Chemical Signals in Tree Rings from Northern Patagonia as Indicators of Calbuco Volcano Eruptions since the 16th Century
Abstract
1. Introduction
2. Materials and Methods
2.1. Geological Setting and Eruptive History of Volcanoes in Southern Chile
2.2. Fitzroya Cupressoides Forests
2.3. Tree-Ring Sampling Site
2.4. Dendrochemical Analysis
2.5. Analysis of Ring Width Patterns
3. Results and Discussion
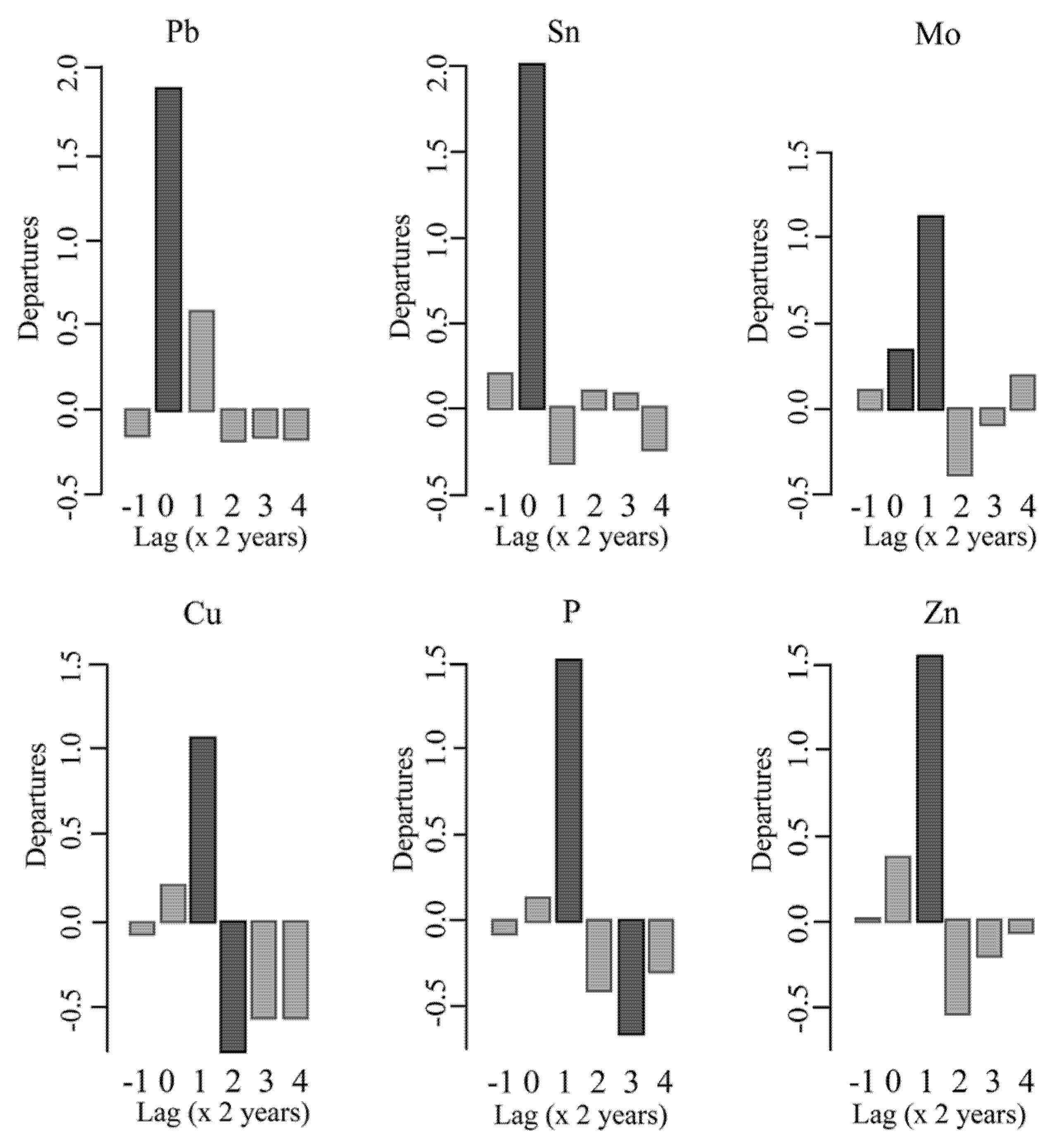
3.1. Dendrochemical Anomalies
3.2. Ring-Width Patterns
3.3. Tree-Ring Signals and Eruptive Record
3.3.1. Historical Eruptions
3.3.2. Possible Prehistoric Eruptions
3.3.3. Eruptive Frequency
4. Concluding Remarks
Author Contributions
Funding
Data Availability Statement
Acknowledgments
Conflicts of Interest
References
- Lara, L.; Orozco, G.; Amigo, Á.; Silva, C. Peligros Volcánicos de Chile. Serv. Nac. Geol. Min. Carta Geol. Chile 2011, 13, 34. [Google Scholar]
- Bertrand, S.; Hughen, K.; Sepúlveda, J.; Pantoja, S. Late Holocene Covariability of the Southern Westerlies and Sea Surface Temperature in Northern Chilean Patagonia. Quat. Sci. Rev. 2014, 105, 195–208. [Google Scholar] [CrossRef]
- Moreno, P.I.; Alloway, B.V.; Villarosa, G.; Outes, V.; Henríquez, W.I.; Pol-Holz, R.D.; Pearce, N.J.G. A Past-Millennium Maximum in Postglacial Activity from Volcán Chaitén, Southern Chile. Geology 2015, 43, 47–50. [Google Scholar] [CrossRef]
- Van Daele, M.; Moernaut, J.; Silversmit, G.; Schmidt, S.; Fontijn, K.; Heirman, K.; Vandoorne, W.; De Clercq, M.; Van Acker, J.; Wolff, C.; et al. The 600 Yr Eruptive History of Villarrica Volcano (Chile) Revealed by Annually Laminated Lake Sediments. Geol. Soc. Am. Bull. 2014, 126, 481–498. [Google Scholar] [CrossRef]
- Eggler, W.A. Plant Communities in the Vicinity of the Volcano El Paricutin, Mexico, After Two and A Half Years of Eruption. Ecology 1948, 29, 415–436. [Google Scholar] [CrossRef]
- Eggler, W.A. Influence of Volcanic Eruptions on Xylem Growth Patterns. Ecology 1967, 48, 644–647. [Google Scholar] [CrossRef]
- Lawrence, D.B. Continuing Research on the Flora of Mount St. Helens. Mazama 1939, 21, 49–54. [Google Scholar]
- D’Arrigo, R.; Wilson, R.; Tudhope, A. The Impact of Volcanic Forcing on Tropical Temperatures during the Past Four Centuries. Nat. Geosci. 2009, 2, 51–56. [Google Scholar] [CrossRef]
- Terazawa, K.; Umeki, K.; Yasaka, M. Effects of Ashfall Erupted from Usu Volcano in 1977 on the Surrounding Forests, 2 Radial Growth and Stem Form of Trees. Bull Hokkaido For. Res. Inst. 2000, 37, 11–25. [Google Scholar]
- Toohey, M.; Krüger, K.; Schmidt, H.; Timmreck, C.; Sigl, M.; Stoffel, M.; Wilson, R. Disproportionately Strong Climate Forcing from Extratropical Explosive Volcanic Eruptions. Nat. Geosci. 2019, 12, 100–107. [Google Scholar] [CrossRef]
