Characteristics of Aluminum Accumulation and Distribution in Leaves of Different Ages in Camellia oleifera
Abstract
1. Introduction
2. Materials and Methods
2.1. Sample Collection
2.2. Total Al Content Determination
2.3. Histochemical Staining
2.4. Scanning Electron Microscopy/Energy Dispersive X-ray Spectroscopy (SEM/EDS)
2.5. Antioxidant Enzyme Assay
2.6. Total Phenolic Content Determination
2.7. Malondialdehyde (MDA) Content Determination
2.8. Statistical Analysis
3. Results
3.1. Al Contents of Camellia oleifera Leaves of Different Ages
3.2. Al Content and Distribution in the Cell Wall of Camellia oleifera Leaves
3.3. Distribution of Al in Different Cell Wall Fractions of Camellia oleifera Leaves
3.4. Localization of Al in Camellia oleifera Leaves
3.5. Localization and Quantification of Al in Leaf Transverse Sections Using SEM-EDS
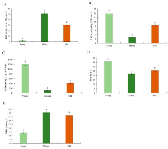
3.6. Antioxidant Enzyme Activity, TP and MDA Contents in the Leaves of Camellia oleifera
3.7. Correlation Analysis
4. Discussion
5. Conclusions
Author Contributions
Funding
Data Availability Statement
Conflicts of Interest
References
- Mukhopadyay, M.; Bantawa, P.; Das, A.; Sarkar, B.; Bera, B.; Ghosh, P.; Mondal, T.K. Changes of growth, photosynthesis and alteration of leaf antioxidative defence system of tea [Camellia sinensis (L.) O. Kuntze] seedlings under Al stress. BioMetals 2012, 25, 1141–1154. [Google Scholar] [CrossRef] [PubMed]
- Kopittke, P.M.; Moore, K.L.; Lombi, E.; Gianoncelli, A.; Ferguson, B.J.; Blamey, F.P.; Menzies NW, T.M.; Nicholson, B.A.; Wang, P.; Gresshoff, P.M.; et al. Identification of the primary lesion of toxic Al in plant roots. Plant Physiol. 2015, 167, 1402–1411. [Google Scholar] [CrossRef] [PubMed]
- Hu, X.F.; Chen, F.S.; Wine, M.L.; Fang, X.M. Increasing acidity of rain in subtropical tea plantation alters Al and nutrient distributions at the root-soil interface and in plant tissues. Plant Soil 2017, 417, 261–274. [Google Scholar] [CrossRef]
- Kochian, L.V.; Hoekenga, O.A.; Piñeros, M.A. How do crop plants tolerate acid soils? Mechanisms of Al tolerance and phosphorous efficiency. Annu. Rev. Plant Biol. 2004, 55, 459–493. [Google Scholar] [CrossRef]
- Cançado, G.M.A.; Loguercio, L.L.; Martins, P.R.; Parentoni, S.N.; Paiva, E.; Borém, A.; Lopes, M.A. Hematoxylin staining as a phenotypic index for Al tolerance selection in tropical maize (Zea mays L.). Theor. Appl. Genet. 1999, 99, 747–754. [Google Scholar] [CrossRef]
- Wang, X.; Wu, M.H.; Xiao, D.; Huang, R.L.; Zhan, J.; Wang, A.Q.; He, L.F. Genome-wide identification and evolutionary analysis of RLKs involved in the response to aluminum stress in peanut. BMC Plant Biol. 2021, 21, 281. [Google Scholar]
- Xia, H.; Riaz, M.; Babar, S.; Yan, L.; Li, Y.; Wang, X.; Wang, J.; Jiang, C. Assessing the impact of biochar on microbes in acidic soils: Alleviating the toxicity of Al and acidity. J. Environ. Manag. 2023, 345, 118796. [Google Scholar] [CrossRef]
- Li, X.W.; Li, Y.; Qu, M.; Xiao, H.; Feng, Y.; Liu, J.; Wu, L.; Yu, M. Cell wall pectin and its methyl-esterification in transition zone determine Al resistance in cultivars of Pea (Pisum sativum). Front. Plant Sci. 2016, 7, 00039. [Google Scholar] [CrossRef]
