Responses of Enzymatic and Microbiological Soil Properties to the Site Index and Age Gradients in Spanish Black Pine (Pinus nigra Arn ssp. salzmannii) Mediterranean Forests
Abstract
1. Introduction
2. Materials and Methods
2.1. Study Area and Experimental Setup
2.2. Dominant Height and Site Index (SI)
2.3. Soil Sampling
2.4. Enzymatic Activity of Soils
2.5. Microbiological Properties of Soils
2.6. Physicochemical Parameters of Soils
2.7. Statistical Analysis
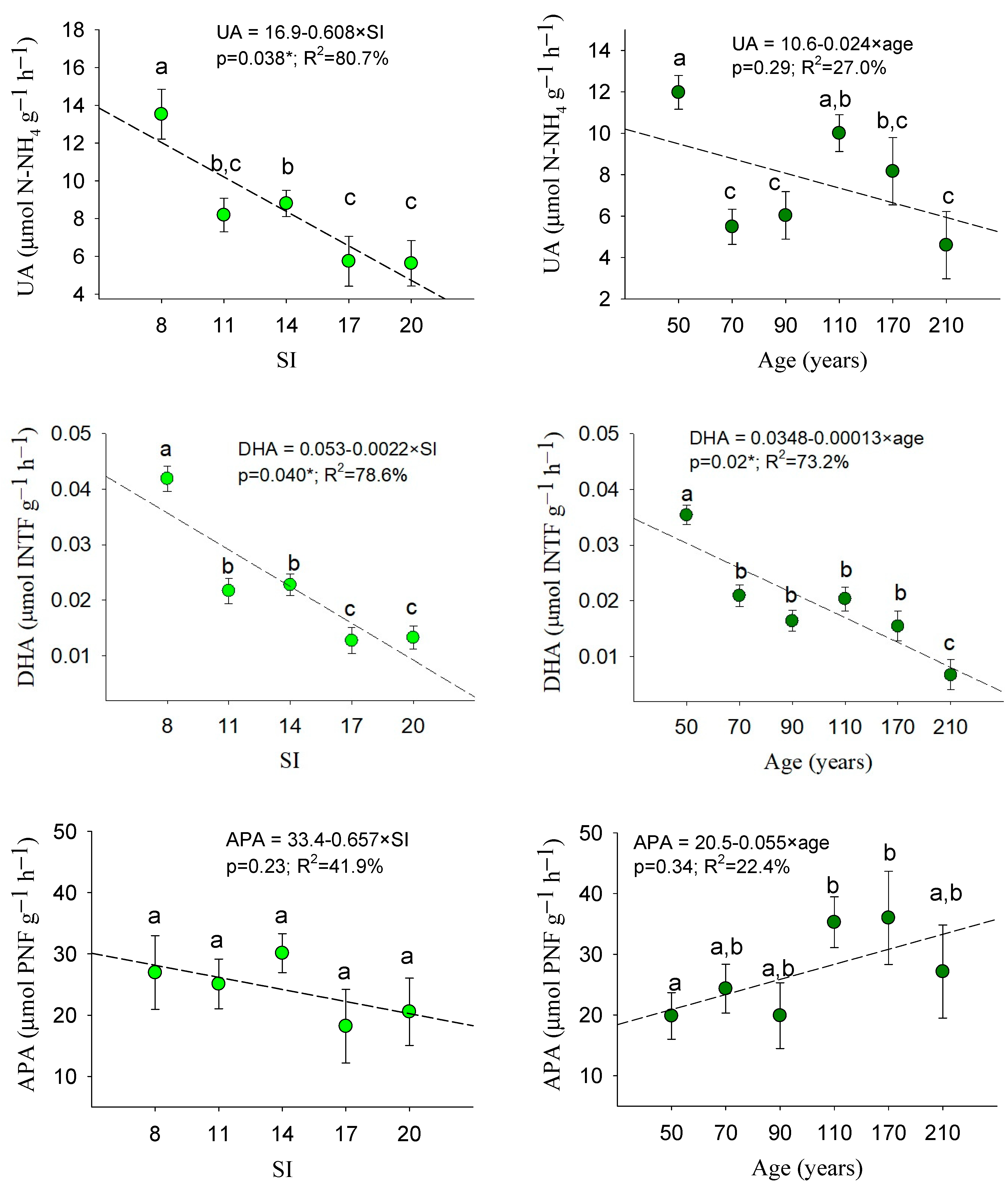
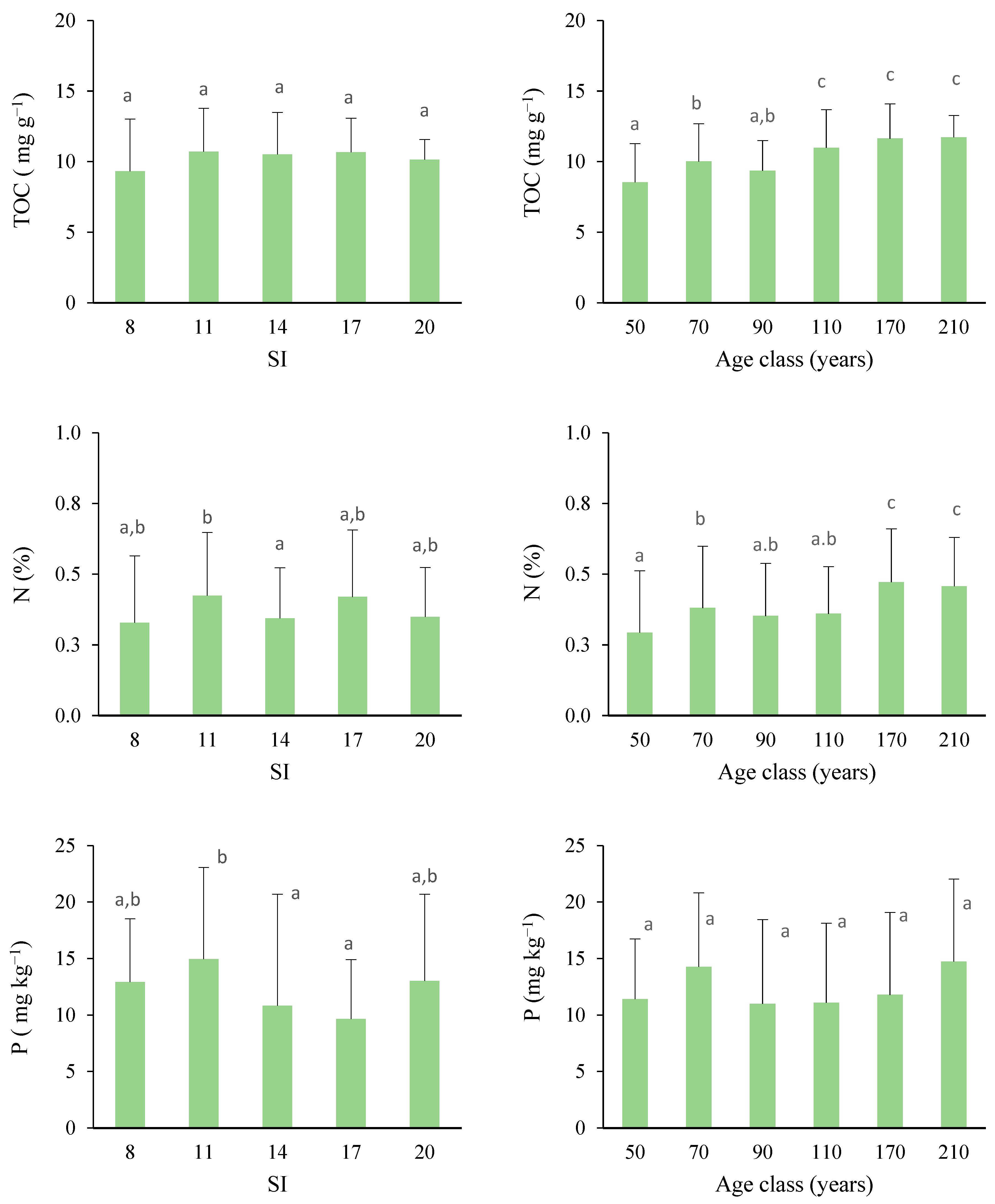
3. Results
3.1. Soil Parameters in the Studied Forests
3.2. Relationships between Variables: Correlation Matrix and Factorial Analysis
3.3. Effects of Site Quality and Age on Soil Activity
4. Discussion
4.1. Connections between DHA and SI: The Importance of DHA for Soil Function in P. nigra Even-Aged Mediterranean Forests
4.2. Forest Maturity and Dehydrogenase Activity in P. nigra Even-Aged Forests
5. Conclusions
Author Contributions
Funding
Data Availability Statement
Acknowledgments
Conflicts of Interest
References
- Molina-Valero, J.A.; Diéguez-Aranda, U.; Álvarez-González, J.G.; Castedo-Dorado, F.; Pérez-Cruzado, C. Assessing site form as an indicator of site quality in even-aged Pinus radiata D. Don stands in north-western Spain. Ann. For. Sci. 2019, 76, 113. [Google Scholar] [CrossRef]
- Burkhart, H.E.; Tomé, M. Modeling Forest Trees and Stands; Springer: Dordrecht, The Netherlands, 2012. [Google Scholar]
- Hansson, K.; Laclau, J.-P.; Saint-André, L.; Mareschal, L.; van der Heijden, G.; Nys, C.; Nicolas, M.; Ranger, J.; Legout, A. Chemical fertility of forest ecosystems. Part 1: Common soil chemical analyses were poor predictors of stand productivity across a wide range of acidic forest soils. For. Ecol. Manag. 2020, 461, 117843. [Google Scholar] [CrossRef]
- Bueis, T.; Bravo, F.; Pando, V.; Turrión, M.-B. Site factors as predictors for Pinus halepensis Mill. productivity in Spanish plantations. Ann. For. Sci. 2017, 74, 6. [Google Scholar] [CrossRef]
- Martin-Benito, D.; Kint, V.; del Río, M.; Muys, B.; Cañellas, I. Growth responses of West-Mediterranean Pinus nigra to climate change are modulated by competition and productivity: Past trends and future perspectives. For. Ecol. Manag. 2011, 262, 1030–1040. [Google Scholar] [CrossRef]
- Skovsgaard, J.P.; Vanclay, J.K. Forest site productivity: A review of the evolution of dendrometric concepts for even-aged stands. For. Int. J. For. Res. 2007, 81, 13–31. [Google Scholar] [CrossRef]
- Ushio, M.; Kitayama, K.; Balser, T.C. Tree species effects on soil enzyme activities through effects on soil physicochemical and microbial properties in a tropical montane forest on Mt. Kinabalu, Borneo. Pedobiologia 2010, 53, 227–233. [Google Scholar] [CrossRef]
- Garcia, C.; Roldan, A.; Hernandez, T. Ability of different plant species to promote microbiological processes in semiarid soil. Geoderma 2005, 124, 193–202. [Google Scholar] [CrossRef]