- Montiel, M. Efecto de disturbios catastróficos sobre el establecimiento y crecimiento radial de especies del género Nothofagus en bosques afectados por la caída de tefra, Parque Nacional Puyehue. Master’s Thesis, Universidad Austral de Chile, Valdivia, Chile, 2014. [Google Scholar]
- Swetnam, T.W.; Lynch, A.M. Multicentury, Regional-Scale Patterns of Western Spruce Budworm Outbreaks. Ecol. Monogr. 1993, 63, 399–424. [Google Scholar] [CrossRef]
- Veblen, T.T.; Ashton, D.H. Catastrophic Influences on the Vegetation of the Valdivian Andes, Chile. Plant Ecol. 1978, 36, 149–167. [Google Scholar] [CrossRef]
- Stoffel, M.; Ballesteros Cánovas, J.A.; Luckman, B.H.; Casteller, A.; Villalba, R. Tree-Ring Correlations Suggest Links between Moderate Earthquakes and Distant Rockfalls in the Patagonian Cordillera. Sci. Rep. 2019, 9, 12112. [Google Scholar] [CrossRef]
- Langlais, D.; Bégin, Y. The Effects of Recent Floods and Geomorphic Processes on Red Ash Populations, Upper St Lawrence Estuary, Québec. Estuar. Coast. Shelf Sci. 1993, 37, 525–538. [Google Scholar] [CrossRef]
- Guyette, R.P.; Cutter, B.E. Tree-Ring Analysis of Fire History of a Post Oak Savanna in the Missouri Ozarks. Nat. Areas J. 1991, 11, 93–99. [Google Scholar]
- McLaren, B.E.; Peterson, R.O. Wolves, Moose, and Tree Rings on Isle Royale. Science 1994, 266, 1555–1558. [Google Scholar] [CrossRef] [PubMed]
- Watmough, S.A. An Evaluation of the Use of Dendrochemical Analyses in Environmental Monitoring. Environ. Rev. 1997, 5, 181–201. [Google Scholar] [CrossRef]
- Pearson, C.; Manning, S.W.; Coleman, M.; Jarvis, K. Can Tree-Ring Chemistry Reveal Absolute Dates for Past Volcanic Eruptions? J. Archaeol. Sci. 2005, 32, 1265–1274. [Google Scholar] [CrossRef]
- Besoain, M.; Ruiz, S.; Hepp, K. La Erupción Del Volcán Hudson, XI Región y Sus Consecuencias Para La Agricultura. Agric. Téc. 1995, 55, 204–219. [Google Scholar]
- Novoa, R. Efectos de la caída de tefra en bosques de Nothofagus pumilio, post erupción del Complejo Volcánico Puyehue-Cordón Caulle, Puyehue, Chile. Master’s Thesis, Universidad Austral de Chile, Valdivia, Chile, 2013. [Google Scholar]
- Hall, G.S.; Yamaguchi, D.K.; Rettberg, T.M. Multielemental Analyses of Tree Rings by Inductively Coupled Plasma Mass Spectrometry. J. Radioanal. Nucl. Chem. 1990, 146, 255–265. [Google Scholar] [CrossRef]
- Sheppard, P.R.; Ort, M.H.; Anderson, K.C.; Elson, M.D.; Vázquez-selem, L.; Clemens, A.W.; Little, N.C.; Speakman, R.J. Multiple Dendrochronological Signals Indicate the Eruption of Paricutin Volcano, Michoacán, Mexico. Tree Ring Res. 2008, 64, 97–108. [Google Scholar] [CrossRef]
- Cocozza, C.; Perone, A.; Giordano, C.; Salvatici, M.C.; Pignattelli, S.; Raio, A.; Schaub, M.; Sever, K.; Innes, J.L.; Tognetti, R.; et al. Silver Nanoparticles Enter the Tree Stem Faster through Leaves than through Roots. Tree Physiol. 2019, 39, 1251–1261. [Google Scholar] [CrossRef]
- Cronin, S.J.; Hedley, M.J.; Neall, V.E.; Smith, R.G. Agronomic Impact of Tephra Fallout from the 1995 and 1996 Ruapehu Volcano Eruptions, New Zealand. Environ. Geol. 1998, 34, 21–30. [Google Scholar] [CrossRef]
