Landscape Fragmentation and Spatial Autocorrelation of a Typical Watershed in the Wenchuan Earthquake-Affected Area—A Case Study in the Longxi River Basin
Abstract
:1. Introduction
2. Materials and Methods
2.1. Study Area
2.2. Data
2.3. Methodology
2.3.1. Landscape Types Classification System
2.3.2. Landscape Pattern Index
2.4. Landscape Pattern Spatial Autocorrelation
2.4.1. Global Spatial Autocorrelation Statistics
2.4.2. Local Spatial Autocorrelation
3. Results
3.1. The Changes in Landscape Types
3.2. Landscape Fragmentation in the Longxi River Basin
3.2.1. The Change in ED
3.2.2. The Change in SHDI
3.2.3. The Change in DIVISION
3.3. Global Spatial Autocorrelation of Landscape Types
3.4. Local Autocorrelation Analysis of Landscape Types
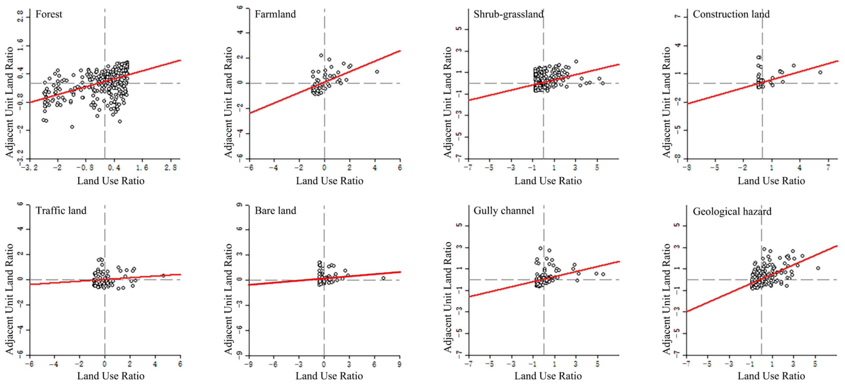
3.4.1. Moran Scatter Plot of Local Spatial Autocorrelation
3.4.2. LISA Distribution of Local Spatial Autocorrelation
4. Discussion
4.1. Fragmentation of Landscape Patterns
4.2. Landscape Spatial Global Autocorrelation
4.3. Landscape Spatial Local Autocorrelation
4.4. The Boundedness and Prospect
5. Conclusions
- (1)
- In the study period, due to the earthquake, the degree of landscape fragmentation increased in 2009 compared with 2005 but decreased after 3 and 7 years of natural recovery.
- (2)
- Forest, farmland, and shrub-grassland in the basin had significantly positive spatial autocorrelation across the study period, while construction land only had significantly positive spatial autocorrelation after the earthquake. Bare land had significantly positive spatial autocorrelation except in 2009, while gully channel only had significantly positive spatial autocorrelation in 2005. Geological hazards shifted from significantly negative in 2005 to positive spatial autocorrelation from 2009 to 2015.
- (3)
- The Moran’s I of all landscape types decreased with the increase of space distance but in different distance-decay rates. In general, all landscape types had no significant spatial autocorrelation when the lag distance was >3 km.
- (4)
- Forest had the highest and fluctuating HH spatial aggregation area across the study period. Geological disasters had the clustered HH spatial aggregation areas upstream of the basin, while construction land was gradually distributed in Longchi town. The HH spatial aggregation areas of farmland distribution in the southeast of the basin increased in 2009 but then decreased. In addition, shrub-grassland and bare land had a continuously decreasing HH aggregation area.
