Long-Term Effects of Fuel Reduction Treatments on Surface Fuel Loading in the Blue Mountains of Oregon
Abstract
:1. Introduction
2. Materials and Methods
2.1. Study Site
2.2. Treatment Implementation
2.3. Field Sampling
2.4. Data Analysis
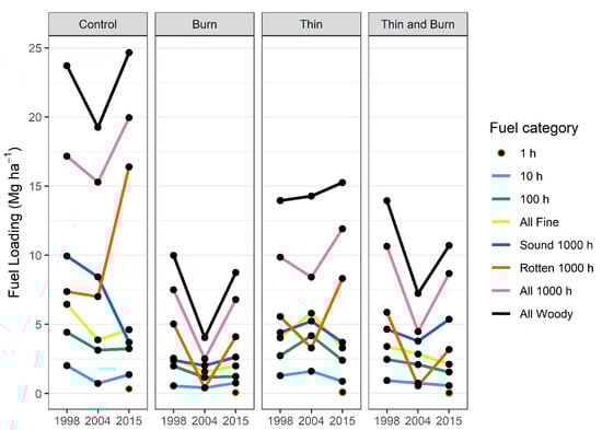
3. Results
4. Discussion
4.1. Fuels Trajectories
4.2. Restoring Forest Condition
5. Conclusions
Author Contributions
Funding
Data Availability Statement
Acknowledgments
Conflicts of Interest
Appendix A
| All Fine | All Wood | ||||
|---|---|---|---|---|---|
| Model | DF | BIC | Model | DF | BIC |
| cshet | 19 | 180.56 | cshet | 19 | 299.33 |
| genhet | 21 | 182.68 | genhet | 21 | 304.35 |
| arhet | 19 | 177.38 | arhet | 19 | 297.30 |
| 10 h | Sound 1000 h | ||||
| cshet | 19 | 119.65 | cshet | 19 | 254.92 |
| genhet | 21 | 124.70 | genhet | 21 | 260.64 |
| arhet | 19 | 118.01 | arhet | 19 | 257.27 |
| 100 h | Rotten 1000 h | ||||
| cshet | 19 | 163.95 | cshet | 19 | 259.90 |
| genhet | 21 | 169.34 | genhet | 21 | 266.29 |
| arhet | 19 | 162.51 | arhet | 19 | 259.62 |
| All Fine | All Wood | ||||||
|---|---|---|---|---|---|---|---|
| Predictor | DF | F-Value | p-Value | Predictor | DF | F-Value | p-Value |
| treatment | 3.11 | 9.32 | 0.002 | treatment | 3.11 | 5.49 | 0.015 |
| year | 2.24 | 3.21 | 0.058 | year | 2.24 | 6.48 | 0.006 |
| VPD | 1.11 | 0.41 | 0.533 | VPD | 1.11 | 0.56 | 0.469 |
| treat * year | 6.24 | 3.52 | 0.012 | treat * year | 6.24 | 1.18 | 0.351 |
| 10 h | Sound 1000 h | ||||||
| treatment | 3.11 | 5.35 | 0.016 | treatment | 3.11 | 2.19 | 0.146 |
| year | 2.24 | 3.08 | 0.065 | year | 2.24 | 1.72 | 0.200 |
| VPD | 1.11 | 1.31 | 0.277 | VPD | 1.11 | 2.09 | 0.176 |
| treat * year | 6.24 | 4.34 | 0.004 | treat * year | 6.24 | 1.71 | 0.161 |
| 100 h | Rotten 1000 h | ||||||
| treatment | 3.11 | 10.79 | 0.001 | treatment | 3.11 | 6.89 | 0.007 |
| year | 2.24 | 3.42 | 0.049 | year | 2.24 | 13.90 | <0.001 |
| VPD | 1.11 | 0.04 | 0.851 | VPD | 1.11 | 0.06 | 0.817 |
| treat * year | 6.24 | 2.44 | 0.055 | treat * year | 6.24 | 2.33 | 0.065 |
| All Wood | |||||
|---|---|---|---|---|---|
| Treatment | Comparison | Estimate | t24 Value | p-Value | 99.4% Confidence Interval |
| Control | 2004 vs. 1998 | −4.46 | −1.09 | 0.285 | (−16.67, 7.76) |
| 2015 vs. 1998 | 0.95 | 0.19 | 0.854 | (−14.37, 16.26) | |
| Burn | 2004 vs. 1998 | −5.95 | −3.25 | 0.003 | (−11.43, −0.47) |
| 2015 vs. 1998 | −1.25 | −0.55 | 0.591 | (−8.12, 5.62) | |
