased by 16.08%, 0.14%, and 2.04%, respectively, while SFTD and SWYJ increased by 3% and 0.54%, respectively (Figure 5d). SFTD had the highest Pb (121.32 mg/kg), followed by XGYBQ (119.6 mg/kg), and DGYS (107.91 mg/kg), which were significantly higher than those of the other LGPCMs (p < 0.05) (Figure 5e). There was no significant difference in Pb between HXFZ and WH, but they were significantly lower than other models. HXFZ had the lowest Pb, significantly lower than DGYS, SFTD, SWYJ, and XGYBQ by 37.31%, 44.24%, 20.00%, and 43.44%, respectively (Figure 5e). HXFZ had the highest Cd (8.98 mg/kg), which was 22.85% higher than SWYJ (p > 0.05), and they were significantly higher than those of the other LGPCMs (p < 0.05) (Figure 5f). The Cd of HXFZ was 4.06, 2.02, 1.35 and 1.83 times that of DGYS, SFTD, WH and XGYBQ, respectively. DGYS had the lowest Cd (2.21 mg/kg), significantly reduced by 75.39%, 50.34%, 69.77%, 66.77%, and 54.90% than HXFZ, SFTD, SWYJ, WH, and XGYBQ, respectively (Figure 5f). DGYS had the highest Hg (0.64 mg/kg), followed by XGYBQ, SFTD, and HXFZ, but there was no significant difference among these values (Figure 5g). The Hg of HXFZ was 0.29 mg/kg, significantly higher than SWYJ and WH by 16% and 20.83%, respectively. WH had the lowest Hg (0.24 mg/kg), which was not significantly different from HXFZ, SFTD, and SWYJ, but significantly lower than DGYS and XGYBQ by 62.5% and 61.9%, respectively (Figure 5g).
Figure 5.
Effects of different LGPCMs on soil chemical properties. TN—total nitrogen; OC—organic carbon; TP—total phosphorus; pH—soil pH; Pb—lead; Cd—cadmium; Hg—mercury. Different lowercase letters indicate significant differences among LGPCMs (p < 0.05). The same applies below.
3.3. Relationship Between Carbon Storage and Soil Physicochemical Properties Under Different LGPCMs
The relationship between carbon storage in the tree layer, shrub layer, herb layer and soil layer and soil physicochemical properties varied under different LGPCMs (Figure 6). Under DGYS, the tree layer carbon storage was positively correlated with SWC and SC (p < 0.05), but negatively correlated with pH (−0.94) and Hg (0.92) (p < 0.01) (Figure 6a). Additionally, carbon storage in both the shrub and soil layers showed significant positive correlations with TN (>0.89) and OC (>0.92). The soil layer carbon storage was also positively correlated with SWC (0.93) (Figure 6a). Under DGYS, SWC was significantly positively correlated with SC, SSP, and OC, while significantly negatively correlated with SS, TP, and pH. TP was significantly positively correlated with SS and pH, OC significantly positively correlated with TN and SWC, and SC was significantly negatively correlated with SSP. Conversely, SS was very significantly negatively correlated with both SC and SSP (Figure 6a). Under HXFZ, the correlations between carbon storage in the tree and herb layers and soil physicochemical properties were not significant (Figure 6b). However, the shrub layer carbon storage was significantly positively correlated with Cd, while the soil layer carbon storage had significant positive correlations with TN and OC (Figure 6b). Under HXFZ, SS significantly negatively correlated with SC and SSP, whereas SSP significantly negatively correlated with TP, and SS significantly positively correlated with TP, TN and OC (Figure 6b). Under SWYJ, both the tree and herb layer carbon storage significantly negatively correlated with SC and SSP while positively correlating with SS (Figure 6c). Additionally, the tree layer carbon storage had significant positive correlations with SBD, Cd, and Hg. Under SWYJ, the shrub layer carbon storage was only negatively correlated with SWC (−0.9). The soil layer carbon storage had significant positive correlations with SWC, TN (0.97) and OC (0.96), along with a very significant negative correlation with pH (−0.96). Under SWYJ, pH was significantly negatively correlated with SWC, TN, OC, Cd with SC, SSP, Hg with SC, SS with SC and SSP, while SBD was significantly positively correlated with SS, Cd, SC with SSP, Cd with SS, Hg, TP with TN, OC, TN with OC (Figure 6c). Under SFTD, carbon storage in both the tree and herb layers significantly negatively correlated with Cd (Figure 6d). Moreover, the shrub layer carbon storage displayed a negative correlation with OC and pH but a positive correlation with Hg (0.89). The herb layer carbon storage significantly negative correlations with SWC, SC, and SSP, while positively correlating with SS and TP (Figure 6d). The soil layer carbon storage had a strong negative correlation with SBD (−0.87) and very strong positive correlations with TN (0.92) and OC (0.97) (Figure 6d). Under WH, the tree layer carbon storage showed a significant negative correlation with TN (−0.92), whereas the soil layer carbon storage had significant positive correlations with TN (0.93) and OC (0.94) (Figure 6e). Carbon storage in both the herb and shrub layers did not significantly correlate with soil physicochemical properties (Figure 6e). Under WH, Hg significantly negatively correlated with Pb, while Cd correlated negatively with pH, SS, and SWC. pH also negatively correlated with SC and SSP, while SWC significantly negatively correlated with SC and SSP. Conversely, SC had significant positive correlations with SSP, while TN correlated positively with OC, as did pH with SWC and SS (Figure 6e). Under XGYBQ, the tree layer carbon storage was only significantly positively correlated with Pb (0.86), while carbon storage in shrub and herb layers did not significantly correlate with soil physicochemical properties (Figure 6f). However, the soil layer carbon storage was significantly positively correlated with TN (0.95), OC (0.99), and TP (0.88) (Figure 6f). Under XGYBQ, TP and TN, OC, TN and OC, Hg and Pb, SBD, Cd and SC, SSP, Pb and SBD, SSP and SC were significantly positive correlated, SS and Cd, SSP, SC were significantly negative correlated (Figure 6f).
Figure 6.
Relationship between carbon storage and soil physicochemical properties under different LGPCMs. TLC is tree layer carbon storage; GLC is shrub layer carbon storage; HLC is herb layer carbon storage; SLC is soil layer carbon storage. * p < 0.05, ** p < 0.01. Circles of different sizes signify the magnitude of the Pearson correlation coefficient.