Author Contributions
Funding
Data Availability Statement
Acknowledgments
Conflicts of Interest
References
- Cui, P.; Lin, Y.M.; Chen, C. Destruction of vegetation due to geo-hazards and its environmental impacts in the Wenchuan earthquake areas. Ecol. Eng. 2012, 44, 61–69. [Google Scholar] [CrossRef]
- Allen, R.B.; Bellingham, P.J.; Wiser, S.K. Immediate damage by an earthquake to a temperate montane forest. J. Ecol. 1999, 80, 708–714. [Google Scholar] [CrossRef]
- Zhang, J.D.; Hull, V.; Xu, W.H.; Liu, J.G.; Ouyang, Z.Y.; Huang, J.Y.; Wang, X.Z.; Li, R.G. Impact of the 2008 Wenchuan earthquake on biodiversity and giant panda habitat in Wolong Nature Reserve, China. Ecol. Res. 2011, 26, 523–531. [Google Scholar] [CrossRef]
- Zhang, B.; Jiao, Q.; Wu, Y.; Zhang, W. Estimating soil erosion changes in the Wenchuan earthquake disaster area using geo-spatial information technology. J. Appl. Remote Sens. 2009, 3, 107–121. [Google Scholar] [CrossRef]
- He, J.; Tang, C.; Liu, G.; Li, W.L. Effect of landslides on the structural characteristics of land-cover based on complex networks. Int. J. Mod. Phys. B 2017, 31, 1750156. [Google Scholar] [CrossRef]
- Sheykhmousa, M.; Kerle, N.; Kuffer, M.; Ghaffarian, S. Post-disaster recovery assessment with machine learning-derived land cover and land use information. Remote Sens. 2019, 11, 1174. [Google Scholar] [CrossRef]
- Qiu, H.J.; Zhu, Y.R.; Zhou, W.Q.; Sun, H.S.; He, J.Y.; Liu, Z.J. Influence of DEM resolution on landslide simulation performance based on the Scoops3D model. Geomat. Nat. Hazards Risk 2022, 13, 1663–1681. [Google Scholar] [CrossRef]
- Tian, X.; Ma, X.; Huang, M.; Guo, Y.; Yang, H.; Yang, L.; Chen, H.; Gao, R.; Li, J.; Lin, Y. Spatiotemporal Dynamic Characteristics of Land Use in the Typical Watershed of Wenchuan Earthquake-Affected Areas—A Case Study in the Longxi River Basin. Sustainability 2022, 14, 15937. [Google Scholar] [CrossRef]
- Jelenek, J.; Kopačková-Strnadová, V. Synergic use of Sentinel-1 and Sentinel-2 data for automatic detection of earthquake-triggered landscape changes: A case study of the 2016 Kaikoura earthquake (Mw 7.8), New Zealand. Remote Sens. Environ. 2021, 265, 112634. [Google Scholar] [CrossRef]
- Li, C.; Wang, M.; Liu, K.; Coulthard, T.J. Landscape evolution of the Wenchuan earthquake-stricken area in response to future climate change. J. Hydrol. 2020, 590, 125244. [Google Scholar] [CrossRef]
- Duan, Y.; Di, B.; Ustin, S.L.; Chong, X.; Qiang, X.; Wu, S.; Li, J.; Zhang, R. Changes in ecosystem services in a montane landscape impacted by major earthquakes: A case study in Wenchuan earthquake-affected area, China. Ecol. Indic. 2021, 126, 107683. [Google Scholar] [CrossRef]
- Luo, X.Y.; Li, X.; Liu, W.; Wang, M.X.; Liu, C.H. Comprehensive evaluation of natural landscapes before and after earthquake based on GST-FAHP-GIS analytical method: A case study of Jiuzhaigou Nature Reserve, China. Ecol. Indic. 2023, 154, 110850. [Google Scholar] [CrossRef]
