Abundance of Benthic Algae in Forestry Watersheds and the Associated Forest Cover Factors
Abstract
1. Introduction
2. Materials and Methods
2.1. Study Area
2.2. Physiographic Variables and Forest Cover in the Study Watersheds
2.3. Stream Physicochemical Parameters
2.4. Benthic Algae
2.5. Data Analysis
3. Results
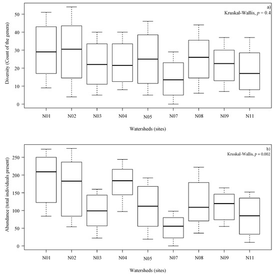
3.1. Benthic Algae
3.2. Anosim
3.3. Linear Regression on Benthic Algae Assemblage
4. Discussion
5. Conclusions
Supplementary Materials
Author Contributions
Funding
Acknowledgments
Conflicts of Interest
References
- Burcher, C.; Valett, H.; Benfield, E. The land-cover cascade: Relationships coupling land and water. Ecology 2007, 88, 228–242. [Google Scholar] [CrossRef]
- Hynes, H.B.N. The stream and its valley. Verh. Int. Ver. Limnol. 1975, 19, 1–15. [Google Scholar] [CrossRef]
- Likens, G.E.; Bormann, F.H.; Pierce, R.S.; Reiners, W.A. Recovery of a deforested ecosystem. Science 1978, 199, 492–496. [Google Scholar] [CrossRef] [PubMed]
- Stevenson, R.J. Scale-dependent determinants and consequences of benthic algal heterogeneity. J. N. Am. Benthol. Soc. 1997, 16, 248–262. [Google Scholar] [CrossRef]
- Julian, J.P.; Doyle, M.W.; Stanley, E.H. Empirical modelling of light availability in rivers. J. Geophys. Res. 2008, 113, G03022. [Google Scholar] [CrossRef]
- Julian, J.P.; Stanley, E.H.; Doyle, M.W. Basin-scale consequences of agricultural land use on benthic light availability and primary production along a sixth-order temperate river. Ecosystems 2008, 11, 1091–1105. [Google Scholar] [CrossRef]
- Patrick, R.; Reimer, C. The diatoms of the United States. Vol. 1. Monogr. Acad. Nat. Sci. Phila. 1966, 1, 1–688. [Google Scholar]
- Round, F.E. The Ecology of Algae; Cambridge University Press: New York, NY, USA, 1981. [Google Scholar]
- Stevenson, R.J.; Bothwell, M.L.; Lowe, R.L. Algal Ecology: Freshwater Benthic Ecosystems; Academic Press, Inc.: San Diego, CA, USA, 1996. [Google Scholar]
- Potapova, M.G.; Charles, D.F. Distribution of benthic diatoms in us rivers in relation to conductivity and ionic composition. Freshw. Biol. 2003, 48, 1311–1328. [Google Scholar] [CrossRef]
- Barrientos, G.; Herrero, A.; Iroumé, A.; Mardones, O.; Batalla, R.J. Modelling the Effects of Changes in Forest Cover and Climate on Hydrology of Headwater Catchments in South-Central Chile. Water 2020, 12, 1828. [Google Scholar] [CrossRef]
- Snelder, T.H.; Biggs, B.J.F. Multiscale river environment classification for water resources management. J. Am. Water Resour. Assoc. 2002, 38, 1225–1239. [Google Scholar] [CrossRef]
- Allan, J.D. Landscapes and rivers capes: The influence of land use on stream ecosystems. Annu. Rev. Ecol. Evol. Syst. 2004, 35, 257–284. [Google Scholar] [CrossRef]
- Winemiller, K.O.; Flecker, A.S.; Hoeinghaus, D.J. Patch dynamics and environmental heterogeneity in lotic ecosystems. J. N. Am. Benthol. Soc. 2010, 29, 84–99. [Google Scholar] [CrossRef]
- Naymik, J.; Pan, Y.; Ford, J. Diatom assemblages as indicators of timber harvest effects in coastal oregon streams. J. N. Am. Benthol. Soc. 2005, 24, 569–584. [Google Scholar] [CrossRef]
- Atkinson, C.L.; Cooper, J.T. Benthic algal community composition across a watershed: Coupling processes between land and wáter. Aquat. Ecol. 2016, 50, 315–326. [Google Scholar] [CrossRef]
- Smucker, N.J.; Vis, M.L. Diatom biomonitoring of streams: Reliability of reference sites and the re-sponse of metrics to environmental variations across temporal scales. Ecol. Indic. 2011, 11, 1647–1657. [Google Scholar] [CrossRef]