4. Discussion
4.1. Effects of Different LGPCMs on Carbon Storage
Understanding the changes in carbon storage within landscape greening under different LGPCMs is of great significance for maintaining the carbon–oxygen balance and ecological stability in urban areas [10,56]. This knowledge is also essential for achieving “carbon peak” and “carbon neutrality” goals while ensuring sustainable pest management in urban greening efforts [4,11]. Different LGPCMs in Beijing significantly affected carbon storage in the tree and soil layers (p < 0.05), and insignificantly affected storage in the shrub and herb layers (p > 0.05). This difference likely results from the greater sensitivity of trees and soil to LGPCMs compared to shrubs and herbs. Due to trees’ longer lifespan, greater biomass [57], and rapid photosynthetic response to environmental changes [58], their carbon storage is more vulnerable to LGPCMs. Soil carbon storage is influenced by root and microbial activity, as well as human management practices that alter soil pH, nutrients, structure, and microbial communities [59,60], all of which significantly affect carbon sequestration capacity in response to LGPCMs. In contrast, shrubs and herbs exhibit higher turnover rate and regeneration capacity [58,61], so they respond more slowly to LGPCMs. Future landscape management should therefore prioritize tree and soil protection to optimize carbon sequestration while maintaining pest control efficacy. Key strategies include selecting native tree species with high carbon sequestration potential, implementing regular monitoring protocols, applying organic amendments like biochar to enhance soil conditions [57,62], and adopting eco-friendly pest management approaches to minimize chemical pesticide usage. The composition of carbon storage across different LGPCMs in Beijing reveals that the tree layer contributes the most significant proportion (64.19%~93.52%), followed by the soil layer (6.32%~32.97%), with shrubs and herbs contributing the least. This underscores the role of trees as the primary contributors to Beijing’s urban carbon pool. This finding aligns with studies conducted at the Beijing National Botanical Garden [54], the Kaifeng City Greenland in Henan Province [10], and Zhengzhou City urban garden Greenland [63]. The average carbon storage in the tree layer of six typical LGPCMs in Beijing was 53.53 t/hm2, comparable to the 45.47 t/hm2 observed in the National Botanical Garden [54]. These results not only validate the scientific accuracy of our study but also highlight the effectiveness of Beijing’s landscaping initiatives and their substantial carbon sequestration potential. Notably, HXFZ exhibited the highest tree layer carbon storage (95.82 t/hm2), followed by WH, DGYS, SWYJ, SFTD, and XGYBQ. The superior performance of HXFZ could be attributed to its efficient and rapid control of landscaping pests [64], which promotes tree growth, enhances photosynthesis efficiency, and increases short-term carbon storage. Conversely, while WH, DGYS, SWYJ, SFTD utilize more environmentally friendly methods, their control effects exhibit a time lag, limiting their ability to effectively improve the overall growth rate and carbon storage of the tree layer in the short term, potentially impacting tree growth and carbon storage. The large-scale reduction in chemical pesticides at Tuancheng Lake Water Garden in Beijing demonstrated that HXFZ is more effective in controlling pest populations in the short term [36], corroborating our findings. Moreover, factors such as plant species composition, community structure, green space characteristics, management strategies, and the severity of pests and diseases significantly influence the carbon sequestration capacity of landscape greening [65]. Different tree species exhibit varying capacities for carbon sequestration [54], and even within the same species, individual characteristics—such as DBH, crown width, crown height, and leaf area index—can affect carbon storage [5,66]. Consequently, these factors collectively shape the carbon sequestration capabilities of different LGPCMs in Beijing. The carbon storage in the arbor layer of WH is the second highest, primarily because WH is used to control A. cinerarius in Populus L., a major tree species in Beijing, which improves the growing conditions for arborvitae and results in higher carbon storage. However, WH does not completely eliminate pests, resulting in carbon storage in the tree layer that remains lower than that of HXFZ. XGYBQ is mainly applied to small trees such as Prunus persica (L.) Batsch, Prunus cerasifera Ehrhar f. atropurpurea (Jacq.) Rehd., and Malus spectabilis (Ait.) Borkh., which sequester relatively little carbon. Additionally, XGYBQ may not effectively control harmful organisms through passive capture, which fails to provide significant protection for plants, resulting in its notably lower carbon storage. Although one-way ANOVA indicated no significant differences in carbon storage among LGPCMs in the shrub and herb layers, multiple comparisons revealed significant differences between some groups. These discrepancies may arise from insufficient sample size and limited sampling site distribution. Under certain conditions, however, specific LGPCMs significantly influenced carbon storage in either the shrub or herb layer. For instance, carbon storage in the shrub layer was significantly higher in DGYS compared to other LGPCMs. To evaluate the effectiveness and applicability of various LGPCMs more comprehensively, it is recommended to increase sample sizes in future studies and further investigate the influence of LGPCMs on carbon storage under varying landscaping environments and management conditions.
The landscape greening soil carbon pool (topsoil) is the second largest carbon pool among various LGPCMs in Beijing, highlighting its crucial role in regulating the carbon balance of terrestrial ecosystems and mitigating greenhouse gas emissions [67]. This finding contrasts with the common understanding that the soil carbon pool is the largest in terrestrial ecosystems [68]. This discrepancy may arise because this study focuses exclusively on the carbon storage in surface soil without considering the vertical stratification of soil. Additionally, urban garden green spaces primarily consist of imported soil, and frequent anthropogenic disturbances can alter soil hierarchy, structure, and carbon sequestration capacity [10]. Future research should further examine the dynamics of soil carbon storage in stratified landscapes over time and space. DGYS exhibited the highest carbon storage in the soil layer (21.13 t/hm2), herb and shrub layers, and a relatively high carbon storage in the tree layer (50.58 t/hm2). This indicates that DGYS effectively mitigates pest density and plant damage, particularly herbs and shrubs, thereby promoting growth and enhancing carbon storage capacity. The predominant vegetation in DGYS includes deciduous broad-leaved trees such as Quercus variabilis Bl., S. japonica, and S. babylonica. When protected, these species exhibit improved photosynthesis, and their litter adds organic matter to the soil, further increasing the soil layer carbon storage [69,70]. In contrast, HXFZ had the lowest soil layer carbon storage (6.48 t/hm2) and ranked fourth in shrub and herb carbon storage. This low carbon storage may result from frequent chemical use, which can contaminate the soil and negatively affect the microbial community and soil structure [18,71]. This inhibits microbial activity necessary for organic matter decomposition and nutrient cycling, consequently decreasing soil organic matter accumulation and overall carbon storage in HXFZ [72]. Additionally, long-term exposure to pesticide residues may hinder tree growth, compromising the ecological function and carbon storage potential of landscape greening in HXFZ [18]. WH ranks second in carbon storage in both the soil and tree layers, although it is fifth for shrubs and herbs. This phenomenon can be attributed to WH’s ability to effectively integrate multiple functions, including color attraction, adhesive properties, and physical barriers, which significantly reduce the interference of pests and diseases on trees in a short time, thereby effectively controlling these threats [39]. By reducing the impact of pests and diseases, WH promotes tree growth, root development, and biomass accumulation, collectively enhancing carbon storage in both trees and soil. However, habitat conditions, species composition, and human management may limit the carbon storage and productivity of non-target tree species, such as shrubs and herbs. This underscores the importance of balancing interrelationships among different levels in landscape management. Furthermore, factors such as soil-forming parent material, vegetation type, carbon inputs, management practices, soil water content, and temperature [73] also influence carbon storage in landscaped soil carbon pools and may contribute to the observed differences among various LGPCMs.
Carbon storage in landscape greening is a multifaceted ecological process influenced by a combination of complex factors, including climate conditions, soil properties, tree structure, species composition, and management strategies [74]. As such, no single factor can fully explain the variation in carbon storage [75]; therefore, pest control models cannot be regarded as the sole determinants of carbon storage in landscape greening. Moreover, existing studies highlight that treetops serve as a significant component of overall plant carbon storage [76]. However, this study does not address carbon storage within treetops. Future research should investigate the dynamics of treetop carbon storage and its response to LGPCMs. Additionally, it is essential to conduct a comprehensive analysis of how climate conditions, soil characteristics, tree structure, species composition, and management strategies collectively impact carbon storage in landscape greening.
