Effects of Tool Tooth Number and Cutting Parameters on Milling Performance for Bamboo–Plastic Composite
Abstract
1. Introduction
2. Materials and Methods
2.1. Workpiece and Cutting Tool
2.2. Measurement Equipment
2.3. Measurement Design
3. Results and Discussion
3.1. Cutting Resultant Force and Temperature Models
3.2. Analysis of Variance for Resultant Force and Cutting Temperature
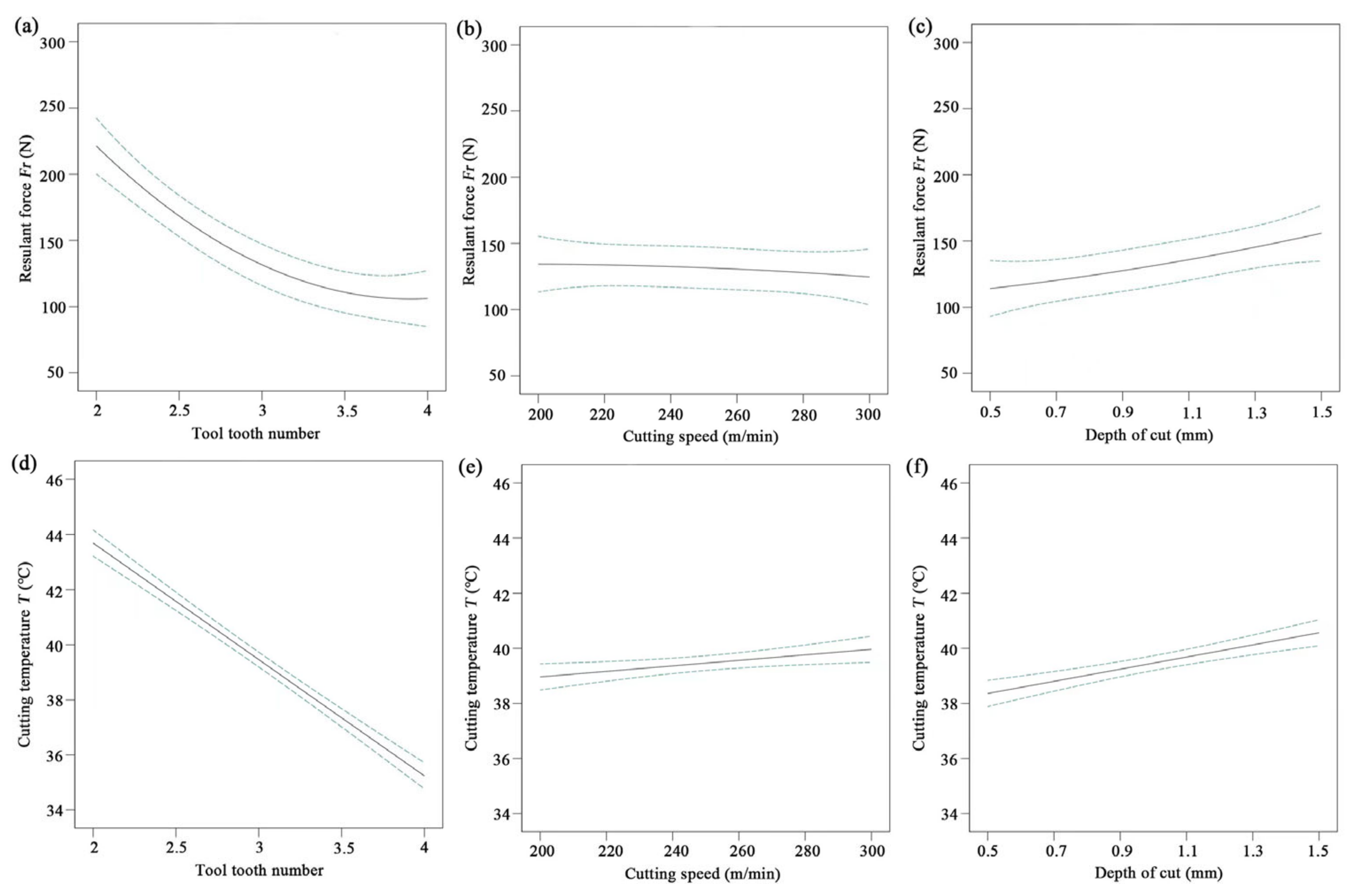
3.3. Changes in Resultant Force and Cutting Temperature under Different Milling Conditions
3.4. Optimization and Verification of Milling Conditions
4. Conclusions
- With increases in the number of tool teeth and the depth of the cut, both the resultant force and the cutting temperature showed increasing trends. Increased cutting speed led to a lower resultant force and higher cutting temperature;
- Predicted models for the resultant force and cutting temperature were obtained and verified, and the significance of each of the terms in the two models was analysed using ANOVA. Among the three cutting variables, the number of tool teeth had the greatest impact on both the resultant force and cutting temperature, followed by the depth of the cut and the cutting speed;
- Based on the developed models, milling conditions were optimized to produce the lowest force and temperature: four tool teeth, a cutting speed of 300 m/min, and a cutting depth of 0.5 mm;
- This work focused on the changes in cutting force and temperature in the milling of BPC. However, cutting quality, tool wear, and cutting energy consumption are also important evaluation indicators for cutting performance, and they affect both product quality and machining costs. Thus, future research is needed to examine cutting quality, tool wear, and cutting energy consumption under different cutting conditions.