| Thin | 2004 vs. 1998 | 0.33 | 0.15 | 0.884 | (−6.29, 6.94) |
| 2015 vs. 1998 | 1.31 | 0.47 | 0.641 | (−6.99, 9.6) | |
| Thin and Burn | 2004 vs. 1998 | −6.71 | −2.61 | 0.015 | (−14.43, 1.01) |
| 2015 vs. 1998 | −3.24 | −1.00 | 0.325 | (−12.92, 6.44) | |
| All Fine | |||||
| Control | 2004 vs. 1998 | −2.58 | −3.20 | 0.004 | (−4.99, −0.16) |
| 2015 vs. 1998 | −1.84 | −1.84 | 0.078 | (−4.84, 1.16) | |
| Burn | 2004 vs. 1998 | −0.96 | −9.49 | <0.001 | (−1.27, −0.66) |
| 2015 vs. 1998 | −0.54 | −4.31 | <0.001 | (−0.92, −0.16) | |
| Thin | 2004 vs. 1998 | 1.77 | 1.74 | 0.094 | (−1.27, 4.8) |
| 2015 vs. 1998 | −0.74 | −0.59 | 0.563 | (−4.51, 3.03) | |
| Thin and Burn | 2004 vs. 1998 | −0.55 | −1.05 | 0.304 | (−2.13, 1.03) |
| 2015 vs. 1998 | −1.28 | −1.96 | 0.062 | (−3.24, 0.68) | |
| 10 h | |||||
| Control | 2004 vs. 1998 | −1.29 | −3.61 | 0.001 | (−2.35, −0.22) |
| 2015 vs. 1998 | −0.65 | −1.52 | 0.141 | (−1.94, 0.63) | |
| Burn | 2004 vs. 1998 | −0.14 | −1.94 | 0.064 | (−0.36, 0.08) |
| 2015 vs. 1998 | 0.20 | 2.29 | 0.031 | (−0.06, 0.47) | |
| Thin | 2004 vs. 1998 | 0.32 | 0.99 | 0.331 | (−0.65, 1.3) |
| 2015 vs. 1998 | −0.41 | −1.04 | 0.310 | (−1.59, 0.77) | |
| Thin and Burn | 2004 vs. 1998 | −0.19 | −0.86 | 0.400 | (−0.84, 0.46) |
| 2015 vs. 1998 | −0.37 | −1.41 | 0.172 | (−1.15, 0.41) | |
| 100 h | |||||
| Control | 2004 vs. 1998 | −1.29 | −2.30 | 0.030 | (−2.97, 0.39) |
| 2015 vs. 1998 | −1.19 | −1.74 | 0.094 | (−3.23, 0.85) | |
| Burn | 2004 vs. 1998 | −0.82 | −6.34 | <0.001 | (−1.21, −0.43) |
| 2015 vs. 1998 | −0.74 | −4.75 | <0.001 | (−1.21, −0.28) | |
| Thin | 2004 vs. 1998 | 1.44 | 1.91 | 0.068 | (−0.82, 3.71) |
| 2015 vs. 1998 | −0.33 | −0.36 | 0.721 | (−3.08, 2.42) | |
| Thin and Burn | 2004 vs. 1998 | −0.37 | −0.89 | 0.380 | (−1.6, 0.86) |
| 2015 vs. 1998 | −0.91 | −1.83 | 0.080 | (−2.41, 0.58) | |
| Sound 1000 h | |||||
| Control | 2004 vs. 1998 | −1.51 | −0.65 | 0.522 | (−8.5, 5.47) |
| 2015 vs. 1998 | −6.23 | −2.67 | 0.013 | (−13.22, 0.75) | |
| Burn | 2004 vs. 1998 | −0.38 | −0.50 | 0.624 | (−2.66, 1.9) |
| 2015 vs. 1998 | 0.22 | 0.29 | 0.772 | (−2.06, 2.51) | |
| Thin | 2004 vs. 1998 | 0.83 | 0.65 | 0.523 | (−3.02, 4.68) |
| 2015 vs. 1998 | −0.71 | −0.56 | 0.583 | (−4.57, 3.14) | |
| Thin and Burn | 2004 vs. 1998 | −0.85 | −0.48 | 0.639 | (−6.25, 4.54) |
| 2015 vs. 1998 | 0.72 | 0.40 | 0.691 | (−4.67, 6.11) | |
| Rotten 1000 h | |||||
| Control | 2004 vs. 1998 | −0.37 | −0.13 | 0.900 | (−9.05, 8.32) |
