Risk Assessments of Plant Leaf and Soil Mercury Pollution in Different Functional Areas of Changchun City
Abstract
1. Introduction
- (1)
- To examine the characteristics of mercury emissions in the leaves of broad-leaved forested areas in industrial cities (taking Changchun as an example), and to further explore the total content of mercury emissions in plants across one year through the mechanism of deciduous leaves, while exploring the differences in the mercury emission characteristics of different tree species.
- (2)
- To investigate and analyze the factors affecting the enrichment of leaf mercury and the sources of environmental mercury pollution, providing a scientific basis for the prevention and control of urban mercury pollution.
- (3)
- To assess the ecological risks of the mercury pollution levels in each region.
2. Materials and Methods
2.1. Study Area
2.2. Sample Collection
2.2.1. Sample Point Settings and Types of Sample Points
2.2.2. Collection of Deciduous Tree Samples and Soil Samples
2.2.3. Sample Pretreatments
2.3. Sample Analysis
2.4. Ecological Risk Assessment Processes
2.4.1. Geo-Accumulation Index (Igeo)
2.4.2. Potential Ecological Risk Index (Er)
3. Results
3.1. Concentration Levels of Mercury in Fallen Leaves
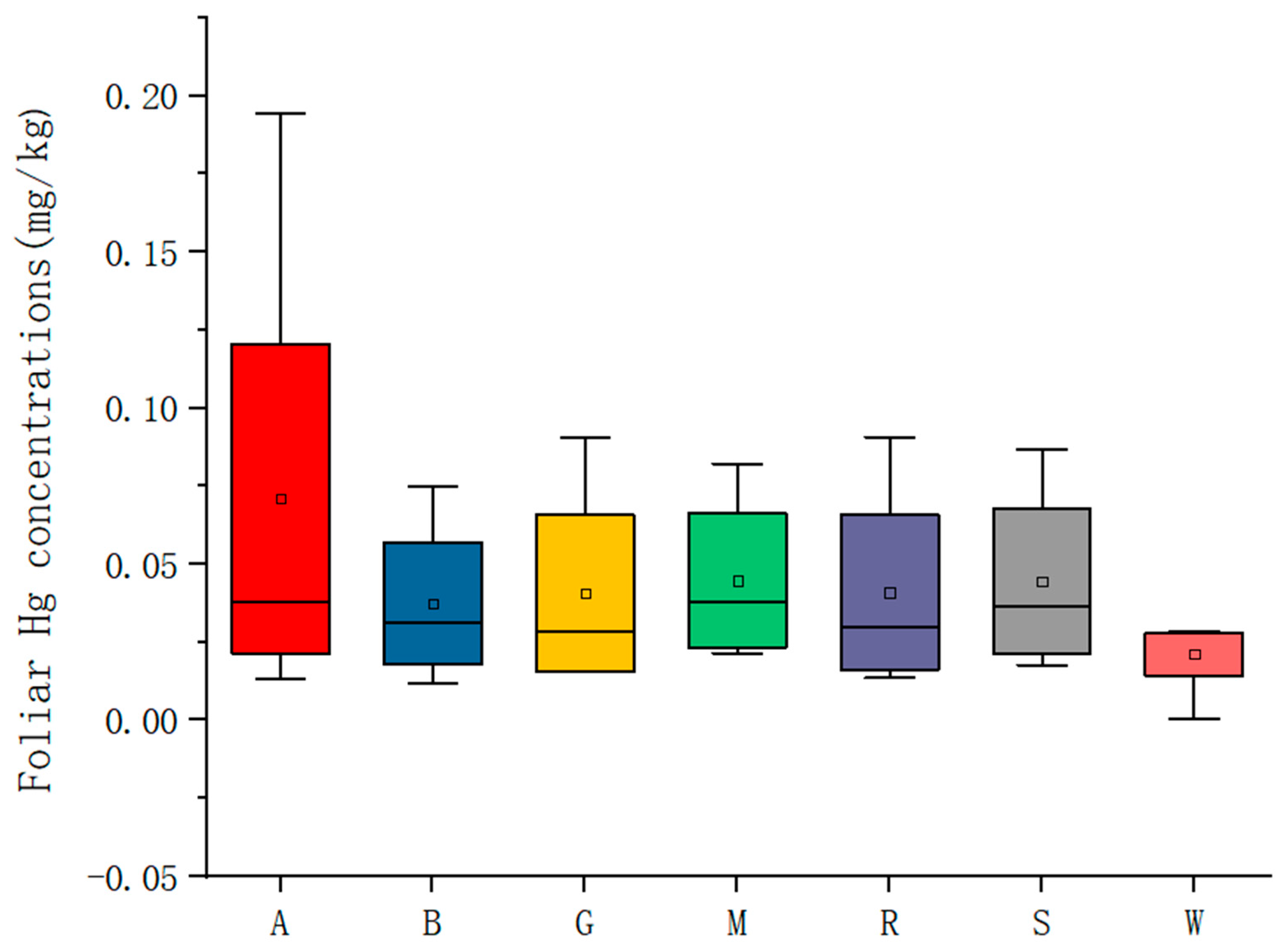
3.1.1. Concentration Levels of Mercury among the Different Land-Use Types
3.1.2. Mercury Concentrations in the Fallen Leaves of the Different Tree Species
3.2. Mercury Concentrations in the Soil
3.2.1. Mercury Concentrations in the Soil
3.2.2. Values of the pH and Soil Organic Matter
3.2.3. Soil Mercury Concentrations in the Different Functional Regions
3.3. Ecological Risk Assessment of Soil Mercury Pollution
4. Discussion
4.1. Factors Influencing Mercury Concentration Levels in Leaves
4.1.1. Effects of the Different Land-Use Types on Leaf Mercury Concentrations
4.1.2. Effects of Different Plant Types on Deciduous Mercury Concentrations
4.2. Factors Influencing the Soil Mercury Content Levels
Effects of the Different Land-Use Types on Soil Mercury Concentrations
4.3. Relationships between the Deciduous Mercury, Soil Mercury, and Atmospheric Mercury
4.4. Risk Assessments
4.4.1. Evaluation of Soil Mercury Pollution Levels in Changchun City through the Geo-Accumulation Index (Igeo)
4.4.2. Evaluation of Soil Mercury Pollution Levels in Changchun City Using the Potential Ecological Risk Index (Er)
5. Conclusions
Author Contributions
Funding
Institutional Review Board Statement
Informed Consent Statement
Data Availability Statement
Acknowledgments
Conflicts of Interest
References
- Niu, Z.; Zhang, X.; Wang, Z.; Ci, Z. Mercury in Leaf Litter in Typical Suburban and Urban Broadleaf Forests in China. J. Environ. Sci. 2011, 23, 2042–2048. [Google Scholar] [CrossRef]