- Bueis, T.; Turrión, M.B.; Bravo, F.; Pando, V.; Muscolo, A. Factors determining enzyme activities in soils under Pinus halepensis and Pinus sylvestris plantations in Spain: A basis for establishing sustainable forest management strategies. Ann. For. Sci. 2018, 75, 34. [Google Scholar] [CrossRef]
- Martín-Sanz, R.C.; Pando, V.; Bueis, T.; Turrión, M.-B. Influence of Soil Properties on P Pools and Its Effect on Forest Productivity in Mediterranean Calcareous Soils. Forests 2021, 12, 1398. [Google Scholar] [CrossRef]
- Bravo-Oviedo, A.; Roig, S.; Bravo, F.; Montero, G.; del-Río, M. Environmental variability and its relationship to site index in Mediterranean maritime pine. For. Syst. 2011, 20, 50–64. [Google Scholar] [CrossRef]
- Martín-Benito, D.; del Río, M.; Cañellas, I. Black pine (Pinus nigra Arn.) growth divergence along a latitudinal gradient in Western Mediterranean mountains. Ann. For. Sci. 2010, 67, 401. [Google Scholar] [CrossRef]
- Gil-Sotres, F.; Trasar-Cepeda, C.; Leirós, M.C.; Seoane, S. Different approaches to evaluating soil quality using biochemical properties. Soil Biol. Biochem. 2005, 37, 877–887. [Google Scholar] [CrossRef]
- Kaczyńska, G.; Borowik, A.; Wyszkowska, J. Soil Dehydrogenases as an Indicator of Contamination of the Environment with Petroleum Products. Water Air Soil Pollut. 2015, 226, 372. [Google Scholar] [CrossRef] [PubMed]
- Zuccarini, P.; Asensio, D.; Sardans, J.; Ogaya, R.; Peñuelas, J. Changes in soil enzymatic activity in a P-limited Mediterranean shrubland subject to experimental nitrogen deposition. Appl. Soil Ecol. 2021, 168, 104159. [Google Scholar] [CrossRef]
- García, C.; Hernández, T.; Costa, F. Microbial activity in soils under mediterranean environmental conditions. Soil Biol. Biochem. 1994, 26, 1185–1191. [Google Scholar] [CrossRef]
- Allison, S.D.; Vitousek, P.M. Responses of extracellular enzymes to simple and complex nutrient inputs. Soil Biol. Biochem. 2005, 37, 937–944. [Google Scholar] [CrossRef]
- Andrés-Abellán, M.; Wic-Baena, C.; López-Serrano, F.R.; García-Morote, F.A.; Martínez-García, E.; Picazo, M.I.; Rubio, E.; Moreno-Ortego, J.L.; Bastida-López, F.; García-Izquierdo, C. A soil-quality index for soil from Mediterranean forests. Eur. J. Soil Sci. 2019, 70, 1001–1011. [Google Scholar] [CrossRef]
- Lucas-Borja, M.E.; Hedo, J.; Cerda, A.; Candel-Perez, D.; Vinegla, B. Unravelling the importance of forest age stand and forest structure driving microbiological soil properties, enzymatic activities and soil nutrients content in Mediterranean Spanish black pine(Pinus nigra Ar. ssp. salzmannii). For. Sci. Total Environ. 2016, 562, 145–154. [Google Scholar] [CrossRef]
- Wic Baena, C.; Andrés-Abellán, M.; Lucas-Borja, M.E.; Martínez-García, E.; García-Morote, F.A.; Rubio, E.; López-Serrano, F.R. Thinning and recovery effects on soil properties in two sites of a Mediterranean forest, in Cuenca Mountain (South-eastern of Spain). For. Ecol. Manag. 2013, 308, 223–230. [Google Scholar] [CrossRef]
