Density Estimation by Drilling Resistance Technique to Determine the Dynamic Modulus of Elasticity of Wooden Members in Historic Structures
Abstract
1. Introduction
2. Materials and Methods
2.1. Material
2.2. Non-Destructive Measurements
2.2.1. Drilling Resistance
2.2.2. Dynamic Modulus of Elasticity
2.3. Destructive Tests
2.4. Data Analysis
3. Results and Discussions
3.1. Density Estimation
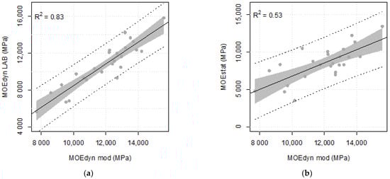
3.2. Calculation of the Dynamic Modulus of Elasticity
4. Conclusions
Author Contributions
Funding
Data Availability Statement
Acknowledgments
Conflicts of Interest
References
- Cruz, H.; Yeomans, D.; Tsakanika, E.; Macchioni, N.; Jorissen, A.; Touza, M.; Mannucci, M.; Lourenço, P.B. Guidelines for On-Site Assessment of Historic Timber Structures. Int. J. Archit. Herit. 2015, 9, 277–289. [Google Scholar] [CrossRef]
- Machado, J.S.; Riggio, M.; D’Ayala, D. Assessment of Structural Timber Members by Non- and Semi-Destructive Methods. Constr. Build. Mater. 2015, 101, 1155–1156. [Google Scholar] [CrossRef]
- Feio, A.; Machado, J.S. In-Situ Assessment of Timber Structural Members: Combining Information from Visual Strength Grading and NDT/SDT Methods—A Review. Constr. Build. Mater. 2015, 101, 1157–1165. [Google Scholar] [CrossRef]
- Cavalli, A.; Togni, M. How to Improve the On-Site MOE Assessment of Old Timber Beams Combining NDT and Visual Strength Grading. Nondestruct. Test. Eval. 2013, 28, 252–262. [Google Scholar] [CrossRef]
- Llana, D.F.; Íñiguez-González, G.; Montón, J.; Arriaga, F. In-Situ Density Estimation by Four Nondestructive Techniques on Norway Spruce from Built-in Wood Structures. Holzforschung 2018, 72, 871–879. [Google Scholar] [CrossRef]
- Osuna-Sequera, C.; Llana, D.F.; Esteban, M.; Arriaga, F. Improving Density Estimation in Large Cross-Section Timber from Existing Structures Optimizing the Number of Non-Destructive Measurements. Constr. Build. Mater. 2019, 211, 199–206. [Google Scholar] [CrossRef]
- Martínez, R.; Calvo, J.; Arriaga, F.; Bobadilla, I. In Situ Density Estimation of Timber Pieces by Drilling Residue Analysis. Eur. J. Wood Prod. 2018, 76, 509–515. [Google Scholar] [CrossRef]
- Sharapov, E.; Brischke, C.; Militz, H.; Smirnova, E. Effects of White Rot and Brown Rot Decay on the Drilling Resistance Measurements in Wood. Holzforschung 2018, 72, 905–913. [Google Scholar] [CrossRef]
- Nocetti, M.; Mannucci, M.; Brunetti, M. Automatic Assessment of Insect Degradation Depth in Structural Solid Wood Elements by Drilling Resistance Measurements. Constr. Build. Mater. 2023, 366, 130273. [Google Scholar] [CrossRef]
- Nowak, T.P.; Jasieńko, J.; Hamrol-Bielecka, K. In Situ Assessment of Structural Timber Using the Resistance Drilling Method—Evaluation of Usefulness. Constr. Build. Mater. 2016, 102, 403–415. [Google Scholar] [CrossRef]
- Isik, F.; Li, B. Rapid Assessment of Wood Density of Live Trees Using the Resistograph for Selection in Tree Improvement Programs. Can. J. For. Res. 2003, 33, 2426–2435. [Google Scholar] [CrossRef]
- Ukrainetz, N.K.; O’Neill, G.A. An Analysis of Sensitivities Contributing Measurement Error to Resistograph Values. Can. J. For. Res. 2010, 40, 806–811. [Google Scholar] [CrossRef]
- Johnstone, D.; Ades, P.; Moore, G.M.; Smith, I.W. Using an IML-Resi Drill to Assess Wood Density in Eucalyptus globulus Subsp. Pseudoglobulus. Aust. For. 2011, 74, 190–196. [Google Scholar] [CrossRef]
- Bouffier, L.; Charlot, C.; Raffin, A.; Rozenberg, P.; Kremer, A. Can Wood Density Be Efficiently Selected at Early Stage in Maritime Pine (Pinus pinaster Ait.)? Ann. For. Sci. 2008, 65, 106. [Google Scholar] [CrossRef]