- Inostroza-Blancheteau, C.; Rengel, Z.; Alberdi, M.; de la Luz Mora, M.; Aquea, F.; Arce-Johnson, P.; Reyes-Díaz, M. Molecular and physiological strategies to increase Al resistance in plants. Mol. Biol. Rep. 2012, 39, 2069–2079. [Google Scholar] [CrossRef]
- Ofoe, R.; Thomas, R.H.; Asiedu, S.K.; Wang-Pruski, G.; Fofana, B.; Abbey, L. Al in plant: Benefits, toxicity and tolerance mechanisms. Front. Plant Sci. 2023, 13, 1085998. [Google Scholar] [CrossRef]
- Reis, A.R.D.; Lisboa, L.A.M.; Reis, H.P.G.; Barcelos, J.P.Q.; Santos, E.F.; Santini, J.M.K.; Venâncio Meyer-Sand, B.R.; Putti, F.F.; Galindo, F.S.; Kaneko, F.H.; et al. Depicting the physiological and ultrastructural responses of soybean plants to Al stress conditions. Plant Physiol. Biochem. 2018, 130, 377–390. [Google Scholar] [CrossRef] [PubMed]
- Panda, S.K.; Matsumoto, H. Changes in antioxidant gene expression and induction of oxidative stress in pea (Pisum sativum L.) under Al stress. Biometals 2010, 23, 753–762. [Google Scholar] [CrossRef] [PubMed]
- Kochian, L.V.; Piñeros, M.A.; Liu, J.; Magalhaes, J.V. Plant adaptation to acid soils: The molecular basis for crop Al resistance. Ann. Rev. Plant Biol. 2015, 66, 571–598. [Google Scholar] [CrossRef] [PubMed]
- Ligaba-Osena, A.; Fei, Z.; Liu, J.; Xu, Y.; Shaff, J.; Lee, S.C.; Luan, S.; Kudla, J.; Kochian, L.; Piñeros, M. Loss-of-function mutation of the calcium sensor CBL1 increases Al sensitivity in Arabidopsis. New Phytol. 2017, 214, 830–841. [Google Scholar] [CrossRef] [PubMed]
- Álvarez, E.; Fernández-Sanjurjo, M.J.; Núñez, A.; Seco, N.; Corti, G. Aluminium fractionation and speciation in bulk and rhizosphere of a grass soil amended with mussel shells or lime. Geoderma 2011, 12, 015. [Google Scholar] [CrossRef]
- Vera-Villalobos, H.; Lunario-Delgado, L.; Pérez-Retamal, D.; Román, D.; Leiva, J.C.; Zamorano, P.; Mercado-Seguel, A.; Gálvez, A.S.; Benito, C.; Wulff-Zottele, C. Sulfate nutrition improves short-term Al3+-stress tolerance in roots of Lolium perenne L. Plant Physiol. Biochem. 2020, 148, 103–113. [Google Scholar] [CrossRef] [PubMed]
- Chen, R.F.; Shen, R.F.; Gu, P.; Wang, H.Y.; Xu, X.H. Investigation of Al-tolerant species in acid soils of South China. Commun. Soil Sci. Plant Anal. 2008, 39, 1493–1506. [Google Scholar] [CrossRef]
- Huang, L.Y.; Yuan, J.; Wang, H.; Tan, X.F.; Niu, G.H. Al stress affects growth and physiological characteristics in Oil Tea. HortScience 2017, 52, 1601–1607. [Google Scholar] [CrossRef]
- Gonzalez-Santana, I.H.; Marquez-Guzman, J.; Cram-Heydrich, S.; Cruz-Ortega, R. Conostegia xalapensis (Melastomataceae): An Al accumulator plant. Physiol. Plant 2012, 144, 134–145. [Google Scholar] [CrossRef]
- Uomori, S.Y.; Yamashita, H.; Saito, M.; Haruyama, Y.; Yasuda, K. Change of concentrations and distributions of Al and manganese in tea leaves. Int. J. PIXE 2013, 23, 13–19. [Google Scholar] [CrossRef]
- Shen, R.F.; Ma, J.F.; Kyo, M.; Iwashita, T. Compartmentation of aluminium in leaves of an Al-accumulator, Fagopyrum esculentum Moench. Planta 2002, 215, 394–398. [Google Scholar] [CrossRef] [PubMed]
- Shen, R.F.; Chen, R.F.; Ma, J.F. Buckwheat accumulates Al in leaves but not in seeds. Plant Soil 2006, 284, 265–271. [Google Scholar] [CrossRef]
- Luo, C. Pollution-free Control Methods for Oil Tea Pests and Diseases. Seed Sci. Technol. 2022, 40, 91–93. [Google Scholar]
