Seedling Production of Retrophyllum rospigliosii in Nurseries and Potential Reforestation Areas Using Modeling Techniques
Abstract
1. Introduction
2. Materials and Methods
2.1. First Component: Nursery Experiment
2.1.1. Study Material, Germination, and Transplantation
2.1.2. Experimental Design
2.1.3. Morphometric Evaluation
2.1.4. Data Analysis
2.2. Second Component: Ecological Niche Modeling (ENM)
2.2.1. Data Sampling for ENM
2.2.2. Evaluation of ENM and Identification of Potential Reforestation Areas
3. Results
3.1. Nursery Experiment
3.1.1. Seed Germination
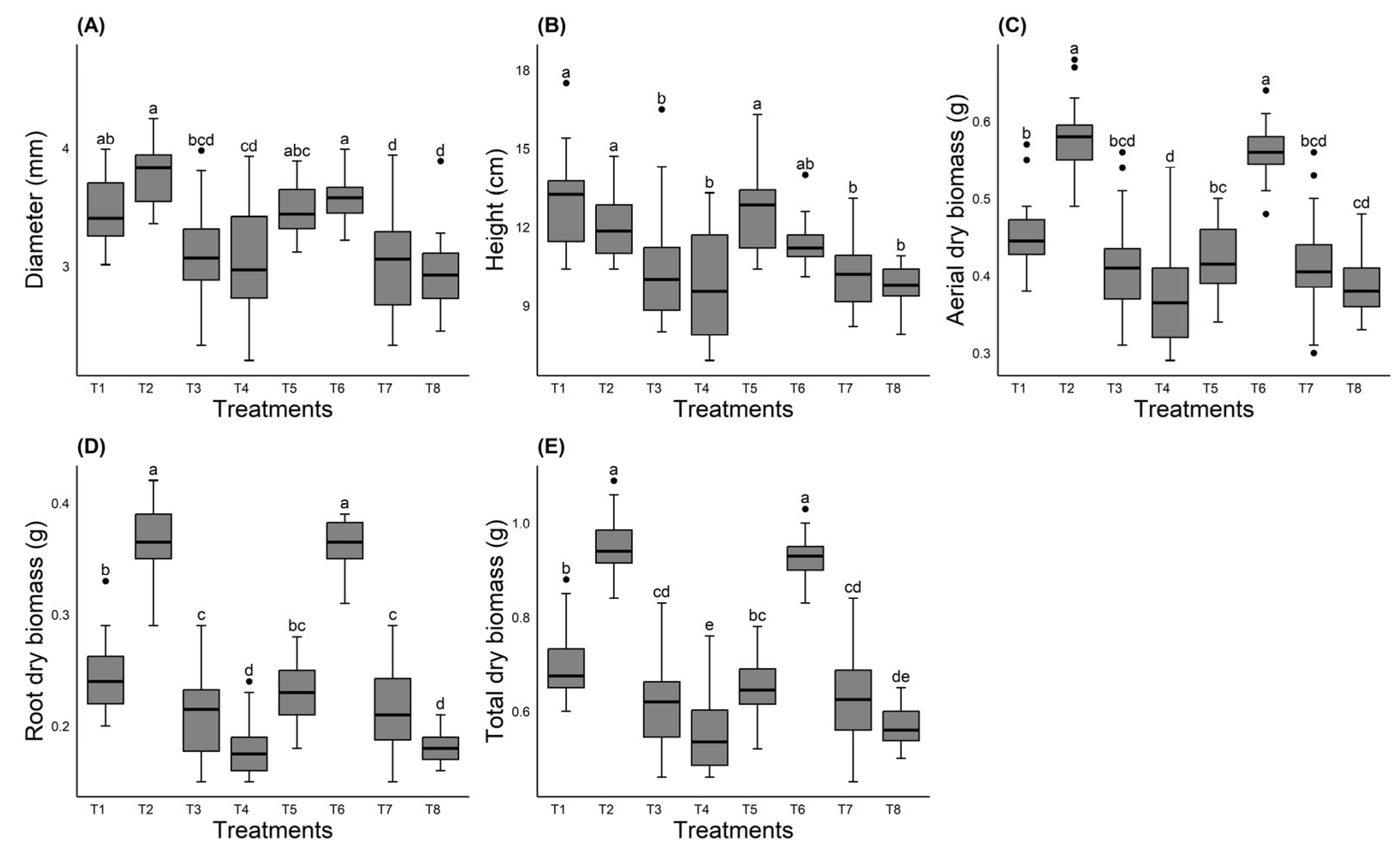
3.1.2. Morphological Characteristics of Seedlings After the Application of CRF Treatments Using Two Container Volumes
3.1.3. Seedling Quality Indices After the Application of CRF Treatments Using Two Container Volumes
3.2. Ecological Niche Modeling (ENM)
3.2.1. Contribution of Predictor Variables
3.2.2. Current Potential Distribution
3.2.3. Priority Reforestation Areas According Ecological Niche Modeling (ENM)
4. Discussion
4.1. Nursery Experiment
4.1.1. Seed Germination in Commercial Substrate
4.1.2. Combined Effect of the Application of CRF Treatments and Two Container Volumes on the Morphological Characteristics of Seedlings
4.1.3. Combined Effect of the Application of CRF Treatments and Two Container Volumes on the Seedling Quality Indices
4.2. Ecological Niche Modeling (ENM)
Potential Areas for Reforestation Identified Through ENM
5. Conclusions
Author Contributions
Funding
Data Availability Statement
Conflicts of Interest
References
- Myers, N.; Mittermeier, R.A.; Mittermeier, C.G.; Fonseca, G.A.B.; Kent, J. Biodiversity hotspots for conservation priorities. Nature 2000, 403, 853–858. [Google Scholar] [CrossRef] [PubMed]