- Rinn, F.; Schweingruber, F.H.; Schär, E. Resistograph and X-Ray Density Charts of Wood. Comparative Evaluation of Drill Resistance Profiles and X-Ray Density Charts of Different Wood Species. Holzforschung 1996, 50, 303–311. [Google Scholar] [CrossRef]
- Ceraldi, C.; Mormone, V.; Ermolli, E.R. Resistographic Inspection of Ancient Timber Structures for the Evaluation of Mechanical Characteristics. Mater. Struct. 2001, 34, 59–64. [Google Scholar] [CrossRef]
- Feio, A.O.; Lourenço, P.B.; Machado, J.S. Non-Destructive Evaluation of the Mechanical Behavior of Chestnut Wood in Tension and Compression Parallel to Grain. Int. J. Archit. Herit. 2007, 1, 272–292. [Google Scholar] [CrossRef]
- Lourenço, P.B.; Feio, A.O.; Machado, J.S. Chestnut Wood in Compression Perpendicular to the Grain: Non-Destructive Correlations for Test Results in New and Old Wood. Constr. Build. Mater. 2007, 21, 1617–1627. [Google Scholar] [CrossRef]
- Calderoni, C.; De Matteis, G.; Giubileo, C.; Mazzolani, F.M. Experimental Correlations between Destructive and Non-Destructive Tests on Ancient Timber Elements. Eng. Struct. 2010, 32, 442–448. [Google Scholar] [CrossRef]
- Branco, J.M.; Piazza, M.; Cruz, P.J.S. Structural Analysis of Two King-Post Timber Trusses: Non-Destructive Evaluation and Load-Carrying Tests. Constr. Build. Mater. 2010, 24, 371–383. [Google Scholar] [CrossRef]
- Dackermann, U.; Crews, K.; Kasal, B.; Li, J.; Riggio, M.; Rinn, F.; Tannert, T. In Situ Assessment of Structural Timber Using Stress-Wave Measurements. Mater. Struct. 2014, 47, 787–803. [Google Scholar] [CrossRef]
- Sharapov, E.; Wang, X.; Smirnova, E.; Wacker, J.P. Wear Behaviour of Drill Bits in Wood Drilling Resistance Measurements. Wood Fiber Sci. 2018, 50, 154–166. [Google Scholar] [CrossRef]
- Degl’Innocenti, M.; Nocetti, M.; Kovačević, V.C.; Aminti, G.; Betti, M.; Lauriola, M.P.; Brunetti, M. Evaluation of the Mechanical Contribution of Wood Degraded by Insects in Old Timber Beams through Analytical Calculations and Experimental Tests. Constr. Build. Mater. 2022, 339, 127653. [Google Scholar] [CrossRef]
- Nocetti, M.; Aminti, G.; Degl’Innocenti, M.; Brunetti, M. Geometric Representation of the Irregular Cross-Section of Old Timber Elements: Comparison of Different Approaches for Mechanical Characterisation. Constr. Build. Mater. 2021, 304, 124579. [Google Scholar] [CrossRef]
- EN 408; Timber Structures. Structural Timber and Glued Laminated Timber. Determination of Some Physical and Mechanical Properties. CEN—European Committee for Standardization: Brussels, Belgium, 2012.
- Nocetti, M.; Bacher, M.; Brunetti, M.; Crivellaro, A.; van de Kuilen, J.W.G. Machine Grading of Italian Structural Timber: Preliminary Results on Different Wood Species. In Proceedings of the World Conference on Timber Engineering, WCTE, Riva del Garda, Italy, 20–24 June 2010; pp. 285–292. [Google Scholar]
- Nocetti, M.; Brancheriau, L.; Bacher, M.; Brunetti, M.; Crivellaro, A. Relationship between Local and Global Modulus of Elasticity in Bending and Its Consequence on Structural Timber Grading. Eur. J. Wood Prod. 2013, 71, 297–308. [Google Scholar] [CrossRef]
- Castro, G.; Paganini, F. Mixed Glued Laminated Timber of Poplar and Eucalyptus Grandis Clones. Holz Roh-Werkstoff 2003, 61, 291–298. [Google Scholar] [CrossRef]