- Yang, C.; Liu, X.; Chen, Z.; Lin, Y.; Wang, S. Comparison of oil content and fatty acid profile of ten new Camellia oleifera cultivars. J. Lipids. 2016, 2016, 3982486. [Google Scholar] [CrossRef] [PubMed]
- Yuan, J.; Huang, L.; Zhou, N.; Wang, H.; Niu, G.H. Fractionation of inorganic phosphorus and Al in red acidic soil and the growth of Camellia oleifera. HortScience 2017, 52, 1293–1297. [Google Scholar] [CrossRef]
- Zeng, Q.L.; Chen, R.F.; Zhao, X.Q.; Dong, X.Y.; Shen, R.F. Acidification of growth medium under Al absorption by roots of oil tea. Soils 2012, 44, 834–837. [Google Scholar]
- Zeng, Q.L.; Chen, R.F.; Zhao, X.Q.; Shen, R.F.; Noguchi, A.; Shinmachi, F.; Hasegawa, I. Al could be transported via phloem in Camellia oleifera Abel. Tree Physiol. 2013, 33, 96–105. [Google Scholar] [CrossRef] [PubMed]
- Zeng, Q.L.; Chen, R.F.; Zhao, X.Q.; Wang, H.Y.; Shen, R.F. Aluminium uptake and accumulation in the hyperaccumulator Camellia Oleifera Abel. Pedosphere 2011, 21, 358–364. [Google Scholar] [CrossRef]
- Qu, X.J.; Chen, M.; Liao, J.; Zhang, C.H.; Chen, L.S.; Yuan, J. Physiological response of phosphorus alleviates Al stress in leaf of Camellia oleifolia. J. Cent. South Univ. For. Technol. 2021, 41, 62–71. [Google Scholar]
- Huang, L.Y.; Liu, Z.; Jia, Z.B.; Deng, S.Y.; Sheng, Y.X.; Wang, Q. Effects of Calcium on the growth and physiological characteristics of Camellia oleifera under Al stress. Guangdong Agric. Sci. 2023, 50, 1–10. [Google Scholar]
- Gao, H.J.; Zhao, Q.; Zhang, X.C.; Wan, X.C.; Mao, J.D. Localization of fluoride and Al in subcellular fractions of tea leaves and roots. J. Agric. Food Chem. 2014, 62, 2313–2319. [Google Scholar] [CrossRef] [PubMed]
- Li, X.W.; Liu, J.Y.; Fang, J.; Tao, L.; Shen, R.F.; Li, Y.L.; Xiao, H.D.; Feng, Y.M.; Wen, H.X.; Guan, J.H.; et al. Boron supply enhances Al tolerance in root border cells of pea (Pisum sativum) by interacting with cell wall pectins. Front. Plant Sci. 2017, 8, 742. [Google Scholar] [CrossRef] [PubMed]
- Tabuchi, A.; Matsumoto, H. Changes in cell-wall properties of wheat (Triticum aestivum) roots during Al-induced growth inhibition. Physiol. Plantarum. 2001, 112, 353–358. [Google Scholar] [CrossRef] [PubMed]
- Watanabe, T.; Osaki, M.; Yoshihara, T.; Tadano, T. Distribution and chemical speciation of Al in the Al accumulator plant, Melastoma malabathricum L. Plant Soil 1998, 201, 165–173. [Google Scholar] [CrossRef]
- Kukachka, B.F.; Miller, R. A chemical spot-test for Al and its value in wood identification. IAWA Bull. 1980, 3, 104–109. [Google Scholar] [CrossRef]
- de Andrade, L.R.M.; Barros, L.M.G.; Echevarria, G.F.; do Amaral, L.I.V.; Cotta, M.G.; Rossatto, D.R.; Haridasan, M.; Franco, A.C. Al-hyperaccumulator Vochysiaceae from the Brazilian Cerrado store Al in their chloroplasts without apparent damage. Environ. Exp. Bot. 2011, 70, 37–42. [Google Scholar] [CrossRef]
- Parida, A.K.; Das, A.B.; Mohanty, P. Defense potentials to NaCl in a mangrove, Bruguiera parviflora: Differential changes of isoforms of some antioxidative enzymes. J. Plant Physiol. 2004, 161, 531–542. [Google Scholar] [CrossRef]
- Farooq, M.A.; Ali, S.; Hameed, A.; Ishaque, W.; Mahmood, K.; Iqbal, Z. Alleviation of cadmium toxicity by silicon is related to elevated photosynthesis, antioxidant enzymes; suppressed cadmium uptake and oxidative stress in cotton. Ecotoxicol. Environ. Saf. 2013, 96, 242–249. [Google Scholar] [CrossRef]