| 2015 vs. 1998 | 9.02 | 2.88 | 0.008 | (−0.35, 18.4) | |
| Burn | 2004 vs. 1998 | −4.61 | −2.43 | 0.023 | (−10.3, 1.08) |
| 2015 vs. 1998 | −0.93 | −0.45 | 0.654 | (−7.08, 5.22) | |
| Thin | 2004 vs. 1998 | −2.27 | −1.80 | 0.084 | (−6.06, 1.51) |
| 2015 vs. 1998 | 2.76 | 2.02 | 0.054 | (−1.33, 6.85) | |
| Thin and Burn | 2004 vs. 1998 | −5.31 | −3.34 | 0.003 | (−10.07, −0.55) |
| 2015 vs. 1998 | −2.69 | −1.57 | 0.130 | (−7.83, 2.45) | |
References
- Lindenmayer, D.B.; Franklin, J.F.; Fischer, J. General Management Principles and a Checklist of Strategies to Guide Forest Biodiversity Conservation. Biol. Conserv. 2006, 131, 433–445. [Google Scholar] [CrossRef]
- Stevens, J.T.; Safford, H.D.; Latimer, A.M. Wildfire-Contingent Effects of Fuel Treatments Can Promote Ecological Resilience in Seasonally Dry Conifer Forests. Can. J. For. Res. 2014, 44, 843–854. [Google Scholar] [CrossRef] [Green Version]
- Covington, W.W.; Moore, M.M. Postsettlement Changes in Natural Fire Regimes and Forest Structure. J. Sustain. For. 1994, 2, 153–181. [Google Scholar] [CrossRef]
- Hessburg, P.F.; Agee, J.K. An Environmental Narrative of Inland Northwest United States Forests, 1800–2000. For. Ecol. Manag. 2003, 178, 23–59. [Google Scholar] [CrossRef]
- Collins, B.M.; Everett, R.G.; Stephens, S.L. Impacts of Fire Exclusion and Recent Managed Fire on Forest Structure in Old Growth Sierra Nevada Mixed-Conifer Forests. Ecosphere 2011, 2, 1–14. [Google Scholar] [CrossRef]
- Westerling, A.L.; Hidalgo, H.G.; Cayan, D.R.; Swetnam, T.W. Warming and Earlier Spring Increase Western U.S. Forest Wildfire Activity. Science 2006, 313, 940–943. [Google Scholar] [CrossRef] [Green Version]
- Westerling, A.L. Increasing Western US Forest Wildfire Activity: Sensitivity to Changes in the Timing of Spring. Phil Trans R Soc B 2016, 371, 20150178. [Google Scholar] [CrossRef] [PubMed]
- Vankat, J.L. Fire and Man in Sequoia National Park. Ann. Assoc. Am. Geogr. 1977, 67, 17–27. [Google Scholar] [CrossRef]
- Dennison, P.E.; Brewer, S.C.; Arnold, J.D.; Moritz, M.A. Large Wildfire Trends in the Western United States, 1984–2011. Geophys. Res. Lett. 2014, 41, 2928–2933. [Google Scholar] [CrossRef]
- Johnston, J.D.; Dunn, C.J.; Vernon, M.J.; Bailey, J.D.; Morrissette, B.A.; Morici, K.E. Restoring Historical Forest Conditions in a Diverse Inland Pacific Northwest Landscape. Ecosphere 2018, 9, e02400. [Google Scholar] [CrossRef]