- Wilson, T.M.; Jenkins, S.F.; Stewart, C. Volcanic Ash Fall Impacts. In Global Volcanic Hazards and Risk; Loughlin, S.C., Sparks, S., Brown, S.K., Jenkins, S.F., Vye-Brown, C., Eds.; Cambridge University Press: Cambridge, UK, 2015; pp. 281–288. [Google Scholar]
- Pearson, C.L.; Manning, S.W.; Coleman, M.; Jarvis, K. A Dendrochemical Study of Pinus Sylvestris from Siljansfors Experimental Forest, Central Sweden. Appl. Geochem. 2006, 21, 1681–1691. [Google Scholar] [CrossRef]
- Pearson, C.L.; Dale, D.S.; Brewer, P.W.; Kuniholm, P.I.; Lipton, J.; Manning, S.W. Dendrochemical Analysis of a Tree-Ring Growth Anomaly Associated with the Late Bronze Age Eruption of Thera. J. Archaeol. Sci. 2009, 36, 1206–1214. [Google Scholar] [CrossRef]
- Padilla, K.L.; Anderson, K.A. Trace Element Concentration in Tree-Rings Biomonitoring Centuries of Environmental Change. Chemosphere 2002, 49, 575–585. [Google Scholar] [CrossRef]
- Watt, S.F.L.; Pyle, D.M.; Mather, T.A.; Day, J.A.; Aiuppa, A. The Use of Tree-Rings and Foliage as an Archive of Volcanogenic Cation Deposition. Environ. Pollut. 2007, 148, 48–61. [Google Scholar] [CrossRef]
- Sheppard, P.; Weaver, R.; Pringle, P.T.; Kent, A.J.R. Dendrochemical Evidence of the 1781 Eruption of Mount Hood, Oregon. Adv. Glob. Chang. Res. 2010, 41, 465–467. [Google Scholar] [CrossRef]
- Unlu, K.; Pearson, C.; Hauck, D.K.; Kuniholm, P.I. Dating Volcanic Eruptions with Tree-Ring Chemistry. IEEE Potentials 2009, 28, 36–44. [Google Scholar] [CrossRef]
- Hagemeyer, J. Chapter 13 Trace Metals in Tree Rings: What Do They Tell Us? In Trace Metals—Their Distribution and Affects in the Environment; Markert, B., Friese, K., Eds.; Elsevier Science: New York, NY, USA, 2000; Volume 4, pp. 375–385. [Google Scholar]
- Hagemeyer, J.; Weinand, T. Radial Distributions of Pb in Stems of Young Norway Spruce Trees Grown in Pb-Contaminated Soil. Tree Physiol. 1996, 16, 591–594. [Google Scholar] [CrossRef][Green Version]
- Hagemeyer, J.; Hübner, C. Radial Distributions of Pb in Stems of 6-Year-Old Spruce Trees (Picea Abies (L.) Karst.) Grown for 2 Years in Pb-Contaminated Soil. Water Air Soil Pollut. 1999, 111, 215–224. [Google Scholar] [CrossRef]
- Villalba, R. Climatic Fluctuations in Northern Patagonia during the Last 1000 Years as Inferred from Tree-Ring Records. Quat. Res. 1990, 34, 346–360. [Google Scholar] [CrossRef]
- Lara, A.; Villalba, R. A 3620-Year Temperature Record from Fitzroya Cupressoides Tree Rings in Southern South America. Science 1993, 260, 1104–1106. [Google Scholar] [CrossRef]
- Lara, A.; Villalba, R.; Urrutia-Jalabert, R.; González-Reyes, A.; Aravena, J.C.; Luckman, B.H.; Cuq, E.; Rodríguez, C.; Wolodarsky-Franke, A. +A 5680-Year Tree-Ring Temperature Record for Southern South America. Quat. Sci. Rev. 2020, 228, 106087. [Google Scholar] [CrossRef]