4.2. Effects of Different LGPCMs on Soil Physicochemical Properties
Soil serves as the substrate for landscaping plants’ growth [77]. Understanding the effects of LGPCMs on soil physicochemical properties is crucial for optimizing landscape management strategies and promoting sustainable urban development [34]. Soil physical properties serve as important indicators of soil structure [39,45]. In Beijing, various LGPCMs significantly influenced SBD, SC, SSP, and SS (p < 0.05). However, the effect on SWC was not significant (p > 0.05), likely because SWC is more influenced by climatic factors such as precipitation and evaporation. A lower SBD indicates looser soil, which increases total porosity, enhancing SWC and improving soil and water conservation. Given Beijing’s arid climate and limited precipitation, HXFZ leads to higher SBD and lower SWC due to the exposure of surface soil to sunlight and high temperature. Conversely, WH exhibited the lowest SBD (1.23 g/cm3), likely due to abundant litter and the rapid decomposition of deciduous broadleaf tree species, which increased OC and reduced SBD [45]. Soil particle composition—specifically SC, SSP, and SS—significantly affects soil nutrient changes and ecological functions [78]. Under different LGPCMs, SC ranged from 5.7% to 10.71%, SSP ranged from 20.75% to 42.14%, and SS ranged from 47.15% to 73.33%. This indicates that soils associated with various LGPCMs are predominantly sand-dominated, well-drained, and conducive to plant growth [35]. However, the low clay content may compromise the soil’s water and nutrient retention capacity. WH showed the highest SC and SSP, and the lowest SS (47.15%), highlighting its advantages in maintaining soil health and promoting plant growth. In contrast, DGYS recorded the lowest SC, while SFTD exhibited the highest SS and lowest SSP, suggesting these models are more vulnerable to moisture and nutrient loss [79,80].
Different LGPCMs significantly influenced soil chemical properties, including pH, Pb, Cd, TN, OC, and Hg, but had no significant impact on TP. This lack of effect on TP may be due to its poor mobility, rendering it less susceptible to environmental variations [45]. TN is a crucial nutrient for plant growth [81], while OC is a key indicator of soil fertility [82]. WH exhibited the highest TN (1.37 g/kg) and TP (0.84 g/kg), indicating its effectiveness in promoting nutrient accumulation. Conversely, HXFZ had the lowest TN, and SFTD recorded the lowest TP. OC was highest in DGYS (17.26 g/kg), followed by WH, and lowest in HXFZ. It may be that DGYS promotes organic decomposition and soil microbial activity, thus occupying an advantage in OC accumulation. Long-term and excessive application of HXFZ may lead to toxic substance accumulation in soil, adversely affecting beneficial organisms such as earthworms and soil microorganisms [83]. This accumulation inhibits soil organic matter decomposition and nutrient mineralization, disrupts carbohydrate and lipid metabolism, and ultimately damages soil fertility and ecosystem health [83,84]. pH is a critical indicator of soil acidity and affects soil fertility significantly [85]. HXFZ had a relatively high pH of 7.34, while DGYS, WH, and XGYBQ had lower pH values, with the latter being dominated by neutral soils. This may be because pH is mainly affected by a combination of factors, including soil parent material, soil type, climate, vegetation and management measures [67,73].
Soil pollution poses a significant challenge to sustainable urban development, as heavy metal contamination can inflict irreversible damage [86]. Soil heavy metal pollution disrupts soil microbial activity and poses a potential threat to plant growth and human health [86,87]. In our study, the ranking of soil heavy metal content under different LGPCMs was Pb > Cd > Hg, indicating higher accumulation of Pb and Cd in Beijing’s landscaped soils, consistent with findings from various green space types in Changchun [88]. The sources of these heavy metals are closely linked to human activities: Pb primarily arises from traffic emissions, industrial waste, and building materials, while Cd is mainly sourced from fertilizers, battery production, and metal smelting. Hg accumulation was relatively low, likely due to its limited sources and low concentrations. Soil heavy metal contents varied, being highest for Pb, Cd, and Hg under SFTD, HXFZ, and DGYS, respectively, and lowest under HXFZ, DGYS, and WH. These variations may result from factors such as plant composition (trees, shrubs, groundcovers), soil physicochemical properties, traffic pollution, industrial activities, municipal waste, and management strategies [89,90]. Notably, HXFZ significantly increased Cd in soil compared with other LGPCMs, potentially due to heavy metal pollutants contained in certain chemical pesticides. These can alter soil physicochemical properties such as OC and TN, consequently affecting microbial community structure and their capacity to fix and degrade heavy metals, leading to increased soil contamination [91].
4.3. Relationship Between Carbon Storage and Soil Physicochemical Properties Under Different LGPCMs
Interactions exist between landscaping plants and soil physicochemical properties [92]. Exploring the relationship between carbon storage and soil physicochemical properties under different LGPCMs is crucial for managing landscape greening pests, improving carbon storage and maintaining soil health. Our analysis revealed significant positive correlations between the soil layer carbon storage, TN, and OC across all LGPCMs. This may be attributed to the fact that TN largely derives from organic matter produced by the decomposition of plant residues [45]. As OC increases, microbial activity is enhanced, promoting TN accumulation, which positively impacts plant growth and carbon storage [93]. Additionally, higher soil carbon storage help plants to photosynthesize more efficiently, thus storing more OC and improving soil fertility and TN. SS was significantly negatively correlated with SC and SSP, suggesting a possible competitive relationship between soil particle structures [43]. We observed variation in the relationships between carbon storage in the tree, shrub, and herb layers and soil physicochemical properties under different LGPCMs. Specifically, under XGYBQ and SWYJ, pH was significantly negatively correlated with OC and TN, indicating that lower pH enhances OC and TN, thus improving soil nutrient availability [93]. Cd and Hg were significantly positively correlated under SWYJ, and Pb and Hg showed a very significantly positively correlated under XGYBQ. This suggests that these heavy metal pollutants can co-occur and contribute to composite pollution within certain LGPCMs [87]. In DGYS, the tree layer carbon storage was significantly negatively correlated with pH and Hg, while it showed a highly significant positive correlation with SWC and SC. Conversely, in SFTD, the tree layer carbon storage was significantly negatively correlated with Cd. These findings illustrate the complex and varied stress impacts of soil heavy metal pollution and pH on the growth and carbon sequestration abilities of landscape greening plants. The unique soil physicochemical properties in urban green spaces, shaped by prolonged human activity, likely contribute to these dynamics [86]. Furthermore, factors such as landscaping vegetation types, climate, parent rock, human activities and soil organisms may further aggravate the complex relationship between carbon storage and soil physicochemical properties under different LGPCMs [87]. Notably, carbon storage in the tree and herb layers of HXFZ did not show significant correlations with soil physicochemical properties. Similarly, the carbon storage in the herb layers of DGYS, HXFZ, WH, and XGYBQ, as well as the shrub layers of WH and XGYBQ, were not significantly correlated with these properties. This suggests that carbon storage is influenced by a variety of environmental factors including climate, biodiversity, and vegetation type [43], rather than being solely determined by soil physicochemical properties. In addition, this phenomenon may also reflect short-term static effects; a longer time series may yield a more significant relationship between carbon storage and soil physicochemical properties.
