Nitrogen Deposition May Benefit to Larix olgensis Root Soils
Abstract
1. Introduction
2. Materials and Methods
2.1. Experimental Area and Design
2.2. Soil Index Determination Method
2.2.1. Chemical Test Methods of Soil Properties
2.2.2. Soil Enzyme Activity Test Methods
2.2.3. Methods for Determination of Soil Microbial Community Structure
2.3. Statistical Analysis
3. Results
3.1. Effect of Nitrogen Addition on Soil Chemistry
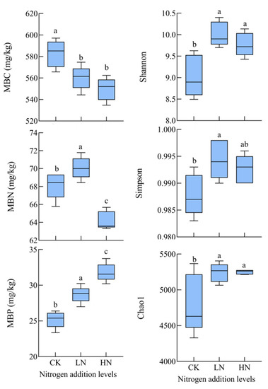
3.2. Effect of Nitrogen Addition on Soil Microbial Biomass
3.3. Effect of Nitrogen Addition on Soil Enzyme Activities
3.4. Effect of Different Nitrogen Addition Treatments on Soil Bacterial Diversity
3.5. Effect of Different Nitrogen Addition Treatments on Soil Bacterial Structure
4. Conclusions
Author Contributions
Funding
Institutional Review Board Statement
Informed Consent Statement
Data Availability Statement
Conflicts of Interest
References
- Galloway, J.N.; Townsend, A.R.; Erisman, J.W.; Bekunda, M.; Cai, Z.; Freney, J.R.; Martinelli, L.A.; Seitzinger, S.P.; Sutton, M.A. Transformation of the Nitrogen Cycle: Recent Trends, Questions, and Potential Solutions. Science 2008, 320, 889–892. [Google Scholar] [CrossRef] [PubMed]
- Wang, Q.; Ma, M.; Jiang, X.; Guan, D.; Wei, D.; Zhao, B.; Li, J. Impact of 36 years of nitrogen fertilization on microbial community composition and soil carbon cycling-related enzyme activities in rhizospheres and bulk soils in northeast China. Appl. Soil Ecol. 2019, 136, 148–157. [Google Scholar] [CrossRef]
- Bedison, J.E.; McNeil, B.E. Is the growth of temperate forest trees enhanced along an ambient nitrogen deposition gradient? Ecology 2009, 90, 1736–1742. [Google Scholar] [CrossRef]
- Carter, M.R.; Gregorich, E.G.; Angers, D.A.; Beare, M.H.; Sparling, G.P.; Wardle, D.A.; Voroney, R.P. Interpretation of microbial biomass measurements for soil quality assessment in humid temperate regions. Can. J. Soil Sci. 1999, 79, 507–520. [Google Scholar] [CrossRef]
- Du, Y.; Guo, P.; Liu, J.; Wang, C.; Yang, N.; Jiao, Z. Different types of nitrogen deposition show variable effects on the soil carbon cycle process of temperate forests. Glob. Chang. Biol. 2014, 20, 3222–3228. [Google Scholar] [CrossRef] [PubMed]
- Kou, L.; Zhang, X.; Wang, H.; Yang, H.; Zhao, W.; Li, S. Nitrogen additions inhibit nitrification in acidic soils in a subtropical pine plantation: Effects of soil pH and compositional shifts in microbial groups. J. For. Res. 2019, 30, 669–678. [Google Scholar] [CrossRef]
- Shen, F.; Wu, J.; Fan, H.; Liu, W.; Guo, X.; Duan, H.; Wei, X. Soil N/P and C/P ratio regulate the responses of soil microbial community composition and enzyme activities in a long-term nitrogen loaded Chinese fir forest. Plant Soil 2019, 436, 91–107. [Google Scholar] [CrossRef]
- Nie, Y.; Wang, M.; Zhang, W.; Ni, Z.; Hashidoko, Y.; Shen, W. Ammonium nitrogen content is a dominant predictor of bacterial community composition in an acidic forest soil with exogenous nitrogen enrichment. Sci. Total Environ. 2018, 624, 407–415. [Google Scholar] [CrossRef]
- Wang, C.; Lu, X.; Mori, T.; Mao, Q.; Zhou, K.; Zhou, G.; Mo, J. Responses of soil microbial community to continuous experimental nitrogen additions for 13 years in a nitrogen-rich tropical forest. Soil Biol. Biochem. 2018, 121, 103–112. [Google Scholar] [CrossRef]