- Acuña, L.; Basterra, L.A.; Casado, M.M.; López, G.; Ramón-Cueto, G.; Relea, E.; Martínez, C.; González, A. Aplicación del resistógrafo a la obtención de la densidad y la diferenciación de especies de madera. Mater. Construcc. 2011, 61, 451–464. [Google Scholar] [CrossRef]
- Sharapov, E.; Brischke, C.; Militz, H. Effect of Grain Direction on Drilling Resistance Measurements in Wood. Int. J. Archit. Herit. 2021, 15, 250–258. [Google Scholar] [CrossRef]
- Morales-Conde, M.J.; Rodríguez-Liñán, C.; Saporiti-Machado, J. Predicting the Density of Structural Timber Members in Service. The Combine Use of Wood Cores and Drill Resistance Data. Mater. Construcc. 2014, 64, e029. [Google Scholar] [CrossRef]
- Sharapov, E.; Wang, X.; Smirnova, E. Drill Bit Friction and Its Effect on Resistance Drilling Measurements in Logs; USDA Forest Service Forest Products Laboratory in Madison: Madison, WI, USA, 2017; pp. 405–415. [Google Scholar]
- Lin, C.-J.; Wang, S.-Y.; Lin, F.-C.; Chiu, C.-M. Effect of Moisture Content on the Drill Resistance Value in Taiwania Plantation Wood. Wood Fiber Sci. 2003, 35, 234–238. [Google Scholar]
- Sharapov, E.; Brischke, C.; Militz, H.; Smirnova, E. Prediction of Modulus of Elasticity in Static Bending and Density of Wood at Different Moisture Contents and Feed Rates by Drilling Resistance Measurements. Eur. J. Wood Prod. 2019, 77, 833–842. [Google Scholar] [CrossRef]
- Osuna-Sequera, C.; Llana, D.F.; Hermoso, E.; Arriaga, F. Acoustic Wave Velocity in Long Pieces of Salzmann Pine for In-Situ Structural Assessment. Constr. Build. Mater. 2021, 269, 121256. [Google Scholar] [CrossRef]
- Arriaga, F.; Llana, D.F.; Esteban, M.; Íñiguez-González, G. Influence of Length and Sensor Positioning on Acoustic Time-of-Flight (ToF) Measurement in Structural Timber. Holzforschung 2017, 71, 713–723. [Google Scholar] [CrossRef]
- Arriaga, F.; Montón, J.; Bobadilla, I.; Llana, D.F. Influence of Length on Acoustic Time-of-Flight (ToF) Measurement in Built-in Structures of Norway Spruce Timber. Holzforschung 2019, 73, 339–352. [Google Scholar] [CrossRef]
- Arriaga, F.; Osuna-Sequera, C.; Bobadilla, I.; Esteban, M. Prediction of the Mechanical Properties of Timber Members in Existing Structures Using the Dynamic Modulus of Elasticity and Visual Grading Parameters. Constr. Build. Mater. 2022, 322, 126512. [Google Scholar] [CrossRef]
- Nocetti, M.; Brunetti, M.; Bacher, M. Efficiency of the Machine Grading of Chestnut Structural Timber: Prediction of Strength Classes by Dry and Wet Measurements. Mater. Struct. 2016, 49, 4439–4450. [Google Scholar] [CrossRef]
- Vega, A.; Dieste, A.; Guaita, M.; Majada, J.; Baño, V. Modelling of the Mechanical Properties of Castanea sativa Mill. Structural Timber by a Combination of Non-Destructive Variables and Visual Grading Parameters. Eur. J. Wood Prod. 2012, 70, 839–844. [Google Scholar] [CrossRef]
- Cavalli, A.; Bevilacqua, L.; Capecchi, G.; Cibecchini, D.; Fioravanti, M.; Goli, G.; Togni, M.; Uzielli, L. MOE and MOR Assessment of in Service and Dismantled Old Structural Timber. Eng. Struct. 2016, 125, 294–299. [Google Scholar] [CrossRef]






| ID | Mean (kg/m3) | CV (%) | Min (kg/m3) | Max (kg/m3) |
|---|---|---|---|---|
| A1 | 515 | 6.3 | 468 | 554 |
| A2 | 451 | 3.8 | 431 | 475 |
| A3 | 360 | 10.1 | 322 | 410 |
| A4 | 448 | 4.1 | 423 | 466 |
| A5 | 466 | 6.9 | 432 | 515 |
| A6 | 433 | 4.0 | 414 | 453 |
| A7 | 420 | 2.3 | 407 | 434 |
| A8 | 482 | 5.5 | 463 | 522 |
| A9 | 493 | 2.8 | 481 | 516 |
| A10 | 452 | 1.1 | 447 | 460 |
| A11 | 427 | 7.2 | 401 | 465 |
| A12 | 477 | 7.7 | 441 | 535 |
| A13 | 463 | 3.2 | 446 | 474 |
| A14 | 411 | 1.1 | 408 | 414 |
| A15 | 488 | 6.1 | 454 | 508 |