Although soil physicochemical properties exhibited significant variations under different LGPCMs, the relationships between each model and these properties were complex and heterogeneous. This complexity stems from two key mechanisms. First, soil functions as a dynamic ecosystem characterized by intricate interactions among its biological, chemical, and physical components [94]. Different LGPCMs influence plant growth, leaf litter decomposition rates, and nutrient cycling by altering soil microbial community structure, root exudate composition, and organic matter metabolism, resulting in varied relationships with soil physicochemical properties. Second, the interactions among management practices, vegetation, and soil are inherently complex [95,96]. For instance, pesticides applied in HXFZ can continue to enter the soil through precipitation or irrigation and remain for a long time [96], while green control measures minimize the use of harsh chemicals. Variations in vegetation composition and growth under different LGPCMs further impact root distribution, soil nutrient cycling, and microbial communities, contributing to the observed variability in relationships with soil physicochemical properties [94]. Our findings underscore the multidimensional effects of LGPCMs on soil, highlighting the complexity and systematic nature of studies on soil physicochemical properties. Future research should focus on elucidating the regulatory mechanisms of various LGPCMs on soil ecological processes through long-term monitoring and multi-scale analyses.
4.4. Management Strategies
As the capital of China and an international metropolis, the quality of landscape greening in Beijing directly impacts the city’s ecological security and sustainable development. Given the complex interactions among plants, pests, soil, natural enemies, and the environment in landscape greening, pest control is both complicated and systematic. To enhance ecological functions and carbon storage while promoting sustainable urban greening, we propose three effective management strategies.
4.4.1. Optimize Tree Species Selection and Configuration
Prioritize native tree species with strong carbon sequestration abilities and resilience to natural disasters, pests, and diseases as the main components of landscape greening. Consider ecological traits such as drought resistance, barrenness tolerance, and pollution resistance to reduce the risk of pest infestations. To mitigate pest proliferation, a diversified plant selection strategy is recommended that goes beyond traditional landscape models. By strategically integrating plant species with varied life forms, growth structures, and ornamental characteristics, this approach leverages interspecific biological complementarity. This methodology aims to establish natural physical barriers and create microenvironmental conditions that inherently suppress pest propagation, thereby enhancing ecosystem resistance and resilience. Implement a tree-based, tree–shrub–grass composite landscape with moderate planting density to create suitable habitats, enhance carbon sinks, and utilize the self-regulating mechanisms of urban ecosystems to effectively inhibit pest outbreaks.
4.4.2. Formulate Comprehensive Pest Control Strategies for Landscape Greening
Develop scientific integrated pest control strategies that encompass physical, biological, and chemical measures, with a focus on environmentally friendly approaches. Invest in sustainable pest management practices—such as the use of DGYS and WH—to effectively control pest populations, increase plant carbon storage, and minimize negative impacts on soil environments. Standardize chemical pesticide applications in terms of timing, frequency, and scope, prioritizing low-residue biopesticides and plant-derived pesticides. Employ precision application techniques, such as micro-spraying and trunk injections, to mitigate environmental impacts. Protect and harness natural enemy resources, ensuring a balanced relationship among hosts, natural enemies, and the broader environment for sustainable pest management and the enhancement of ecological and economic benefits.
4.4.3. Improve Plant and Soil Conservation Management
Enhance the daily maintenance of landscape greening plants through scientific fertilization, timely watering, proper drainage, soil aeration, weeding, and prudent pruning to boost growth potential and stress resilience. Maintain cleanliness in green spaces by removing diseased plant debris to minimize pest infestation sources. Implement a scientifically regulated irrigation system to optimize soil moisture and aerate the soil effectively. Apply organic fertilizers judiciously, control chemical fertilizer usage, and improve soil nutrient management to enhance soil structure, water regulation, nutrient retention, and microbial diversity. Establish long-term monitoring mechanisms for indicators such as pest populations, plant growth potential, and soil physicochemical properties to achieve integrated management of plant conservation, soil enhancement, and pest control. This approach will improve soil quality, enhance plant immunity, and reduce the risk of pest occurrences.
4.5. Research Limitations and Prospects
This study has certain limitations but offers important directions for future research. First, due to the complexity and diversity of urban landscaping systems, we focused solely on the effects of six typical LGPCMs on carbon storage and soil physicochemical properties under static conditions. Notably, the calculation of carbon storage in this study did not include treetop carbon storage. Future research should expand on the following aspects: (1) refining the selection of typical LGPCMs; (2) extending the study time series to observe long-term changes in soil carbon storage across different soil vertical layers and treetop carbon storage; and (3) incorporating additional indicators such as soil heavy metal content and microbial community characteristics to provide a more comprehensive understanding of the long-term impacts of pest control models on carbon storage and soil properties.
Second, given the significant spatial heterogeneity of landscaping and the differences in the spatial and temporal scales of different LGPCMs, we have a relatively limited sample size and the study area is underrepresented. We acknowledge that this study did not fully consider the subtle differences in soil and plant composition across different regions. Furthermore, existing studies struggle to fully eliminate the potential influences of urban environmental factors, creating uncertainty in the results. Future research should (1) expand the sample size and optimize the research area layout; (2) conduct long-term and detailed soil sampling and vegetation surveys to investigate the heterogeneity of soil physicochemical characteristics and their impacts on plant growth and carbon storage; (3) explore the effects of different plant types and combinations on carbon storage under various LGPCMs to evaluate their long-term ecological effects and sustainability; and (4) enhance the generalizability and reliability of findings by examining differential effects of LGPCMs on carbon storage under diverse landscaping environmental conditions and time scales.
Finally, the landscape greening system is a complex ecological network. Factors such as tree species composition, growth status, management mode, soil type, geological background, biological interaction, human activities, climate change and pest characteristics jointly affect the effectiveness of pest control, carbon storage, and soil properties within LGPCMs. Future research should (1) construct a multi-factor coupling analysis framework; (2) conduct in-depth analysis of the driving mechanisms of LGPCMs, carbon storage, and soil physicochemical properties; and (3) reduce uncertainty through systematic research, ultimately providing a scientific basis for optimizing pest management strategies in landscape greening, improving carbon sequestration capacity and soil quality.