- Henriquez, C.; Uribe, L.; Valenciano, A.; Nogales, R. Actividad enzimática del suelo -Deshidrogenasa, -Glucosidasa, Fosfatasa y Ureasa- bajo diferentes cultivos. Agron. Costarric. 2014, 38, 43–54. [Google Scholar] [CrossRef]
- Zuccarini, P.; Asensio, D.; Ogaya, R.; Sardans, J.; Peñuelas, J. Effects of seasonal and decadal warming on soil enzymatic activity in a P-deficient Mediterranean shrubland. Glob. Chang. Biol. 2020, 26, 3698–3714. [Google Scholar] [CrossRef] [PubMed]
- Huang, H.; Tian, D.; Zhou, L.; Su, H.; Ma, S.; Feng, Y.; Tang, Z.; Zhu, J.; Ji, C.; Fang, J. Effects of afforestation on soil microbial diversity and enzyme activity: A meta-analysis. Geoderma 2022, 423, 115961. [Google Scholar] [CrossRef]
- Utobo, E.B.; Tewari, L. Soil Enzymes as Bioindicators of Soil Ecosystem Status. Appl. Ecol. Environ. Res. 2015, 13, 147–169. [Google Scholar] [CrossRef]
- Wolińska, A.; Stepniewska, Z. Dehydrogenase Activity in the Soil Environment. In Dehydrogenases; Canuto, R.A., Ed.; IntechOpen: London, UK, 2012; pp. 183–210. [Google Scholar]
- Salazar, S.; Sánchez, L.E.; Alvarez, J.; Valverde, A.; Galindo, P.; Igual, J.M.; Peix, A.; Santa-Regina, I. Correlation among soil enzyme activities under different forest system management practices. Ecol. Eng. 2011, 37, 1123–1131. [Google Scholar] [CrossRef]
- Landsberg, J.J.; Gower, S.T. Applications of Physiological Ecology to Forest Management; Academic Press: San Diego, CA, USA, 1997. [Google Scholar]
- García Morote, F.A.; López-Serrano, F.R.; Andrés, M.; Martínez-García, E.; Lucas-Borja, M.; Dadi, T.; Candel, D.; Wic, C. Effects of woodland maturity, vegetation cover and season on enzymatic and microbial activity in thermophilic Spanish Juniper woodlands (Juniperus thurifera L.) of southern Spain. Eur. J. Soil Sci. 2012, 63, 579–591. [Google Scholar] [CrossRef]
- Yesilonis, I.; Szlavecz, K.; Pouyat, R.; Whigham, D.; Xia, L. Historical land use and stand age effects on forest soil properties in the Mid-Atlantic US. For. Ecol. Manag. 2016, 370, 83–92. [Google Scholar] [CrossRef]
- Enescu, C.M.; de Rigo, D.; Caudullo, G.; Mauri, A.; Houston Durrant, T. Pinus nigra in Europe: Distribution, Habitat, Usage and Threats; European Commission, Joint Research Centre: Luxembourg, 2016. [Google Scholar]
- del Cerro Barja, A.; Lucas-Borja, M.E.; Martinez Garcia, E.; Lopez Serrano, F.R.; Andres Abellan, M.; Garcia Morote, F.A.; Navarro Lopez, R. Influence of stand density and soil treatment on the Spanish Black Pine (Pinus nigra Arn. ssp. salzmannii) regeneration in Spain. Investig. Agrar.-Sist. Y Recur. For. 2009, 18, 167–180. [Google Scholar] [CrossRef]
- Loranca, J.A.G. Pinus Nigra Arn. en el Sistema Ibérico: Tablas de Crecimiento y Producción; CIFOR-INIA, Ed.; Instituto Nacional de Investigación y Tecnología Agraria y Alimentaria, Ministerio de Agricultura, Pesca y Alimentación: Madrid, Spain, 1996; p. 97. [Google Scholar]