- Zhao, Q.; Zeng, D.H. Nitrogen addition effects on tree growth and soil properties mediated by soil phosphorus availability and tree species identity. For. Ecol. Manag. 2019, 449, 117478. [Google Scholar] [CrossRef]
- Xiao, L.; Liu, G.; Li, P.; Xue, S. Direct and indirect effects of elevated CO2 and nitrogen addition on soil microbial communities in the rhizosphere of Bothriochloa ischaemum. J. Soils Sediments 2019, 19, 3679–3687. [Google Scholar] [CrossRef]
- Allison, S.D.; LeBauer, D.S.; Ofrecio, M.R.; Reyes, R.; Ta, A.M.; Tran, T.M. Low levels of nitrogen addition stimulate decomposition by boreal forest fungi. Soil Biol. Biochem. 2009, 41, 293–302. [Google Scholar] [CrossRef]
- Chen, Z.; Geng, S.; Zhou, X.; Gui, H.; Zhang, L.; Huang, Z.; Han, S. Nitrogen addition decreases soil aggregation but enhances soil organic carbon stability in a temperate forest. Geoderma 2022, 426, 116112. [Google Scholar] [CrossRef]
- Li, J.; Wang, G.; Yan, B.; Liu, G. The responses of soil nitrogen transformation to nitrogen addition are mainly related to the changes in functional gene relative abundance in artificial Pinus tabulaeformis forests. Sci. Total Environ. 2020, 723, 137679. [Google Scholar] [CrossRef]
- Jain, J.; Quarles, C.D., Jr.; Moore, J.; Hartzler, D.A.; McIntyre, D.; Crandall, D. Elemental mapping and geochemical characterization of gas producing shales by laser induced breakdown spectroscopy. Spectrochim. Acta Part B At. Spectrosc. 2018, 150, 1–8. [Google Scholar] [CrossRef]
- Brookes, P.C.; Landman, A.; Pruden, G.; Jenkinson, D.S. Chloroform fumigation and the release of soil nitrogen: A rapid direct extraction method to measure microbial biomass nitrogen in soil. Soil Biol. Biochem. 1985, 17, 837–842. [Google Scholar] [CrossRef]
- Vance, E.D.; Brookes, P.C.; Jenkinson, D.S. An extraction method for measuring soil microbial biomass C. Soil Biol. Biochem. 1987, 19, 703–707. [Google Scholar] [CrossRef]
- Saiya-Cork, K.R.; Sinsabaugh, R.L.; Zak, D.R. The effects of long term nitrogen deposition on extracellular enzyme activity in an Acer saccharum forest soil. Soil Biol. Biochem. 2002, 34, 1309–1315. [Google Scholar] [CrossRef]
- Fang, H.J.; Cheng, S.L.; Yu, G.R.; Yang, X.M.; Xu, M.J.; Wang, Y.S.; Li, Y.N. Nitrogen deposition impacts on the amount and stability of soil organic matter in an alpine meadow ecosystem depend on the form and rate of applied nitrogen. Eur. J. Soil Sci. 2014, 65, 510–519. [Google Scholar] [CrossRef]
- Du, Z.; Wang, W.; Zeng, W.; Zeng, H. Nitrogen deposition enhances carbon sequestration by plantations in northern China. PLoS ONE 2014, 9, e87975. [Google Scholar] [CrossRef]
- Ye, C.; Chen, D.; Hall, S.J.; Pan, S.; Yan, X.; Bai, T.; Guo, H.; Zhang, Y.; Bai, Y.; Hu, S. Reconciling multiple impacts of nitrogen enrichment on soil carbon: Plant, microbial and geochemical controls. Ecol. Lett. 2018, 21, 1162–1173. [Google Scholar] [CrossRef] [PubMed]
- Shutenko, G.S.; Andriuzzi, W.S.; Dyckmans, J.; Luo, Y.; Wilkinson, T.L.; Schmidt, O. Rapid transfer of C and N excreted by decomposer soil animals to plants and above-ground herbivores. Soil Biol. Biochem. 2022, 166, 108582. [Google Scholar] [CrossRef]