- Bologna, M.; Aquino, G. Deforestation and world population sustainability: A quantitative analysis. Sci. Rep. 2020, 10, 7631. [Google Scholar] [CrossRef] [PubMed]
- FAO. Restaurar la tierra—El próximo decenio. Unasylva 2021, 71, 152. [Google Scholar] [CrossRef]
- Di Sacco, A.; Hardwick, K.A.; Blakesley, D.; Brancalion, P.H.S.; Breman, E.; Cecilio Rebola, L.; Chomba, S.; Dixon, K.; Elliott, S.; Ruyonga, G.; et al. Ten golden rules for reforestation to optimize carbon sequestration, biodiversity recovery and livelihood benefits. Glob. Change Biol. 2021, 27, 1328–1348. [Google Scholar] [CrossRef]
- Mill, R.R. A monographic revision of Retrophyllum (Podocarpaceae). Edinb. J. Bot. 2016, 73, 171–261. [Google Scholar] [CrossRef]
- More, P.; Cuellar, J.; Salazar, E. Propagación vegetativa de Retrophyllum rospigliosii (Pilg.) C.N. Page “Ulcumano” en cámara de subirrigación en Chanchamayo/Perú. Ecol. Apl. 2021, 20, 15–23. [Google Scholar] [CrossRef]
- Gardner, M.; Thomas, P. Retrophyllum rospigliosii. The IUCN Red List of Threatened Species 2013: E.T34110A2846471. International Union for Conservation of Nature and Natural Resources 2013. Available online: https://doi.org/10.2305/IUCN.UK.2013-1.RLTS.T34110A2846471.en (accessed on 30 October 2024).
- Instituto Nacional de Innovación Agraria. Producción clonal de árboles plus de Ulcumano (Retrophyllum rospigliosii) a partir de individuos identificados genéticamente por su calidad de fuste e inserción de rama; Ministerio de Agricultura y Riego: San Ramón, Perú, 2020; pp. 1–31. Available online: https://hdl.handle.net/20.500.12955/1708 (accessed on 23 March 2022).
- Instituto Nacional de Innovación Agraria. Fortalecimiento institucional para la prestación de servicios de investigación y transferencia de tecnologías para mejorar los ingresos campesinos de la selva central; Ministerio de Agricultura y Riego: Lima, Peru, 2015; pp. 1–2.