- Hansmann, E.W.; Phinney, H.K. Effects of logging on periphyton in coastal streams of Oregon. Ecology 1973, 54, 194–199. [Google Scholar] [CrossRef]
- Hill, B.H.; Herlihy, A.T.; Kaufmannc, P.R.; DeCelles, S.J.; Vander Borgh, M.A. Assessment of streams of the eastern united states using a periphyton index of biotic integrity. Ecol. Indic. 2003, 2, 325–338. [Google Scholar] [CrossRef]
- Wang, Y.K.; Stevenson, R.J.; Metzmeier, L. Development and evaluation of a diatom-based Index of Biotic Integrity for the Interior Plateau Ecoregion, USA. J. N. Am. Benthol. Soc. 2005, 24, 990–1008. [Google Scholar] [CrossRef]
- Sharma, R.; Nehren, U.; Ajijur Rahman, S.; Meyer, M.; Rimal, B.; Aria Seta, G.; Baral, H. Modeling Land Use and Land Cover Changes and Their Effects on Biodiversity in Central Kalimantan, Indonesia. Land 2018, 7, 57. [Google Scholar] [CrossRef]
- Huber, A.; Iroume, A.; Mohr, C.; Frene, C. Effect of Pinus radiata and Eucalyptus globulus plantations on water resource in the Coastal Range of Biobio region, Chile. Bosque 2010, 31, 219–230. [Google Scholar] [CrossRef]
- Mohr, C.H.; Coppus, R.; Iroumé, A.; Huber, A.; Bronstert, A. Runoff generation and soil erosion processes after clear cutting. J. Geophys. Res. 2013, 118, 814–831. [Google Scholar] [CrossRef]
- Iroumé, A.; Soto-Schönherr, S. Efectos Hidrológicos de la Tala Rasa. Capítulo 2 En Tamaño de la Tala Rasa en Plantaciones Forestales: Efectos y Regulación, 1st ed.; Niklitschek, M., Ed.; Editorial Universitaria: Santiago, Chile, 2015; pp. 63–83. [Google Scholar]
- Soto-Schönherr, S.; Iroumé, A. How much water do Chilean forests use? A review of interception losses in forest plot studies. Hydrol. Process. 2016, 30, 4674–4686. [Google Scholar] [CrossRef]
- Iroumé, A.; Palacios, H.; Bathurst, J.; Huber, A. Runoff and peakflows after clearcutting and the establishment of a new plantation in an experimental catchment, southern Chile. Bosque 2010, 31, 117–128. [Google Scholar]
- Mohr, C.; Montgomery, D.; Huber, A.; Bronstert, A.; Iroumé, A. Streamflow response in small up-land catchments in the Chilean coastal range to the MW 8.8 Maule earthquake on 27 February 2010. J. Geophys. Res. 2012, 117, F02032. [Google Scholar] [CrossRef]
- Iroumé, A.; Ruiz-Villanueva, V.; Picco, L. Breakdown of instream wood in low order forested streams of the Southern Chilean mountain ranges. For. Ecol. Manag. 2017, 401, 17–32. [Google Scholar] [CrossRef]
- Lionello, P.; Malanotte-Rizzoli, P.; Boscolo, R.; Alpert, P.; Artale, V.; Li, L.; Luterbacher, J.; May, W.; Trigo, R.; Tsimplis, M.; et al. The Mediterranean climate: An overview of the main characteristics and issues. Dev. Earth Environ. Sci. 2006, 4, 1–26. [Google Scholar] [CrossRef]
- Ulloa, H.; Iroumé, A.; Lenzi, M.A.; Andreoli, A.; Álvarez, C.; Barrera, V. Large wood in two catchments from the Coastal Mountain range with different land use history. Bosque 2011, 32, 235–245. [Google Scholar] [CrossRef]
- Barrientos, G.; Iroumé, A. The effects of topography and forest management on water storage in catchments in south-central Chile. Hydrol. Processes 2018, 32, 3225–3240. [Google Scholar] [CrossRef]
- Montgomery, D.R.; Schmidt, K.M.; Greenberg, H.M.; Dietrich, W.E. Forest clearing and regional landsliding. Geology 2000, 28, 311–314. [Google Scholar] [CrossRef]
- Taylor, S.L.; Roberts, S.C.; Walsh, C.J.; Hatt, B.E. Catchment urbanisation and increased benthic algal biomass instreams: Linking mechanisms to management. Freshw. Biol. 2004, 49, 835–851. [Google Scholar] [CrossRef]