- Yan, B.; Sun, Y.; He, G.; He, R.; Zhang, M.; Fang, H.; Shi, L. Nitrogen enrichment affects soil enzymatic stoichiometry via soil acidification in arid and hot land. Pedobiologia 2020, 81, 150663. [Google Scholar] [CrossRef]
- Sun, Z.C.; Ma, T.Y.; Xu, S.Q.; Guo, H.R.; Hu, C.C.; Chen, C.J.; Liu, X.Y. Levels and variations of soil bioavailable nitrogen among forests under high atmospheric nitrogen deposition. Sci. Total Environ. 2022, 838, 156405. [Google Scholar] [CrossRef] [PubMed]
- Simpson, A.C.; Zabowski, D.; Rochefort, R.M.; Edmonds, R.L. Increased microbial uptake and plant nitrogen availability in response to simulated nitrogen deposition in alpine meadows. Geoderma 2019, 336, 68–80. [Google Scholar] [CrossRef]
- Zhang, H.; Xiong, X.; Wu, J.; Zhao, J.; Zhao, M.; Chu, G.; Zhang, D. Changes in soil microbial biomass, community composition, and enzyme activities after half-century forest restoration in degraded tropical lands. Forests 2019, 10, 1124. [Google Scholar] [CrossRef]
- Qu, W.; Xie, B.; Hua, H.; Bohrer, G.; Penuelas, J.; Wu, C.; Han, G. Long-term nitrogen enrichment accelerates soil respiration by boosting microbial biomass in coastal wetlands. Soil Biol. Biochem. 2022, 175, 108864. [Google Scholar] [CrossRef]
- Jia, X.; Zhong, Y.; Liu, J.; Zhu, G.; Shangguan, Z.; Yan, W. Effects of nitrogen enrichment on soil microbial characteristics: From biomass to enzyme activities. Geoderma 2020, 366, 114256. [Google Scholar] [CrossRef]
- Xing, T.T.; Cai, A.D.; Lu, C.A.; Ye, H.L.; Wu, H.L.; Huai, S.C.; Lin, Q.M. Increasing soil microbial biomass nitrogen in crop rotation systems by improving nitrogen resources under nitrogen application. J. Integr. Agric. 2022, 21, 1488–1500. [Google Scholar] [CrossRef]
- Zhang, N.; Wan, S.; Li, L.; Bi, J.; Zhao, M.; Ma, K. Impacts of urea N addition on soil microbial community in a semi-arid temperate steppe in northern China. Plant Soil 2008, 311, 19–28. [Google Scholar] [CrossRef]
- Zhang, X.; Zhao, Q.; Sun, Q.-Y.; Mao, B.; Zeng, D.-H. Understory vegetation interacts with nitrogen addition to affect soil phosphorus transformations in a nutrient-poor Pinus sylvestris var. mongolica plantation. For. Ecol. Manag. 2022, 507, 120026. [Google Scholar] [CrossRef]
- Dong, C.; Wang, W.; Liu, H.; Xu, X.; Zeng, H. Temperate grassland shifted from nitrogen to phosphorus limitation induced by degradation and nitrogen deposition: Evidence from soil extracellular enzyme stoichiometry. Ecol. Indic. 2019, 101, 453–464. [Google Scholar] [CrossRef]
- Burns, R.G.; DeForest, J.L.; Marxsen, J.; Sinsabaugh, R.L.; Stromberger, M.E.; Wallenstein, M.D.; Zoppini, A. Soil enzymes in a changing environment: Current knowledge and future directions. Soil Biol. Biochem. 2013, 58, 216–234. [Google Scholar] [CrossRef]
- Allison, S.D.; Vitousek, P.M. Responses of extracellular enzymes to simple and complex nutrient inputs. Soil Biol. Biochem. 2005, 37, 937–944. [Google Scholar] [CrossRef]
- Jian, S.; Li, J.; Chen, J.I.; Wang, G.; Mayes, M.A.; Dzantor, K.E.; Luo, Y. Soil extracellular enzyme activities, soil carbon and nitrogen storage under nitrogen fertilization: A meta-analysis. Soil Biol. Biochem. 2016, 101, 32–43. [Google Scholar] [CrossRef]