- Lin, C.-J.; Pehkonen, S.O. The Chemistry of Atmospheric Mercury: A Review. Atmos. Environ. 1999, 33, 2067–2079. [Google Scholar] [CrossRef]
- Fang, F.; Wang, Q.; Li, J. Urban Environmental Mercury in Changchun, a Metropolitan City in Northeastern China: Source, Cycle, and Fate. Sci. Total Environ. 2004, 330, 159–170. [Google Scholar] [CrossRef] [PubMed]
- Leitch, D.R.; Carrie, J.; Lean, D.; Macdonald, R.W.; Stern, G.A.; Wang, F. The Delivery of Mercury to the Beaufort Sea of the Arctic Ocean by the Mackenzie River. Sci. Total Environ. 2007, 373, 178–195. [Google Scholar] [CrossRef] [PubMed]
- Hall, B. The Gas Phase Oxidation of Elemental Mercury by Ozone. Water Air Soil Pollut. 1995, 80, 301–315. [Google Scholar] [CrossRef]
- Schroeder, W.H.; Munthe, J. Atmospheric Mercury—An Overview. Atmos. Environ. 1998, 32, 809–822. [Google Scholar] [CrossRef]
- Biester, H.; Müller, G.; Schöler, H.F. Estimating Distribution and Retention of Mercury in Three Different Soils Contaminated by Emissions from Chlor-Alkali Plants: Part I. Sci. Total Environ. 2002, 284, 177–189. [Google Scholar] [CrossRef]
- Feng, X.; Tang, S.; Shang, L.; Yan, H.; Sommar, J.; Lindqvist, O. Total Gaseous Mercury in the Atmosphere of Guiyang, PR China. Sci. Total Environ. 2003, 304, 61–72. [Google Scholar] [CrossRef]
- Jiang, G.-B.; Shi, J.-B.; Feng, X.-B. Mercury Pollution in China. Environ. Sci. Technol. 2006, 40, 3672–3678. [Google Scholar] [CrossRef]
- Tack, F.M.G.; Vanhaesebroeck, T.; Verloo, M.G.; Van Rompaey, K.; Van Ranst, E. Mercury Baseline Levels in Flemish Soils (Belgium). Environ. Pollut. 2005, 134, 173–179. [Google Scholar] [CrossRef]
- Rodrigues, S.; Pereira, M.E.; Sarabando, L.; Lopes, L.; Cachada, A.; Duarte, A. Spatial Distribution of Total Hg in Urban Soils from an Atlantic Coastal City (Aveiro, Portugal). Sci. Total Environ. 2006, 368, 40–46. [Google Scholar] [CrossRef]
- Pirrone, N.; Cinnirella, S.; Feng, X.; Finkelman, R.B.; Friedli, H.R.; Leaner, J.; Mason, R.; Mukherjee, A.B.; Stracher, G.B.; Streets, D.G.; et al. Global Mercury Emissions to the Atmosphere from Anthropogenic and Natural Sources. Atmos. Chem. Phys. 2010, 10, 5951–5964. [Google Scholar] [CrossRef]
- Chen, X.; Xia, X.; Wu, S.; Wang, F.; Guo, X. Mercury in Urban Soils with Various Types of Land Use in Beijing, China. Environ. Pollut. 2010, 158, 48–54. [Google Scholar] [CrossRef]
- Gustin, M.S.; Lindberg, S.E.; Weisberg, P.J. An Update on the Natural Sources and Sinks of Atmospheric Mercury. Appl. Geochem. 2008, 23, 482–493. [Google Scholar] [CrossRef]
- Bushey, J.T.; Nallana, A.G.; Montesdeoca, M.R.; Driscoll, C.T. Mercury Dynamics of a Northern Hardwood Canopy. Atmos. Environ. 2008, 42, 6905–6914. [Google Scholar] [CrossRef]
