Canopy Phenology and Meteorology Shape the Seasonal Dynamics in Hydrological Fluxes of Dissolved Organic Carbon in an Evergreen Broadleaved Subtropical Forest in Central Japan
Abstract
1. Introduction
2. Materials and Methods
2.1. Study Site Description
2.2. Sample Collection
2.3. Water Analyses
2.4. Data Processing
2.5. Statistical Analyses
3. Results
3.1. Precipitation Partitioning and Seasonal Changes in Hydrological Fluxes
3.2. Phenological Canopy Changes
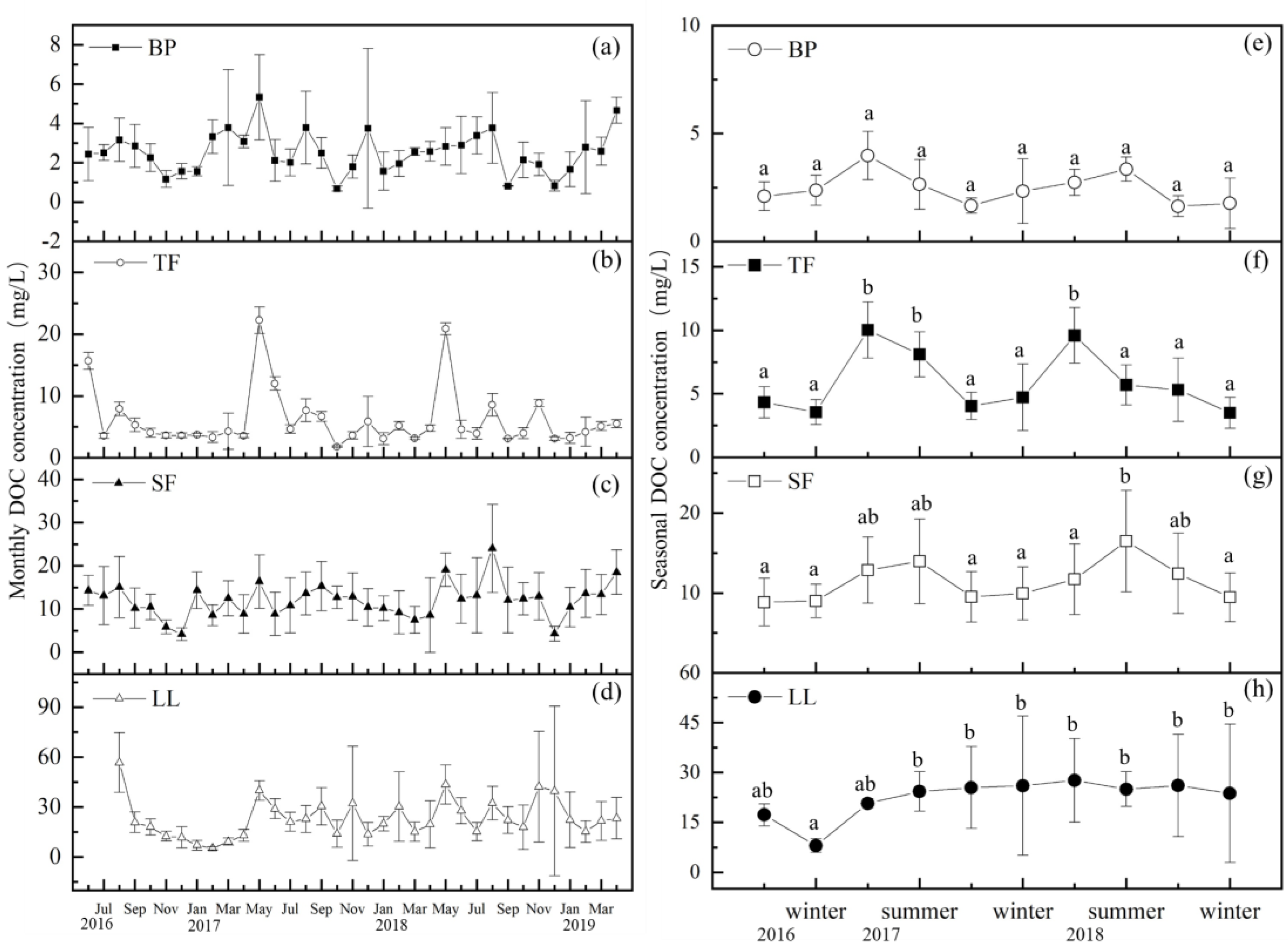
3.3. Dynamics of the DOC Concentrations in Different Hydrological Fluxes
3.4. Dynamics of the DOC Fluxes in Different Hydrological Fluxes
3.5. Drivers of DOC Concentrations and Fluxes in Different Forest Hydrological Fluxes
4. Discussion
4.1. Characteristics of the DOC Concentration in Different Forest Hydrological Fluxes
4.2. Characteristics of the DOC Flux in Different Forest Hydrological Fluxes
4.3. The Ecological Implications of DOC Flux in Subtropical Secondary Evergreen Forests
5. Conclusions
Author Contributions
Funding
Data Availability Statement
Acknowledgments
Conflicts of Interest
Appendix A

References
- Dittmar, T.; Stubbins, A. Dissolved organic matter in aquatic systems. In Treatise on Geochemistry, 2nd ed.; Holland, H., Turekian, K., Eds.; Elsevier: Amsterdam, The Netherlands, 2012; pp. 125–156. Volume 12. [Google Scholar]
- Lloyd, C.R.; Marques, A.D.O. Spatial variability of throughfall and stemflow measurements in Amozonian rainforest. Agric. For. Meteorol. 1988, 42, 63–73. [Google Scholar] [CrossRef]
- Sadeghi, S.M.M.; Gordon, D.A.; Van Stan, J.T., II. A Global Synthesis of Throughfall and Stemflow Hydrometeorology. In Precipitation Partitioning by Vegetation; Van Stan, J., II, Gutmann, E., Friesen, J., Eds.; Springer: Cham, Switzerland, 2020. [Google Scholar] [CrossRef]
- Levia, D.F.; Keim, R.F.; Carlyle-Moses, D.E.; Frost, E.E. Throughfall and stemflow in wooded ecosystems. For. Hydrol. Biogeochem. 2011, 216, 425–443. [Google Scholar]
- Schwendenmann, L.; Veldkamp, E. The Role of Dissolved Organic Carbon, Dissolved Organic Nitrogen, and Dissolved Inorganic Nitrogen in a Tropical Wet Forest Ecosystem. Ecosystems 2005, 8, 339–351. [Google Scholar] [CrossRef]
- Van Stan, J.T.; Gordon, D.A. Mini-Review: Stemflow as a Resource Limitation to Near-Stem Soils. Front. Plant. Sci. 2018, 9, 248. [Google Scholar] [CrossRef] [PubMed]
- Qualls, R.; Haines, B.L. Geochemistry of Dissolved Organic Nutrients in Water Percolating through a Forest Ecosystem. Soil. Sci. Soc. Am. J. 1991, 55, 1112–1123. [Google Scholar] [CrossRef]
- Keim, R.F.; Meerveld, H.J.T.V.; McDonnell, J.J. A virtual experiment on the effects of evaporation and intensity smoothing by canopy interception on subsurface stormflow generation. J. Hydrol. 2006, 327, 352–364. [Google Scholar] [CrossRef]
- Miura, M.; Manabe, T.; Yamamoto, N. Forest Canopy and Community Dynamics in a Temperate Old-Growth Evergreen Broad-Leaved Forest, South-Western Japan: A 7-Year Study of a 4-ha Plot. J. Ecol. 2001, 89, 841–849. [Google Scholar] [CrossRef]