| A16 | 518 | 4.0 | 503 | 532 |
| A17 | 471 | 6.2 | 439 | 495 |
| A18 | 414 | 3.1 | 400 | 424 |
| A19 | 492 | 5.5 | 461 | 512 |
| C1 | 626 | 5.3 | 571 | 651 |
| C2 | 565 | 0.6 | 562 | 569 |
| C3 | 535 | 1.8 | 527 | 546 |
| C4 | 599 | 3.0 | 587 | 620 |
| C5 | 608 | 1.6 | 601 | 615 |
| C6 | 570 | 4.3 | 551 | 597 |
| P1 | 496 | 4.6 | 474 | 519 |
| P2 | 414 | 2.8 | 401 | 423 |
| P3 | 435 | 4.9 | 415 | 458 |
| Species | Equation | R2 | Prediction Interval |
|---|---|---|---|
| Silver fir | y = 0.12x + 233 | 0.76 | ±45 (kg/m3) |
| Chestnut | y = 0.12x + 311 | 0.83 | ±39 (kg/m3) |
| Poplar | y = 0.23x + 76 | 0.94 | ±31 (kg/m3) |
| ID | Lateral Faces | End-to-End | Ends/Faces | ||
|---|---|---|---|---|---|
| Mean (m/s) | CV (%) | Mean (m/s) | CV (%) | (-) | |
| A1 | 5006 | 2.77 | 5000 | 4.08 | 1.00 |
| A2 | 5195 | 1.30 | 5460 | 0.70 | 1.05 |
| A3 | 4428 | 0.46 | 4565 | 1.42 | 1.03 |
| A4 | 4588 | 1.12 | 4779 | 2.70 | 1.04 |
| A5 | 4843 | 0.64 | 4886 | 2.07 | 1.01 |
| A6 | 5275 | 1.58 | 5492 | 0.69 | 1.04 |
| A7 | 5607 | 1.88 | 5765 | 1.30 | 1.03 |
| A8 | 5654 | 0.65 | 5796 | 1.31 | 1.03 |
| A9 | 5245 | 0.77 | 5455 | 1.36 | 1.04 |
| A10 | 5253 | 0.72 | 5319 | 1.07 | 1.01 |
| A11 | 4929 | 1.10 | 5150 | 0.63 | 1.04 |
| A12 | 5133 | 0.86 | 5250 | 0.90 | 1.02 |
| A13 | 5157 | 1.12 | 5336 | 0.68 | 1.03 |
| A14 | 4578 | 1.77 | 4703 | 0.91 | 1.03 |
| A15 | 5290 | 0.93 | 5385 | 0.78 | 1.02 |
| A17 | 5135 | 2.05 | 5314 | 1.51 | 1.03 |
| A18 | 4977 | 2.06 | 5170 | 0.61 | 1.04 |
| A19 | 5390 | 2.75 | 5593 | 2.69 | 1.04 |
| C1 | 4707 | 3.46 | 4822 | 1.00 | 1.02 |
| C2 | 4426 | 5.14 | 4559 | 3.04 | 1.03 |
| C4 | 4728 | 1.42 | 4805 | 1.17 | 1.02 |
| C6 | 4648 | 0.98 | 4768 | 1.53 | 1.03 |
| P1 | 5107 | 2.87 | 5258 | 2.15 | 1.03 |
| P2 | 4507 | 1.34 | 4650 | 1.03 | 1.03 |
| P3 | 4703 | 1.18 | 4867 | 2.16 | 1.03 |
Disclaimer/Publisher’s Note: The statements, opinions and data contained in all publications are solely those of the individual author(s) and contributor(s) and not of MDPI and/or the editor(s). MDPI and/or the editor(s) disclaim responsibility for any injury to people or property resulting from any ideas, methods, instructions or products referred to in the content. |
© 2023 by the authors. Licensee MDPI, Basel, Switzerland. This article is an open access article distributed under the terms and conditions of the Creative Commons Attribution (CC BY) license (https://creativecommons.org/licenses/by/4.0/).
Share and Cite
Brunetti, M.; Aminti, G.; Vicario, M.; Nocetti, M. Density Estimation by Drilling Resistance Technique to Determine the Dynamic Modulus of Elasticity of Wooden Members in Historic Structures. Forests 2023, 14, 1107. https://doi.org/10.3390/f14061107
Brunetti M, Aminti G, Vicario M, Nocetti M. Density Estimation by Drilling Resistance Technique to Determine the Dynamic Modulus of Elasticity of Wooden Members in Historic Structures. Forests. 2023; 14(6):1107. https://doi.org/10.3390/f14061107
Chicago/Turabian StyleBrunetti, Michele, Giovanni Aminti, Margherita Vicario, and Michela Nocetti. 2023. "Density Estimation by Drilling Resistance Technique to Determine the Dynamic Modulus of Elasticity of Wooden Members in Historic Structures" Forests 14, no. 6: 1107. https://doi.org/10.3390/f14061107
APA StyleBrunetti, M., Aminti, G., Vicario, M., & Nocetti, M. (2023). Density Estimation by Drilling Resistance Technique to Determine the Dynamic Modulus of Elasticity of Wooden Members in Historic Structures. Forests, 14(6), 1107. https://doi.org/10.3390/f14061107