- Xiang, Z.L.; Dou, J.; Yunus, A.P.; Zhang, L.L.; Wang, X.K.; Luo, W.Q. Vegetation-landslide nexus and topographic changes post the 2004 Mw 6.6 Chuetsu earthquake. Catena 2023, 223, 106946. [Google Scholar] [CrossRef]
- Singh, R.P.; Bhoi, S.; Sahoo, A.K. Changes observed on land and ocean after Gujarat earthquake 26 January 2001 using IRS data. Int. J. Remote Sens. 2002, 23, 3123–3128. [Google Scholar] [CrossRef]
- Dey, S.; Singh, R.P. Surface latent heat flux as an earthquake precursor. Nat. Hazard Earth Syst. 2003, 3, 749–755. [Google Scholar] [CrossRef]
- Singh, V.P.; Singh, R.P. Changes in stress pattern around epicentral region of Bhuj earthquake of 26 January 2001. Geophys. Res. Lett. 2005, 32, 1–4. [Google Scholar] [CrossRef]
- Nath, B.; Niu, Z.; Singh, R.P. Land Use and Land Cover changes, and environment and risk evaluation of Dujiangyan city (SW China) using remote sensing and GIS techniques. Sustainability 2018, 10, 4631. [Google Scholar] [CrossRef]
- Pinheiro, E.; Camini, N.A.; Soares, M.; Sumida, S.S. Cellular automata model-landscape dynamics simulation tool in the process of change in land use and cover in the city of gacha do norte-Mt. In Proceedings of the 2020 IEEE Latin American GRSS & ISPRS Remote Sensing Conference (LAGIRS) 2020, Santiago, Chile, 22–26 March 2020; pp. 225–229. [Google Scholar] [CrossRef]
- Feng, Y.; Yang, Q.; Hong, Z.; Cuia, L. Modelling coastal land use change by incorporating spatial autocorrelation into cellular automata model. Geocarto. Int. 2018, 33, 470–488. [Google Scholar] [CrossRef]
- Liu, Y.; Feng, Y. Simulating the impact of economic and environmental strategies on future urban growth scenarios in Ningbo, China. Sustainability 2016, 8, 1045. [Google Scholar] [CrossRef]
- Overmars, K.; Koning, G.; Veldkamp, A. Spatial autocorrelation in multi-scale land use models. Ecol. Model. 2003, 164, 257–270. [Google Scholar] [CrossRef]
- Dormann, C.F. Effects of incorporating spatial autocorrelation into the analysis of species distribution data. Glob. Ecol. Biogeogr. 2007, 16, 129–138. [Google Scholar] [CrossRef]
- Caruso, T.; Migliorini, M.; Bucci, C.; Bargagli, R. Spatial patterns and autocorrelation in the response of microarthropods to soil pollutants: The example of oribatid mites in an abandoned mining and smelting area. Environ. Pollut. 2009, 157, 2939–2948. [Google Scholar] [CrossRef]
- Piotrowska, A.; Długosz, J. Spatio-temporal variability of microbial biomass content and activities related to some physicochemical properties of Luvisols. Geoderma 2012, 173, 199–208. [Google Scholar] [CrossRef]
- Sun, Y.Q.; Li, Y.H.; Li, Q.J.; Chen, Y.Z.; Liu, S.X.; Li, Y.L.; Li, J.H. Analysis of ecological risk evolution in the “Three Lakes” basin of Yuxi City based on landscape pattern. J. Hydroecol. 2022, 1–15. [Google Scholar] [CrossRef]