5. Conclusions
This study explored the effects of six typical LGPCMs on carbon storage and soil physicochemical properties and their relationship in Beijing. The main conclusions were as follows: (1) Different LGPCMs significantly influenced carbon storage in the tree and soil layers but not in the shrub and herb layers. In all models, carbon storage was highest in the tree layer (64.19%–93.52%), followed by the soil, shrub, and herb layers. DGYS had the highest carbon storage in the soil layer, herb layer and shrub layer, and the carbon storage in the tree layer was higher. Conversely, XGYBQ recorded the lowest carbon storage in the tree and shrub layers, while SWYJ had the lowest in the herb layer. WH ranked second in carbon storage for both the soil and tree layers. (2) LGPCMs significantly affected SBD, SC, SSP, SS, pH, Pb, Cd, TN, OC, and Hg, but had no significant effects on SWC and TP. Across all LGPCMs, soil particle structure followed the following order: SS (47.15%–73.33%) > SSP > SC, while soil heavy metal content ranked Pb > Cd > Hg. WH exhibited the highest TN, TP, SC and SSP, while Hg, SS and SBD were the lowest. HXFZ recorded the highest Cd alongside the lowest OC and Pb. In DGYS, OC and Hg were the highest, while Cd, SC and TP were the lowest. SFTD presented the highest values for SS, SBD, and Pb, but the lowest for SSP and TN. (3) Under different LGPCMs, the soil layer carbon storage, TN, and OC were significantly positively correlated, whereas SS was significantly negatively correlated with SC and SSP. The carbon storage in the tree and herb layers of HXFZ showed no significant correlations with soil physicochemical properties, while carbon storage in the shrub layer was significantly positively correlated with Cd. In DGYS, the tree layer carbon storage had a very significant negative correlation with pH and Hg, along with a very significant positive correlation with SWC and SC. For XGYBQ and SWYJ, pH had a significant negative correlation with OC and TN, and Pb and Hg were significantly positively correlated with Cd and Hg. In summary, typical LGPCMs in Beijing significantly affected carbon storage and soil physicochemical properties. HXFZ increased carbon storage in the arbor layer short-term but reduced it in the shrub, herb, and soil layers, compromised soil structure, and increased pollution, undermining long-term sustainability. In contrast, WH and DGYS effectively controlled pests and diseases, enhanced carbon sequestration, maintained soil structure and nutrient accumulation, and reduced heavy metal levels, representing more sustainable and environmentally friendly strategies. It is recommended to adopt a comprehensive pest control strategy that emphasizes green control, optimizes tree species selection and configuration, and enhances plant and soil conservation management to promote sustainable urban landscaping. However, this study primarily examines the effects of a limited number of typical LGPCMs on carbon storage and soil physicochemical properties under static conditions. Due to the relatively small sample size, it is challenging to fully account for the potential influence of urban environmental factors. Future research should extend the time series, increase the sample size and diversity of pest control models, incorporate additional soil and vegetation indicators, and develop a multi-scale, multifactorial coupled analysis framework to reduce uncertainties and provide a more comprehensive understanding of the ecological impacts of typical LGPCMs.
Supplementary Materials
The following supporting information can be downloaded: https://www.mdpi.com/article/10.3390/f15122235/s1, Table S1: Basic information about the survey sample site.
Author Contributions
Conceptualization: L.X. and Y.H. (Youjun He); methodology: L.X., C.W. and Y.H. (Yating He); software: L.X.; data curation: L.X., C.W. and Y.H. (Youjun He); formal analysis: L.X. and Y.H. (Yating He); visualization: L.X.; investigation: C.W. and Y.H. (Yating He); original draft writing: L.X. and C.W.; writing—review and editing: L.X. and Y.H. (Youjun He); funding acquisition: Y.H. (Youjun He) and Y.H. (Yating He); resources: C.W.; supervision: Y.H. (Youjun He); validation: Y.H. (Yating He). All authors have read and agreed to the published version of the manuscript.
Funding
This research was funded by the Central Public Welfare Research Institutes Basic Research Business Funds to Support the Bureau’s Central Work Project (CAFYBB2023ZA003-4) and National Natural Science Foundation of China project (31901297).
Data Availability Statement
Dataset available on request from the authors.
Acknowledgments
The authors would like to thank the anonymous reviewers for their valuable comments and suggestions that improved the quality of this manuscript.
Conflicts of Interest
The authors declare that they have no conflicts of interest.
References
- Hobbie, S.E.; Grimm, N.B. Nature-based approaches to managing climate change impacts in cities. Philos. Trans. R. Soc. B 2020, 375, 20190124. [Google Scholar] [CrossRef] [PubMed]
- Xu, L.X.; He, Y.J.; Ai, X.R.; He, J. Ecosystem services sustainable forest management based on trade offs and synergies of forest. Acta Ecol. Sin. 2024, 44, 1347–1359. [Google Scholar]
- Bravo, F.; Lemay, V.; Jandl, R. Managing Forest Ecosystems: The Challenge of Climate Change; Springer: Cham, Switzerland, 2017. [Google Scholar]
- Yuan, Y.; Tang, S.; Zhang, J.; Guo, W. Quantifying the relationship between urban blue-green landscape spatial pattern and carbon sequestration: A case study of Nanjing’s central city. Ecol. Indic. 2023, 154, 110483. [Google Scholar] [CrossRef]
- Li, X.; Jiang, Y.; Liu, Y.; Sun, Y.; Li, C. The impact of landscape spatial morphology on green carbon sink in the urban riverfront area. Cities 2024, 148, 104919. [Google Scholar] [CrossRef]
- Grimm, N.B.; Faeth, S.H.; Golubiewski, N.E.; Redman, C.L.; Wu, J.; Bai, X.; Briggs, J.M. Global change and the ecology of cities. Science 2008, 319, 756–760. [Google Scholar] [CrossRef] [PubMed]
- Word Bank. Urban Population. 2023. Available online: https://data.worldbank.org (accessed on 11 July 2024).
- Churkina, G. Modeling the carbon cycle of urban systems. Ecol. Model. 2008, 216, 107–113. [Google Scholar] [CrossRef]
- Chen, K.Y.; Liu, R.H.; Zhang, B.; He, Y.J.; Xie, H.S. Forest belt of Wuhan city forest carbon storage and its dynamic changes of the city-encircling. Res. Soil Water Conserv. 2021, 28, 54–59+66. [Google Scholar]
- Deng, L.; Cui, Y.P.; Tang, Y.; Zhao, H.C.; Li, W.L.; Sun, Y.R. Distribution characteristics and influencing factors of carbon storage in urban green space. J. For. Environ. 2023, 43, 319–328. [Google Scholar]
- Baldi, L.; Trentinaglia, M.T.; Thrassou, A.; Galati, A. Growing green: Exploring the drivers of citizens’ participation in Italian urban and peri-urban forestation governance. Land Use Policy 2025, 148, 107385. [Google Scholar] [CrossRef]
- Narváez Vallejo, A.; Raumer, H.G.S.V.; Eisenberg, B. The interplay of land-use and land-ownership as a key for urban greening management. Urban For. Urban Green. 2024, 99, 128442. [Google Scholar] [CrossRef]
- Cai, X.J. Discussion on the prevention and control of pests in urban landscaping. Contemp. Hortic. 2020, 43, 181–182. [Google Scholar]