- Marklein, A.R.; Houlton, B.Z. Nitrogen inputs accelerate phosphorus cycling rates across a wide variety of terrestrial ecosystems. New Phytol. 2012, 193, 696–704. [Google Scholar] [CrossRef]
- Li, Y.; Nie, C.; Liu, Y.; Du, W.; He, P. Soil microbial community composition closely associates with specific enzyme activities and soil carbon chemistry in a long-term nitrogen fertilized grassland. Sci. Total Environ. 2019, 654, 264–274. [Google Scholar] [CrossRef]
- Wang, Q.K.; Wang, S.L.; Liu, Y.X. Responses to N and P fertilization in a young Eucalyptus dunnii plantation: Microbial properties, enzyme activities and dissolved organic matter. Appl. Soil Ecol. 2008, 40, 484–490. [Google Scholar] [CrossRef]
- Wang, H.; Liu, S.; Zhang, X.; Mao, Q.; Li, X.; You, Y.; Mo, J. Nitrogen addition reduces soil bacterial richness, while phosphorus addition alters community composition in an old-growth N-rich tropical forest in southern China. Soil Biol. Biochem. 2018, 127, 22–30. [Google Scholar] [CrossRef]
- Zeng, J.; Liu, X.; Song, L.; Lin, X.; Zhang, H.; Shen, C.; Chu, H. Nitrogen fertilization directly affects soil bacterial diversity and indirectly affects bacterial community composition. Soil Biol. Biochem. 2016, 92, 41–49. [Google Scholar] [CrossRef]
- Jia, M.; Gao, Z.; Gu, H.; Zhao, C.; Liu, M.; Liu, F.; Han, G. Effects of precipitation change and nitrogen addition on the composition, diversity, and molecular ecological network of soil bacterial communities in a desert steppe. PLoS ONE 2021, 16, e0248194. [Google Scholar] [CrossRef] [PubMed]
- Zhang, Y.; Cong, J.; Lu, H.; Yang, C.; Yang, Y.; Zhou, J.; Li, D. An integrated study to analyze soil microbial community structure and metabolic potential in two forest types. PLoS ONE 2014, 9, e93773. [Google Scholar] [CrossRef] [PubMed]
- Sun, H.; Terhonen, E.; Koskinen, K.; Paulin, L.; Kasanen, R.; Asiegbu, F.O. Bacterial diversity and community structure along different peat soils in boreal forest. Appl. Soil Ecol. 2014, 74, 37–45. [Google Scholar] [CrossRef]
- Fierer, N.; Bradford, M.A.; Jackson, R.B. Toward an ecological classification of soil bacteria. Ecology 2007, 88, 1354–1364. [Google Scholar] [CrossRef] [PubMed]
- Sorokin, D.Y.; Lücker, S.; Vejmelkova, D.; Kostrikina, N.A.; Kleerebezem, R.; Rijpstra, W.I.C.; Daims, H. Nitrification expanded: Discovery, physiology and genomics of a nitrite-oxidizing bacterium from the phylum Chloroflexi. ISME J. 2012, 6, 2245–2256. [Google Scholar] [CrossRef] [PubMed]
- Lauber, C.L.; Hamady, M.; Knight, R.; Fierer, N. Pyrosequencing-based assessment of soil pH as a predictor of soil bacterial community structure at the continental scale. Appl. Environ. Microbiol. 2009, 75, 5111–5120. [Google Scholar] [CrossRef]
- Guo, L.; Zheng, S.; Cao, C.; Li, C. Tillage practices and straw-returning methods affect topsoil bacterial community and organic C under a rice-wheat cropping system in central China. Sci. Rep. 2016, 6, 33155. [Google Scholar] [CrossRef] [PubMed]
- McIlroy, S.J.; Starnawska, A.; Starnawski, P.; Saunders, A.M.; Nierychlo, M.; Nielsen, P.H.; Nielsen, J.L. Identification of active denitrifiers in full-scale nutrient removal wastewater treatment systems. Environ. Microbiol. 2016, 18, 50–64. [Google Scholar] [CrossRef]