- Li, Y.J.; Shen, B.X.; Li, J.K.; Li, Y.; Zhou, X.; Liu, Y.W. Evolution and correlation analysis of habitat quality and landscape pattern in Dan-Hanjiang river basin. Environ. Sci. Technol. 2022, 45, 206–216. [Google Scholar] [CrossRef]
- Chang, Y.Y.; Gao, Y.; Xie, Z.; Zhang, T.Z.; Yu, X.Z. Spatiotemporal evolution and spatial correlation of habitat quality and landscape pattern over Beijing-Tianjin-Hebei region. China Environ. Sci. 2021, 41, 848–859. [Google Scholar]
- He, B.; Chang, J.X.; Guo, A.J.; Wang, Y.M.; Wang, Y.; Li, Z.H. Assessment of river basin habitat quality and its relationship with disturbance factors: A case study of the Tarim River Basin in Northwest China. J. Arid Land 2022, 14, 167–185. [Google Scholar] [CrossRef]
- Dong, J.H.; Zhang, Z.B.; Liu, B.T.; Zhang, X.H.; Zhang, W.B.; Chen, L. Spatiotemporal variations and driving factors of habitat quality in the loess hilly area of the Yellow River Basin: A case study of Lanzhou City, China. J. Arid Land 2022, 14, 637–652. [Google Scholar] [CrossRef]
- Zou, Q.; Cui, P.; He, J.; Lei, Y.; Li, S. Regional risk assessment of debris flows in China-An HRU-based approach. Geomorphology 2019, 340, 84–102. [Google Scholar] [CrossRef]
- Kang, D.; Yin, C.; Zhu, D.; Zou, S. Altitude and landslide scale regulated the assembly of grassland communities on landslides during the recovery process after the magnitude 8.0 Wenchuan earthquake, China. Ecol. Eng. 2021, 172, 106413. [Google Scholar] [CrossRef]
- Liu, G.Q.; Jiao, X. Ecological problems caused by Wenchuan earthquake and countermeasures. Soil Water Conserv. China 2008, 11, 11–13. [Google Scholar] [CrossRef]
- Hempel, J.; Michéli, E.; Owens, P.; McBratney, A. Universal soil classification system report from the International Union of Soil Sciences Working Group. Soil Horiz. 2013, 54, 1–6. [Google Scholar] [CrossRef]
- Ding, M.T.; Cheng, Z.L.; Wang, Q. Coupling mechanism of rural settlements and mountain disasters in the upper reaches of Min river. J. Mt. Sci. 2014, 11, 66–72. [Google Scholar] [CrossRef]
- Yang, Y.D.; Yan, X.S.; Zhang, H.B. Characteristics of SPOT5 remote sensing images of debris-flow hazards in Dongchuan County, Yunnan Province. J. Catastrophol. 2010, 25, 59–62+67. [Google Scholar] [CrossRef]
- Jia, L.; Du, J.K.; Zhao, P.; Zhang, Y.S. Land use dynamic monitoring in Hainan by TM data. Remote Sens. Inform. 2003, 22–25+56. [Google Scholar] [CrossRef]
- You, C.; Zhou, Y.B.; Yu, S.F. An Introduction of Quantitative Methods in Landscape Pattern Fragmentation. Chin. Agric. Sci. Bull. 2006, 22, 146–151. [Google Scholar] [CrossRef]
- Lei, J.R.; Chen, Z.Z.; Wu, T.T.; Li, Y.L.; Yang, Q.; Chen, X.H. Spatial autocorrelation pattern analysis of land use and the value of ecosystem services in northeast Hainan island. Acta Ecol. Sin. 2019, 39, 2366–2377. [Google Scholar] [CrossRef]