- Villalba, R.; Boninsegna, J.A.; Lara, A.; Veblen, T.T.; Roig, F.; Aravena, J.C.; Ripalta, A. Interdecadal Climatic Variations in Millennial Temperature Reconstructions from Southern South America. In Climatic Variations and Forcing Mechanisms of the Last 2000 Years; NATO ASI Series; Springer: Berlin/Heidelberg, Germany, 1996; pp. 161–189. [Google Scholar]
- Stern, C.; Moreno, H.; López-Escobar, L.; Clavero, J.; Lara, L.; Naranjo, J.A.; Skewes, M.A. Chilean Volcanoes. In The Geology of Chile; Gibbons, W., Moreno, T., Eds.; Geological Society: London, UK, 2007; pp. 147–178. [Google Scholar]
- Hildreth, W.; Drake, R. Volcán Quizapu, Chilean Andes. Bull. Volcanol. 1992, 54, 93–125. [Google Scholar] [CrossRef]
- Scasso, R.A.; Corbella, H.; Tiberi, P. Sedimentological Analysis of the Tephra from the 12–15 August 1991 Eruption of Hudson Volcano. Bull. Volcanol. 1994, 56, 121–132. [Google Scholar] [CrossRef]
- Naranjo, J.A.; Moreno, H.; Banks, N.G. La Erupción Del Volcán Hudson En 1991 (46°S), Región XI, Aysén, Chile. Serv. Nac. Geol. Min. Bol. 1993, 44, 1–50. [Google Scholar]
- Déruelle, B.; Figueroa, O.; Medina, E.; Viramonte, J.; Maragno, M. Petrology of Pumice of April 1993 Eruption of Láscar (Atacama, Chile). Terra Nova 1996, 8, 191–199. [Google Scholar]
- Alfano, F.; Bonadonna, C.; Volentik, A.C.M.; Connor, C.B.; Watt, S.F.L.; Pyle, D.M.; Connor, L.J. Tephra Stratigraphy and Eruptive Volume of the May, 2008, Chaitén Eruption, Chile. Bull. Volcanol. 2011, 73, 613–630. [Google Scholar] [CrossRef]
- Amigo, A.; Lara, L.E.; Silva, C.; Orozco, G.; Bertin, D. The Ongoing 2011 Eruption of Cordón Caulle (Southern Andes) and Its Related Hazards; American Geophysical Union, Fall Meeting: San Francisco, SF, USA, 2011; Volume 2011, p. V53E-2676. [Google Scholar]
- Lopez-Escobar, L.; Cembrano, J.; Moreno, H. Geochemistry and Tectonics of the Chilean Southern Andes Basaltic Quaternary Volcanism (37–46°S). Rev. Geol. 1995, 22, 219–234. [Google Scholar] [CrossRef]
- Cembrano, J.; Hervé, F.; Lavenu, A. The Liquine Ofqui Fault Zone: A Major Cenozoic Strike Slip Duplex in the Southern Andes. Tectonophysics 1996, 259, 55–66. [Google Scholar] [CrossRef]
- Lara, L.E.; Moreno, H.; Lavenu, A. Volcanism and Tectonism of the Pleistocene-Holocene Volcanic Arc, Southern Andes (40.5°–41.5°S). In International Symposium on Andean Geodynamics 4; ISAG4; Actas: Göettingen, Germany, 1999; pp. 417–420. [Google Scholar]
- Sellés, D.; Moreno, H. Geología Del Volcán Calbuco, Región de Los Lagos. Serv. Nac. Geol. Min. Carta Geol. Chile 2011, 130, 38. [Google Scholar]
- Petit-Breuilh, M.E. Cronología Eruptiva Histórica de Los Volcanes Osorno y Calbuco, Andes Del Sur (41o–41o30′). Serv. Nac. Geol. Min. Boletín 1999, 53, 5–46. [Google Scholar]
- Global Volcanism Program | Calbuco. Available online: https://volcano.si.edu/volcano.cfm?vn=358020 (accessed on 9 July 2021).