- Ivetić, V.; Devetaković, J.; Maksimović, Z. Initial height and diameter are equally related to survival and growth of hardwood seedlings in first year after field planting. Reforesta 2016, 2, 6–21. [Google Scholar] [CrossRef]
- Mexal, J.G.; Landis, T.D. Target seedling concepts: Height and diameter. In National Nursery Proceedings, Combined Meeting of the Western Forest Nursery Associations 1990, Roseburg, OR, USA, 13–17 August 1990; Rose, R., Campbell, S., Landis, T., Eds.; Department of Agriculture, Forest Service, Rocky Mountain Forest and Range Experiment Station: Fort Collins, CO, USA, 1990; pp. 13–17. [Google Scholar]
- Grossnickle, S.C. Why seedlings survive: Influence of plant attributes. New For. 2012, 43, 711–738. [Google Scholar] [CrossRef]
- Grossnickle, S.C.; MacDonald, J.E. Why seedlings grow: Influence of plant attributes. New For. 2018, 49, 1–34. [Google Scholar] [CrossRef]
- Ivetić, V.; Grossnickle, S.; Škoric, M. Forecasting the field performance of Austrian pine seedlings using morphological attributes. iForest-Biogeosci. For. 2017, 10, 99–107. [Google Scholar] [CrossRef]
- Cabreira, G.V.; dos, S.; Leles, P.S.; Alonso, J.M.; de Resende, A.S.; Cabreira, W.V.; Silva e Sousa, T.J. Controlled-release fertilizer and container volume to produce Inga laurina seedlings. Floresta Ambient. 2021, 28, 2–9. [Google Scholar] [CrossRef]
- Cabreira, G.V.; Santos Leles, P.S.; Alonso, J.M.; Marques de Abreu, A.H.; Arthur Junior, J.C.; Gusmão Vieira, A.V.; Franzini Lopes, N. Fertilization and containers in the seedlings production and post-planting survival of Schizolobium parahyba. Cienc. Florest. 2019, 29, 1644–1657. [Google Scholar] [CrossRef]
- Aimi, S.C.; Araujo, M.M.; León, E.B.; de Oliveira, G.G.; da Silva Cunha, F. Volumen de contenedores y dosis de fertilizante de liberación controlada en el crecimiento de plantas de Cabralea canjerana producidas en vivero. Bosque 2016, 37, 401–407. [Google Scholar] [CrossRef]
- Brachtvogel, E.L.; Malavasi, U.C. Volume do recipiente, adubação e sua forma de mistura ao substrato no crescimento inicial de Peltophorum dubium (sprengel) taubert em viveiro. Rev. Árvore 2010, 34, 223–232. [Google Scholar] [CrossRef]
- Proto Dias, G.; Carlos, L.; Alves, J.M.; Santos Silva, L.C.; Cavalcante, T.J. Tube volumes and fertilization management in Acrocarpus fraxinifolius seedlings. Floresta Ambient. 2020, 27, 2–7. [Google Scholar] [CrossRef]
- Oertli, J.J. Controlled-release fertilizers. Fertil. Res. 1980, 1, 103–123. [Google Scholar] [CrossRef]
- Vejan, P.; Khadiran, T.; Abdullah, R.; Ahmad, N. Controlled release fertilizer: A review on developments, applications and potential in agriculture. J. Control. Release 2021, 339, 321–334. [Google Scholar] [CrossRef]
- Wei, X.; Chen, J.; Gao, B.; Wang, Z. Role of controlled and slow release fertilizers in fruit crop nutrition. In Fruit Crops: Diagnosis and Management of Nutrient Constraints; Srivastava, A.K., Hu, C., Eds.; Elsevier Inc.: Amsterdam, The Netherlands, 2020; pp. 555–566. [Google Scholar] [CrossRef]
- Mezzomo, J.C.; Araujo, M.M.; Turchetto, F.; Rorato, D.G.; Griebeler, A.M.; Berghetti, A.L.P.; Barbosa, F.M. Silvicultural Potential of Handroanthus heptaphyllus Under Doses of Controlled Release Fertilizer and Container Volume, in Nursery and in the Field. J. Agric. Sci. 2018, 10, 389. [Google Scholar] [CrossRef][Green Version]
- Shaviv, A. Advances in controlled-release fertilizers. Adv. Agron. 2001, 71, 1–49. [Google Scholar] [CrossRef]
- Gibson, E.L.; de Oliveira Gonçalves, E.; Dos Santos, A.R.; Araújo, E.F.; Caldeira, M.V.W. Controlled-release fertilizer on growth of Melanoxylon brauna Schott seedlings. Floresta Ambient. 2019, 26, e20180418. [Google Scholar] [CrossRef]