- Anselin, L.; Syabri, I.; Kho, Y. GeoDa: An introduction to spatial data analysis. Geogr. Anal. 2006, 38, 5–22. [Google Scholar] [CrossRef]
- Chen, J.Y.; Luo, H.X.; Hu, L.L.; Li, Q.H.; Jiang, W.J. Correlation between social economic development and ecosystem service value–A Case of Chongqing metropolitan area. Res. Soil Water Conserv. 2017, 24, 330–336. [Google Scholar] [CrossRef]
- Fu, J.X.; Zheng, F.L.; Li, Y.Y. Analysis of Land Use Spatial Autocorrelation Patterns and Influence Factors of Xiaolihe Watershed. China Acad. J. Electr. Pub. House 2017, 48, 128–138. [Google Scholar] [CrossRef]
- Legendre, P.L.; Legendre, L.F.J. Numerical Ecology. Ecology 1983, 63, 853. [Google Scholar] [CrossRef]
- Meng, B.; Wang, J.F.; Zhang, W.Z.; Liu, X.H. Evaluation of Regional Disparity in China Based on Spatial Analysis. Sci. Geogr. Sin. 2005, 25, 11–18. [Google Scholar]
- Wang, H.; Zhang, J.F.; Zhu, F.B.; Zhang, W.W. Analysis of spatial pattern of aerosol optical depth and affecting factors using spatial autocorrelation and spatial autoregressive model. Environ. Earth Sci. 2016, 75, 822–838. [Google Scholar]
- Anselin, L. Local indicators of spatial association-LISA. Geogr. Anal. 1995, 27, 93–115. [Google Scholar] [CrossRef]
- Ma, Y.J.; Xu, J.G. A Study on the Spatial-Temporal Development of Regional Economic Disparities in Henan Province Based on ESDA. Soft Sci. 2006, 20, 51–54. [Google Scholar] [CrossRef]
- Zhang, J.X.; Gong, J.; Ma, X.C.; Liu, D.Q. GeoDA-based spatial correlation analysis of landscape fragmentation in Bailongjiang Watershed of Gansu. Chin. J. Ecol. 2018, 37, 1476–1483. [Google Scholar]
- Dong, Y.H.; Peng, F.L.; Li, H.; Men, Y.Q. Spatial autocorrelation and spatial heterogeneity of underground parking space development in Chinese megacities based on multisource open data. Appl. Geogr. 2023, 153, 102897. [Google Scholar] [CrossRef]
- Gong, J.; Xie, Y.C. Spatiotemporal Changes of Watershed Landscape Pattern and Ecosystem Services: A Case Study of Bailongjiang Watershed in Gansu, 1st ed.; Science Press: Beijing, China, 2018; pp. 143–146. [Google Scholar]
- Wang, L.; Li, T.; Cao, X.S. Spatial Difference of Urban and Rural Harmonious Development with ESDA-GIS Framework in Guangdong Province. Econ. Geogr. 2012, 32, 44–50. [Google Scholar]
- Chen, Y.S. Adaptive Study on Local Spatial Autocorrelation Index. Master’s Thesis, East China Normal University, Shanghai, China, 1 June 2009. [Google Scholar]
- Aamir, M.; Ali, T.; Irfan, M.; Shaf, A.; Azam, M.Z.; Glowacz, A.; Brumercik, F.; Glowacz, W.; Alqhtani, S.; Rahman, S. Natural disasters intensity analysis and classification based on multispectral images using multi-layered deep convolutional neural network. Sensors 2021, 21, 2648. [Google Scholar] [CrossRef]