- Fernandez-Carrillo, A.; Patočka, Z.; Dobrovolný, L.; Franco-Nieto, A.; Revilla-Romero, B. Monitoring bark beetle forest damage in gentral Europe. A remote sensing approach validated with field data. Remote Sens. 2020, 12, 3634. [Google Scholar] [CrossRef]
- Guo, X.; Wanghe, K.; Ahmad, S.; Nabi, G.; Zhang, K.; Zhu, L.; Lu, D.; Han, D.; Zhou, K.; Strelnikov, I.I.; et al. A methodological framework integrating habitat suitability and landscape connectivity to identify optimal regions for insecticide application: A case study in Tongzhou, China. J. King Saud Univ. Sci. 2022, 34, 101905. [Google Scholar] [CrossRef]
- Liu, X.L. Study on forest pest control paths under green ecological background. Papermak. Equip. Mater. 2024, 53, 137–139. [Google Scholar]
- Meissle, M.; Mouron, P.; Musa, T.; Bigler, F.; Pons, X.; Vasileiadis, V.P.; Otto, S.; Antichi, D.; Kiss, J.; Pálinkás, Z.; et al. Pests, pesticide use and alternative options in European maize production: Current status and future prospects. J. Appl. Entomol. 2010, 134, 357–375. [Google Scholar] [CrossRef]
- Pandit, M.A.; Kumar, J.; Gulati, S.; Bhandari, N.; Mehta, P.; Katyal, R.; Rawat, C.D.; Mishra, V.; Kaur, J. Major biological control strategies for plant pathogens. Pathogens 2022, 11, 273. [Google Scholar] [CrossRef]
- Wang, M. Research progress on green control of pests. Agric. Technol. Serv. 2017, 34, 15. [Google Scholar]
- Raymaekers, K.; Ponet, L.; Holtappels, D.; Berckmans, B.; Cammue, B.P.A. Screening for novel biocontrol agents applicable in plant disease management—A review. Biol. Control 2020, 144, 104240. [Google Scholar] [CrossRef]
- Asare, D.; Ansong, M.; Asante, W.A.; Kyereh, B. Impact of different illegal artisanal small-scale mining techniques on soil properties in a major mining landscape in Ghana. Environ. Chall. 2024, 17, 101008. [Google Scholar] [CrossRef]
- Perennes, M.; Diekötter, T.; Hoffmann, H.; Martin, E.A.; Schröder, B.; Burkhard, B. Modelling potential natural pest control ecosystem services provided by arthropods in agricultural landscapes. Agr. Ecosyst. Environ. 2023, 342, 108250. [Google Scholar] [CrossRef]
- Wang, W.B. Modern forest pest control technology. Agric. Henan 2024, 58–60. [Google Scholar]
- Korányi, D.; Egerer, M.; Rusch, A.; Szabó, B.; Batáry, P. Urbanization hampers biological control of insect pests: A global meta-analysis. Sci. Total Environ. 2022, 834, 155396. [Google Scholar] [CrossRef]
- Sun, S.J.; Shang, H.Z. Garden plant pest control countermeasures. Xiandai Nongcun Keji 2018, 24–25. [Google Scholar]
- Wu, O.N.; Wu, D.J.; Xian, X.D. Discussion on the prescription management of garden pest control. Mod. Landsc. Archit. 2014, 11, 44–47. [Google Scholar]
- Emery, S.E.; Rosenheim, J.A.; Chaplin-Kramer, R.; Sharp, R.; Karp, D.S. Leveraging satellite observations to reveal ecological drivers of pest densities across landscapes. Sci. Total Environ. 2024, 924, 171591. [Google Scholar] [CrossRef] [PubMed]
- Veres, A.; Petit, S.; Conord, C.; Lavigne, C. Does landscape composition affect pest abundance and their control by natural enemies? A review. Agr. Ecosyst. Environ. 2011, 166, 110–117. [Google Scholar] [CrossRef]
- Poveda, K.; Díaz, M.F.; Espinosa, S.; Obregon, D.; Ramirez, A. Landscape complexity and elevation affect the effectiveness of a local pest-management practice. Glob. Ecol. Conserv. 2019, 20, e00763. [Google Scholar] [CrossRef]
- Jiang, Y.; Pan, S.; Cai, M.; Li, C.; Zhan, M.; Wang, J.; Mohamed, I.; Cao, C. Assessment of yield advantages of Bt-MH63 with cry1C* or cry2A* genes over MH63 (Oryza sativa L.) under different pest control modes. Field Crops Res. 2014, 155, 153–158. [Google Scholar] [CrossRef]
- Rega, C.; Bartual, A.M.; Bocci, G.; Sutter, L.; Albrecht, M.; Moonen, A.C.; Jeanneret, P.; van der Werf, W.; Pfister, S.C.; Holland, J.M.; et al. A pan-European model of landscape potential to support natural pest control services. Ecol. Indic. 2018, 90, 653–664. [Google Scholar] [CrossRef]
- Pérez-González, O.; Gomez-Flores, R.; Tamez-Guerra, P. Insight into biological control potential of Hirsutella citriformis against Asian Citrus Psyllid as a vector of citrus huanglongbing disease in America. J. Fungi. 2022, 8, 573. [Google Scholar] [CrossRef]
- Jiang, Q.; Yao, J.Y.; Wu, X.B.; Hao, J.F.; Pei, Z.L.; Li, T.L.; Shi, B.W.; Zhang, B.; Qi, J.Q. Effects of size of gaps in Cryptomeria fortunei plantation on soil physicochemical properties and species diversity in Zhougong Mountain. J. Ecol. Rural Environ. 2018, 34, 326–332. [Google Scholar]
- Zhang, K.; Pan, J.; An, Z.; Zhang, Y.; Yu, Y. Effects of alpine meadow degradation on the soil physical and chemical properties in Maqu, China. Res. Cold Arid Reg. 2024; in press. [Google Scholar]
- Hu, L.C.; Wang, Z.; Li, Z.H.; Li, Z.F.; Dong, D.W.; Bao, H.; Gao, R.H. Understory plant diversity and its relationship with soil physicochemical properties in different plantations in Mu Us Sandy Land. For. Res. 2024, 37, 174–181. [Google Scholar]
- Wang, S.H.; Li, J.; Zhang, C.H.; Jing, X.Y.; Zhao, J.J.; Han, L. Ecological control of garden pests in Tuancheng Lake water source area, Beijing. For. Pest Dis. 2019, 38, 39–46. [Google Scholar]
- Guo, L. Problems and Countermeasures of Pesticide Use in Beijing Landscaping. In Proceedings of the 2013 Urban Landscaping and Ecological Civilization Construction in Beijing, Beijing, China, 2013; Volume 5, pp. 360–364. [Google Scholar]
- Editorial Committee of Beijing Ecological Environmental Protection Series. Beijing Ecological Environmental Protection; China Environmental Publishing Group: Beijing, China, 2019. [Google Scholar]
- Cui, C. Application of green prevention and control in forestry pest control in Daxing District. J. Green Sci. Technol. 2022, 24, 192–195+199. [Google Scholar]
- Liu, Y.N.; Wei, X.H.; Li, X.J.; Wang, F.D.; Zhou, A.H. Non-chemical control for harmful pests which damaged Lycium chinense in Jiuquan city. Protect. For. Sci. Technol. 2019, 90–91. [Google Scholar] [CrossRef]
- Song, R.; Su, Z.; Wang, X.; Liu, Y.; Wan, W.; Zhou, W. The spatial pattern of butterfly diversity and its impact factors in Beijing urban green spaces. Acta Ecol. Sin. 2025, 45, 1–10. [Google Scholar] [CrossRef]
- Ding, Y.; Zang, R.G. Determinants of aboveground biomass in forests across three climatic zones in China. For. Ecol. Manag. 2021, 482, 118805. [Google Scholar] [CrossRef]
- Lu, W.F.; Xue, W.X.; Zhang, R.F.; Wei, P.J.; Chen, L.; Huang, Y.H.; Yu, J.C.; Zhao, S.; Zhao, Z.R.; Yan, Z.A. Response of soil physicochemical properties under Masson pine forests to different forest fire severities. Acta Ecol. Sin. 2025, 45, 1–12. [Google Scholar] [CrossRef]
- Zhou, J.M. Dictionary of Soil Science; Science Press: Beijing, China, 2013. [Google Scholar]
- Peng, X.J.; Huang, H.S.; Yan, Z.Y.; Zou, X.C.; He, K.N.; Cheng, S.; Wang, Z.X.; Li, R.; Liu, J.W.; Shi, Z.Y.; et al. Characteristics of soil physical and chemical properties of natural Betula platyphylla forests with different stand densities in the eastern Oilian Mountains. Acta Ecol. Sin. 2025, 45, 1–14. [Google Scholar] [CrossRef]
- GB 7857-87; Determination of Organic Matter in Forest Soil and Calculation of Carbon-Nitrogen Ratio. Standards Press of China: Beijing, China, 1988.