- Llambí, L.D.; Garcés, A. Adaptación al cambio climático en los Andes: Vacíos y prioridades para la gestión del conocimiento. In Consorcio Para el Desarrollo Sostenible de la Ecorregion Andina; CONDESAN: Quito, Ecuador, 2021; p. 62. [Google Scholar]
- Peterson, A.T.; Soberón, J.; Pearson, R.G.; Anderson, R.P.; Martínez-Meyer, E.; Nakamura, M.; Bastos Araújo, M. Ecological Niches and Geographic Distributions; Princeton University Press: Princeton, NJ, USA, 2011. [Google Scholar] [CrossRef]
- Zhu, G.; Liu, G.; Bu, W.; Gao, Y. Ecological niche modeling and its applications in biodiversity conservation. Biodivers. Sci. 2013, 21, 90. [Google Scholar]
- Peterson, A.T.; Soberón, J. Integrating fundamental concepts of ecology, biogeography, and sampling into effective ecological niche modeling and species distribution modeling. Plant Biosyst.—Int. J. Deal. All Asp. Plant Biol. 2012, 146, 789–796. [Google Scholar] [CrossRef]
- Barve, N.; Barve, V.; Jiménez-Valverde, A.; Lira-Noriega, A.; Maher, S.P.; Townsend Peterson, A.; Soberon, J.; Villalobos, F. The crucial role of the accessible area in ecological niche modeling and species distribution modeling. Ecol. Model. 2011, 222, 1810–1819. [Google Scholar] [CrossRef]
- Guisan, A.; Thuiller, W. Predicting species distribution: Offering more than simple habitat models. Ecol. Lett. 2005, 8, 993–1009. [Google Scholar] [CrossRef] [PubMed]
- Zellmer, A.J.; Claisse, J.T.; Williams, C.M.; Schwab, S.; Pondella, D. J Predicting Optimal Sites for Ecosystem Restoration Using Stacked-Species Distribution Modeling. Front. Mar. Sci. 2019, 6, 3. [Google Scholar] [CrossRef]
- Gastón, A.; Garcia-Vinas, J.I.; Bravo-Fernández, A.J.; López-Leiva, C.; Oliet, J.A.; Roig, S.; Serrada, R. Species distribution models applied to plant species selection in forest restoration: Are model predictions comparable to expert opinion? New For. 2014, 45, 641–653. [Google Scholar] [CrossRef]
- Elith, J.; Leathwick, J. The contribution of species distribution modelling to conservation prioritization. In Spatial Conservation Prioritization Quantitative Methods and Computational Tools; Moilanen, A., Wilson, K.A., Possingham, H.P., Eds.; Oxford University Press: Oxford, UK, 2009; pp. 70–93. [Google Scholar]
- Ramírez, J.A.; Marín, A.; Urrego, J.B.; Castaño, A.; Ospina, R. Efecto de la fertilización en el crecimiento de Retrophyllum rospigliosii de la zona andina colombiana. Madera Bosques 2021, 27, e2732315. [Google Scholar] [CrossRef]
- Alvarado Sanabria, O.H. Effect of water deficit on water status and growth of five tropical species used in urban forestry. Rev. Fac. Nac. Agron. Medellín 2023, 76, 10125–10134. [Google Scholar] [CrossRef]
- Ramírez, J.A.; Marín, A.; Gómez, A.; del Valle, J.I. Growth and yield of Retrophyllum rospigliosii pure plantations in the Colombian Andes. New For. 2024, 55, 1363–1378. [Google Scholar] [CrossRef]
- Saldaña, C.L.; Cancan, J.D.; Salazar, E.J.; Chumbimune, S.Y.; Jhoncon, J.H.; Arbizu, C.I. Genetic structure and diversity of a peruvian collection of a high-quality wood tree species, Ulcumano (Retrophyllum rospigliosii, Podocarpaceae). Chil. J. Agric. Anim. Sci. 2022, 38, 374–389. [Google Scholar] [CrossRef]
- Teran Soto, A.C. Efecto de dos Fertilizantes de Liberación Controlada Sobre el Crecimiento de Pinus Tecunumanii en la Etapa de Vivero—Oxapampa. Bachelor’s Thesis; Universidad Nacional Agraria La Molina: La Molina, Peru, 2018. Available online: https://hdl.handle.net/20.500.12996/3180 (accessed on 2 April 2022).