- Moreno, H. Mapa de Peligros Del Volcán Calbuco, Región de Los Lagos. Serv. Nac. Geol. Min. Doc. Trab. 1999, 12. [Google Scholar] [CrossRef]
- Bertin, D.; Amigo, Á.; Mella, M.; Astudillo, V.; Bertin, L.; Bucchi, F. Erupción Del Volcán Calbuco 2015: Estratigrafía Eruptiva y Volumen Involucrado. In Congreso Geológico Chileno 14; CGC14; Actas: La Serena, Chile, 2015. [Google Scholar]
- Newhall, C.G.; Self, S. The Volcanic Explosivity Index (VEI) an Estimate of Explosive Magnitude for Historical Volcanism. J. Geophys. Res. Ocean. 1982, 87, 1231–1238. [Google Scholar] [CrossRef]
- Castruccio, A.; Clavero, J.; Segura, A.; Samaniego, P.; Roche, O.; Le Pennec, J.-L.; Droguett, B. Eruptive Parameters and Dynamics of the April 2015 Sub-Plinian Eruptions of Calbuco Volcano (Southern Chile). Bull. Volcanol. 2016, 78, 1–19. [Google Scholar] [CrossRef]
- Hayes, J.L.; Deligne, N.I.; Bertin, L.; Calderón, R.; Wardman, J.; Wilson, T.; Leonard, G.; Steward, C.; Wallace, C.; Baxter, P. Impacts of the 2015 Eruption of Calbuco Volcano on Chilean Infrastructure, Utilities, Agriculture, and Health; GNS Science: Lower Hutt, New Zealand, 2019; p. 102. [Google Scholar] [CrossRef]
- Domeyko, I. Mis Viajes. Memorias de Un Exiliado. Tomo II, 1976th ed.; Ediciones Universidad de Chile: Santiago, Chile, 1845. [Google Scholar]
- Sapper, K. Vulkankunde; J. Engelhorns Nachf: Stuttgart, Germany, 1927. [Google Scholar]
- Petit-Breuilh, M.E.; Moreno, H. La Erupción de 1893-1895 Del Volcán Calbuco (41.3°S) y Sus Efectos Ambientales. In Congreso Geológico Chileno 8; Session 4; Universidad Católica del Norte: Antofagasta, Chile, 1997; Volume 1, pp. 780–784. [Google Scholar]
- Risopatrón, L. La Línea de La Frontera Con La República Argentina Entre Las Latitudes 35 y 46°S. Oficina de Límites; Imprenta i Encuadernación Universitaria: Santiago, Chile, 1907. [Google Scholar]
- Jaggar, T. Chilean Volcanoes; The Volcano Letter 1; Hawaiian Volcano Observatory, Volcano House: Hawaii, HI, USA, 1925. [Google Scholar]
- Stone, J.; Ingerson, E. Some Volcanoes of Southern Chile. Am. J. Sci. 1934, 28, 269–287. [Google Scholar] [CrossRef]
- Reichert, F. Las Regiones Inexploradas o Poco Conocidas de La Cordillera Norpatagónica; Sociedad Científica Alemana: Santiago, Chile, 1917. [Google Scholar]
- Steffen, H. Neue Ausbrüche Des Vulkans Calbuco in Südchile. Z. Für Vulkanol. 1917, 7, 194. [Google Scholar]
- Stone, J. Two Active Volcanoes of Chile; The Volcano Letter 284; Hawaiian Volcano Observatory: Hawaii, HI, USA, 1930; p. 284. [Google Scholar]
- Jaggar, T. Volcanoes in Chile; The Volcano Letter 222; Hawaiian Volcano Observatory, Volcano House: Hawaii, HI, USA, 1929. [Google Scholar]
- Servicio Sismológico De La Universidad De Chile; Bulletin 25; Universidad de Chile, Facultad de Ciencias Físicas y Matemáticas: Santiago, Chile, 1934; pp. 65–66.
- Empresa Periodística Diario La Nación S.A. Diario La Nación; DLN: Santiago, Chile, 3 May 1945. [Google Scholar]
- Casertano, L. Chilean Continent. Catalog of Active Volcanoes of the World and Solfatara Fields; IAVCEI 15: Rome, Italy, 1963; pp. 1–55. [Google Scholar]
- Klohn, E. The 1961 Eruptions of Calbuco Volcano, Southern Chile; Instituto de Investigaciones Geológicas: Santiago, Chile, 1963; p. 11. [Google Scholar]
- Kinzel, E.; Horn, B. Puerto Varas, 130 Años de Historia, 1852-1983; Imprenta y Librería Horn: Puerto Varas, Chile, 1983. [Google Scholar]
- Lahsen, A.; Moreno, H.; Varela, J.; Munizaga, F.; López, L. Geología y Riesgo Volcánico Del Volcán Calbuco Y Centros Eruptivos Menores; Central Canutillar, Depto. de Geología- ENDESA: Santiago, Chile, 1985; p. 215. [Google Scholar]
- Moreno, H.; Varela, J.; López, L.; Munizaga, F.; Lahsen, A. Geología y Riesgo Volcánico Del Volcán Osorno y Centros Eruptivos Menores; Contrato OICB-06C; ENDESA: Santiago, Chile, 1985; p. 178. [Google Scholar]
- Mena, R. Geoquímica, desarrollo y cronología de los centros eruptivos menores de Cayutué situados sobre la traza de la falla Liquiñe-Ofqui, entre S41°10′ y S41°20′, X Región de los Lagos. Bachelor’s Thesis, Universidad de Chile, Santiago, Chile, 2015. [Google Scholar]
- Global Volcanism Program, Osorno. Available online: https://volcano.si.edu/volcano.cfm?vn=358010 (accessed on 9 July 2021).