- Lindberg, S.E.; Jackson, D.R.; Huckabee, J.W.; Janzen, S.A.; Levin, M.J.; Lund, J.R. Atmospheric Emission and Plant Uptake of Mercury from Agricultural Soils near the Almadén Mercury Mine. J. Environ. Qual. 1979, 8, 572–578. [Google Scholar] [CrossRef]
- Laacouri, A.; Nater, E.A.; Kolka, R.K. Distribution and Uptake Dynamics of Mercury in Leaves of Common Deciduous Tree Species in Minnesota, USA. Environ. Sci. Technol. 2013, 47, 10462–10470. [Google Scholar] [CrossRef]
- Selin, N.E. Global Biogeochemical Cycling of Mercury: A Review. Annu. Rev. Environ. Resour. 2009, 34, 43–63. [Google Scholar] [CrossRef]
- Wang, X.; Yuan, W.; Lin, C.-J.; Zhang, L.; Zhang, H.; Feng, X. Climate and Vegetation As Primary Drivers for Global Mercury Storage in Surface Soil. Environ. Sci. Technol. 2019, 53, 10665–10675. [Google Scholar] [CrossRef]
- Pirrone, N.; Keeler, G.J.; Nriagu, J.O. Regional Differences in Worldwide Emissions of Mercury to the Atmosphere. Atmos. Environ. 1996, 30, 2981–2987. [Google Scholar] [CrossRef]
- Gyamfi, O.; Sorenson, P.B.; Darko, G.; Ansah, E.; Bak, J.L. Human Health Risk Assessment of Exposure to Indoor Mercury Vapour in a Ghanaian Artisanal Small-Scale Gold Mining Community. Chemosphere 2020, 241, 125014. [Google Scholar] [CrossRef] [PubMed]
- Wu, Q.; Gao, W.; Wang, S.; Hao, J. Updated Atmospheric Speciated Mercury Emissions from Iron and Steel Production in China during 2000–2015. Atmos. Chem. Phys. 2017, 17, 10423–10433. [Google Scholar] [CrossRef]
- Lindberg, S.E.; Porcella, D.; Prestbo, E.; Friedli, H.; Radke, L. The Problem with Mercury: Too Many Sources, Not Enough Sinks. RMZ-Mater. Geoenviron. 2004, 51, 1172–1176. [Google Scholar]
- Jiskra, M.; Wiederhold, J.G.; Skyllberg, U.; Kronberg, R.-M.; Hajdas, I.; Kretzschmar, R. Mercury Deposition and Re-Emission Pathways in Boreal Forest Soils Investigated with Hg Isotope Signatures. Environ. Sci. Technol. 2015, 49, 7188–7196. [Google Scholar] [CrossRef] [PubMed]
- Zhang, X.; Zha, T.; Guo, X.; Meng, G.; Zhou, J. Spatial Distribution of Metal Pollution of Soils of Chinese Provincial Capital Cities. Sci. Total Environ. 2018, 643, 1502–1513. [Google Scholar] [CrossRef]
- Steffen, A.; Schroeder, W.; Bottenheim, J.; Narayan, J.; Fuentes, J.D. Atmospheric Mercury Concentrations: Measurements and Profiles near Snow and Ice Surfaces in the Canadian Arctic during Alert 2000. Atmos. Environ. 2002, 36, 2653–2661. [Google Scholar] [CrossRef]
- Wängberg; Sommar, J.; Berg, T.; Gardfeldt, K.; Munthe, J. Interpretation of Mercury Depletion Events Observed at Ny-Ålesund, Svalbard during Spring 2002. J. Phys. IV France 2003, 107, 1353–1356. [Google Scholar] [CrossRef]
- Bullock, O.; Benjey, W.; Keating, M. Modeling of Regional Scale Atmospheric Mercury Transport and Deposition Using Relmap. In Atmospheric Deposition of Contaminants to the Great Lakes and Coastal Waters; Baker, J.E., Ed.; SETAC: Pensacola, FL, USA, 1997; pp. 323–347. [Google Scholar]