- Muñoz Flores, H.J.; García Magaña, J.J.; Coria Ávalos, V.M.; Orozco Gutiérrez, G.; Muñoz Vega, Y.Y. Características morfológicas de plántulas de dos especies forestales tropicales propagadas en contenedores biodegradables y charolas styroblock. Rev. Mex. Ciencias. For. 2011, 2, 21–34. [Google Scholar]
- Song, W.K.; Byeon, S.Y.; Lee, H.; Lee, M.S.; Ryu, D.; Kang, J.W.; Han, S.H.; Oh, C.Y.; Kim, H.S. Species-specific morphological and physiological characteristics and progressive nitrogen limitation under elevated CO2 concentration. iForest 2020, 13, 270–278. [Google Scholar] [CrossRef]
- Wang, M.; Li, G.; Liu, Y. Nursery fertilization affected field performance and nutrient resorption of Populus tomentosa Carr. Ploidy Levels. iForest–Biogeosci. For. 2022, 15, 16–23. [Google Scholar] [CrossRef]
- Afonso, M.V.; Paranhos, J.T.; Tabaldi, L.A.; Soriani, H.H.; Saldanha, C.W. Tabernaemontana catharinensis A. DC. seedling emergence and growth in different substrates. Floresta Ambient. 2020, 27, e20170770. [Google Scholar] [CrossRef]
- Zavistanovicz, T.C.; Aimi, S.C.; Araujo, M.M.; Berghetti, Á.L.P.; Gomes, D.R.; Barbosa, F.M. Production techniques of arboreal species seedlings and use of mulching in an altered area. Revista. Árvore 2021, 45, e4520. [Google Scholar] [CrossRef]
- Dominguez-Nuñez, J.A.; Delgado-Alvez, D.; Berrocal-Lobo, M.; Anriquez, A.; Albanesi, A. Controlled-release fertilizers combined with Pseudomonas fluorescens rhizobacteria inoculum improve growth in Pinus halepensis seedlings. iForest 2014, 8, 12–18. [Google Scholar] [CrossRef]
- Dickson, A.; Leaf, A.L.; Hosner, J.F. Quality appraisal of white spruce and white pine seedling stock in nurseries. For. Chron. 1960, 36, 10–13. [Google Scholar] [CrossRef]
- Basave Villalobos, E.; Cetina Alcalá, V.M.; López López, M.A.; Aldrete, A.; Del Valle Paniagua, D.H. Nursery practices increase seedling performance on nutrient-poor soils in Swietenia humilis. iForest 2015, 8, 552–557. [Google Scholar] [CrossRef]
- Chu, X.; Wang, X.; Zhang, D.; Wu, X.; Zhou, Z. Responses of Taxus chinensis and Phoebe chekiangensis seedlings to controlled-release fertilizer in various formulations and application rates. iForest 2019, 12, 254–261. [Google Scholar] [CrossRef]
- Aldrete, A.; Sánchez, J.; Aguilera, M.; Cibrián, D.; García, S. Manual de buenas prácticas para el manejo de la salud de planta en viveros forestales; Universidad Autónoma Chapingo: Méx, México, 2023. [Google Scholar]
- Tropicos. Retrophyllum rospigliosii (Pilg.) C.N.Page. Missouri Botanical Garden. 2023. Available online: https://www.tropicos.org/home (accessed on 13 June 2023).
- GBIF. Retrophyllum rospigliosii (Pilg.) C.N.Page. GBIF Backbone Taxonomy. 2023. Available online: https://doi.org/10.15468/dl.fnk94j (accessed on 13 June 2023).
- Arias Quispe, D. Modelado del Nicho Ecológico de Diablo Fuerte (Prumnopitys harmsiana), Ulcumano (Retrophyllum rospigliosii), y Nogal (Juglans neotropica) en las Regiones de Huánuco, Pasco y Junín. Bachelor’s Thesis, Universidad Nacional del Centro del Perú, Huancayo, Peru, 2016. Available online: http://hdl.handle.net/20.500.12894/3458 (accessed on 21 August 2023).
- Karger, D.N.; Lange, S.; Hari, C.; Reyer CP, O.; Zimmermann, N.E. CHELSA-W5E5 v1.0: W5E5 v1.0 downscaled with CHELSA v2.0., version 1.0.1; ISIMIP Repository: 2022. Available online: https://data.isimip.org/10.48364/ISIMIP.836809.1 (accessed on 21 August 2023).
- Batjes, N.H.; Ribeiro, E.; Van Oostrum, A. Standardised soil profile data to support global mapping and modelling (WoSIS snapshot 2019). Earth Syst. Sci. Data 2020, 12, 299–320. [Google Scholar] [CrossRef]
- R Core Team. R: A Language and Environment for Statistical Computing; R Foundation for Statistical Computing: Vienna, Austria, 2023; Available online: https://www.r-project.org/ (accessed on 5 July 2023).
- Naimi, B.; Araújo, M.B. sdm: A reproducible and extensible R platform for species distribution modelling. Ecography 2016, 39, 368–375. [Google Scholar] [CrossRef]
- Barbosa, A.M. fuzzySim: Applying fuzzy logic to binary similarity indices in ecology. Methods Ecol. Evol. 2015, 6, 853–858. [Google Scholar] [CrossRef]
- Leroy, B.; Meynard, C.N.; Bellard, C.; Courchamp, F. virtualspecies, an R package to generate virtual species distributions. Ecography 2015, 39, 599–607. [Google Scholar] [CrossRef]
- Phillips, S.J.; Anderson, R.P.; Dudìk, M.; Schapire, R.E.; Blair, M.E. Opening the black box an open-source release of Maxent. Ecography 2017, 40, 887–893. [Google Scholar] [CrossRef]
- Cobos, M.E.; Peterson, A.T.; Barve, N.; Osorio-Olvera, L. Kuenm: An R package for detailed development of ecological niche models using Maxent. PeerJ 2019, 7, e6281. [Google Scholar] [CrossRef]
- Peterson, A.T.; Soberón, J. Species distribution modeling and ecological niche modeling: Getting the Concepts Right. Nat. Conserv. 2012, 10, 102–107. [Google Scholar] [CrossRef]
- Radosavljevic, A.; Anderson, R.P. Making better Maxent models of species distributions: Complexity, overfitting and evaluation. J. Biogeogr. 2014, 41, 629–643. [Google Scholar] [CrossRef]
- QGIS. QGIS Geographic Information System; QGIS Association: London, UK, 2021; Available online: https://www.qgis.org/ (accessed on 7 May 2023).