- Frazer, G.W.; Canham, C.D.; Lertzman, K.P. Gap Light Analyzer (GLA), Version 2.0: Imaging Software to Extract Canopy Structure and Gap Light Transmission Indices from True-Colour Fisheye Photographs, User’s Manual and Program Documentation; Simon Fraser University, Burnaby, British Columbia and the Institute of Ecosystem Studies: Millbrook, NY, USA, 1999. [Google Scholar]
- Parra, O.; Bicudo, C.M. Algas de Aguas Continentales: Introducción a la Biología y Sistemática; Ediciones Universidad de Concepción: Santiago, Chile, 1996; 268p. [Google Scholar]
- Parra, O. Desmidiáceas de Chile, I. Desmidiáceas de la Región de Concepción y alrededores. Gayana Bot. 1975, 30, 3–90. [Google Scholar]
- Parra, O.; González, M. Guía bibliográfica y distribución de las cianófitas de Chile (excluyendo el Continente Antártico). Gayana Bot. 1976, 32, 1–55. [Google Scholar]
- Parra, O.O. Desmidiáceas de Chile II. Nuevas Desmidiáceas para la Región de Concepción. Bol.-Soc. Biol. Concepc. 1977, 51, 193–201. [Google Scholar]
- Geitler, L. Cyanophyceae in Rabenhorst’s Kryptogamen flora. Leipzig 1932, 14, 1196. [Google Scholar]
- Bourrelly, P. Les Algues D’eau Douce. I. Algues Vertes, 2nd ed.; N. Boubée et Cie: Paris, France, 1972. [Google Scholar]
- Starmach, K. Chlorophyta III. Flora Slodkowodna Polski, 10; Akademia Nauk: Warszawa, Poland, 1972. [Google Scholar]
- Parra, O.; Gonzalez, M. Catálogo de las algas dulceacuícolas de Chile. Pyrrophyta, Chrysop-hyta-Chrysophyceae, Chrysophyta-Xanthophyceae, Rhodophyta, Euglenpophyta y Chlrophyta. Gayana Bot. 1977, 33, 1–102. [Google Scholar]
- Parra, O.O.; Gonzalez, H.; Gonzalez, M. A comparison of epiphytic diatom assemblages attached to filamentous algae in lotic freshwater habitats of Chile. Gayana Bot. 1984, 41, 85–117. [Google Scholar]
- Komarek, I.; Fott, B. Chlorococcales. In Das Phytoplankton des su/3wassers-Systematik und Biologie. Teil 7. Chlorococcales. E.; Huber-Pestalozzi, G., Ed.; Schweizerbart’sche Verlagsbuchhandlung: Stuttgart, Germany, 1983. [Google Scholar]
- Kociolek, J.; Stoermer, E. Taxonomy, Ultrastructure and Distribution of Gomphoneis herculeana, G. eriense and Closely Related Species (Naviculales: Gomphonemataceae). Proc. Acad. Nat. Sci. Phila. 1988, 140, 24–97. [Google Scholar]
- Round, E.; Crawford, R.M.; Mann, D.G. The Diatoms, Biology and Morphology of the Genera; Cambridge University Press: Cambridge, UK, 1990; 747p. [Google Scholar]
- Rivera, P. Diatomeas de agua dulce de Concepción y alrededores. Gayana Bot. 1974, 28, 3–134. [Google Scholar]
- Rivera, P.; Parra, O.; González, M.; Dellarossa, V.; Orellana, M. Manual Taxonómico del Fitoplancton de Aguas Continentales. IV. Bacillariophyceae; Editorial Universidad de Concepción: Concepción, Chile, 1982; 97p. [Google Scholar]
- Rivera, P. A Guide for References and Distribution for the Class Bacillariophyceae in Chile between 18°28′ S and 58° S. Bibl. Diatomol. 1983, 3, 386. [Google Scholar]
- Rivera, P. Estado del conocimiento de las diatomeas dulce acuícolas de Chile. Gayana 2006, 70, 1–7. [Google Scholar]
- Rivera, P.; Basualto, S.; Cruces, F. Acerca de la diatomea Didymosphenia geminata (Lyngbye) M. Sch-midt: Su morfología y distribución en Chile. Gayana Bot. 2013, 70, 154–158. [Google Scholar] [CrossRef]
- R Core Team. R: A Language and Environment for Statistical Computing; R Foundation for Statistical Computing: Vienna, Austria, 2013; Available online: http://www.R-project.org/ (accessed on 18 August 2016).