- Lopez-Escobar, L.; Parada, M.A.; Moreno, H.; Frey, F.A.; Hickey-Vargas, R.L. A Contribution to the Petrogenesis of Osomo and Calbuco Volcanoes, Southern Andes (41°00′–41°30′S): Comparative Study. Rev. Geol. 1992, 19, 211–226. [Google Scholar] [CrossRef]
- Moreno, H. Mapa de Peligros Del Volcán Osorno, Región de Los Lagos. Serv. Nac. Geol. Min. Doc. Trab. 1999, 11. [Google Scholar] [CrossRef]
- Moreno, H.; Lara, L.; Orozco, G. Geología Del Volcán Osorno, Región de Los Lagos. Serv. Nac. Geol. Min. Carta Geol. Chile 2010, 126, 31. [Google Scholar]
- López-Escobar, L.; Parada, M.A. Diferencias geoquímicas y petrográficas entre los volcanes vecinos, Calbuco y Osorno, y Centros eruptivos menores, Andes del Sur, 41-42°S, Chile. In Congreso Geológico Chileno 6; CGC6; Viña del Mar: Santiago, Chile, 1991; Volume 6, pp. 27–29. [Google Scholar]
- Watt, S.F.L.; Pyle, D.M.; Naranjo, J.A.; Rosqvist, G.; Mella, M.; Mather, T.A.; Moreno, H. Holocene Tephrochronology of the Hualaihue Region (Andean Southern Volcanic Zone, ∼42° S), Southern Chile. Quat. Int. 2011, 246, 324–343. [Google Scholar] [CrossRef]
- Déruelle, B. Petrology of the Plio-Quaternary Volcanism of the South-Central and Meridional Andes. J. Volcanol. Geotherm. Res. 1982, 14, 77–124. [Google Scholar] [CrossRef]
- Noll, P.D.; Newsom, H.E.; Leeman, W.P.; Ryan, J.G. The Role of Hydrothermal Fluids in the Production of Subduction Zone Magmas: Evidence from Siderophile and Chalcophile Trace Elements and Boron. Geochim. Cosmochim. Acta 1996, 60, 587–611. [Google Scholar] [CrossRef]
- Hickey-Vargas, R.; Holbik, S.; Tormey, D.; Frey, F.A.; Moreno Roa, H. Basaltic Rocks from the Andean Southern Volcanic Zone: Insights from the Comparison of along-Strike and Small-Scale Geochemical Variations and Their Sources. Lithos 2016, 258–259, 115–132. [Google Scholar] [CrossRef]
- Wehrmann, H.; Hoernle, K.A.; Jacques, G.; Garbe-Schönberg, D.; Schumann, K.; Mahlke, J.; Lara, L.E. Volatile (Sulphur and Chlorine), Major, and Trace Element Geochemistry of Mafic to Intermediate Tephras from the Chilean Southern Volcanic Zone (33–43°S). Int. J. Earth Sci. 2014, 103, 1945–1962. [Google Scholar] [CrossRef]
- Donoso, C.; Lara, A.; Escobar, B.; Premoli, A.; Souto, C. Fitzroya cupressoides (Molina) I.M. Johnst. Alerce. In Las especies arbóreas de los bosques templados de Chile y Argentina. Autoecología; Marisa Cuneo Ediciones: Valdivia, Chile, 2013; pp. 68–81. [Google Scholar]
- Di Castri, F.; Hajek, E.R. Bioclimatología De Chile; Imprenta—Editorial de la Universidad Católica de Chile: Santiago, Chile, 1976. [Google Scholar]
- Silla, F.; Fraver, S.; Lara, A.; Allnutt, T.R.; Newton, A. Regeneration and Stand Dynamics of Fitzroya Cupressoides (Cupressaceae) Forests of Southern Chile’s Central Depression. For. Ecol. Manag. 2002, 165, 213–224. [Google Scholar] [CrossRef]
- Lara, A.R.; Fraver, S.; Aravena, J.C.; Wolodarsky-Franke, A. Fire and the Dynamics of Fitzroya Cupressoides (Alerce) Forests of Chile’s Cordillera Pelada. Ecoscience 1999, 6, 100–109. [Google Scholar] [CrossRef]
- Donoso, C.; Sandoval, V.; Grez, R.; Rodríguez, J. Dynamics of Fitzroya Cupressoides Forests in Southern Chile. J. Veg. Sci. 1993, 4, 303–312. [Google Scholar] [CrossRef]
- Urrutia-Jalabert, R.; Malhi, Y.; Barichivich, J.; Lara, A.; Delgado-Huertas, A.; Rodríguez, C.G.; Cuq, E. Increased Water Use Efficiency but Contrasting Tree Growth Patterns in Fitzroya Cupressoides Forests of Southern Chile during Recent Decades. J. Geophys. Res. Biogeosci. 2015, 120, 2505–2524. [Google Scholar] [CrossRef]
- Stokes, M.A.; Smiley, T.L. An. Introduction to Tree-Ring Dating; University of Arizona Press: Tucson, AR, USA, 1996. [Google Scholar]
- Fritts, H.C. Tree Rings and Climate, 1st ed.; Academic Press: London, UK, 1976. [Google Scholar]