- Kottek, M.; Grieser, J.; Beck, C.; Rudolf, B.; Rubel, F. World Map of the Köppen-Geiger Climate Classification Updated. Meteorol. Z. 2006, 15, 259–263. [Google Scholar] [CrossRef]
- IUSS Working Group WRB. World Reference Base for Soil Resources. International Soil Classification System for Naming Soils and Creating Legends for Soil Maps; International Union of Soil Sciences (IUSS): Vienna, Austria, 2022; 236p. [Google Scholar]
- Socha, J.; Pierzchalski, M.; Bałazy, R.; Ciesielski, M. Modelling top height growth and site index using repeated laser scanning data. For. Ecol. Manag. 2017, 406, 307–317. [Google Scholar] [CrossRef]
- Quilchano, C.; Marañón, T. Dehydrogenase activity in Mediterranean forest soils. Biol. Fertil. Soils 2002, 35, 102–107. [Google Scholar] [CrossRef]
- Andrés Abellan, M.; Wic Baena, C.; García Morote, F.A.; Picazo Cordoba, M.I.; Candel Pérez, D.; Lucas-Borja, M.E. Influence of the soil storage method on soil enzymatic activities. For. Syst. 2011, 20, 379–388. [Google Scholar] [CrossRef]
- Tabatabai, M.A.; Bremner, J.M. Use of p-nitrophenyl phosphate for assay of soil phosphatase activity. Soil Biol. Biochem. 1969, 1, 301–307. [Google Scholar] [CrossRef]
- Kandeler, E.; Stemmer, M.; Palli, S.; Gerzabek, M.H. Xylanase, Invertase and Urease Activity in Particle—Size Fractions of Soils. In Effect of Mineral-Organic-Microorganism Interactions on Soil and Freshwater Environments; Berthelin, J., Huang, P.M., Bollag, J.M., Andreux, F., Eds.; Springer: Boston, MA, USA, 1999; pp. 275–286. [Google Scholar]
- García, C.; Hernández, T.; Costa, F.; Ceccanti, B.; Masciandaro, G. The dehydrogenase activity of soil as an ecological marker in processes of perturbed system regeneration. In Proceedings of the XI International Symposium of Environmental Biochemistry; Gallardo-Lancho, J., Ed.; CSIC: Salamanca, Spain, 1993; pp. 89–100. [Google Scholar]
- Vance, E.D.; Brookes, P.C.; Jenkinson, D.S. An extraction method for measuring soil microbial biomass C. Soil Biol. Biochem. 1987, 19, 703–707. [Google Scholar] [CrossRef]
- Walkley, A.; Black, I.A. An examination of the Degtjareff method for determining soil organic matter, and a proposed modification of the chromic acid titration method. Soil Sci. 1934, 37, 29–38. [Google Scholar] [CrossRef]
- Bremner, J.M. Inorganic Forms of Nitrogen. In Methods of Soil Analysis; American Society of Agronomy Inc.: Madison, WI, USA, 1965; pp. 1179–1237. [Google Scholar]
- Olsen, S.R.; Sommers, L.E. Phosphorus. In Methods of Soil Analysis; American Society of Agronomy Inc.: Madison, WI, USA, 1983; pp. 403–430. [Google Scholar]
- Johnson, R.A.; Wichern, D.W. Applied Multivariate Statistical Analysis; Pearson Prentice Hall: Hoboken, NJ, USA, 2007. [Google Scholar]
- Shrestha, N. Factor Analysis as a Tool for Survey Analysis. Am. J. Appl. Math. Stat. 2021, 9, 4–11. [Google Scholar] [CrossRef]
- Zhang, N.; He, X.-D.; Gao, Y.-B.; Li, Y.-H.; Wang, H.-T.; Ma, D.; Zhang, R.; Yang, S. Pedogenic Carbonate and Soil Dehydrogenase Activity in Response to Soil Organic Matter in Artemisia ordosica Community. Pedosphere 2010, 20, 229–235. [Google Scholar] [CrossRef]