- Clarke, K.R. Nonparametric multivariate analyses of changes in community structure. Aust. J. Ecol. 1993, 18, 117–143. [Google Scholar] [CrossRef]
- Clarke, K.R.; Warwick, R.M. Similarity-based testing for community pattern: The 2-way layout with no replication. Mar. Biol. 1994, 118, 167–176. [Google Scholar] [CrossRef]
- QMI—Management Systems Registration. Estándar de Manejo Forestal Sustentable CERTFOR; Reporte de Auditoria 2° Seguimiento; Bosques ARAUCO: Santiago, Chile, 2005; 11p. [Google Scholar]
- Frene, C.; Nuñez, M. Hacia un nuevo Modelo Forestal en Chile. Revista Bosque Nativo. 2010, 47, 25–35. [Google Scholar]
- Mallory, M.A.; Richardson, J.S. Complex interactions of light, nutrients and consumer density in a stream periphyton-grazer (tailed frog tadpoles) system. J. Anim. Ecol. 2005, 74, 1020–1028. [Google Scholar] [CrossRef]
- Biggs, B.J.F.; Smith, R.A. Taxonomic richness of stream benthic algae: Effects of flood disturbance and nutrients. Limnol. Oceanogr. 2002, 47, 1175–1186. [Google Scholar] [CrossRef]
- Cardinale, B.J.; Hillebrand, H.; Charles, D.F. Geographic patterns of diversity in streams are pre-dicted by a multivariate model of disturbance and productivity. J. Ecol. 2006, 94, 609–618. [Google Scholar] [CrossRef]
- Segura-García, V.; Cantoral-Uriza, E.A.; Israde, I.; Maidana, N. Diatomeas epilíticas como indicadores de la calidad del agua en la cuenca alta del río Lerma, México. Hidrobiológica 2012, 22, 16–27. [Google Scholar]
- Frissell, C.A.; Liss, W.J.; Warren, C.E.; Hurley, M.D. A hierarchical framework for stream habitat classification viewing streams in a watershed context. Environ. Manag. 1986, 10, 199–214. [Google Scholar] [CrossRef]
- Poff, N.L. Landscape filters and species traits: Towards mechanistic understanding and prediction in stream ecology. J. N. Am. Benthol. Soc. 1997, 16, 391–409. [Google Scholar] [CrossRef]






| Parameter/Watersheds | N01 | N02 | N03 | N04 | N05 | N07 | N08 | N09 | N11 |
|---|---|---|---|---|---|---|---|---|---|
| Soil type | Clayey to loamy | Clayey to loamy | Clayey to loamy | Clayey to loamy | Clayey to loamy | Loamy to clayey | Clayey to loamy | Loamy to clayey | Clayey to loamy |
| Geology | Granite-basalt | Granite-basalt | Granite-basalt | Granite-basalt | Granite-basalt | Quartzite- schist | Granite-basalt | Quartzite- schist | Granite-basalt |
| Area (km2) | 0.13 | 0.14 | 0.07 | 0.08 | 0.15 | 0.17 | 0.53 | 0.97 | 4.11 |