- Bian, Z.; Zhang, D.; Xu, J.; Tang, H.; Bai, Z.; Li, Y. Study on the evolution law of surface landscape pattern in earthquake-stricken areas by remote sensing: A case study of Jiuzhaigou County. Sichuan Province. Sustainability 2022, 14, 13032. [Google Scholar] [CrossRef]
- Ren, Y.; Lv, Y.; Fu, B.J.; Zhang, K. Biodiversity and ecosystem functional enhancement by forest restoration: A meta-analysis in China. Land Degrad. Dev. 2017, 28, 2062–2073. [Google Scholar] [CrossRef]
- Li, J.; He, J.; Liu, Y.; Wang, D.; Rafay, L.; Chen, C.; Hong, T.; Fan, H.; Lin, Y. Spatial Autocorrelation Analysis of Multi-Scale Damaged Vegetation in the Wenchuan Earthquake-Affected Area, Southwest China. Forests 2019, 10, 195. [Google Scholar] [CrossRef]
- Shi, Y.F.; Di, B.F.; Zuo, Q.; Wu, S.L.; Duan, Y.N. Interactive relationship between industrial structure and land use pattern in the Wenchuan earthquake stricken area, China. Mt. Res. 2020, 38, 916–925. [Google Scholar] [CrossRef]
- Zou, Y.D.; He, L.; Zhang, X.P.; Ma, B.Y.; Wang, H.J.; Wang, M.Q.; Xue, F.; He, J. Characteristics of Land Use Structure Change in Beiluo River Basin During 1970–2019 Based on Google Erath Engine. Bull. Soil Water Conserv. 2021, 41, 209–219. [Google Scholar] [CrossRef]
- Li, Z.; He, Z.W.; Xu, H.X. The research of land use dynamic change before and after the earthquake in Dujiangyan City. J. South Chin. Norm. Univ. Nat. Sci. Ed. 2012, 35, 412–417. [Google Scholar] [CrossRef]
- Wang, X.; Mao, H. Spatio-temporal evolution of post-seismic landslides and debris flows: 2017 Ms 7.0 Jiuzhaigou earthquake. Environ. Sci. Pollut. Res. 2022, 29, 15681–15702. [Google Scholar] [CrossRef]
- Piquer-Rodríguez, M.; Butsic, V.; Gärtner, P.; Macchi, L.; Baumann, M.; Pizarro, G.G.; Volante, J.N.; Gasparri, I.N.; Kuemmerle, T. Drivers of agricultural land-use change in the Argentine Pampas and Chaco regions. Appl. Geogr. 2018, 91, 111–122. [Google Scholar] [CrossRef]


















| Satellite Imagery | Date | Intervals | Resolution/m | Coverage | Data Quality |
|---|---|---|---|---|---|
| QuickBird | 26 June 2005 | Before the earthquake | 0.61 | Entire study area | Few Clouds |
| SPOT-5 | 10 February 2009 | 1 year after the earthquake | 2.50 | Entire study area | Cloudless |
| QuickBird | 26 April 2001 | 3 years after the earthquake | 0.61 | Entire study area | Few Clouds |
| Worldview-2 | 15 April 2015 | 7 years after the earthquake | 0.46 | Entire study area | Cloudless |
| Year | Forest | Farmland | Shrub-Grassland | Construction | Traffic Land | Bare Land | Gully Channel | Geological Hazards | |
|---|---|---|---|---|---|---|---|---|---|
| Land | |||||||||
| 2005 | area/hm2 | 7253.63 | 136.43 | 336.98 | 41.01 | 22.62 | 62.17 | 51.30 | 6.18 |
| percentage/% | 91.70 | 1.72 | 4.26 | 0.52 | 0.29 | 0.79 | 0.65 | 0.08 | |
| 2009 | area/hm2 | 6213.55 | 85.11 | 269.94 | 36.00 | 38.05 | 75.18 | 175.94 | 1016.76 |
| percentage/% | 78.55 | 1.08 | 3.41 | 0.46 | 0.48 | 0.95 | 2.22 | 12.85 | |