- Yang, H.; Li, Y.; Cao, Y.; Shi, W.; Xie, E.; Mu, N.; Du, G.; Shen, Y.; Tang, D.; Cheng, Z. Nitrogen nutrition contributes to plant fertility by affecting meiosis initiation. Nat. Commun. 2022, 13, 485. [Google Scholar] [CrossRef]
- Allison, V.J.; Condron, L.M.; Peltzer, D.A.; Richardson, S.J.; Turner, B.L. Changes in enzyme activities and soil microbial community composition along carbon and nutrient gradients at the Franz Josef chronosequence, New Zealand. Soil Biol. Biochem. 2007, 39, 1770–1781. [Google Scholar] [CrossRef]
- Fatemi, F.R.; Fernandez, I.J.; Simon, K.S.; Dail, D.B. Nitrogen and phosphorus regulation of soil enzyme activities in acid forest soils. Soil Biol. Biochem. 2016, 98, 171–179. [Google Scholar] [CrossRef]
- Kumar, R.M. Rhizosphere Dehydrogenase Activity, Soil Organic Carbon and Post-Harvest Nutrient Status of Soil as Influenced by Hybrids, Planting Density and Fertility Levels of Maize in Irrigated Eco-System of Northern Karnataka. Biomed. J. Sci. Tech. Res. 2019, 23, 17124–17128. [Google Scholar] [CrossRef]
- Díaz-Pinés, E.; Rubio, A.; Van Miegroet, H.; Montes, F.; Benito, M. Does tree species composition control soil organic carbon pools in Mediterranean mountain forests? For. Ecol. Manag. 2011, 262, 1895–1904. [Google Scholar] [CrossRef]
- Borowik, A.; Wyszkowska, J. Soil moisture as a factor affecting the microbiological and biochemical activity of soil. Plant Soil Environ. 2016, 62, 250–255. [Google Scholar] [CrossRef]
- Cseresnyés, I.; Csontos, P.; Bózsing, E. Stand age influence on litter mass of Pinus nigra plantations on dolomite hills in Hungary. Can. J. Bot. 2006, 84, 363–370. [Google Scholar] [CrossRef]
- Fioretto, A.; Musacchio, A.; Andolfi, G.; Virzo De Santo, A. Decomposition dynamics of litters of various pine species in a Corsican pine forest. Soil Biol. Biochem. 1998, 30, 721–727. [Google Scholar] [CrossRef]
- Bastida, F.; Torres, I.F.; Andres-Abellan, M.; Baldrian, P.; Lopez-Mondejar, R.; Vetrovsky, T.; Richnow, H.H.; Starke, R.; Ondono, S.; Garcia, C.; et al. Differential sensitivity of total and active soil microbial communities to drought and forest management. Glob. Chang. Biol. 2017, 23, 4185–4203. [Google Scholar] [CrossRef]
- Zornoza, R.; Acosta, J.A.; Bastida, F.; Domínguez, S.G.; Toledo, D.M.; Faz, A. Identification of sensitive indicators to assess the interrelationship between soil quality, management practices and human health. Soil 2015, 1, 173–185. [Google Scholar] [CrossRef]
- García Morote, F.A.; López Serrano, F.R.; Andrés, M.; Rubio, E.; González Jiménez, J.L.; de las Heras, J. Allometries, biomass stocks and biomass allocation in the thermophilic Spanish juniper woodlands of Southern Spain. For. Ecol. Manag. 2012, 270, 85–93. [Google Scholar] [CrossRef]