- Scholtz, M.T.; Van Heyst, B.J.; Schroeder, W.H. Modelling of Mercury Emissions from Background Soils. Sci. Total Environ. 2003, 304, 185–207. [Google Scholar] [CrossRef]
- Wang, P.; Zheng, H.; Ren, Z.; Zhang, D.; Zhai, C.; Mao, Z.; Tang, Z.; He, X. Effects of Urbanization, Soil Property and Vegetation Configuration on Soil Infiltration of Urban Forest in Changchun, Northeast China. Chin. Geogr. Sci. 2018, 28, 482–494. [Google Scholar] [CrossRef]
- Yang, C.; He, X.; Yan, F.; Yu, L.; Bu, K.; Yang, J.; Chang, L.; Zhang, S. Mapping the Influence of Land Use/Land Cover Changes on the Urban Heat Island Effect—A Case Study of Changchun, China. Sustainability 2017, 9, 312. [Google Scholar] [CrossRef]
- Lyu, L.; Wen, Z.; Jacinthe, P.-A.; Shang, Y.; Zhang, N.; Liu, G.; Fang, C.; Hou, J.; Song, K. Absorption Characteristics of CDOM in Treated and Non-Treated Urban Lakes in Changchun, China. Environ. Res. 2020, 182, 109084. [Google Scholar] [CrossRef]
- Ren, Z.; He, X.; Zheng, H.; Zhang, D.; Yu, X.; Shen, G.; Guo, R. Estimation of the Relationship between Urban Park Characteristics and Park Cool Island Intensity by Remote Sensing Data and Field Measurement. Forests 2013, 4, 868–886. [Google Scholar] [CrossRef]
- Zhang, D.; Zheng, H.; Ren, Z.; Zhai, C.; Shen, G.; Mao, Z.; Wang, P.; He, X. Effects of Forest Type and Urbanization on Carbon Storage of Urban Forests in Changchun, Northeast China. Chin. Geogr. Sci. 2015, 25, 147–158. [Google Scholar] [CrossRef]
- Yang, J.; Zhang, G. Water Infiltration in Urban Soils and Its Effects on the Quantity and Quality of Runoff. J. Soils Sediments 2011, 11, 751–761. [Google Scholar] [CrossRef]
- Zhang, Q.; Zhu, X.; Fu, H.; Yang, Y.; Jia, Q.; Yang, Y. Mercury pollution assessment for vegetables from a cropland near a closed mercury mine. Chin. J. Ecol. 2015, 34, 1389–1395. [Google Scholar] [CrossRef]
- Sabouhi, M.; Ali-Taleshi, M.S.; Bourliva, A.; Nejadkoorki, F.; Squizzato, S. Insights into the Anthropogenic Load and Occupational Health Risk of Heavy Metals in Floor Dust of Selected Workplaces in an Industrial City of Iran. Sci. Total Environ. 2020, 744, 140762. [Google Scholar] [CrossRef]
- Meng, X.; Li, S. Background Value of Soil Elements in Jilin Province; Science Press: Beijing, China, 1995. [Google Scholar]
- Maanan, M.; Saddik, M.; Maanan, M.; Chaibi, M.; Assobhei, O.; Zourarah, B. Environmental and Ecological Risk Assessment of Heavy Metals in Sediments of Nador Lagoon, Morocco. Ecol. Indic. 2015, 48, 616–626. [Google Scholar] [CrossRef]
- Xu, Z.; Ni, S.; Tuo, X.; Zhang, C. Calculation of heavy metals’ toxicity coefficient in the evaluation of potential ecological risk index. Environ. Sci. Technol. 2008, 31, 112–115. [Google Scholar] [CrossRef]