- Schulman, E. Dendroclimatic Changes in Semiarid America; University of Arizona Press: Tucson, AR, USA, 1956. [Google Scholar]
- Holmes, R.L. Computer-Assisted Quality Control in Tree-Ring Dating and Measurement. Tree Ring Bull. 1983, 39, 77–82. [Google Scholar]
- Haurwitz, M.W.; Brier, G.W. A Critique of the Superposed Epoch Analysis Method: Its Application to Solar-Weather Relations. Mon. Weather. Rev. 1981, 109, 2074–2079. [Google Scholar] [CrossRef]
- Holmes, R.; Swetnam, T. Program. Event User’s Manual. Superposed Epoch Analysis in Fire History Studies; Laboratory of Tree-Ring.University of Arizona: Tucson, AR, USA, 1994. [Google Scholar]
- De La Cruz-Reyna, S. Poisson-Distributed Patterns of Explosive Eruptive Activity. Bull. Volcanol. 1991, 54, 57–67. [Google Scholar] [CrossRef]
- Cook, E.R.; Krusic, P.J. Program. ARSTAN: A Tree-Ring Standardization Program. Based on Detrending and Autoregressive Time Series Modeling, with Interactive Graphics; Lamont-Doherty Earth Observatory, Columbia University: Palisades, NY, USA, 2005. [Google Scholar]
- Osborn, T.J.; Briffa, K.R.; Jones, P.D. Adjusting Variance for Sample-Size in Tree Ring Chronologies and Other Regional-Mean Time-Series. Dendrochronologia 1997, 15, 89–99. [Google Scholar]
- Cook, R.J.; Barron, J.C.; Papendick, R.I.; Williams, G.J. Impact on Agriculture of the Mount St. Helens Eruptions. Science 1981, 211, 16–22. [Google Scholar] [CrossRef] [PubMed]
- Rabie, G.H. Contribution of Arbuscular Mycorrhizal Fungus to Red Kidney and Wheat Plants Tolerance Grown in Heavy Metal-Polluted Soil. Afr. J. Adv. Biotechnol. 2005, 4, 332–345. [Google Scholar] [CrossRef]
- Romero, J.E.; Alloway, B.V.; Gutiérrez, R.; Bertín, D.; Castruccio, A.; Villarosa, G.; Schipper, C.I.; Guevara, A.; Bustillos, J.; Pisello, A.; et al. Centennial-Scale Eruptive Diversity at Volcán Calbuco (41.3°S; Northwest Patagonia) Deduced from Historic Tephra Cover-Bed and Dendrochronologic Archives. J. Volcanol. Geotherm. Res. 2021, 417, 107281. [Google Scholar] [CrossRef]
- Lawrence, D.B. Diagrammatic History of the Northeast Slope of Mount St. Helens, Washington. Mazama 1954, 36, 41–44. [Google Scholar]
- Smathers, G.A.; Mueller-Dombois, D. Invasion and Recovery of Vegetation after a Volcanic Eruption in Hawaii; Series 5; National Park Service Scientific Monograph, University of Hawaii: Hawaii, HI, USA, 1974; p. 129. [Google Scholar]
- Rovira, A. La construcción de una metrópoli regional: El caso de Puerto Montt, centro urbano intermedio del sur de Chile. In Chile: Del país urbano al país metropolitano; Rodrigo, H., Carlos, d.M., Federico, A., Eds.; GEOlibros; Pontificia Universidad Católica de Chile: Santiago, Chile, 2009; Volume 12, p. 14. [Google Scholar]
- Barraza, F.; Lambert, F.; Jorquera, H.; Villalobos, A.M.; Gallardo, L. Temporal Evolution of Main Ambient PM2.5 Sources in Santiago, Chile, from 1998 to 2012. Atmos. Chem. Phys. 2017, 17, 10093–10107. [Google Scholar] [CrossRef]
- Fujiwara, F.; Rebagliati, R.J.; Dawidowski, L.; Gómez, D.; Polla, G.; Pereyra, V.; Smichowski, P. Spatial and Chemical Patterns of Size Fractionated Road Dust Collected in a Megacitiy. Atmos. Environ. 2011, 45, 1497–1505. [Google Scholar] [CrossRef]
- Pizarro, J.; Vergara, P.M.; Cerda, S.; Cordero, R.R.; Castillo, X.; Rowe, P.M.; Casassa, G.; Carrasco, J.; Damiani, A.; Llanillo, P.J.; et al. Contaminant Emissions as Indicators of Chemical Elements in the Snow along a Latitudinal Gradient in Southern Andes. Sci. Rep. 2021, 11, 14530. [Google Scholar] [CrossRef]
- Urrutia-Jalabert, R.; Malhi, Y.; Lara, A. Soil Respiration and Mass Balance Estimation of Fine Root Production in Fitzroya Cupressoides Forests of Southern Chile. Ecosphere 2017, 8, e01640. [Google Scholar] [CrossRef]
- Anderson, K.A.; Downing, J.A. Dry and Wet Atmospheric Deposition of Nitrogen, Phosphorus and Silicon in an Agricultural Region. Water Air Soil Pollut 2006, 176, 351–374. [Google Scholar] [CrossRef]