- Lee, H.; Oh, S.-Y.; Lee, Y.M.; Jang, Y.; Jang, S.; Kim, C.; Lim, Y.W.; Kim, J.-J. Successional Variation in the Soil Microbial Community in Odaesan National Park, Korea. Sustainability 2020, 12, 4795. [Google Scholar] [CrossRef]
- Gaur, A.C.; Gaind, S. Role of phosphorus solubilizing microorganisms in crop productivity and enriched organic manure. In National Seminar on Organic Farming Held During; Indian Agricultural Research Institute: New Delhi, India, 1992; pp. 28–29. [Google Scholar]
- Yan, S.; Zhao, J.; Ren, T.; Liu, G. Correlation between soil microbial communities and tobacco aroma in the presence of different fertilizers. Ind. Crops Prod. 2020, 151, 112454. [Google Scholar] [CrossRef]






| Nitrogen Addition Treatment | Soil pH | Water Content (%) | NO3−-N (mg/kg) | NH4+-N (mg/kg) | TC (g/kg) | TN (g/kg) | TP (g/kg) | C:N |
|---|---|---|---|---|---|---|---|---|
| CK | 5.44 ± 0.06a | 13.10 ± 0.47a | 2.35 ± 0.11b | 1.05 ± 0.06c | 12.31 ± 0.74a | 0.79 ± 0.01c | 1.49 ± 0.03a | 15.62 ± 0.82a |
| HN-NaNO3 | 5.20 ± 0.04b | 12.62 ± 0.66a | 6.04 ± 0.59a | 1.58 ± 0.04a | 10.34 ± 0.35b | 0.88 ± 0.01a | 1.50 ± 0.04a | 11.75 ± 0.34c |
| LN-NaNO3 | 5.28 ± 0.08b | 12.50 ± 1.22a | 5.58 ± 0.41a | 1.36 ± 0.02b | 11.48 ± 1.15ab | 0.87 ± 0.02b | 1.49 ± 0.02a | 13.39 ± 1.36b |
| Factor | F | P |
|---|---|---|
| Soil pH | 19.649 | 0.000 ** |
| Water content (%) | 0.701 | 0.515 |
| NH4+-N(mg/kg) | 192.28 | 0.000 ** |
| NO3-N(mg/kg) | 115.008 | 0.000 ** |
| TC (g/kg) | 7.384 | 0.008 ** |
| TN (g/kg) | 68.336 | 0.000 ** |
| TP (g/kg) | 0.057 | 0.945 |
| C:N | 21.514 | 0.000 ** |
| MBC (mg/kg) | 5.307 | 0.032 * |
| MBN (mg/kg) | 41.219 | 0.000 ** |
| MBP (mg/kg) | 18.125 | 0.000 ** |
| Ure (IU/L) | 4.592 | 0.045 * |
| ACP (IU/L) | 5.377 | 0.031 * |
| NAG (IU/L) | 4.113 | 0.056 |
| LAP (IU/L) | 21.535 | 0.000 ** |
| Shannon | 10.104 | 0.003 ** |
| Simpson | 5.09 | 0.025 * |
| Chao1 | 5.256 | 0.023 * |
Disclaimer/Publisher’s Note: The statements, opinions and data contained in all publications are solely those of the individual author(s) and contributor(s) and not of MDPI and/or the editor(s). MDPI and/or the editor(s) disclaim responsibility for any injury to people or property resulting from any ideas, methods, instructions or products referred to in the content. |
© 2023 by the authors. Licensee MDPI, Basel, Switzerland. This article is an open access article distributed under the terms and conditions of the Creative Commons Attribution (CC BY) license (https://creativecommons.org/licenses/by/4.0/).
Share and Cite
Qu, T.; Li, M.; Zhao, X.; Luo, H.; Zhao, L. Nitrogen Deposition May Benefit to Larix olgensis Root Soils. Forests 2023, 14, 1014. https://doi.org/10.3390/f14051014
Qu T, Li M, Zhao X, Luo H, Zhao L. Nitrogen Deposition May Benefit to Larix olgensis Root Soils. Forests. 2023; 14(5):1014. https://doi.org/10.3390/f14051014
Chicago/Turabian StyleQu, Tongbao, Meixuan Li, Xiaoting Zhao, Heyi Luo, and Lei Zhao. 2023. "Nitrogen Deposition May Benefit to Larix olgensis Root Soils" Forests 14, no. 5: 1014. https://doi.org/10.3390/f14051014
APA StyleQu, T., Li, M., Zhao, X., Luo, H., & Zhao, L. (2023). Nitrogen Deposition May Benefit to Larix olgensis Root Soils. Forests, 14(5), 1014. https://doi.org/10.3390/f14051014