- Wiatrowska, K.; Komisarek, J.; Olejnik, J. Variations in Organic Carbon Content and Dehydrogenases Activity in Post-Agriculture Forest Soils: A Case Study in South-Western Pomerania. Forests 2021, 12, 459. [Google Scholar] [CrossRef]







| Forest Stands | Tree Cover (%) | H0 (m) | SI | Growth (m3 ha−1 year−1) | Altitude (m.a.s.l.) | Rainfall (mm) |
|---|---|---|---|---|---|---|
| 1. Cerro Candalar | 80 ± 5 | 15.7 ± 2.8 | 14; 17 | 8.0–11.1 | 1418 | 874 |
| 2. Cerro de La Pila | 40 ± 13 | 14.5 ± 3.2 | 11; 14 | 5.4–8.0 | 1041 | 836 |
| 3. Dehesa de Casasola | 60 ± 14 | 17.0 ± 2.3 | 14; 17 | 8.0–11.1 | 1323 | 728 |
| 4. Dehesa de Fuentelespino | 80 ± 12 | 17.8 ± 2.1 | 11; 14 | 4.7–7.0 | 1078 | 593 |
| 5. Dehesa del Tamaral | 35 ± 12 | 24.9 ± 2.0 | 17; 20 | 10.4–13.7 | 1031 | 653 |
| 6. Dehesa Palancar | 80 ± 16 | 15.1 ± 4.4 | 8; 11; 14 | 2.1; 3.9; 5.5 | 1391 | 944 |
| 7. El Picuerzo | 50 ± 8 | 15.9 ± 1.5 | 11; 14 | 4.7–7.0 | 1179 | 876 |
| 8. Ensanche de Buenache | 50 ± 6 | 25.6 ± 2.6 | 14; 17; 20 | 5.9; 8.2; 9.2 | 1330 | 673 |
| 9. Ensanche de Las Majadas | 60 ± 12 | 14.3 ± 2.4 | 11 | 4.5 | 1384 | 912 |
| 10. La Sierra | 60 ± 7 | 8.4 ± 1.7 | 8 | 2.5 | 1097 | 702 |
| 11. Las Hoces y los Romerales | 80 ± 11 | 10.9 ± 2.5 | 8; 11; 14 | 2.6; 5.1; 7.5 | 1169 | 856 |
| 12. Los Ardales | 50 ± 6 | 11.7 ± 1.8 | 11; 14 | 5.1–7.1 | 1002 | 604 |
| 13. Los Palancares y Agregados | 45 ± 8 | 28.3 ± 1.7 | 20 | 0.9 | 1411 | 746 |
| 14. Muela de Marojales | 70 ± 11 | 17.3 ± 2.1 | 14 | 5.9 | 1304 | 853 |
| 15. Prado Ciervo y Tierra Muerta | 80 ± 12 | 15.5 ± 3.6 | 11; 17 | 4.7–9.8 | 1416 | 970 |
| Enzymatic Activity | Microbiological Properties | Physicochemical Parameters | |||||||||
|---|---|---|---|---|---|---|---|---|---|---|---|
| Forest Stands | B-GLU | UA | DHA | APA | BR | MBC | TOC | N | P | pH | M |
| Cerro Candalar | 415 ± 148 | 5.7 ± 3.9 | 0.014 ±0.005 | 24.1 ± 22.2 | 27.9 ± 16.4 | 8685 ± 2274 | 7.5 ± 0.9 | 0.39 ± 0.16 | 7.6 ± 6.4 | 6.9 ± 0.6 | 39 ± 1 |
| Cerro de La Pila | 352 ± 52 | 3.8 ± 1.6 | 0.018 ± 0.003 | 1.3 ± 1.1 | 60.6 ± 53.2 | 6690 ± 5304 | 6.3 ± 1.4 | 0.25 ± 0.08 | 8.0 ± 2.1 | 6.9 ± 0.8 | 33 ± 9 |
| Dehesa de Casasola | 301 ± 112 | 8.9 ± 1.6 | 0.018 ± 0.004 | 0.9 ± 0.8 | 38.4 ± 34.2 | 5942 ± 7491 | 6.7 ± 1.1 | 0.35 ± 0.07 | 14.2 ± 4.8 | 7.3 ± 0.8 | 32 ± 9 |
| Dehesa Fuentelespino | 315 ± 23 | 8.5 ± 3.5 | 0.025 ± 0.001 | 1.7 ± 2.8 | 51.2 ± 46.4 | 2984 ± 909 | 6.6 ± 0.7 | 0.30 ± 0.15 | 18.1 ± 8.7 | 7.6 ± 0.3 | 36 ± 4 |
| Dehesa Tamaral | 249 ± 49 | 6.5 ± 1.5 | 0.023 ± 0.002 | 2.7 ± 2.3 | 42.7 ± 51.1 | 1763 ± 1137 | 5.7 ± 0.6 | 0.25 ± 0.04 | 15.4 ± 5.2 | 7.9 ± 0.2 | 26 ± 3 |
| Dehesa Palancar | 437 ± 99 | 17.8 ± 6.9 | 0.026 ± 0.005 | 27.4 ± 23.0 | 58.2 ± 31.6 | 13,912 ± 9563 | 8.3 ± 1.6 | 0.46 ± 0.19 | 14.7 ± 9.8 | 7.1 ± 0.4 | 39 ± 7 |
| El Picuerzo | 277 ± 167 | 4.2 ± 1.5 | 0.015 ± 0.006 | 6.1 ± 5.9 | 38.7 ± 25.3 | 8752 ± 2751 | 9.6 ± 2.0 | 0.49 ± 0.16 | 32.5 ± 22.7 | 5.9 ± 0.9 | 36 ± 3 |
| Ensanche Buenache | 399 ± 132 | 12.4 ± 5.3 | 0.014 ± 0.003 | 7.1 ± 3.7 | 64.4 ± 49.7 | 3454 ± 1989 | 6.4 ± 1.5 | 0.39 ± 0.12 | 8.9 ± 5.5 | 5.8 ± 0.3 | 42 ± 9 |