- Tipping, E.; Benham, S.; Boyle, J.F.; Crow, P.; Davies, J.; Fischer, U.; Guyatt, H.; Helliwell, R.; Jackson-Blake, L.; Lawlor, A.J.; et al. Atmospheric Deposition of Phosphorus to Land and Freshwater. Environ. Sci. Process. Impacts 2014, 16, 1608–1617. [Google Scholar] [CrossRef] [PubMed]
- Berthold, M.; Wulff, R.; Reiff, V.; Karsten, U.; Nausch, G.; Schumann, R. Magnitude and Influence of Atmospheric Phosphorus Deposition on the Southern Baltic Sea Coast over 23 Years: Implications for Coastal Waters. Environ. Sci. Eur. 2019, 31, 27. [Google Scholar] [CrossRef]
- Brahney, J.; Mahowald, N.; Ward, D.S.; Ballantyne, A.P.; Neff, J.C. Is Atmospheric Phosphorus Pollution Altering Global Alpine Lake Stoichiometry? Glob. Biogeochem. Cycles 2015, 29, 1369–1383. [Google Scholar] [CrossRef]
- Muñoz, A.A.; Klock-Barría, K.; Sheppard, P.R.; Aguilera-Betti, I.; Toledo-Guerrero, I.; Christie, D.A.; Gorena, T.; Gallardo, L.; González-Reyes, Á.; Lara, A.; et al. Multidecadal Environmental Pollution in a Mega-Industrial Area in Central Chile Registered by Tree Rings. Sci Total Environ. 2019, 696, 133915. [Google Scholar] [CrossRef] [PubMed]
- Darwin, C. Journal of Researches into the Geology and Natural History of the Various Countries Visited by H.M.S. Beagle; Hafner: New York, NY, USA, 1839. [Google Scholar]







| Year AD | VEI 1 | Ashfall | Feature | Reference |
|---|---|---|---|---|
| 1792 | ? | ? | Possible explosive eruption | [58] |
| 1845 | ? | ? | Possible eruption | [59] |
| 1893–1895 | 4 | yes | Sub-Plinian eruption with pyroclastic and lahar flows | [60] |
| 1906–1907 | 2 | yes | Minor explosive eruptions with ash emission | [61,62,63] |
| 1911–1912 | 2 | yes | Small eruption with dome and spine growth | [64] |
| 1917 | 3 | yes | Phreato-Plinian eruption with lava and lahar flows | [65] |
| 1929 | 3 | yes | Phreato-Plinian eruption; lava emission | [66,67] |
| 1932 | 2 | yes | Short-term and intense explosive eruptive activity | [68] |
| 1945 | 2 | yes | Explosive eruptive activity | [69] |
| 1961 | 3 | yes | Sub-Plinian eruption with lava and lahar flows | [70,71,72] |
| 1972 | 2 | yes | Weak eruption with pyroclastic emission | [73] |
| 2015 | 4 | yes | Sub-Plinian eruption with pyroclastic and lahar flows | [54,56] |
Publisher’s Note: MDPI stays neutral with regard to jurisdictional claims in published maps and institutional affiliations. |
© 2021 by the authors. Licensee MDPI, Basel, Switzerland. This article is an open access article distributed under the terms and conditions of the Creative Commons Attribution (CC BY) license (https://creativecommons.org/licenses/by/4.0/).
Share and Cite
Bertin, L.J.; Christie, D.A.; Sheppard, P.R.; Muñoz, A.A.; Lara, A.; Alvarez, C. Chemical Signals in Tree Rings from Northern Patagonia as Indicators of Calbuco Volcano Eruptions since the 16th Century. Forests 2021, 12, 1305. https://doi.org/10.3390/f12101305
Bertin LJ, Christie DA, Sheppard PR, Muñoz AA, Lara A, Alvarez C. Chemical Signals in Tree Rings from Northern Patagonia as Indicators of Calbuco Volcano Eruptions since the 16th Century. Forests. 2021; 12(10):1305. https://doi.org/10.3390/f12101305
Chicago/Turabian StyleBertin, Lizette J., Duncan A. Christie, Paul R. Sheppard, Ariel A. Muñoz, Antonio Lara, and Claudio Alvarez. 2021. "Chemical Signals in Tree Rings from Northern Patagonia as Indicators of Calbuco Volcano Eruptions since the 16th Century" Forests 12, no. 10: 1305. https://doi.org/10.3390/f12101305
APA StyleBertin, L. J., Christie, D. A., Sheppard, P. R., Muñoz, A. A., Lara, A., & Alvarez, C. (2021). Chemical Signals in Tree Rings from Northern Patagonia as Indicators of Calbuco Volcano Eruptions since the 16th Century. Forests, 12(10), 1305. https://doi.org/10.3390/f12101305