- GB 7173-87; Method for the Determination of Soil Total Nitrogen (Semi-Micro Kjeldahl method). Standards Press of China: Beijing, China, 1987.
- Li, J.Q.; Guo, Z.C.; Wang, Y.J.; Gao, L.; Peng, X.H. Effects of long-term fertilization on heavy metals accumulation and bioavailability in sloping cropland of red soil. J. Agro-Environ. Sci. 2024, 1–16. Available online: http://kns.cnki.net/kcms/detail/12.1347.S.20240924.1126.004.html (accessed on 10 November 2024).
- Wang, Z.D.; Kuwait, M.; Wang, J.L.; Li, M.G.; Qin, L.; Zhan, F.D.; Yang, Z.X. Effects of soil sterilization and fungicide application on growth and heavy metal accumulation in soybean. J. Yunnan Agric. Univ. (Nat. Sci.) 2024, 39, 1–9. Available online: http://kns.cnki.net/kcms/detail/53.1044.S.20241008.0915.002.html (accessed on 2 November 2024).
- DB11/T 953-2013; Technical Regulations for Forestry Carbon Accounting and Monitoring. Beijing Municipal Bureau of Quality and Technical Supervision: Beijing, China, 2013.
- DB11/T 1214-2015; Technical Code of Practice for Carbon Accounting of Afforestation Project in the Plain Areas. Beijing Municipal Bureau of Quality and Technical Supervision: Beijing, China, 2015.
- CCER-14-001-V01; China’s Voluntary Greenhouse Gas Emission Reduction Program Methodology -Afforestation Carbon Sinks. Ministry of Ecology and Environment of the People’s Republic of China: Beijing, China, 2023.
- Zhou, Z.Z.; Fan, C.N.; Guo, Z.L. Biomass of shrub and herb under mixed broad-leaved Korean pine forest in Changbai Mountain and its model construction. J. Beihua Univ. (Nat. Sci.) 2020, 21, 300–305. [Google Scholar]
- Hu, X.F.; Zhang, Y.X.; Duan, G.S.; Wang, J.B.; Wang, A.; Yu, W.; Zhang, H. Carbon storage distribution pattern of typical vegetation in China National Botanical Garden. Nat. Prot. Areas 2024, 1–12. Available online: http://kns.cnki.net/kcms/detail/33.1417.S.20240808.1051.006.html (accessed on 1 November 2024).
- He, Y.T.; Xie, H.S.; He, Y.J. Effects of different forest management regimes on carbon stock of natural secondary Quercus mongolica Forests. Ecol. Environ. Sci. 2022, 31, 215–223. [Google Scholar]
- Jo, H. Impacts of urban greenspace on offsetting carbon emissions for middle Korea. J. Environ. Manag. 2002, 64, 115–126. [Google Scholar] [CrossRef]
- Ariluoma, M.; Ottelin, J.; Hautamäki, R.; Tuhkanen, E.-M.; Mänttäri, M. Carbon sequestration and storage potential of urban green in residential yards: A case study from Helsinki. Urban For. Urban Green. 2021, 57, 126939. [Google Scholar] [CrossRef]
- Luo, Y.Y.; Zhao, X.Y.; Huang, Y.X.; Su, N.; Feng, J. Research progresson plant water use efficiency and its measuring methods. J. Desert Res. 2009, 29, 648–655. [Google Scholar]
- Ungaro, F.; Maienza, A.; Ugolini, F.; Lanini, G.M.; Baronti, S.; Calzolari, C. Assessment of joint soil ecosystem services supply in urban green spaces: A case study in Northern Italy. Urban For. Urban Green. 2022, 67, 127455. [Google Scholar] [CrossRef]
- Niu, G.; He, C.; Mao, S.; Chen, Z.; Ma, Y.; Zhu, Y. Enhanced soil fertility and sarbon sequestration in urban green spaces through the application of Fe-modified biochar combined with plant growth-promoting bacteria. Biology 2024, 13, 611. [Google Scholar] [CrossRef] [PubMed]
- Hetherington, A.M.; Woodward, F.I. The role of stomata in sensing and driving environmental change. Nature 2003, 424, 901–908. [Google Scholar] [CrossRef]
- Cheng, J.; Lee, X.; Gao, W.; Chen, Y.; Pan, W.; Tang, Y. Effect of biochar on the bioavailability of difenoconazole and microbial community composition in a pesticide-contaminated soil. Appl. Soil Ecol. 2017, 121, 185–192. [Google Scholar] [CrossRef]
- Guo, H.H.; Hou, S.P.; Zhao, J.X.; Yang, Z.H.; Song, L.H. Carbon storage of different community types in urban garden ecosystem: Taking park green space of Zhengzhou as example. Henan Sci. 2019, 37, 1431–1437. [Google Scholar]
- Du, X.X.; Chen, S. Disadvantages of chemical control and biological control of white moth in the United States. Contemp. Hortic. 2023, 46, 89–91. [Google Scholar]
- Zhao, D.; Cai, J.; Xu, Y.; Liu, Y.; Yao, M. Carbon sinks in urban public green spaces under carbon neutrality: A bibliometric analysis and systematic literature review. Urban For. Urban Green. 2023, 86, 128037. [Google Scholar] [CrossRef]
- Gratani, L.; Varone, L.; Bonito, A. Carbon sequestration of four urban parks in Rome. Urban For. Urban Green. 2016, 19, 184–193. [Google Scholar] [CrossRef]
- Li, Q.; Wang, F.; Cao, Y.; Peng, S.Z.; Chen, Y.M. Soil carbon storage and its determinants in the forests of Shaanxi Province China. Chin. J. Plant Ecol. 2017, 41, 953–963. [Google Scholar]
- Smith, P.; Fang, C.; Dawson, J.J.C.; Moncrieff, J.B. Impact of global warming on soil organic carbon. Adv. Agron. 2008, 97, 1–43. [Google Scholar]
- Pei, B.; Gao, G.R. lmpact of forest litter decomposition on soil carbon pool: A review. Chin. Agric. Sci. Bull. 2018, 34, 58–64. [Google Scholar]
- Ai, L.; Wu, F.Z.; Fan, X.B.; Yang, J.; Wu, Q.X.; Zhu, J.J.; Ni, X.Y. Short-term responses of soil enzyme activities and stoichiometry to litter input in Castanopsis carlesii and Cunninghamia lanceolata plantations. Chin. J. Appl. Ecol. 2024, 35, 631–638. [Google Scholar]
- Chen, K.; Tian, Z.; He, H.; Long, C.; Jiang, F. Bacillus species as potential biocontrol agents against citrus diseases. Biol. Control 2020, 151, 104419. [Google Scholar] [CrossRef]
- Wynn, J.G.; Bird, M.I.; Vellen, L.; Grand-Clement, E.; Carter, J.; Berry, S.L. Continental-scale measurement of the soil organic carbon pool with climatic, edaphic, and biotic controls. Glob. Biogeochem. Cycles 2006, 20, GB1007. [Google Scholar] [CrossRef]