- Phuyal, N.; Jha, P.K.; Raturi, P.P.; Rajbhandary, S. Total Phenolic, Flavonoid Contents, and Antioxidant Activities of Fruit, Seed, and Bark Extracts of Zanthoxylum armatum DC. Sci. World J. 2020, 2020, 8780704. [Google Scholar] [CrossRef]
- Jia, X.; Sun, C.S.; Li, G.Y.; Li, G.B.; Chen, G.L. Effects of progressive drought stress on the physiology, antioxidative enzymes and secondary metabolites of Radix astragali. Acta Physiol. Plant. 2015, 37, 262. [Google Scholar] [CrossRef]
- Li, D.; Shu, Z.; Ye, X.; Zhu, J.; Pan, J.; Wang, W.; Chang, P.; Cui, C.; Shen, J.; Fang, W.; et al. Cell wall pectin methyl-esterification and organic acids of root tips involve in Al tolerance in Camellia sinensis. Plant Physiol. Biochem. 2017, 119, 265–274. [Google Scholar] [CrossRef] [PubMed]
- Jansen, S. A comparative study of metal levels in leaves of some Al-accumulating Rubiaceae. Ann. Bot. 2003, 91, 657–663. [Google Scholar] [CrossRef] [PubMed][Green Version]
- Tolra, R.; Vogel-Mikus, K.; Hajiboland, R.; Kump, P.; Pongrac, P.; Kaulich, B.; Gianoncelli, A.; Babin, V.; Barcelo, J.; Regvar, M.; et al. Localization of aluminium in tea (Camellia sinensis) leaves using low energy X-ray fluorescence spectro-microscopy. J. Plant Res. 2011, 124, 165–172. [Google Scholar] [CrossRef] [PubMed]
- Bressan, A.C.G.; Coan, A.I.; Habermann, G. X-ray spectra in SEM and staining with chrome azurol S show Al deposits in leaf tissues of Al-accumulating and non-accumulating plants from the cerrado. Plant Soil. 2016, 404, 293–306. [Google Scholar] [CrossRef]
- Zheng, S.J.; Lin, X.Y.; Yang, J.L.; Liu, Q.; Tang, C.X. The kinetics of Al adsorption and desorption by root cell walls of an Al resistant wheat (Triticum aestivum L.) cultivar. Plant Soil. 2004, 261, 85–90. [Google Scholar] [CrossRef]
- Morita, A.; Yanagisawa, O.; Takatsu, S.; Maeda, S.; Hiradate, S. Mechanism for the detoxification of aluminum in roots of tea plant (Camellia sinensis (L.) Kuntze). Phytochemistry 2008, 69, 147–153. [Google Scholar] [CrossRef] [PubMed]
- Qu, X.J.; Chen, X.Y.; Dai, S.Y.; Yuan, J. Al contents and subcellular distribution in leaves of 22 kinds of Camellia plants. Mol. Plant Breed. 2018, 16, 997–1006. [Google Scholar]
- Yang, J.L.; Zhu, X.F.; Peng, Y.X.; Zheng, C.; Li, G.X.; Liu, Y.; Shi, Y.Z.; Zheng, S.J. Cell wall hemicellulose contributes significantly to Al adsorption and root growth in Arabidopsis. Plant Physiol. 2011, 155, 1885–1892. [Google Scholar] [CrossRef]
- Wang, S.Y.; Yuan, S.L.; Xie, J.P.; Liu, D.Y.; Su, L.T.; Lu, A.M.; An, Y. Progress on molecular mechanisms of Al tolerance in plants. Plant Physiol. J. 2016, 52, 1804–1810. [Google Scholar]
- Matsumoto, H.; Hirasawa, E.; Morimura, S.; Takahashi, E. Localization of aluminum in tea leaves. Plant Cell Physiol. 1976, 17, 627–631. [Google Scholar]
- Karley, A.J.; Leigh, R.A.; Sanders, D. Where do all the ions go? The cellular basis of differential ion accumulation in leaf cells. Trends Plant Sci. 2000, 5, 465–470. [Google Scholar] [CrossRef] [PubMed]
- Schroeder, J.I.; Kwak, J.M.; Allen, G.J. Guard cell abscisic acid signalling and engineering drought hardiness in plants. Nature 2001, 410, 327–330. [Google Scholar] [CrossRef] [PubMed]
- Kaya, C.; Tuna, A.L.; Sonmez, O.; Ince, F.; Higgs, D. Mitigation effects of silicon on maize plants grown at high zinc. J. Plant Nutr. 2009, 32, 1788–1798. [Google Scholar] [CrossRef]