| 2011 | area/hm2 | 6864.10 | 66.15 | 320.56 | 29.95 | 41.06 | 44.04 | 175.78 | 377.42 |
| percentage/% | 86.68 | 0.84 | 4.05 | 0.38 | 0.52 | 0.56 | 2.22 | 4.77 | |
| 2015 | area/hm2 | 7186.13 | 49.67 | 220.70 | 30.57 | 48.64 | 37.51 | 165.97 | 179.25 |
| percentage/% | 90.75 | 0.63 | 2.79 | 0.39 | 0.61 | 0.47 | 2.10 | 2.26 |
| Year | Parameters | Forest | Farmland | Shrub-Grassland | Construction Land | Traffic Land | Bare Land | Gully Channel | Geological Hazards |
|---|---|---|---|---|---|---|---|---|---|
| 2005 | Moran’s I | 0.234 | 0.300 | 0.260 | 0.085 | −0.021 | 0.375 | 0.535 | −0.748 |
| z | 5.148 | 2.592 | 3.510 | 0.879 | −0.033 | 3.108 | 5.934 | −7.397 | |
| p-value | <0.001 | <0.01 | <0.001 | 0.380 | 0.974 | <0.01 | <0.001 | <0.001 | |
| 2009 | Moran’s I | 0.478 | 0.494 | 0.474 | 0.412 | −0.103 | 0.087 | 0.187 | 0.482 |
| z | 9.849 | 3.294 | 7.454 | 4.355 | −0.862 | 1.014 | 2.325 | 8.680 | |
| p-value | <0.001 | <0.001 | <0.001 | <0.001 | 0.389 | 0.310 | 0.020 | <0.001 | |
| 2011 | Moran’s I | 0.229 | 0.516 | 0.271 | 0.327 | 0.088 | 0.267 | 0.132 | 0.458 |
| z | 4.865 | 3.982 | 4.399 | 3.090 | 0.998 | 2.979 | 1.632 | 7.408 | |
| p-value | <0.001 | p < 0.001 | <0.001 | <0.01 | 0.318 | <0.01 | 0.103 | <0.001 | |
| 2015 | Moran’s I | 0.243 | 0.365 | 0.364 | 0.376 | 0.036 | 0.352 | 0.182 | 0.531 |
| z | 5.167 | 2.731 | 5.913 | 3.490 | 0.465 | 2.777 | 2.282 | 7.889 | |
| p-value | <0.001 | <0.01 | <0.001 | <0.001 | 0.642 | <0.01 | 0.023 | <0.001 |
| Parameters | Area/km2 (Proportion/%) | |||||||
|---|---|---|---|---|---|---|---|---|
| Forest | Farmland | Shrub-Grassland | Construction Land | Traffic Land | Bare Land | Gully Channel | Geological Hazards | |
| 2005 | ||||||||
| HH | 15.64(21.56) | 0.29(21.55) | 0.74(22.10) | 0.05(11.05) | 0.04(15.72) | 0.27(44.18) | 0.13(24.85) | - |
| LL | 0.89(1.22) | 0.05(3.50) | 0.09(2.72) | 0.001(0.31) | 0.001(0.38) | 0.01(2.04) | 0.01(2.71) | - |
| HL | 2.51(3.46) | - | 0.08(2.35) | 0.005(1.11) | 0.02(9.71) | - | - | - |
| LH | - | 0.05(3.55) | 0.08(2.49) | 0.01(2.40) | - | 0.01(0.87) | 0.003(0.60) | - |
| NS | 53.50(73.76) | 0.97(71.41) | 2.37(70.34) | 0.35(85.13) | 0.17(74.20) | 0.33(52.91) | 0.37(71.85) | 0.06(100) |
| 2009 | ||||||||
| HH | 7.04(11.33) | 0.32(37.69) | 0.72(26.69) | 0.15(40.92) | - | 0.08(10.18) | 0.37(20.82) | 2.29(22.57) |
| LL | 0.49(0.79) | 0.05(6.33) | 0.05(1.77) | 0.01(2.42) | - | 0.02(2.02) | 0.03(1.93) | 0.29(2.82) |
| HL | 2.07(3.33) | 0.03(3.42) | 0.01(0.43) | - | 0.02(6.40) | 0.03(3.45) | - | - |
| LH | 0.35(0.57) | 0.02(2.31) | 0.03(1.21) | 0.02(4.56) | 0.01(2.21) | 0.01(1.19) | 0.02(1.40) | 0.16(1.61) |
| NS | 52.19(83.99) | 0.43(50.26) | 1.89(69.91) | 0.19(52.10) | 0.35(91.40) | 0.62(83.16) | 1.33(75.84) | 7.42(73.00) |
| 2011 | ||||||||
| HH | 10.76(15.67) | 0.22(33.74) | 0.54(16.75) | 0.13(42.93) | 0.01(2.75) | 0.06(13.71) | 0.24(13.86) | 1.17(31.02) |