- Corporación Autónoma Regional del Centro de Antioquia. Manejo de las Semillas y la Propagación de diez Especies Forestales del Bosque Andino; Corantioquia: Medellín, Colombia, 2007. [Google Scholar]
- Mambague, S.J.; Hernández, J.G.; Marín, A.M.; Ramírez, J.A. Seed quality and pregermination treatments to improve germination time and percentage in nursery of Retrophyllum rospigliosii. Caldasia 2024, 46. [Google Scholar] [CrossRef]
- Ceballos-Freire, ÁJ.; López-Ríos, J. Conservación de la calidad de semillas forestales nativas en almacenamiento. Cenicafe 2007, 58, 265–292. [Google Scholar]
- Dias Silva, L.D.; Leite Lima, A.P.; Ferreira de Lima, S.; Costa Silva, R.; Ferreira Paniago, G. Controlled-release fertilizer in the production and quality of Acacia mangium seedlings. Floresta Ambient. 2019, 26, e02092017. [Google Scholar] [CrossRef]
- Madrid-Aispuro, R.E.; Prieto-Ruíz, J.A.; Aldrete, A.; Hernández-Díaz, J.C.; Wehenkel, C.; Chávez-Simental, J.A.; Mexal, J.G. Alternative substrates and fertilization doses in the production of Pinus cembroides Zucc. in nursery. Forests 2020, 11, 71. [Google Scholar] [CrossRef]
- Gasparin, E.; Avila, A.L.; Machado Araujo, M.; Cargnelutti Filho, A.; Urrutia Dorneles, D.; Becker Foltz, D.R. Influência do substrato e do volume de recipiente na qualidade das mudas de Cabralea canjerana (Vell.) Mart. em viveiro e no campo. Ciência Florest. 2014, 24, 553–563. [Google Scholar] [CrossRef]
- Getman-Pickering, Z.L.; Stack, G.M.; Thaler, J.S. Fertilizer quantity and type alter mycorrhizae-conferred growth and resistance to herbivores. J. Appl. Ecol. 2021, 58, 931–940. [Google Scholar] [CrossRef]
- Rossa, Ü.B.; Angelo, A.C.; Bognola, I.A.; Westphalen, D.J.; Milani, J.E. Fertilizante de liberação lenta no desenvolvimento de mudas de Eucalyptus grandis. Floresta 2015, 45, 85–96. [Google Scholar] [CrossRef]
- Santos, A.R.; Gonçalves ED, O.; Gibson, E.L.; Araújo, E.F.; Caldeira, M.V.W. Controlled-release fertilizer in the growth of Dalbergia nigra seedlings. Floresta 2020, 50, 1203–1212. [Google Scholar] [CrossRef]
- Grossnickle, S.C. Importance of root growth in overcoming planting stress. New For. 2005, 30, 273–294. [Google Scholar] [CrossRef]
- Bernaola-Paucar, R.M.; Ruiz-Blandon, B.; Salcedo-Pérez, E.; Zapata-Hernández, I. Nursery management factors that influence growth and survival of Pinus douglasiana in Mexico. Bosque 2022, 43, 101–115. [Google Scholar] [CrossRef]
- Stüpp, Â.M.; Navroski, M.C.; Felippe, D.; Castanhel Kniess, D.; Amancio, J.C.; Silva, M.A.; Oliveira Pereira, M. Crescimento de mudas de Mimosa scabrella Benth em função de diferentes tamanhos de recipientes e doses de fertilizante. Rev. Ecol. Nutr. Florest—ENFLO 2015, 3, 40–47. [Google Scholar] [CrossRef]
- De La Fuente, L.M.; Ovalle, J.F.; Arellano, E.C.; Ginocchio, R. Use of alternative containers for promoting deep rooting of native forest species used for dryland restoration: The case of Acacia caven. iForest 2017, 10, 776–782. [Google Scholar] [CrossRef]
- Escobar Alonso, S. Planta de Calidad de Pinus leiophylla y Pinus teocote Usando Compostas de Corteza y Aserrín de Pino. Master’s Thesis, Universidad Autónoma Chapingo, Texcoco, Mexico, 2019. Available online: https://repositorio.chapingo.edu.mx/server/api/core/bitstreams/1a26b611-4edb-403b-9118-a5c0859ce919/content (accessed on 23 August 2022).