- Jiang, H.X.; Tang, N.; Zheng, J.G.; Li, Y.; Chen, L. Phosphorus alleviates Alinduced inhibition of growth and photosynthesis in Citrus grandis seedlings. Physiol. Plant 2009, 137, 298–311. [Google Scholar] [CrossRef] [PubMed]
- Xu, S.; Wu, L.; Li, L.; Zhong, M.; Tang, Y.; Cao, G.; Lin, K.; Ye, Y. Al-Induced Alterations to the Cell Wall and Antioxidant Enzymes Involved in the Regulation of the Al Tolerance of Chinese Fir (Cunninghamia lanceolata). Front. Plant Sci. 2022, 13, 891117. [Google Scholar] [CrossRef] [PubMed]
- Pisoschi, A.M.; Pop, A. The role of antioxidants in the chemistry of oxidative stress: A review. Eur. J. Med. Chem. 2015, 97, 55–74. [Google Scholar] [CrossRef] [PubMed]
- Boscolo, P.R.; Menossi, S.M.; Jorge, R.A. Al-induced oxidative stress in maize. Phytochemistry 2003, 62, 181–189. [Google Scholar] [CrossRef] [PubMed]
- Wang, L.; Fan, X.W.; Pan, J.L.; Huang, Z.B.; Li, Y.Z. Physiological characterization of maize tolerance to low dose of Al, highlighted by promoted leaf growth. Planta 2015, 242, 1391–1403. [Google Scholar] [CrossRef]
- Imran, M.; Abo-Elyousr, K.A.M.; Mousa, M.A.A.; Saad, M.M. Use of Trichoderma culture filtrates as a sustainable approach to mitigate early blight disease of tomato and their influence on plant biomarkers and antioxidants production. Front. Plant Sci. 2023, 14, 1192818. [Google Scholar] [CrossRef]
- Wojdyło, A.; Oszmiański, J.; Czemerys, R. Antioxidant activity and phenolic compounds in 32 selected herbs. Food Chem. 2007, 105, 940–949. [Google Scholar] [CrossRef]
- Davey, M.W.; Stals, E.; Panis, B.; Keulemans, J.; Swennen, R.L. High-throughput determination of malondialdehyde in plant tissues. Anal. Biochem. 2005, 347, 201–207. [Google Scholar] [CrossRef] [PubMed]









Disclaimer/Publisher’s Note: The statements, opinions and data contained in all publications are solely those of the individual author(s) and contributor(s) and not of MDPI and/or the editor(s). MDPI and/or the editor(s) disclaim responsibility for any injury to people or property resulting from any ideas, methods, instructions or products referred to in the content. |
© 2023 by the authors. Licensee MDPI, Basel, Switzerland. This article is an open access article distributed under the terms and conditions of the Creative Commons Attribution (CC BY) license (https://creativecommons.org/licenses/by/4.0/).
Share and Cite
Lu, J.; Qu, X.; Li, J.; Li, Z.; Yuan, J. Characteristics of Aluminum Accumulation and Distribution in Leaves of Different Ages in Camellia oleifera. Forests 2023, 14, 2322. https://doi.org/10.3390/f14122322
Lu J, Qu X, Li J, Li Z, Yuan J. Characteristics of Aluminum Accumulation and Distribution in Leaves of Different Ages in Camellia oleifera. Forests. 2023; 14(12):2322. https://doi.org/10.3390/f14122322
Chicago/Turabian StyleLu, Jia, Xinjing Qu, Jian Li, Zhihui Li, and Jun Yuan. 2023. "Characteristics of Aluminum Accumulation and Distribution in Leaves of Different Ages in Camellia oleifera" Forests 14, no. 12: 2322. https://doi.org/10.3390/f14122322
APA StyleLu, J., Qu, X., Li, J., Li, Z., & Yuan, J. (2023). Characteristics of Aluminum Accumulation and Distribution in Leaves of Different Ages in Camellia oleifera. Forests, 14(12), 2322. https://doi.org/10.3390/f14122322