| Ensanche Las Majadas | 515 ± 68 | 12.5 ± 3.4 | 0.014 ± 0.010 | 16.6 ± 21.1 | 67.7 ± 51.8 | 12,479 ± 2409 | 8.8 ± 0.4 | 0.70 ± 0.10 | 31.4 ± 9.1 | 6.6 ± 0.6 | 46 ± 6 |
| La Sierra | 292 ± 133 | 15.5 ± 5.9 | 0.049 ± 0.004 | 15.5 ± 5.9 | 120.0 ± 78.9 | 4650 ± 207 | 5.5 ± 0.5 | 0.21 ± 0.09 | 14.5 ± 4.5 | 7.6 ± 0.5 | 34 ± 4 |
| Las Hoces y los Rom. | 320 ± 156 | 9.1 ± 5.5 | 0.022 ± 0.008 | 21.2 ± 28.2 | 63.6 ± 76.6 | 8156 ± 5473 | 5.9 ± 2.3 | 0.57 ± 0.42 | 18.2 ± 7.9 | 6.7 ± 1.3 | 26 ± 9 |
| Los Ardales | 289 ± 99 | 20.1 ± 3.8 | 0.049 ± 0.002 | 20.1 ± 3.8 | 30.5 ± 21.4 | 2887 ± 1341 | 6.0 ± 0.2 | 0.21 ± 0.13 | 10.4 ± 2.9 | 7.4 ± 0.3 | 28 ± 4 |
| Los Palancares | 386 ± 25 | 5.9 ± 3.2 | 0.009 ± 0.007 | 13.2 ± 14.3 | 48.1 ± 28.5 | 5769 ± 715 | 6.5 ± 1.2 | 0.45 ± 0.17 | 18.4 ± 6.8 | 5.6 ± 0.3 | 34 ± 4 |
| Muela de Marojales | 342 ± 95 | 8.5 ± 4.3 | 0.027 ± 0.007 | 71.3 ± 5.6 | 36.8 ± 26.5 | 5551 ± 290 | 6.9 ± 0.1 | 0.33 ± 0.07 | 7.5 ± 1.7 | 7.9 ± 0.1 | 32 ± 4 |
| Prado Ciervo | 335 ± 49 | 2.5 ± 1.8 | 0.015 ± 0.007 | 27.3 ± 31.5 | 28.2 ± 19.5 | 3277 ± 1079 | 6.2 ± 0.6 | 0.48 ± 0.27 | 26.2 ± 15.8 | 5.8 ± 1.0 | 27 ± 2 |
| Totals | 348 ± 110 | 9.5 ± 6.0 | 0.022 ± 0.012 | 17.1 ± 21.6 | 51.8 ± 48.7 | 6330 ± 4754 | 6.9 ± 1.5 | 0.37 ± 0.21 | 16.4 ± 11.0 | 6.9 ± 0.9 | 34 ± 8 |
| Stand Variables | Enzymatic | Microbiological | Physicochemical | ||||||||||
|---|---|---|---|---|---|---|---|---|---|---|---|---|---|
| H0 | SI | B-GLU | UA | DHA | APA | BR | MBC | TOC | N | P | pH | M | |
| age | 0.65 ** | 0.37 ** | 0.22 * | −0.18 * | −0.42 ** | 0.15 * | 0.10 | 0.07 | 0.18 * | 0.32 ** | 0.04 | −0.48 ** | 0.21 * |
| H0 | 0.88 ** | −0.01 | −0.35 ** | −0.55 ** | −0.06 | 0.05 | −0.16 * | 0.09 | 0.21 * | −0.04 | −0.37 ** | 0.07 | |
| SI | −0.04 | −0.30 ** | −0.51 ** | −0.07 | 0.04 | −0.16 * | 0.04 | 0.20 * | −0.08 | −0.31 ** | 0.00 | ||
| B-GLU | 0.43 ** | 0.03 | −0.20 * | 0.51 ** | 0.63 ** | 0.53 ** | 0.20 * | 0.29 ** | −0.43 ** | 0.75 ** | |||
| UA | 0.63 ** | −0.08 | 0.10 | 0.25 * | 0.09 | −0.05 | 0.07 | 0.11 | 0.28 * | ||||
| DHA | 0.00 | −0.14 | −0.09 | −0.15 * | −0.30 ** | −0.06 | 0.46 ** | −0.10 | |||||
| APA | −0.43 ** | −0.17 * | −0.14 | −0.16 * | −0.14 | 0.26 | −0.30 ** | ||||||
| BR | 0.70 ** | 0.67 ** | 0.13 | 0.44 ** | −0.62 ** | 0.74 ** | |||||||
| MBC | 0.70 ** | 0.19 * | 0.45 ** | −0.45 ** | 0.73 ** | ||||||||
| TOC | 0.17 * | 0.57 ** | −0.47 ** | 0.78 ** | |||||||||
| N | 0.13 | −0.31** | 0.15 * | ||||||||||
| P | −0.36 ** | 0.38 ** | |||||||||||
| pH | −0.52 ** | ||||||||||||
| Variables | Rotated Estimated Loadings | Communality | Specific Variance | ||
|---|---|---|---|---|---|
| Factor 1 | Factor 2 | Factor 3 | |||
| age | 0.053 | 0.828 | 0.022 | 0.689 | 0.222 |
| H0 | −0.063 | 0.870 | −0.311 | 0.857 | 0.127 |
| SI | −0.082 | 0.749 | −0.332 | 0.677 | 0.260 |
| B-GLU | 0.605 | 0.268 | 0.573 | 0.767 | 0.233 |
| UA | 0.084 | −0.165 | 0.874 | 0.748 | 0.231 |