Author Contributions
Funding
Data Availability Statement
Acknowledgments
Conflicts of Interest
References
- Zhu, S.; Guo, Y.; Chen, Y.; Su, N.; Zhang, K.; Liu, S. Effects of the incorporation of nano-bamboo charcoal on the mechanical properties and thermal behavior of bamboo-plastic composites. BioResources 2016, 11, 2684–2697. [Google Scholar] [CrossRef]
- Hu, F.; Li, L.; Wu, Z.; Yu, L.; Liu, B.; Cao, Y.; Xu, H. Surface characteristics of thermally modified bamboo fibers and its utilization potential for bamboo plastic composites. Materials 2022, 15, 4481. [Google Scholar] [CrossRef] [PubMed]
- Jin, X.; Li, J.; Zhang, R.; Jiang, Z.; Qin, D. Fabrication of high-performance bamboo–plastic composites reinforced by natural halloysite nanotubes. Molecules 2020, 25, 2259. [Google Scholar] [CrossRef] [PubMed]
- Jiang, S.; Wei, Y.; Hu, Z.; Ge, S.; Peng, W. Potential application of bamboo powder in PBS bamboo plastic composites. J. King Saud Univ. Sci. 2019, 32, 1130–1134. [Google Scholar] [CrossRef]
- Xian, Y.; Wang, C.; Wang, G.; Smith, L.; Cheng, H.T. Fractal dimension analysis of interface and impact strength in core–shell structural bamboo plastic composites. Iran. Polym. J. 2017, 26, 169–178. [Google Scholar] [CrossRef]
- Xian, Y.; Ma, D.; Wang, C.; Wang, G.; Smith, L.; Cheng, H. Characterization and research on mechanical properties of bamboo plastic composites. Polymers 2018, 10, 814. [Google Scholar] [CrossRef]
- Taghiyari, H.R.; Bari, E.; Sistani, A.; Najafian, M.; Ghanbary, M.A.T.; Ohno, K.M. Biological resistance of nanoclay-treated plastic composites with different bamboo contents to three types of fungi. J. Thermoplast. Compos. Mater. 2019, 33, 1048–1060. [Google Scholar] [CrossRef]
- Cai, G.; Wang, J.; Nie, Y.; Tian, X.; Zhu, X.; Zhou, X. Effects of toughening agents on the behaviors of bamboo plastic composites. Polym. Compos. 2011, 32, 1945–1952. [Google Scholar] [CrossRef]
- Zhang, Q.; Ning, L.; Shen, Y.; Wang, M.; Yan, Y. Study on shielding effectiveness, electrical conductivity and thermal property of bamboo-plastic shielding composite based on Ni-Fe-P coated bamboo fibers. Mater. Lett. 2020, 268, 127578. [Google Scholar] [CrossRef]
- Wu, Z.; Zhang, F.; Hu, Y.; Zhu, Z.; Guo, X. Study on helical milling performance of wood-plastic composites. CIRP J. Manuf. Sci. Technol. 2022, 37, 143–154. [Google Scholar] [CrossRef]
- Pei, Z.J.; Zhu, N.F.; Gong, A. Study on cutting temperature for wood-plastic composite. J. Thermoplast. Compos. 2016, 29, 1627–1640. [Google Scholar] [CrossRef]
- Cao, P.; Zhu, Z.; Buck, D.; Guo, X.; Ekevad, M.; Wang, X.A. Effect of rake angle on cutting performance during machining of stone-plastic composite material with polycrystalline diamond cutters. J. Mech. Sci. Technol. 2019, 33, 351–356. [Google Scholar] [CrossRef]
- Zhang, F.; Wu, Z.; Ding, J.; Guo, X.; Cao, P.; Zhu, Z. Milling performance of stone-plastic composite with diamond cutters. Mater. Werkst. 2021, 52, 1307–1318. [Google Scholar] [CrossRef]