- Rueda Sánchez, A.; Benavides-Solorio, J.D.; Saenz-Reyez, J.T.; Muñoz Flores, H.J.; Prieto-Ruiz, J.A.; Orozco Gutiérrez, G. Quality of plants produced in forest nurseries of Nayarit. Rev. Mex. Ciencias For. 2014, 5, 58–73. [Google Scholar]
- Sáenz, T.; Muñoz Flores, H.J.; Pérez, D.C.M.A.; Rueda Sánchez, A.; Hernández Ramos, J. Calidad de planta de tres especies de pino en el vivero ‘Morelia’, estado de Michoacán. Rev. Mex. Ciencias For. 2014, 5, 98–111. [Google Scholar]
- Rueda Sánchez, A.; Benavides Solorio, J.D.; Prieto-Ruiz, J.A.; Sáenz Reyez, J.T.; Orozco-Gutiérrez, G.; Molina Castañeda, A. Calidad de planta producida en los viveros forestales de Jalisco. Rev. Mex. Ciencias. For. 2012, 3, 71–82. [Google Scholar] [CrossRef]
- Soberón, J.; Peterson, A.T. Interpretation of models of fundamental ecological niches and species’ distributional areas. Biodivers. Inform. 2005, 2, 1–10. [Google Scholar] [CrossRef]
- Warren, D.L.; Seifert, S. Ecological niche modeling in Maxent: The importance of model complexity and the performance of model selection criteria. Ecol. Appl. 2011, 21, 335–342. [Google Scholar] [CrossRef]
- Reynel, C.; Pennington, R.; Pennington, T.; Flores, C.; Daza, A. Árboles útiles de la Amazonía peruana. Un manual Con Apuntes de Identificación, Ecología y Propagación de las Especies; Royal Botanic Gardens Kew, Royal Botanic Gardens Edinburgh e ICRAF, Eds.; Herbario de la Facultad de Ciencias Forestales de la Universidad Agraria-La Molina: Lima, Perú, 2003. [Google Scholar]
- Cuesta, F.; Peralvo, M.; Valarezo, N. Los Bosques Montanos de los Andes Tropicales; Programa Regional ECOBONA: Quito, Ecuador, 2009; p. 41. [Google Scholar]
- García Mego, L.M. Estimación del Stock de Carbono en las Especies: Retrophyllum rospigliosii y Prumnopitys harmsiana, en el Bosque de Huamantanga, Jaén. Bachelor’s Thesis, Universidad Privada del Norte, Trujillo, Peru, 2019; p. 88. Available online: https://hdl.handle.net/11537/22313 (accessed on 25 June 2022).
- Clewell, A.F.; Aronson, J. Ecological Restoration: Principles, Values, and Structure of an Emerging Profession, 2nd ed.; Island Press: Washington, DC, USA, 2013; 336p. [Google Scholar]
- Cuyckens, G.A.E.; Renison, D. Identification of priority areas for the restoration of high Andean Mountain forests under climate change: A case study using potential distribution models. Restor. Ecol. 2024, 32, e14193. [Google Scholar] [CrossRef]




| Treatments | Container Volume (cc) | Dose of CRF (g/L) | Description |
|---|---|---|---|
| T1 (control) | 115 | 0.0 | 115 cc + 00 g/L de CRF |
| T2 | 115 | 4.2 | 115 cc + 4.2 g/L de CRF |
| T3 | 115 | 8.4 | 115 cc + 8.4 g/L de CRF |
| T4 | 115 | 12.6 | 115 cc + 12.6 g/L de CRF |
| T5 (control) | 180 | 0.0 | 180 cc + 00 g/L de CRF |
| T6 | 180 | 4.2 | 180 cc + 4.2 g/L de CRF |
| T7 | 180 | 8.4 | 180 cc + 8.4 g/L de CRF |
| T8 | 180 | 12.6 | 180 cc + 12.6 g/L de CRF |
| Variables | Factors | H-Value | p-Value |
|---|---|---|---|
| Diameter (mm) | A | 2.33 | 0.126 ns |
| B | 80.34 | 0.000 * | |
| Interaction A × B | 84.13 | 0.000 * | |
| Height (cm) | A | 1.65 | 0.198 ns |
| B | 83.15 | 0.000 * | |
| Interaction A × B | 85.17 | 0.000 * | |
| Aerial dry biomass (g) | A | 0.30 | 0.581 ns |