- Li, Z.; Chen, Y.; Yang, X.; Wei, S. Assessment of potential ecological hazard of heavy metals in urban soils in Chongqing city. J. Southwest Agric. Univ. 2006, 28, 227–230, 251. [Google Scholar]
- Han, P.; Wang, J.; Feng, X.; Ma, Z.; Lu, A.; Wei, L.; Yan, L. Ecological Risk Assessment of Heavy Metals in Soils in Shunyi, Beijing. J. Agro-Environ. Sci. 2015, 34, 103–109. [Google Scholar]
- Yi, W.; Lu, Y.; Li, J.; Chen, C.; Zhang, C.; Dong, F. Distribution characteristics and pollution assessment of mercury in urban soils of Guangzhou. Chin. J. Soil Sci. 2009, 40, 1185–1188. [Google Scholar] [CrossRef]
- Guo, C.; Wang, Y.; Ren, Y.; Shi, J. Distribution characteristics of surface soil mercury content in Taiyuan City. J. Shanxi Univ. 1996, 3, 106–111. [Google Scholar]
- Zhang, X. Research on the environmental background values of soils in Xizang. Sci. Geogr. Sin. 1994, 4, 49–55, 100. [Google Scholar]
- Zhu, Y.; Zhang, Y.; Liu, M.; Chen, L.; He, Q.; Ye, Z.; Sun, J. Distribution and pollution assessment of the mercury in soils of Tibet. Ecol. Environ. Sci. 2014, 23, 1487–1491. [Google Scholar] [CrossRef]
- Xia, Z.; Mu, C.; Li, S.; He, R. Preliminary analysis of the natural content and differentiation of mercury in some soil types profiles in China. Sci. Bull. 1984, 10, 620–622. [Google Scholar]
- Weng, Z. Heavy Metal Concentrations and Their Spatial Distribution in Urban Soils of Nanjing. Urban Environ. Urban Ecol. 2007, 20, 1–4. [Google Scholar]
- Fang, T.; Hu, C.; Li, W.; Hao, J. The study of Zhejiang Ningbo’s soil environmental mercury levels. Energy Environ. Prot. 2015, 29, 3. [Google Scholar]
- Wang, J.; Wang, S.; Ou, Y. Geogenic distribution and baseline concentrations of mercury in surficial soil of Guiyang, China. J. Agro-Environ. Sci. 2007, 4, 1417–1421. [Google Scholar]
- Yan, C.; Liang, Y.; Chen, Y.; Gao, Q.; Yu, J. Distribution characteristics of total mercury in surface soil of Guilin. Environ. Pollut. Control. 2014, 36, 111. [Google Scholar] [CrossRef]
- Su, J.; Cheng, J.; Wang, W. Analysis on the current situation and causes of soil mercury pollution in Lanzhou. Energy Environ. 2006, 1, 69–72. [Google Scholar]
- Zhang, L. Mercury pollution characteristics of soil and common greening plants in Zhaoyuan urban area. Asian J. Ecotoxicol. 2014, 9, 933–939. [Google Scholar]
- Zhang, L.; Zhang, L.; Zhou, Z. Mercury pollution characteristics of common greening plants and soil in different functional areas of Qingdao. Ecol. Environ. Sci. 2008, 2, 802–806. [Google Scholar] [CrossRef]
- Ferrara, R.; Maserti, B.E.; Breder, R. Mercury in Abiotic and Biotic Compartments of an Area Affected by a Geochemical Anomaly (Mt. Amiata, Italy). Water Air Soil Pollut. 1991, 56, 219–233. [Google Scholar] [CrossRef]