- Xian, Y.; Li, H.; Wang, C.; Wang, G.; Ren, W.; Cheng, H. Effect of white mud as a second filler on the mechanical and thermal properties of bamboo residue fiber/polyethylene composites. BioResources 2015, 10, 4263–4276. [Google Scholar] [CrossRef]
- Song, W.; Zhao, F.; Yu, X.; Wang, C.; Wei, W.; Zhang, S. Interfacial characterization and optimal preparation of novel bamboo plastic composite engineering materials. BioResources 2015, 10, 5049–5070. [Google Scholar] [CrossRef]
- Chen, Q.; Zhang, R.; Qin, D.; Feng, Z.; Wang, Y. Modification of the physical-mechanical properties of bamboo-plastic composites with bamboo charcoal after hydrothermal aging. BioResources 2018, 13, 1661–1677. [Google Scholar] [CrossRef]
- Song, W.; Zhang, S.; Fei, B.; Zhao, R. Mussel-inspired polydopamine modification of bamboo flour for superior interfacial compatibility of bamboo plastic composites: Influence of oxidant type. Cellulose 2021, 28, 8567–8580. [Google Scholar] [CrossRef]
- Xian, Y.; Wang, C.; Wang, G.; Ren, W.; Cheng, H. Understanding the mechanical and interfacial properties of core-shell structured bamboo-plastic composites. J. Appl. Polym. Sci. 2016, 133, 430053. [Google Scholar] [CrossRef]
- Jiang, S.; Buck, D.; Tang, Q.; Guan, J.; Wu, Z.; Guo, X.; Zhu, Z.; Wang, X. Cutting force and surface roughness during straight-tooth milling of walnut wood. Forests 2022, 13, 2126. [Google Scholar] [CrossRef]
- Li, R.; Yang, F.; Wang, X. Modeling and predicting the machined surface roughness and milling power in scot’s pine helical milling process. Machines 2022, 10, 331. [Google Scholar] [CrossRef]
- Fang, L.; Lu, X.; Mo, X.; Zhang, X.; Gui, C. Performance of impregnated paper decorated blockboard manufactured using HDF as equilibrium layer. Materials 2022, 15, 6342. [Google Scholar] [CrossRef] [PubMed]
- Li, R.; Yao, Q.; Xu, W.; Li, J.; Wang, X. Study of cutting power and power efficiency during straight-tooth cylindrical milling process of particle boards. Materials 2022, 15, 879. [Google Scholar] [CrossRef] [PubMed]
- Mishra, S.; Sharma, A.; Kumari, A. Response surface methodology based optimization of air-film blade cooled gas turbine cycle for thermal performance prediction. Appl. Therm. Eng. 2020, 164, 114425. [Google Scholar] [CrossRef]
- Li, R.; He, C.; Wang, X. Effects of processing parameters on mass loss and coating properties of poplar plywood during CO2 laser modification. Eur. J. Wood Wood Prod. 2022, 80, 899–906. [Google Scholar] [CrossRef]
- Hu, W.; Liu, Y.; Konukcu, A.C. Study on withdrawal load resistance of screw in wood-based materials: Experimental and numerical. Wood Mater. Sci. Eng. 2022. [Google Scholar] [CrossRef]
- Hu, W.; Zhang, J. Study on static lateral load–slip behavior of single-shear stapled connections in plywood for upholstered furniture frame construction. J. Wood Sci. 2021, 67, 1–11. [Google Scholar] [CrossRef]
- Li, R.; He, C.; Wang, X. Evaluation and modeling of processability of laser removal technique for bamboo outer layer. JOM J. Miner. Met. Mater. Soc. 2021, 73, 2423–2430. [Google Scholar] [CrossRef]