| LL | 1.00(1.45) | 0.03(4.59) | 0.06(1.91) | 0.002(0.80) | 0.005(1.18) | 0.001(0.28) | 0.03(1.45) | 0.09(2.32) |
| HL | 2.14(3.11) | - | 0.04(1.12) | - | 0.02(5.99) | - | - | 0.03(0.79) |
| LH | - | 0.01(1.37) | 0.10(3.19) | 0.004(1.43) | 0.01(3.19) | 0.004(0.90) | 0.01(0.66) | 0.03(0.81) |
| NS | 54.76(79.77) | 0.40(60.30) | 2.47(77.03) | 0.16(54.84) | 0.36(86.88) | 0.37(85.11) | 1.48(84.03) | 2.45(65.05) |
| 2015 | ||||||||
| HH | 12.71(17.69) | 0.04(8.04) | 0.52(23.61) | 0.15(47.74) | - | 0.02(5.21) | 0.34(20.49) | 0.65(36.11) |
| LL | 0.81(1.12) | 0.03(6.61) | 0.04(1.82) | 0.004(1.33) | 0.01(1.77) | 0.002(0.48) | 0.03(1.70) | 0.04(2.17) |
| HL | 2.28(3.17) | 0.02(3.16) | - | - | 0.02(4.78) | 0.02(4.88) | - | 0.04(2.47) |
| LH | - | 0.02(3.19) | 0.05(2.20) | 0.004(1.30) | 0.01(2.88) | 0.003(0.85) | 0.03(1.64) | 0.03(1.58) |
| NS | 56.07(78.02) | 0.39(79.00) | 1.60(72.37) | 0.15(49.63) | 0.44(90.57) | 0.33(88.58) | 1.26(76.17) | 1.03(57.67) |
Disclaimer/Publisher’s Note: The statements, opinions and data contained in all publications are solely those of the individual author(s) and contributor(s) and not of MDPI and/or the editor(s). MDPI and/or the editor(s) disclaim responsibility for any injury to people or property resulting from any ideas, methods, instructions or products referred to in the content. |
© 2023 by the authors. Licensee MDPI, Basel, Switzerland. This article is an open access article distributed under the terms and conditions of the Creative Commons Attribution (CC BY) license (https://creativecommons.org/licenses/by/4.0/).
Share and Cite
Tian, X.; Yang, L.; Wu, X.; Wu, J.; Guo, Y.; Guo, Y.; Chen, H.; Li, J.; Lin, Y. Landscape Fragmentation and Spatial Autocorrelation of a Typical Watershed in the Wenchuan Earthquake-Affected Area—A Case Study in the Longxi River Basin. Forests 2023, 14, 2349. https://doi.org/10.3390/f14122349
Tian X, Yang L, Wu X, Wu J, Guo Y, Guo Y, Chen H, Li J, Lin Y. Landscape Fragmentation and Spatial Autocorrelation of a Typical Watershed in the Wenchuan Earthquake-Affected Area—A Case Study in the Longxi River Basin. Forests. 2023; 14(12):2349. https://doi.org/10.3390/f14122349
Chicago/Turabian StyleTian, Xue, Liusheng Yang, Xuan Wu, Jianzhao Wu, Yiting Guo, Yuhao Guo, Hui Chen, Jian Li, and Yongming Lin. 2023. "Landscape Fragmentation and Spatial Autocorrelation of a Typical Watershed in the Wenchuan Earthquake-Affected Area—A Case Study in the Longxi River Basin" Forests 14, no. 12: 2349. https://doi.org/10.3390/f14122349
APA StyleTian, X., Yang, L., Wu, X., Wu, J., Guo, Y., Guo, Y., Chen, H., Li, J., & Lin, Y. (2023). Landscape Fragmentation and Spatial Autocorrelation of a Typical Watershed in the Wenchuan Earthquake-Affected Area—A Case Study in the Longxi River Basin. Forests, 14(12), 2349. https://doi.org/10.3390/f14122349