- Pirrone, N. Mercury Research in Europe: Towards the Preparation of the EU Air Quality Directive. Atmos. Environ. 2001, 35, 2979–2986. [Google Scholar] [CrossRef]







| Er | <40 | 40 to 80 | 80 to 160 | 160 to 320 | >320 |
|---|---|---|---|---|---|
| Potential ecological risk index | Slight | Medium | Strong | Very strong | Extremely strong |
| Land-Use Type | Number of Effective Cases | Maximum | Minimum | Average | Standard Deviation |
|---|---|---|---|---|---|
| W | 2 | 0.0283 | 0.0277 | 0.028 | 0.0004 |
| B | 15 | 0.075 | 0.0241 | 0.0388 | 0.0117 |
| R | 51 | 0.0906 | 0.0189 | 0.0409 | 0.0136 |
| G | 114 | 0.0906 | 0.0155 | 0.041 | 0.0156 |
| A | 53 | 0.1945 | 0.0133 | 0.0463 | 0.0298 |
| S | 15 | 0.0868 | 0.0245 | 0.0487 | 0.0177 |
| M | 5 | 0.0822 | 0.0215 | 0.0504 | 0.025 |
| Plant Type | Number of Effective Cases | Maximum | Minimum | Average | Standard Deviation |
|---|---|---|---|---|---|
| Populus alba | 6 | 0.0359 | 0.0261 | 0.0312 | 0.004 |
| Quercus mongolica Fisch. ex Ledeb. | 7 | 0.0413 | 0.0279 | 0.0342 | 0.0052 |
| Populus tomentosa | 28 | 0.1494 | 0.0201 | 0.0347 | 0.0233 |
| Salix babylonica | 1 | 0.0349 | 0.0349 | 0.0349 | 0 |
| Populus pseudo-simonii Kitag. | 32 | 0.062 | 0.0162 | 0.0353 | 0.0112 |
| Salix matsudana | 3 | 0.0433 | 0.0316 | 0.0357 | 0.0066 |
| canadensis Moench | 37 | 0.1945 | 0.0133 | 0.0363 | 0.0285 |
| willow | 41 | 0.0585 | 0.0197 | 0.0382 | 0.0092 |
| Acer pictum Thunb. ex Murray | 10 | 0.0594 | 0.02 | 0.0392 | 0.0128 |
| Acer ginnala Maxim. | 4 | 0.0663 | 0.0315 | 0.0429 | 0.016 |
| Toxicodendronsuccedaneum (L.) O. Kuntze | 9 | 0.056 | 0.033 | 0.044 | 0.0092 |
| Prunus salicina Lindl. | 4 | 0.0504 | 0.0427 | 0.0463 | 0.0037 |
| Ulmus pumila L. | 23 | 0.0868 | 0.0275 | 0.048 | 0.0145 |
| Armeniaca vulgaris Lam. | 7 | 0.0628 | 0.033 | 0.0499 | 0.0124 |
| Catalpa ovata G. Don | 3 | 0.0641 | 0.0436 | 0.0558 | 0.0108 |
| Armeniaca mandshurica (Maxim.) Skv. | 4 | 0.0637 | 0.0462 | 0.0567 | 0.0085 |
| Malus baccata | 12 | 0.0765 | 0.0267 | 0.0567 | 0.0129 |
| Padus virginiana ‘Canada Red’ | 6 | 0.0842 | 0.0436 | 0.0591 | 0.0165 |
| Fraxinus mandshurica Rupr. | 7 | 0.0906 | 0.0415 | 0.0645 | 0.0181 |
| Padus racemosa (Lam.) Gilib. | 6 | 0.0906 | 0.0478 | 0.0666 | 0.0156 |
| Pyrus ussuriensis Maxim. | 5 | 0.0896 | 0.0393 | 0.0755 | 0.0213 |
| Maximum | Minimum | Average | Median | Max/Min | Background |
|---|---|---|---|---|---|
| 4.2967 | 0.0183 | 0.1732 | 0.074 | 236.082 | 0.0400 |
| City | Range | Average | Background | References |
|---|---|---|---|---|
| Chongqing | 0.060–3.881 | 0.319 | 0.040 | [41] |
| Beijing | 0.010–0.966 | 0.278 | 0.058 | [42] |
| Guangzhou | 0.013–12.231 | 0.614 | 0.157 | [43] |
| Taiyuan | 0.040–0.297 | 0.105 | 0.098 | [44] |
| Tibet | Unknown–0.056 | 0.026 | 0.021 | [45,46] |
| Urumqi | 0.012–0.176 | 0.062 | 0.055 | [47] |
| Nanjing | 0.041–8.090 | 0.043 | 0.025 | [48] |