- Pregitzer, K.S.; Euskirchen, E.S. Carbon cycling and storage in world forests: Biome patterns related to forest age. Glob. Change Biol. 2004, 10, 2052–2077. [Google Scholar] [CrossRef]
- Shi, N.; Yu, Y.; Liang, S.; Ren, Y.; Liu, M. Effects of urban green spaces landscape pattern on carbon sink among urban ecological function areas at the appropriate scale: A case study in Xi’an. Ecol. Indic. 2024, 158, 111427. [Google Scholar] [CrossRef]
- Du, C.; Bai, X.; Li, Y.; Tan, Q.; Zhao, C.; Luo, G.; Wu, L.; Chen, F.; Li, C.; Ran, C.; et al. Storage, form, and influencing factors of Karst inorganic carbon in a carbonate area in China. Sci. China Earth Sci. 2024, 67, 725–739. [Google Scholar] [CrossRef]
- Lowman, M. Life in the treetops—An overview of forest canopy science and its future directions. Plants People Planet 2021, 3, 16–21. [Google Scholar] [CrossRef]
- Liu, L.; Yu, J.J.; Zhou, W.J. Soil active organic carbon components and organic carbon reserves under different garden plants. Res. Soil Water Conserv. 2020, 27, 38–44. [Google Scholar]
- Ning, Z.; Zhao, X.; Li, Y.L.; Wang, L.; Lian, J.; Yang, H.; Li, Y.Q. Plant community C:N:P stoichiometry is mediated by soil nutrients and plant functional groups during grassland desertification. Ecol. Eng. 2021, 162, 106179. [Google Scholar] [CrossRef]
- Ji, H.; Han, J.G.; Li, P.P.; Zhu, Y.L.; Guo, Y.H.; Hao, D.P. Effects of different vegetation types on soil organic carbon particle size distribution and microbial community structure in Hongze Lake Wetland. J. Nanjing For. Univ. (Nat. Sci. Ed.) 2021, 45, 141–150. [Google Scholar]
- Brady, N.C.; Weil, R.R. The Nature and Properties of Soils, 15th ed.; Pearson Education: Harlow, UK; London, UK; New York, NY, USA, 2016. [Google Scholar]
- Wu, J.W.; Guo, H.; Zheng, J.; Zhang, Q.; Luo, Z.Z.; He, Y.Z.; Lu, Y. Response of soil chemical properties and microbial community characteristics in Lycium barbarum orchard to planting years. Chin. J. Appl. Ecol. 2024, 1–12. [Google Scholar] [CrossRef]
- Zhou, L.; Peng, X.Y.; Tang, L.; Pu, Z.X.; Wang, F.; Zhao, P. Soil pH, organic matter, medium and micro nutrients and comprehensive fertility evaluation of tea gardens in Pu’er City. J. South. Agric. 2024, 55, 1628–1638. [Google Scholar]
- Ahmad, M.F.; Ahmad, F.A.; Alsayegh, A.A.; Zeyaullah, M.d.; AlShahrani, A.M.; Muzammil, K.; Saati, A.A.; Wahab, S.; Elbendary, E.Y.; Kambal, N.; et al. Pesticides impacts on human health and the environment with their mechanisms of action and possible countermeasures. Heliyon 2024, 10, e29128. [Google Scholar] [CrossRef] [PubMed]
- Dhuldhaj, U.P.; Singh, R.; Singh, V.K. Pesticide contamination in agro-ecosystems: Toxicity, impacts, and bio-based management strategies. Environ. Sci. Pollut. 2023, 30, 9243–9270. [Google Scholar] [CrossRef]
- Zhao, Y.P.; Wang, Z.G.; Fu, Y.B.; Chen, B.W.; Bian, Q.Y. Effects of different organic materials on chemical properties and microbial quantity of clay soil in Southern Xinjiang. J. Northwest A F Univ. (Nat. Sci. Ed.) 2025, 1–9. [Google Scholar] [CrossRef]
- Jiang, J. Effects of different forest management modes on soil nutrient and heavy metal content in reclaimed soil. China South. Agric. Mach. 2021, 52, 45–47. [Google Scholar]
- Hou, Y.; Yang, H.; Zhu, X.Y.; Ding, J.P. Research progress on effects of landscape plants on soil of urban green space. Northeast Hortic. 2022, 13, 126–133. [Google Scholar]
- Yang, Y.B.; Xie, X.H.; Weng, J.W. Contents and assessment of soil heavy metal pollution in different types of green space in Changchun. Chin. J. Soil Sci. 2020, 51, 1454–1460. [Google Scholar]
- Xia, X.; Chen, X.; Liu, R.; Liu, H. Heavy metals in urban soils with various types of land use in Beijing, China. J. Hazard. Mater. 2011, 186, 2043–2050. [Google Scholar] [CrossRef] [PubMed]
- Li, X.; Liu, L.; Wang, Y.; Luo, G.; Chen, X.; Yang, X.; Hall, M.H.P.; Guo, R.; Wang, H.; Cui, J.; et al. Heavy metal contamination of urban soil in an old industrial city (Shenyang) in Northeast China. Geoderma 2013, 192, 50–58. [Google Scholar] [CrossRef]
- Fang, S.; Hua, C.; Yang, J.; Liu, F.; Wang, L.; Wu, D.; Ren, L. Combined pollution of soil by heavy metals, microplastics, and pesticides: Mechanisms and anthropogenic drivers. J. Hazard. Mater. 2025, 485, 136812. [Google Scholar] [CrossRef]
- Wang, D.; Zhao, J.M.; Lei, L.J.; Zhang, X.; Xu, C.L. Soil physical and chemical properties of different alpine plants in eastern Qilian Mountains. Bull. Soil Water Conserv. 2021, 41, 35–40. [Google Scholar]
- Pan, S.; Shi, Z.J.; Mao, X.N.; Yuan, F.J.; Zeng, W.; Jiao, Y.J. Chemical properties effects of composition and thickness of green-waste mulches on Soil. J. West China For. Sci. 2022, 51, 153–158. [Google Scholar]
- Delgado, A.; Gómez, J.A. The Soil: Physical, Chemical, and Biological Properties; Springer: Cham, Switzerland, 2024. [Google Scholar]
- Capel, P.D. Organic Chemical Concepts, 1st ed.; Van Nostrand Reinhold: New York, NY, USA, 1993. [Google Scholar]
- Pereira, V.J.; Cunha, J.P.A.R.; Morais, T.P.; Ribeiro-Oliveira, J.P.; Morais, J.B. Physical-chemical properties of pesticides: Concepts, applications, and interactions with the environment. J. Biosci. 2016, 32, 627–641. [Google Scholar] [CrossRef]
Disclaimer/Publisher’s Note: The statements, opinions and data contained in all publications are solely those of the individual author(s) and contributor(s) and not of MDPI and/or the editor(s). MDPI and/or the editor(s) disclaim responsibility for any injury to people or property resulting from any ideas, methods, instructions or products referred to in the content. |
© 2024 by the authors. Licensee MDPI, Basel, Switzerland. This article is an open access article distributed under the terms and conditions of the Creative Commons Attribution (CC BY) license (https://creativecommons.org/licenses/by/4.0/).