- Addington, R.N.; Aplet, G.H.; Battaglia, M.A.; Briggs, J.S.; Brown, P.M.; Cheng, A.S.; Dickinson, Y.; Feinstein, J.A.; Pelz, K.A.; Regan, C.M.; et al. Principles and Practices for the Restoration of Ponderosa Pine and Dry Mixed-Conifer Forests of the Colorado Front Range; RMRS-GTR-373; USDA Forest Service, Rocky Mountain Research Station: Fort Collins, CO, USA, 2018; p. 121.
- Stephens, S.L.; Collins, B.M.; Roller, G. Fuel Treatment Longevity in a Sierra Nevada Mixed Conifer Forest. For. Ecol. Manag. 2012, 285, 204–212. [Google Scholar] [CrossRef]
- Agee, J.K.; Skinner, C.N. Basic Principles of Forest Fuel Reduction Treatments. For. Ecol. Manag. 2005, 211, 83–96. [Google Scholar] [CrossRef]
- Graham, R.; McCaffrey, S.; Jain, T. Science Basis for Changing Forest Structure to Modify Wildfire Behavior and Severity; RMRS-GTR-120; USDA Forest Service, Rocky Mountain Research Station: Fort Collins, CO, USA, 2014; p. 43.
- Arno, S.F.; Fiedler, C.E. Mimicking Nature’s Fire: Restoring Fire-Prone Forests in the West; Island Press: Washington, DC, USA, 2005; ISBN 978-1-59726-613-0. [Google Scholar]
- Stephens, S.L.; Moghaddas, J.J.; Edminster, C.; Fiedler, C.E.; Haase, S.; Harrington, M.; Keeley, J.E.; Knapp, E.E.; McIver, J.D.; Metlen, K.; et al. Fire Treatment Effects on Vegetation Structure, Fuels, and Potential Fire Severity in Western U.S. Forests. Ecol. Appl. 2009, 19, 305–320. [Google Scholar] [CrossRef] [Green Version]
- Prichard, S.J.; Peterson, D.L.; Jacobson, K. Fuel Treatments Reduce the Severity of Wildfire Effects in Dry Mixed Conifer Forest, Washington, USA. Can. J. For. Res. 2010, 40, 1615–1626. [Google Scholar] [CrossRef]
- Ritchie, M.W.; Skinner, C.N.; Hamilton, T.A. Probability of Tree Survival after Wildfire in an Interior Pine Forest of Northern California: Effects of Thinning and Prescribed Fire. For. Ecol. Manag. 2007, 247, 200–208. [Google Scholar] [CrossRef]
- Raymond, C.L.; Peterson, D.L. Fuel Treatments Alter the Effects of Wildfire in a Mixed-Evergreen Forest, Oregon, USA. Can. J. For. Res. 2005, 35, 2981–2995. [Google Scholar] [CrossRef]
- Leverkus, A.B.; Buma, B.; Wagenbrenner, J.; Burton, P.J.; Lingua, E.; Marzano, R.; Thorn, S. Tamm Review: Does Salvage Logging Mitigate Subsequent Forest Disturbances? For. Ecol. Manag. 2021, 481, 118721. [Google Scholar] [CrossRef]
- Schwilk, D.W.; Keeley, J.E.; Knapp, E.E.; McIver, J.; Bailey, J.D.; Fettig, C.J.; Fiedler, C.E.; Harrod, R.J.; Moghaddas, J.J.; Outcalt, K.W.; et al. The National Fire and Fire Surrogate Study: Effects of Fuel Reduction Methods on Forest Vegetation Structure and Fuels. Ecol. Appl. 2009, 19, 285–304. [Google Scholar] [CrossRef]