| Ningbo | 0.010–0.565 | 0.103 | 0.143 | [49] |
| Guiyang | 0.010–7.030 | 0.222 | - | [50] |
| Guilin | 0.136–1.873 | 0.557 | 0.150 | [51] |
| Lanzhou | Unknown–0.117 | -- | 0.150 | [52] |
| Zhaoyuan | 0.002–0.815 | 0.149 | 0.019 | [53] |
| Qingdao | 0.004–0.259 | 0.081 | - | [54] |
| Land-Use Type | Number of Effective Cases | Maximum | Minimum | Average | Standard Deviation |
|---|---|---|---|---|---|
| A | 18 | 0.5707 | 0.0217 | 0.0971 | 0.13463 |
| B | 7 | 0.1467 | 0.0190 | 0.0782 | 0.05154 |
| G | 38 | 0.2610 | 0.0183 | 0.0874 | 0.54540 |
| M | 2 | 4.2967 | 0.0713 | 2.1840 | 2.32117 |
| R | 17 | 2.0733 | 0.0310 | 0.2767 | 0.54144 |
| S | 5 | 0.1257 | 0.0537 | 0.0850 | 0.02750 |
| W | 1 | - | - | 0.0643 | 0.00723 |
| Land-Use Type (I) | Land-Use Type (J) | Mean Difference (I–J) | Std. Error | Sig. | 95% Confidence Interval | |
|---|---|---|---|---|---|---|
| Lower Bound | Upper Bound | |||||
| A | B | 0.0189 | 0.11285 | 0.867 | −0.2034 | 0.1210 |
| G | 0.0097 | 06934.0 | 0.889 | −0.1268 | 0.1463 | |
| M | −2.0869 * | 017765 | 0.000 | −2.4368 | −1.7370 | |
| R | −0.1796 * | 0.08277 | 0.031 | −0.3426 | −0.0165 | |
| S | 0.0121 | 0.12090 | 0.920 | −0.2260 | 0.2502 | |
| W | 0.0328 | 0.24453 | 0.894 | −0.4489 | 0.5144 | |
| B | A | −0.0189 | 0.11285 | 0.867 | −0.2411 | 0.2034 |
| G | −0.0091 | 0.10439 | 0.930 | −0.2148 | 0.1965 | |
| M | −2.1058 * | 0.19403 | 0.000 | −2.4879 | −1.7236 | |
| R | −0.1984 | 0.11376 | 0.082 | −0.4225 | 0.0256 | |
| S | −0.0068 | 0.14390 | 0.962 | −0.2902 | 0.2766 | |
| W | 0.0139 | 0.25668 | 0.957 | −0.4917 | 0.5194 | |
| G | A | −0.0097 | 0.05934 | 0.889 | −0.1463 | 0.1268 |
| B | 0.0091 | 0.10439 | 0.930 | −0.1965 | 0.2148 | |
| M | −2.0966 * | 0.17240 | 0.000 | −2.4362 | −1.7571 | |
| R | −0.1893 * | 0.09082 | 0.008 | −0.3288 | −0.0498 | |
| S | 0.0024 | 0.11305 | 0.983 | −0.2203 | 0.2250 | |
| W | 0.0230 | 0.24075 | 0.924 | −0.4511 | 0.4972 | |
| M | A | 2.0869 * | 0.17765 | 0.000 | 1.7270 | 2.4368 |
| B | 2.1058 * | 0.19403 | 0.000 | 1.7236 | 2.4879 | |
| G | 2.0966 * | 0.17240 | 0.000 | 1.7571 | 2.4362 | |
| R | 1.9073 * | 0.17823 | 0.000 | 1.5563 | 2.2584 | |
| S | 2.0090 * | 0.19882 | 0.000 | 1.7074 | 2.4906 | |
| W | 2.1197 * | 0.19105 | 0.000 | 1.5464 | 2.6929 | |
| R | A | 0.1796 * | 0.08277 | 0.031 | 0.0165 | 0.3426 |
| B | 0.1984 | 0.11376 | 0.082 | −0.0256 | 0.4225 | |
| G | 0.1893 * | 0.07082 | 0.008 | 0.0498 | 0.3288 | |
| M | −1.9073 * | 0.17823 | 0.000 | −2.2584 | −1.5563 | |
| S | 0.1917 | 0.12175 | 0.117 | −0.0481 | 0.4315 | |
| W | 0.2123 | 0.24495 | 0.387 | −0.2701 | 0.6948 | |
| S | A | −0.121 | 0.12090 | 0.920 | −0.2502 | 0.2260 |
| B | 0.0068 | 0.14390 | 0.962 | −0.2766 | 0.2902 | |
| G | −0.0024 | 0.11305 | 0.983 | −0.2250 | 0.2203 | |
| M | −2.0990 * | 0.19882 | 0.000 | −2.4906 | −1.7074 | |