- Van Stan, J.T.; Stubbins, A. Tree-DOM: Dissolved organic matter in throughfall and stemflow. Limnol. Oceanogr. Lett. 2018, 3, 199–214. [Google Scholar] [CrossRef]
- Keim, R.F.; Skaugset, A.E.; Weiler, M. Temporal persistence of spatial patterns in throughfall. J. Hydrol. 2005, 314, 263–274. [Google Scholar] [CrossRef]
- Nadkarni, N.M.; Sumera, M.M. Old-growth forest canopy structure and its relationship to throughfall interception. For. Sci. 2004, 50, 290–298. [Google Scholar]
- Van Stan, J.T.; Hildebrandt, A.; Friesen, J.; Metzger, J.C.; Yankine, S.A. Spatial Variability and Temporal Stability of Local Net Precipitation Patterns. In Precipitation Partitioning by Vegetation; Van Stan, J., II, Gutmann, E., Friesen, J., Eds.; Springer: Cham, Switzerland, 2020. [Google Scholar] [CrossRef]
- André, F.; Jonard, M.; Ponette, Q. Precipitation water storage capacity in a temperate mixed oak-beech canopy. Hydrol. Process. 2008, 22, 4130–4141. [Google Scholar] [CrossRef]
- Staelens, J.; De Schrijver, A.; Verheyen, K.; Verhoest, N.E.C. Rainfall partitioning into throughfall, stemflow, and interception within a single beech (Fagus sylvatica L.) canopy: Influence of foliation, rain event characteristics, and meteorology. Hydrol. Process. 2008, 22, 33–45. [Google Scholar] [CrossRef]
- Levia, D.F.; Germer, S. A review of stemflow generation dynamics and stemflow-environment interactions in forests and shrublands. Rev. Geophys. 2015, 53, 673–714. [Google Scholar] [CrossRef]
- Levia, D.F.; Underwood, S.J. Snowmelt induced stemflow in northern hardwood forests: A theoretical explanation on the causation of a neglected hydrological process. Adv. Water Resour. 2004, 27, 121–128. [Google Scholar] [CrossRef]
- Chen, S.; Cao, R.; Yoshitake, S.; Ohtsuka, T. Stemflow hydrology and DOM flux in relation to tree size and rainfall event characteristics. Agric. For. Meteorol. 2019, 279, 107753. [Google Scholar] [CrossRef]
- Van den Berg, L.J.L.; Shotbolt, L.; Ashmore, M.R. Dissolved organic carbon (DOC) concentrations in UK soils and the in fluence of soil, vegetation type and seasonality. Sci. Total. Environ. 2012, 427, 269–276. [Google Scholar] [CrossRef]
- Stubbins, A.; Guillemette, F.; Van Stan, J.T., II. Throughfall and Stemflow: The Crowning Headwaters of the Aquatic Carbon Cycle. In Precipitation Partitioning by Vegetation; Van Stan, J., II, Gutmann, E., Friesen, J., Eds.; Springer: Cham, Switzerland, 2020. [Google Scholar] [CrossRef]
- Moore, T.R. Dissolved organic carbon in a northern boreal landscape. Global Biogeochem. Cycles 2003, 17, 1109. [Google Scholar] [CrossRef]
- Tobón, C.; Sevink, J.; Verstraten, J.M. Solute fluxes in throughfall and stemflow in four forest ecosystems in northwest Amazonia. Biogeochemistry 2004, 70, 1–25. [Google Scholar] [CrossRef]
- Michalzik, B.; Kalbitz, K.; Park, J.H.; Solinger, S.; Matzner, E. Fluxes and concentrations of dissolved organic matter—A synthesis for temperate forests. Biogeochemistry 2001, 52, 173–205. [Google Scholar] [CrossRef]