- North, M.; Innes, J.; Zald, H. Comparison of Thinning and Prescribed Fire Restoration Treatments to Sierran Mixed-Conifer Historic Conditions. Can. J. For. Res. 2007, 37, 331–342. [Google Scholar] [CrossRef]
- McIver, J.D.; Stephens, S.L.; Agee, J.K.; Barbour, J.; Boerner, R.E.J.; Edminster, C.B.; Erickson, K.L.; Farris, K.L.; Fettig, C.J.; Fiedler, C.E.; et al. Ecological Effects of Alternative Fuel-Reduction Treatments: Highlights of the National Fire and Fire Surrogate Study (FFS). Int. J. Wildland Fire 2013, 22, 63–82. [Google Scholar] [CrossRef]
- Kalies, E.L.; Yocom Kent, L.L. Tamm Review: Are Fuel Treatments Effective at Achieving Ecological and Social Objectives? A Systematic Review. For. Ecol. Manag. 2016, 375, 84–95. [Google Scholar] [CrossRef] [Green Version]
- Keifer, M.B.; Van Wagtendonk, J.W.; Buhler, M. Long-Term Surface Fuel Accumulation in Burned and Unburned Mixed-Conifer Forests of the Central and Southern Sierra Nevada, CA (USA). Fire Ecol. 2006, 2, 53–72. [Google Scholar] [CrossRef]
- Vaillant, N.M.; Noonan-Wright, E.K.; Reiner, A.L.; Ewell, C.M.; Rau, B.M.; Fites-Kaufman, J.A.; Dailey, S.N. Fuel Accumulation and Forest Structure Change Following Hazardous Fuel Reduction Treatments throughout California. Int. J. Wildland Fire 2015, 24, 361–371. [Google Scholar] [CrossRef]
- Chiono, L.A.; O’Hara, K.L.; De Lasaux, M.J.; Nader, G.A.; Stephens, S.L. Development of Vegetation and Surface Fuels Following Fire Hazard Reduction Treatment. Forests 2012, 3, 700–722. [Google Scholar] [CrossRef] [Green Version]
- Rothermel, R.C. A Mathematical Model for Predicting Fire Spread in Wildland Fuels; Research Paper INT-RP-115; USDA Forest Service, Intermountain Forest and Range Experiment Station: Ogden, UT, USA, 1972.
- Weatherspoon, C.; McIver, J. A National Study of the Consequences of Fire and Fire Surrogate Treatments; USDA Forest Service Pacific Southwest Research Station: Redding, CA, USA, 2000.
- Youngblood, A.; Metlen, K.L.; Coe, K. Changes in Stand Structure and Composition after Restoration Treatments in Low Elevation Dry Forests of Northeastern Oregon. For. Ecol. Manag. 2006, 234, 143–163. [Google Scholar] [CrossRef]
- Western Regional Climate Center, Enterprise 20 NNE, Oregon—Climate Summary. Available online: http://www.wrcc.dri.edu/cgi-bin/cliMAIN.pl?or2678 (accessed on 25 April 2017).