| DHA | −0.201 | −0.514 | 0.665 | 0.794 | 0.183 |
| APA | −0.405 | 0.025 | 0.055 | 0.167 | 0.970 |
| BR | 0.875 | 0.089 | 0.017 | 0.774 | 0.214 |
| MBC | 0.834 | 0.007 | 0.241 | 0.754 | 0.199 |
| TOC | 0.833 | 0.141 | 0.079 | 0.720 | 0.235 |
| N | 0.161 | 0.456 | 0.130 | 0.572 | 0.291 |
| P | 0.672 | −0.101 | −0.101 | 0.250 | 0.735 |
| pH | −0.634 | −0.511 | 0.130 | 0.688 | 0.311 |
| M | 0.821 | 0.221 | 0.317 | 0.823 | 0.177 |
| Eigenvalue | 3.97 | 2.95 | 1.84 | ||
| Variance explained (%) | 40.11 | 29.80 | 18.66 | ||
| Cumulative prop. (%) | 40.11 | 69.91 | 88.57 | ||
| Main Effects | Enzymatic | Microbiological | Biochemical | ||||||
|---|---|---|---|---|---|---|---|---|---|
| B-GLU | UA | DHA | APA | BR | MBC | TOC | N | P | |
| Site index | 2.1 | 5.3 ** | 14.3 ** | 0.9 | 0.2 | 4.1 ** | 2.3 * | 4.1 * | 0.2 |
| Age class | 2.8 * | 2.3 * | 20.9 ** | 1.9 | 2.1 | 4.2 ** | 10.4 ** | 3.2 * | 0.5 |
Disclaimer/Publisher’s Note: The statements, opinions and data contained in all publications are solely those of the individual author(s) and contributor(s) and not of MDPI and/or the editor(s). MDPI and/or the editor(s) disclaim responsibility for any injury to people or property resulting from any ideas, methods, instructions or products referred to in the content. |
© 2024 by the authors. Licensee MDPI, Basel, Switzerland. This article is an open access article distributed under the terms and conditions of the Creative Commons Attribution (CC BY) license (https://creativecommons.org/licenses/by/4.0/).
Share and Cite
García-Saucedo, F.; García-Morote, F.A.; Picazo, M.; Wic, C.; Rubio, E.; López-Serrano, F.R.; Andrés-Abellán, M. Responses of Enzymatic and Microbiological Soil Properties to the Site Index and Age Gradients in Spanish Black Pine (Pinus nigra Arn ssp. salzmannii) Mediterranean Forests. Forests 2024, 15, 113. https://doi.org/10.3390/f15010113
García-Saucedo F, García-Morote FA, Picazo M, Wic C, Rubio E, López-Serrano FR, Andrés-Abellán M. Responses of Enzymatic and Microbiological Soil Properties to the Site Index and Age Gradients in Spanish Black Pine (Pinus nigra Arn ssp. salzmannii) Mediterranean Forests. Forests. 2024; 15(1):113. https://doi.org/10.3390/f15010113
Chicago/Turabian StyleGarcía-Saucedo, Francisco, Francisco Antonio García-Morote, Marta Picazo, Consuelo Wic, Eva Rubio, Francisco Ramón López-Serrano, and Manuela Andrés-Abellán. 2024. "Responses of Enzymatic and Microbiological Soil Properties to the Site Index and Age Gradients in Spanish Black Pine (Pinus nigra Arn ssp. salzmannii) Mediterranean Forests" Forests 15, no. 1: 113. https://doi.org/10.3390/f15010113
APA StyleGarcía-Saucedo, F., García-Morote, F. A., Picazo, M., Wic, C., Rubio, E., López-Serrano, F. R., & Andrés-Abellán, M. (2024). Responses of Enzymatic and Microbiological Soil Properties to the Site Index and Age Gradients in Spanish Black Pine (Pinus nigra Arn ssp. salzmannii) Mediterranean Forests. Forests, 15(1), 113. https://doi.org/10.3390/f15010113