- Neff, J.C.; Asner, G.P. Dissolved Organic Carbon in Terrestrial Ecosystems: Synthesis and a Model. Ecosystems 2001, 4, 29–48. [Google Scholar] [CrossRef]
- Le Mellec, A.; Meesenburg, H.; Michalzik, B. The importance of canopy-derived dissolved and particulate organic matter (DOM and POM)– comparing throughfall solution from broadleaved and coniferous forests. Ann. For. Sci. 2010, 67, 411. [Google Scholar] [CrossRef]
- Inamdar, S.; Finger, N.; Singh, S.; Mitchell, M.; Levia, D.; Bais, H.; Scott, D.; McHale, P. Dissolved organic matter (DOM) concentration and quality in a forested mid-Atlantic watershed, USA. Biogeochemistry 2012, 108, 55–76. [Google Scholar] [CrossRef]
- Hagedorn, F.; Schleppi, P.; Waldner, P.; Flühler, H. Export of dissolved organic carbon and nitrogen from Gleysol dominated catchments—The significance of water flow paths. Biogeochemistry 2000, 50, 137–161. [Google Scholar]
- Inamdar, S.; Dhillon, G.; Singh, S.; Dutta, S.; Levia, D.; Scott, D.; Mitchell, M.; Van Stan, J.; McHale, P. Temporal variation in endmember chemistry and its influence on runoff mixing patterns in a forested, Piedmont catchment. Water Resour. Res. 2013, 49, 1828–1844. [Google Scholar] [CrossRef]
- Katsuyama, M.; Ohte, N.; Kobashi, S. A threecomponent end-member analysis of streamwater hydrochemistry in a small Japanese forested headwater catchment. Hydrol. Process. 2001, 15, 249–260. [Google Scholar] [CrossRef]
- Inamdar, S.P.; Mitchell, M.J. Contributions of riparian and hillslope waters to storm runoff across multiple catchments and storm events in a glaciated forested watershed. J. Hydrol. 2007, 341, 116–130. [Google Scholar] [CrossRef]
- McDowell, W.H.; Wood, T. Podzolization: Soil processes control dissolved organic carbon concentrations in stream water. Soil. Sci. 1984, 137, 23–32. [Google Scholar] [CrossRef]
- Ziegler, F. Die Bedeutung des organischen Kohlenstoffs im Unterboden—Vorratsberechnungen an Waldb6den. UWSF Z. Umweltchem. Okotox. 1991, 3, 276–277. [Google Scholar] [CrossRef]
- Zhao, Y.G.; Liu, X.F.; Wang, Z.L. Soil organic carbon fractions and sequestration across a 150-yr secondary forest chronosequence on the loess plateau, China. CATENA 2015, 133, 303–308. [Google Scholar] [CrossRef]
- Coward, E.K.; Thompson, A.T.; Plante, A.F. Iron-mediated mineralogical control of organic matter accumulation in tropical soils. Geoderma 2017, 306, 206–216. [Google Scholar] [CrossRef]
- Xiang, H.M.; Luo, X.Z.; Zhang, L.L.; Hou, E.Q.; Li, J.; Zhu, Q.D.; Wen, D.Z. Forest succession accelerates soil carbon accumulation by increasing recalcitrant carbon stock in subtropical forest topsoils. CATENA 2022, 212, 106030. [Google Scholar] [CrossRef]
- Guggenberger, G. Eigenschaften und Dynamik gelöster organischer Substanzen (DOM) auf unterschiedlich immissionsbelasteten Fichtenstandorten n (In German with English summary). Bayreuth. Bodenkd. Ber. 1992, 26, 1–164. [Google Scholar]
- Guggenberger, G.; Zech, W. Dissolved organic carbon in forest floor leachates: Simple degradation products or humic substances? Sci. Total. Environ. 1994, 152, 37–47. [Google Scholar] [CrossRef]