| Slope (m/m) | 0.28 | 0.27 | 0.4 | 0.42 | 0.44 | 0.29 | 0.36 | 0.39 | 0.38 |
| Elevation (m a.s.l) | 321 | 323 | 233 | 234 | 248 | 360 | 269 | 368 | 300 |
| Physicochemical parameters | |||||||||
| Solar radiation (MJm−2) | 31.3 | 26.9 | 30.2 | 27.5 | 25.7 | 27.6 | 28.6 | 26.9 | 29.7 |
| Rainfall (mm/year) | 1254 | 1254 | 1476 | 1476 | 1131 | 1258 | 1231 | 1167 | 1131 |
| Runoff (mm/year) | 274.4 | 261.3 | 348.3 | 306.3 | 391.2 | 185.7 | 257.6 | 385.5 | 343.3 |
| Water temperature (°C) | 12.4 (±2.4) | 12.3 (±2.0) | 12.5 (±3.0) | 12.8 (±3.1) | 11.4 (±2.4) | 12.3 (±2.5) | 12.4 (±2.7) | 11.8 (±2.1) | 11.7 (±2.8) |
| Total dissolved solids (mg/L) | 44.5 (±2.8) | 45.1 (±2.4) | 81.0 (±6.1) | 68.2 (±3.8) | 66.6 (±3.4) | 34.1 (±5.7) | 46.2 (±2.1) | 36.8 (±1.1) | 58.5 (±6.4) |
| Dissolved oxygen (mg/L) | 10.1 (±1.3) | 10.5 (±2.0) | 11.2 (±1.7) | 10.1 (±1.4) | 10.4 (±0.9) | 9.5 (±1.6) | 10.8 (±1.4) | 11.1 (±1.6) | 11.1 (±0.6) |
| pH | 7.7 (±0.2) | 7.4 (±0.4) | 7.5 (±0.4) | 7.4 (±0.2) | 7.3 (±0.1) | 6.9 (±0.6) | 7.6 (±0.3) | 7.5 (±0.2) | 7.5 (±0.1) |
| Conductivity (µS cm−2) | 44.3 (±2.6) | 44.9 (±2.2) | 81.0 (±6.0) | 68.2 (±3.7) | 66.4 (±3.5) | 34.1 (±5.6) | 46.1 (±1.9) | 36.7 (±1.0) | 58.0 (±6.4) |
| Nitrate (NO3 -N µg/L) | 49.6 (±35.8) | 30.5 (±18.1) | 7.5 (±2.8) | 10.3 (±4.3) | 11.2 (±3.5) | 11.6 (±5.9) | 16.8 (±7.5) | 9.7 (±4.4) | 12.4 (±6.2) |
| Nitrite (NO2 -N µg/L) | <2 (±0.01) | <2 (±0.07) | <2 (±0) | <2 (±0) | <2 (±0) | <2 (±0) | <2 (±0.03) | <2 (±0) | <2 (±0) |
| Ammonium (NH4 -N µg/L) | 14.2 (±6.9) | 14.5(±7.0) | 15.1 (±6.7) | 15.4 (±6.7) | 15.9 (±7.5) | 16.5 (±8.0) | 16.7 (±8.0) | 17.8 (±9.9) | 21.6 (±18.9) |
| Soluble phosphorus (PO4-P µg/L) | 4.1 (±1.1) | 8.2 (±2.9) | 10.7 (±5.4) | 3.2 (±0.8) | 6.3 (±2.9) | 2.1 (±0.4) | 3.3 (±1.3) | 3.7 (±1.1) | 4.7 (±3.3) |
| Forest cover parameters | |||||||||
| Species | Pinus radiata | Pinus radiata | Eucalyptus globulus | Eucalyptus globulus | Eucalyptus globulus | Eucalyptus globulus | Eucalyptus globulus | Eucalyptus globulus | Eucalyptus globulus |
| Canopy Openness % | 22.9 | 20.8 | 46.2 | 42.4 | 54.4 | 18.2 | 34.1 | 18.4 | 26.1 |
| Solar radiation SRt (Mols m−2 d−1) | 11.8 | 6.4 | 20.8 | 15.1 | 24.3 | 3.17 | 12.6 | 5.1 | 10.3 |
| Roads area % | 2.7 | 3.2 | 2 | 1.9 | 1.6 | 2 | 1.8 | 1.9 | 3 |
| Plantation area % | 88.0 | 92.7 | 74.9 | 87.7 | 78.9 | 86.4 | 86.5 | 57.5 | 65.6 |
| Native forest area % | 6 | 4.1 | 22.7 | 10.5 | 19.5 | 9.3 | 11.7 | 40.4 | 21.1 |