- Wang, C.; Li, R.; Liu, C.; Wang, X.A. Effects of medium-low temperature hydrothermal treatment on microstructure and dimensional stability of chinese sweetgum wood. Wood Res. 2019, 64, 97–104. [Google Scholar]
- Li, R.; He, C.; Xu, W.; Wang, X. Modeling and optimizing the specific cutting energy of medium density fiberboard during the helical up-milling process. Wood Mater. Sci. Eng. 2022. [Google Scholar] [CrossRef]
- Zhu, Z.L.; Guo, X.L.; Ekevad, M.; Cao, P.X.; Zhu, N.F. The effects of cutting parameters and tool geometry on cutting forces and tool wear in milling high-density fiberboard with ceramic cutting tools. Int. J. Adv. Manuf. Tech. 2017, 91, 4033–4041. [Google Scholar] [CrossRef]
- Guo, X.L.; Deng, M.S.; Wang, J.X.; Zhu, Z.L. Effects of geometric angle and cutting speed on cutting forces and tool wear of ceramic cutting tools during peripheral up-milling of high-density fiberboard. Mater. Werkst. 2020, 51, 461–468. [Google Scholar] [CrossRef]
- Szwajka, K.; Trzepieciński, T. Effect of tool material on tool wear and delamination during machining of particleboard. J. Wood Sci. 2016, 62, 305–315. [Google Scholar] [CrossRef]
- Wei, H.; Guo, X.; Zhu, Z.; Cao, P.; Wang, B.; Ekevad, M. Analysis of cutting performance in high density fiberboard milling by ceramic cutting tools. Wood Res. 2018, 63, 455–466. [Google Scholar]








| Flexural Strength | Moisture Content | Impact Strength | Tensile Strength | Density |
|---|---|---|---|---|
| 32.4 MPa | 1.01% | 16.8 KJ/m2 | 57 MPa | 9022 kg/m3 |
| Rake Angle | Wedge Angle | Clearance Angle | Tool Diameter | Cutting Edge Radius |
|---|---|---|---|---|
| 12° | 68° | 10° | 8 mm | 0.02 mm |
| Blade length | Tool length | Bending strength | Hardness | Thermal conductivity |
| 45 mm | 106 mm | 1.35 GPa | 86 HRA | 72.4 W/m·K |
| Cutting Variables | Number of Teeth | Cutting Speed (m/min) | Depth of Milling (mm) |
|---|---|---|---|
| Values of variables | 2, 3, 4 | 200, 250, 300 | 0.5, 1, 1.5 |
| Runs | Number of Teeth | Cutting Speed (m/min) | Depth of Milling (mm) | Resultant Force (N) | Cutting Temperature (°C) |
|---|---|---|---|---|---|
| 1 | 2 | 200 | 1.0 | 225.6 | 43.7 |
| 2 | 2 | 250 | 1.5 | 277.3 | 45.3 |
| 3 | 2 | 250 | 0.5 | 185.9 | 41.2 |
| 4 | 2 | 300 | 1.0 | 199.1 | 44.9 |
| 5 | 3 | 250 | 1.0 | 130.5 | 39.6 |
| 6 | 3 | 300 | 1.5 | 146.3 | 40.7 |
| 7 | 3 | 250 | 1.0 | 131.1 | 39.3 |
| 8 | 3 | 300 | 0.5 | 120.6 | 38.5 |
| 9 | 3 | 200 | 1.5 | 139.7 | 39.3 |
| 10 | 3 | 250 | 1.0 | 132.9 | 39.6 |
| 11 | 3 | 200 | 0.5 | 124.8 | 38.4 |
| 12 | 3 | 250 | 1.0 | 132.0 | 39.5 |
| 13 | 3 | 250 | 1.0 | 131.6 | 39.6 |
| 14 | 4 | 300 | 1.0 | 103.5 | 35.9 |
| 15 | 4 | 250 | 0.5 | 85.0 | 34.6 |
| 16 | 4 | 200 | 1.0 | 118.2 | 34.6 |
| 17 | 4 | 250 | 1.5 | 120.2 | 36.2 |
| Models | Std. Dev. | C.V.% | Adeq Precision | R2 | Adj-R2 |
|---|---|---|---|---|---|
| Fr | 10.08 | 10.08 | 13.84 | 0.95 | 0.91 |
| T | 0.50 | 1.26 | 33.58 | 0.98 | 0.97 |
| Source | Sum of Squares | df | % Cont. | Mean Square | F-Value | p-Value |
|---|---|---|---|---|---|---|
| Model | 35,552.00 | 9 | 95.84 | 3950.22 | 17.91 | 0.0005 * |