- Comiskey, C.E. Aspects of the Organic Carbon Cycle on Walker Branch Watershed: A Study in Land/Water Interaction. Ph.D. Dissertation, University of Tennessee, Knoxville, TN, USA, 1978; p. 509. [Google Scholar]
- Solinger, S.; Kalbitz, K.; Matzner, E. Controls on the dynamics of dissolved organic carbon and nitrogen in a Central European deciduous forest. Biogeochemistry 2001, 55, 327–349. [Google Scholar] [CrossRef]
- Levia, D.F.; Van Stan, J.T.; Inamdar, S.P.; Jarvis, M.T.; Mitchell, M.J.; Mage, S.M.; Scheick, C.E.; McHale, P.J. Stemflow and dissolved organic carbon cycling: Temporal variability in concentration, flux, and UV-Vis spectral metrics in a temperate broadleaved deciduous forest in the eastern United States. Can. J. For. Res. 2012, 42, 207–216. [Google Scholar] [CrossRef]
- Goller, R.; Wilcke, W.; Fleischbein, K.; Valarezo, C.; Zech, W. Dissolved nitrogen, phosphorus, and sulfur forms in the ecosystem fluxes of a Montane forest in Ecuador. Biogeochemistry 2006, 77, 57–89. [Google Scholar] [CrossRef]
- Currie, W.S.; Aber, J.D.; McDowell, W.H.; Boone, R.D.; Magill, A.H. Vertical transport of dissolved organic C and N under long-term N amendments in pine and hardwood forests. Biogeochemistry 1996, 35, 471–505. [Google Scholar] [CrossRef]
- Fujii, K.; Uemura, M.; Funakawa, S.; Hayakawa, C.; Sukartiningsih, T.K.; Ohta, S. Fluxes of dissolved organic carbon in two tropical forest ecosystems of East Kalimantan, Indonesia. Geoderma 2009, 152, 127–136. [Google Scholar] [CrossRef]
- Guo, J.-F.; Yang, Y.-S.; Chen, G.-S.; Lin, P. Dissolved organic carbon and nitrogen in precipitation, throughfall and stemflow from Schima superba and Cunninghamia lanceolate plantations in subtropical China. J. For. Res. 2005, 16, 19–22. [Google Scholar] [CrossRef]
- Zimmermann, A.; Zimmermann, B.E.; Elsenbeer, H. Rainfall redistribution in a tropical forest: Spatial and temporal patterns. Water Resour. Res. 2009, 45, W11413. [Google Scholar] [CrossRef]
- Hansen, K. In-canopy throughfall measurements of ion fluxes in Norway spruce. Atmos. Environ. 1994, 30, 4065–4076. [Google Scholar] [CrossRef]
- Staelens, J.; De Schrijver, A.; Verheyen, K. Seasonal variation in throughfall and stemflow chemistry beneath a European beech (Fagus sylvatica L.) tree in relation to canopy phenology. Can. J. For. Res. 2007, 37, 1359–1372. [Google Scholar] [CrossRef]
- Staelens, J.; Houle, D.; De Schrijver, A.; Neirynck, J.; Verheyen, K. Calculating dry deposition and canopy exchange with the canopy budget model: Review of assumptions and application to two deciduous forests. Water Air Soil. Pollut. 2008, 191, 149–169. [Google Scholar] [CrossRef]
- Pypker, T.G.; Levia, D.F.; Staelens, J.; Van Stan, J.T. Canopy structure in relation to hydrological and biogeochemical fluxes. In Forest Hydrology and Biogeochemistry; Springer: Berlin/Heidelberg, Germany, 2011; pp. 371–388. [Google Scholar]
- Chen, S.; Komiyama, A.; Kato, S.; Cao, R.; Yoshitake, S.; Ohtsuka, T. Stand Dynamics and Biomass Increment in a Lucidophyllous Forest over a 28-Year Period in Central Japan. Forests 2017, 8, 397. [Google Scholar] [CrossRef]