| R | −0.1917 | 0.12175 | 0.117 | −0.4315 | 0.0481 | |
| W | 0.0207 | 0.26032 | 0.937 | −0.4921 | 0.5334 | |
| W | A | −0.0328 | 0.24453 | 0.894 | −0.5114 | 0.4489 |
| B | −0.0139 | 0.25668 | 0.957 | −0.5194 | 0.4917 | |
| G | −0.0230 | 0.24075 | 0.924 | −0.4972 | 0.4511 | |
| M | −2.1197 * | 0.29105 | 0.000 | −2.6929 | −1.5464 | |
| R | −0.2123 | 0.24495 | 0.387 | −0.6948 | 0.2701 | |
| S | −0.0207 | 0.26032 | 0.937 | −0.5334 | 0.4921 | |
| Land-Use Type | Number of Effective Cases | Pearson Correlation | Sig (2-Tailed) |
|---|---|---|---|
| A | 51 | 0.339 * | 0.015 |
| B | 18 | 0.124 | 0.624 |
| G | 114 | 0.235 * | 0.012 |
| M | 6 | −0.997 ** | 0.000 |
| R | 48 | −0.118 | 0.426 |
| S | 15 | 0.643 ** | 0.010 |
| W | 3 | c |
| Land-Use Type | No Pollution | Light Pollution | Near Moderate Pollution | Moderate Pollution | Near Heavy Pollution | Heavy Pollution | Serious Pollution |
|---|---|---|---|---|---|---|---|
| A | 4 | 4 | 7 | 0 | 1 | 1 | 0 |
| G | 3 | 6 | 20 | 6 | 2 | 0 | 0 |
| R | 0 | 6 | 6 | 3 | 0 | 0 | 2 |
| W | 0 | 0 | 1 | 0 | 0 | 0 | 0 |
| S | 0 | 1 | 3 | 1 | 0 | 0 | 0 |
| B | 1 | 2 | 1 | 2 | 0 | 0 | 0 |
| M | 0 | 0 | 1 | 0 | 0 | 0 | 1 |
Disclaimer/Publisher’s Note: The statements, opinions and data contained in all publications are solely those of the individual author(s) and contributor(s) and not of MDPI and/or the editor(s). MDPI and/or the editor(s) disclaim responsibility for any injury to people or property resulting from any ideas, methods, instructions or products referred to in the content. |
© 2023 by the authors. Licensee MDPI, Basel, Switzerland. This article is an open access article distributed under the terms and conditions of the Creative Commons Attribution (CC BY) license (https://creativecommons.org/licenses/by/4.0/).
Share and Cite
Pan, J.; Chen, M.; Zhang, Z.; Zhang, H.; Zong, J.; Wang, Z.; Zhang, G. Risk Assessments of Plant Leaf and Soil Mercury Pollution in Different Functional Areas of Changchun City. Forests 2023, 14, 1108. https://doi.org/10.3390/f14061108
Pan J, Chen M, Zhang Z, Zhang H, Zong J, Wang Z, Zhang G. Risk Assessments of Plant Leaf and Soil Mercury Pollution in Different Functional Areas of Changchun City. Forests. 2023; 14(6):1108. https://doi.org/10.3390/f14061108
Chicago/Turabian StylePan, Jiafang, Ming Chen, Zhe Zhang, Hongjie Zhang, Jing Zong, Zhaojun Wang, and Gang Zhang. 2023. "Risk Assessments of Plant Leaf and Soil Mercury Pollution in Different Functional Areas of Changchun City" Forests 14, no. 6: 1108. https://doi.org/10.3390/f14061108
APA StylePan, J., Chen, M., Zhang, Z., Zhang, H., Zong, J., Wang, Z., & Zhang, G. (2023). Risk Assessments of Plant Leaf and Soil Mercury Pollution in Different Functional Areas of Changchun City. Forests, 14(6), 1108. https://doi.org/10.3390/f14061108