| z | 26,565.12 | 1 | 71.61 | 26,565.12 | 120.47 | <0.0001 * |
| vc | 188.18 | 1 | 0.51 | 188.18 | 0.85 | 0.3863 |
| ap | 3494.48 | 1 | 9.42 | 3494.48 | 15.85 | 0.0053 * |
| z × vc | 34.81 | 1 | 0.09 | 34.81 | 0.16 | 0.7030 |
| z × ap | 789.61 | 1 | 2.13 | 789.61 | 3.58 | 0.1003 |
| vc × ap | 29.16 | 1 | 0.08 | 29.16 | 0.13 | 0.7269 |
| z² | 4342.62 | 1 | 11.71 | 4342.62 | 19.69 | 0.0030 * |
| vc² | 19.19 | 1 | 0.05 | 19.19 | 0.09 | 0.7765 |
| ap² | 47.68 | 1 | 0.13 | 47.68 | 0.22 | 0.6561 |
| Residual | 1543.55 | 7 | 4.16 | 220.51 | ||
| Total | 37,095.56 | 16 | 100 |
| Source | Sum of Squares | df | % Cont. | Mean Square | F-Value | p-Value |
|---|---|---|---|---|---|---|
| Model | 156.47 | 6 | 98.45 | 26.08 | 105.74 | <0.0001 * |
| z | 142.80 | 1 | 89.85 | 142.80 | 579.02 | <0.0001 * |
| vc | 2.00 | 1 | 1.26 | 2.00 | 8.11 | 0.0173 * |
| ap | 9.68 | 1 | 6.09 | 9.68 | 39.25 | <0.0001 * |
| z × vc | 0.0025 | 1 | 0.002 | 0.0025 | 0.0101 | 0.9218 |
| z × ap | 1.56 | 1 | 0.98 | 1.56 | 6.34 | 0.0305 * |
| vc × ap | 0.4225 | 1 | 0.27 | 0.4225 | 1.71 | 0.2199 |
| Residual | 2.47 | 10 | 1.55 | 0.2466 | ||
| Total | 158.94 | 16 | 100 |
| Testing | Number of Teeth | Cutting Speed (m/min) | Depth of Milling (mm) | Resultant Force (N) | Cutting Temperature (°C) |
|---|---|---|---|---|---|
| Optimization | 4 | 300 | 0.5 | 95.9 | 35.0 |
| Verification | 4 | 300 | 0.5 | 88.6 | 33.1 |
| Error rate | / | / | / | −7.6% | −5.4% |
Disclaimer/Publisher’s Note: The statements, opinions and data contained in all publications are solely those of the individual author(s) and contributor(s) and not of MDPI and/or the editor(s). MDPI and/or the editor(s) disclaim responsibility for any injury to people or property resulting from any ideas, methods, instructions or products referred to in the content. |
© 2023 by the authors. Licensee MDPI, Basel, Switzerland. This article is an open access article distributed under the terms and conditions of the Creative Commons Attribution (CC BY) license (https://creativecommons.org/licenses/by/4.0/).
Share and Cite
Song, M.; Buck, D.; Yu, Y.; Du, X.; Guo, X.; Wang, J.; Zhu, Z. Effects of Tool Tooth Number and Cutting Parameters on Milling Performance for Bamboo–Plastic Composite. Forests 2023, 14, 433. https://doi.org/10.3390/f14020433
Song M, Buck D, Yu Y, Du X, Guo X, Wang J, Zhu Z. Effects of Tool Tooth Number and Cutting Parameters on Milling Performance for Bamboo–Plastic Composite. Forests. 2023; 14(2):433. https://doi.org/10.3390/f14020433
Chicago/Turabian StyleSong, Meiqi, Dietrich Buck, Yingyue Yu, Xiaohang Du, Xiaolei Guo, Jinxin Wang, and Zhaolong Zhu. 2023. "Effects of Tool Tooth Number and Cutting Parameters on Milling Performance for Bamboo–Plastic Composite" Forests 14, no. 2: 433. https://doi.org/10.3390/f14020433
APA StyleSong, M., Buck, D., Yu, Y., Du, X., Guo, X., Wang, J., & Zhu, Z. (2023). Effects of Tool Tooth Number and Cutting Parameters on Milling Performance for Bamboo–Plastic Composite. Forests, 14(2), 433. https://doi.org/10.3390/f14020433