| B | 118.15 | 0.000 * | |
| Interaction A × B | 121.44 | 0.000 * | |
| Root dry biomass (g) | A | 0.11 | 0.735 ns |
| B | 139.24 | 0.000 * | |
| Interaction A × B | 139.95 | 0.000 * | |
| Total dry biomass (g) | A | 0.28 | 0.592 ns |
| B | 132.89 | 0.000 * | |
| Interaction A × B | 134.98 | 0.000 * | |
| Robustness index (RI) | A | 0.24 | 0.624 ns |
| B | 29.00 | 0.000 * | |
| Interaction A × B | 31.15 | 0.000 * | |
| Dickson quality index (DQI) | A | 0.16 | 0.687 ns |
| B | 126.78 | 0.000 * | |
| Interaction A × B | 127.40 | 0.000 * | |
| ADB/RDB | A | 0.00 | 0.971 ns |
| B | 96.32 | 0.000 * | |
| Interaction A × B | 98.59 | 0.000 * |
| Periods | Variable | Percent Contribution (%) | Permutation Importance (%) |
|---|---|---|---|
| Present | BIO4 | 23.7 | 51.9 |
| BIO11 | 22.8 | 21.9 | |
| BIO6 | 21.2 | 6.9 | |
| BIO13 | 11.2 | 6.1 | |
| Organic carbon density | 7.3 | 4.9 | |
| Elevation | 5.6 | 3.2 | |
| BIO9 | 4.7 | 2.8 | |
| Sand | 3.9 | 2.5 |
| Department | Area (km2) |
|---|---|
| Pasco | ~1857.56 |
| Junín | ~1594.96 |
| Cusco | ~1230.45 |
| Huánuco | ~1085.45 |
| Amazonas | ~360.79 |
| Cajamarca | ~82.62 |
| Madre de Dios | ~72.63 |
| Puno | ~31.57 |
| San Martín | ~5.94 |
| Total | ~6321.97 |
Disclaimer/Publisher’s Note: The statements, opinions and data contained in all publications are solely those of the individual author(s) and contributor(s) and not of MDPI and/or the editor(s). MDPI and/or the editor(s) disclaim responsibility for any injury to people or property resulting from any ideas, methods, instructions or products referred to in the content. |
© 2024 by the authors. Licensee MDPI, Basel, Switzerland. This article is an open access article distributed under the terms and conditions of the Creative Commons Attribution (CC BY) license (https://creativecommons.org/licenses/by/4.0/).
Share and Cite
Camarena-Yupanqui, R.C.; Orellana-Mendoza, E.; Bernaola-Paucar, R.M.; Ames-Martínez, F.N.; Loardo-Tovar, H.; Quispe-Melgar, H.R. Seedling Production of Retrophyllum rospigliosii in Nurseries and Potential Reforestation Areas Using Modeling Techniques. Forests 2024, 15, 2179. https://doi.org/10.3390/f15122179
Camarena-Yupanqui RC, Orellana-Mendoza E, Bernaola-Paucar RM, Ames-Martínez FN, Loardo-Tovar H, Quispe-Melgar HR. Seedling Production of Retrophyllum rospigliosii in Nurseries and Potential Reforestation Areas Using Modeling Techniques. Forests. 2024; 15(12):2179. https://doi.org/10.3390/f15122179
Chicago/Turabian StyleCamarena-Yupanqui, Rozly Clarita, Edith Orellana-Mendoza, Rosario Marilu Bernaola-Paucar, Fressia Nathalie Ames-Martínez, Harold Loardo-Tovar, and Harold Rusbelth Quispe-Melgar. 2024. "Seedling Production of Retrophyllum rospigliosii in Nurseries and Potential Reforestation Areas Using Modeling Techniques" Forests 15, no. 12: 2179. https://doi.org/10.3390/f15122179
APA StyleCamarena-Yupanqui, R. C., Orellana-Mendoza, E., Bernaola-Paucar, R. M., Ames-Martínez, F. N., Loardo-Tovar, H., & Quispe-Melgar, H. R. (2024). Seedling Production of Retrophyllum rospigliosii in Nurseries and Potential Reforestation Areas Using Modeling Techniques. Forests, 15(12), 2179. https://doi.org/10.3390/f15122179