- Gifu City “Plan for Preservation and Utilization of Gifu Castle, a Historic Site”. 2021. Available online: https://www.city.gifu.lg.jp/_res/projects/default_project/_page_/001/005/558/hozonkatuyou12.pdf (accessed on 20 December 2022). (In Japanese).
- Chen, S.; Yoshitake, S.; Iimura, Y.; Asai, C.; Ohtsuka, T. Dissolved organic carbon (DOC) input to the soil: DOC fluxes and their partitions during the growing season in a cool-temperate broad-leaved deciduous forest, central Japan. Ecol. Res. 2017, 32, 713–724. [Google Scholar] [CrossRef]
- Strigel, G.; Ruhiyat, D.; Prayitno, D.; Sarmina, S. Nutrient input by rainfall into secondary forests in east Kalimantan, Indonesia. J. Trop. Ecol. 1994, 10, 285–288. [Google Scholar] [CrossRef]
- Nitta, I.; Ohsawa, M. Leaf dynamics and shoot phenology of eleven warm-temperate evergreen broad-leaved trees near their northern limit in central Japan. Plant. Ecol. 1997, 130, 71–88. [Google Scholar] [CrossRef]
- Parker, G.G. Throughfall and stemflow in the forest nutrient cycle. Adv. Ecol. Res. 1983, 13, 57–133. [Google Scholar]
- Després, V.; Huffman, J.A.; Burrows, S.M.; Hoose, C.; Safatov, A.; Buryak, G.; Fröhlich-Nowoisky, J.; Elbert, W.; Andreae, M.; Pöschl, U.; et al. Primary biological aerosol particles in the atmosphere: A review. Tellus B. Chem. Phys. Meteorol. 2012, 64, 15598. [Google Scholar] [CrossRef]
- Decina, S.M.; Templer, P.H.; Hutyra, L.R. Atmospheric inputs of nitrogen, carbon, and phosphorus across an urban area: Unaccounted fluxes and canopy influences. Earth’s Future 2018, 6, 134–148. [Google Scholar] [CrossRef]
- McColl, J.G. Properties of some natural waters in a tropical wet forest of Costa Rica. BioScience 1970, 20, 1096–1100. [Google Scholar] [CrossRef]
- Smith, C.C.; Healey, J.R.; Berenguer, E.; Young, P.J.; Taylor, B.; Elias, F.; Espírito-Santo, F.; Barlow, J. Old-growth forest loss and secondary forest recovery across Amazonian countries. Environ. Res. Lett. 2021, 16, 085009. [Google Scholar] [CrossRef]
- Qualls, R.G. Role of Precipitation Partitioning in Litter Biogeochemistry. In Precipitation Partitioning by Vegetation; Van Stan, J., II, Gutmann, E., Friesen, J., Eds.; Springer: Cham, Switzerland, 2020. [Google Scholar] [CrossRef]
- Park, J.-H.; Matzner, E. Controls on the release of dissolved organic carbon and nitrogen from a deciduous forest floor investigated by manipulations of aboveground litter inputs and water flux. Biogeochemistry 2003, 6, 265–286. [Google Scholar] [CrossRef]
- Klotzbucher, T.; Kalbitz, K.; Kaiser, K. Response of dissolved organic matter in the forest floor of a temperate spruce stand to increasing throughfall. Vadose Zone J. Vzj. 2014, 13, 1–5. [Google Scholar] [CrossRef]
- Melo, F.P.L.; Parry, L.; Brancalion, P.H.S.; Pinto, S.R.R.; Freitas, J.; Manhaes, A.P.; Meli, P.; Ganade, G.; Chazdon, R.L. Adding forests to the water–energy–food nexus. Nat. Sustain. 2021, 4, 85–92. [Google Scholar] [CrossRef]