| Harvested area % | 3.3 | 0 | 0.4 | 0 | 0 | 2.3 | 0 | 0.2 | 10.3 |
| Planting volume (m3/ha) | 303.2 | 295.1 | 308.8 | 234.9 | 433.4 | 183.9 | 251.9 | 506.8 | 397.4 |
| Planting density (No. tree/ha) | 232 | 308 | 1147 | 1070 | 1072 | 1130 | 529 | 1232 | 1158 |
| Age plantation (year) | 28 | 28 | 5 | 5 | 8 | 3 | 3 | 15 | 9 |
| Width riparian zone (Wrz) (m) | 16.5 | 15.5 | 35.7 | 17.7 | 40.4 | 23.9 | 21 | 49.7 | 70.5 |
| Watershed | |||||||||
|---|---|---|---|---|---|---|---|---|---|
| Genera (Cell/mL) | N1 | N2 | N3 | N4 | N5 | N7 | N8 | N9 | N11 |
| Achnantes Agardh | 19 | 8 | 4 | 33 | 22 | 0 | 29 | 11 | 0 |
| Closterium Brébisson | 12 | 20 | 14 | 15 | 34 | 18 | 32 | 12 | 11 |
| Cocconeis Ehrenberg | 0 | 11 | 10 | 27 | 8 | 3 | 0 | 0 | 0 |
| Cosmarium Corda ex Ralfs | 0 | 16 | 0 | 0 | 0 | 0 | 0 | 0 | 0 |
| Cyclotella Brébisson | 0 | 25 | 18 | 0 | 0 | 0 | 0 | 0 | 0 |
| Cymbella Ehrenberg | 0 | 0 | 8 | 0 | 0 | 19 | 0 | 0 | 0 |
| Diatoma Bory | 0 | 2 | 15 | 0 | 0 | 0 | 0 | 37 | 0 |
| Diploneis Ehrenberg ex Cleve | 26 | 12 | 17 | 0 | 0 | 0 | 0 | 0 | 0 |
| Dolichospermum (Ralfs ex Bornet and Flahault) P. Wacklin, L. Hoffmann aand J. Komárek | 3 | 25 | 3 | 0 | 24 | 2 | 0 | 0 | 5 |
| Eunotia Ehrenberg | 36 | 20 | 0 | 23 | 0 | 0 | 9 | 40 | 0 |
| Fragilaria Lyngbye | 38 | 5 | 4 | 16 | 14 | 20 | 11 | 15 | 22 |
| Gomphonema Ehrenberg | 15 | 56 | 18 | 58 | 18 | 13 | 24 | 18 | 11 |
| Gyrosigma Hassall | 0 | 0 | 0 | 0 | 31 | 0 | 0 | 4 | 0 |
| Hannaea Ehrenberg | 2 | 0 | 0 | 0 | 4 | 0 | 0 | 0 | 53 |
| Mastogloia Thwaites ex W.Smith | 11 | 0 | 4 | 0 | 0 | 0 | 0 | 0 | 0 |
| Melosira Agardh | 18 | 7 | 13 | 0 | 1 | 0 | 55 | 0 | 0 |
| Navicula Bory | 11 | 19 | 21 | 23 | 13 | 12 | 15 | 0 | 30 |
| Nitzschia Hassall | 0 | 0 | 0 | 24 | 7 | 0 | 25 | 15 | 7 |
| Pinnularia Ehrenberg | 13 | 0 | 5 | 25 | 0 | 0 | 0 | 0 | 0 |
| Pseudanabaena Lauterborn | 0 | 37 | 0 | 0 | 16 | 0 | 0 | 0 | 0 |
| Rhoicosphenia Grunow | 47 | 0 | 6 | 0 | 0 | 11 | 22 | 12 | 0 |
| Stauroneis Ehrenberg | 22 | 12 | 0 | 0 | 0 | 0 | 0 | 0 | 13 |
| Abundance | 273 | 275 | 160 | 244 | 192 | 98 | 222 | 164 | 152 |
| Diversity | 14 | 15 | 15 | 9 | 12 | 8 | 9 | 9 | 8 |
| Genera | ||||||||||
|---|---|---|---|---|---|---|---|---|---|---|
| Parameter | Cyclotella | Cymbella | Diatoma | Diploneis | Gyrosigma | Hannaea | Mastogloia | Pinnularia | Rhoicosphenia | Stauroneis |