- Finlay, J.; Neff, J.; Zimov, S.; Davydova, A.; Davydov, S. Snowmelt dominance of dissolved organic carbon in high-latitude watersheds: Implications for characterization and flux of river doc. Geophys. Res. Lett. 2006, 33, 229–243. [Google Scholar] [CrossRef]
- Guggenberger, G.; Kaiser, K. Significance of DOM in the translocation of cations and acidity in acid forest soils. Z. Für Pflanz. Düngung Bodenkd. 1998, 161, 95–99. [Google Scholar] [CrossRef]
- Guggenberger, G.; Zech, W. Dissolved organic carbon control in acid forest soils of the Fichtelgebirge (Germany) as revealed by distribution patterns and structural composition analyses. Geoderma 1993, 59, 109–129. [Google Scholar] [CrossRef]
- Kirtman, B.; Power, S.B.; Adedoyin, J.A.; Boer, G.J.; Bojariu, R.; Camilloni, I.; Doblas-Reyes, F.J.; Fiore, A.M.; Kimoto, M.; Meehl, G.A.; et al. Near-term Climate Change: Projections and Predictability. In Climate Change 2013: The Physical Science Basis. Contribution of Working Group I to the Fifth Assessment Report of the Intergovernmental Panel on Climate Change; Stocker, T.F., Qin, D., Plattner, G.-K., Tignor, M., Allen, S.K., Boschung, J., Nauels, A., Xia, Y., Bex, V., Midgley, P.M., Eds.; Cambridge University Press: Cambridge, UK; New York, NY, USA, 2013; pp. 953–1028. [Google Scholar]







Disclaimer/Publisher’s Note: The statements, opinions and data contained in all publications are solely those of the individual author(s) and contributor(s) and not of MDPI and/or the editor(s). MDPI and/or the editor(s) disclaim responsibility for any injury to people or property resulting from any ideas, methods, instructions or products referred to in the content. |
© 2023 by the authors. Licensee MDPI, Basel, Switzerland. This article is an open access article distributed under the terms and conditions of the Creative Commons Attribution (CC BY) license (https://creativecommons.org/licenses/by/4.0/).
Share and Cite
Chen, S.; Cao, R.; Yoshitake, S.; Ohtsuka, T. Canopy Phenology and Meteorology Shape the Seasonal Dynamics in Hydrological Fluxes of Dissolved Organic Carbon in an Evergreen Broadleaved Subtropical Forest in Central Japan. Forests 2023, 14, 1013. https://doi.org/10.3390/f14051013
Chen S, Cao R, Yoshitake S, Ohtsuka T. Canopy Phenology and Meteorology Shape the Seasonal Dynamics in Hydrological Fluxes of Dissolved Organic Carbon in an Evergreen Broadleaved Subtropical Forest in Central Japan. Forests. 2023; 14(5):1013. https://doi.org/10.3390/f14051013
Chicago/Turabian StyleChen, Siyu, Ruoming Cao, Shinpei Yoshitake, and Toshiyuki Ohtsuka. 2023. "Canopy Phenology and Meteorology Shape the Seasonal Dynamics in Hydrological Fluxes of Dissolved Organic Carbon in an Evergreen Broadleaved Subtropical Forest in Central Japan" Forests 14, no. 5: 1013. https://doi.org/10.3390/f14051013
APA StyleChen, S., Cao, R., Yoshitake, S., & Ohtsuka, T. (2023). Canopy Phenology and Meteorology Shape the Seasonal Dynamics in Hydrological Fluxes of Dissolved Organic Carbon in an Evergreen Broadleaved Subtropical Forest in Central Japan. Forests, 14(5), 1013. https://doi.org/10.3390/f14051013