| Brébisson | Ehrenberg | Bory | Ehrenberg ex Cleve | Hassall | Ehrenberg | Thwaites ex W.Smith | Ehrenberg | Grunow | Ehrenberg | |
| Water temperature (°C) | R = −0.66, p = 0.05 | R = 0.68, p = 0.05 | ||||||||
| Ammonium (NH4-N µg/L) | R = 0.86, p = 0.003 | |||||||||
| Nitrate (NO3-N µg/L) | R = 0.75, p = 0.02 | R = 0.75, p = 0.02 | R = 0.73, p = 0.02 | R = 0.86, p = 0.003 | ||||||
| pH | R = −0.74, p = 0.02 | |||||||||
| Phosphorus (PO4-P µg/L) | R = 0.82, p = 0.006 | |||||||||
| Solar radiation (MJm−2) | R = 0.67, p = 0.05 | R = 0.76, p = 0.02 | ||||||||
| Solar radiation SRt (Mols m−2 d−1) | R = 0.42, p = 0.0002 | |||||||||
| Native forest area (%) | R = 0.86, p = 0.003 | |||||||||
| Plantation area (%) | R = −0.73, p = 0.02 | |||||||||
| Harvested area (%) | R = 0.94, p = 0.002 | |||||||||
| Roads area (%) | R = 0.83, p = 0.01 | |||||||||
| Planting volume (m3/ha) | R = 0.85, p = 0.004 | R = 0.79, p = 0.01 | ||||||||
| Planting density (tree/ha) | R = −0.73, p = 0.03 | R = −0.78, p = 0.01 | ||||||||
| Age plantation (year) | R = 0.86, p = 0.003 | R = 0.82, p = 0.01 | ||||||||
| Width riparian zone (Wrz) (m) | R = 0.78, p = 0.01 | |||||||||
Publisher’s Note: MDPI stays neutral with regard to jurisdictional claims in published maps and institutional affiliations. |
© 2022 by the authors. Licensee MDPI, Basel, Switzerland. This article is an open access article distributed under the terms and conditions of the Creative Commons Attribution (CC BY) license (https://creativecommons.org/licenses/by/4.0/).
Share and Cite
Barrientos, G.; Iroumé, A.; Ulloa, H.; Basualto, S.; Parra, O. Abundance of Benthic Algae in Forestry Watersheds and the Associated Forest Cover Factors. Forests 2022, 13, 378. https://doi.org/10.3390/f13030378
Barrientos G, Iroumé A, Ulloa H, Basualto S, Parra O. Abundance of Benthic Algae in Forestry Watersheds and the Associated Forest Cover Factors. Forests. 2022; 13(3):378. https://doi.org/10.3390/f13030378
Chicago/Turabian StyleBarrientos, Guillermo, Andrés Iroumé, Héctor Ulloa, Silvia Basualto, and Oscar Parra. 2022. "Abundance of Benthic Algae in Forestry Watersheds and the Associated Forest Cover Factors" Forests 13, no. 3: 378. https://doi.org/10.3390/f13030378
APA StyleBarrientos, G., Iroumé, A., Ulloa, H., Basualto, S., & Parra, O. (2022). Abundance of Benthic Algae in Forestry Watersheds and the Associated Forest Cover Factors. Forests, 13(3), 378. https://doi.org/10.3390/f13030378