- Youngblood, A.; Wright, C.S.; Ottmar, R.D.; McIver, J.D. Changes in Fuelbed Characteristics and Resulting Fire Potentials after Fuel Reduction Treatments in Dry Forests of the Blue Mountains, Northeastern Oregon. For. Ecol. Manag. 2008, 255, 3151–3169. [Google Scholar] [CrossRef]
- Johnston, J.D. Forest Successional and Disturbance Dynamics in the Southern Blue Mountains of Eastern Oregon; Oregon State University: Corvallis, OR, USA, 2016. [Google Scholar]
- Heyerdahl, E.K.; Brubaker, L.B.; Agee, J.K. Spatial Controls of Historical Fire Regimes: A Multiscale Example from the Interior West, USA. Ecology 2001, 82, 660–678. [Google Scholar] [CrossRef]
- Agee, J.K. Fire Ecology of Pacific Northwest Forests, 2nd ed.; Island Press: Washington, DC, USA, 1996; ISBN 978-1-55963-230-0. [Google Scholar]
- Brown, J.K. Handbook for Inventorying Downed Woody Material; US Department of Agriculture, Forest Service, Intermountain Forest and Range Experiment Station: Ogden, UT, USA, 1974; p. 16.
- McCaskill, G.L. The Hungry Bob Fire & Fire Surrogate Study: A 20-Year Evaluation of the Treatment Effects. Forests 2019, 10, 15. [Google Scholar] [CrossRef] [Green Version]
- Hungerford, R.D.; Harrington, M.G.; Frandsen, W.H.; Ryan, K.C.; Niehoff, G.J. Influence of Fire on Factors That Affect Site Productivity. In Proceedings of the Symposium on Management and Productivity of Western-Montane Forest Soils; US Department of Agriculture, Forest Service, Intermountain Research Station: Ogden, UT, USA, 1991; pp. 32–50. [Google Scholar]
- PRISM Climate Group. Oregon State University. 2016. Available online: http://prism.oregonstate.edu (accessed on 29 August 2016).
- Yuan, W.; Zheng, Y.; Piao, S.; Ciais, P.; Lombardozzi, D.; Wang, Y.; Ryu, Y.; Chen, G.; Dong, W.; Hu, Z.; et al. Increased Atmospheric Vapor Pressure Deficit Reduces Global Vegetation Growth. Sci. Adv. 2019, 5, eaax1396. [Google Scholar] [CrossRef] [Green Version]
- Pinheiro, J.; Bates, D.; DebRoy, S.; Sarkar, D.; R Core Team. Nlme: Linear and Nonlinear Mixed Effects Models; R Package Version 3.1-122; R Foundation for Statistical Computing: Vienna, Austria, 2015. [Google Scholar]
- R Core Team. R: A Language and Environment for Statistical Computing; R Foundation for Statistical Computing: Vienna, Austria, 2016. [Google Scholar]
- van Mantgem, P.J.; Lalemand, L.B.; Keifer, M.; Kane, J.M. Duration of Fuels Reduction Following Prescribed Fire in Coniferous Forests of U.S. National Parks in California and the Colorado Plateau. For. Ecol. Manag. 2016, 379, 265–272. [Google Scholar] [CrossRef]
- Hood, S.M.; Keyes, C.R.; Bowen, K.J.; Lutes, D.C.; Seielstad, C. Fuel Treatment Longevity in Ponderosa Pine-Dominated Forest 24 Years after Cutting and Prescribed Burning. Front. For. Glob. Chang. 2020, 3, 78. [Google Scholar] [CrossRef]
- Westlind, D.J.; Kerns, B.K. Long-Term Effects of Burn Season and Frequency on Ponderosa Pine Forest Fuels and Seedlings. Fire Ecol. 2017, 13, 42–61. [Google Scholar] [CrossRef]
- Chen, H.; Harmon, M.E.; Griffiths, R.P.; Hicks, W. Effects of Temperature and Moisture on Carbon Respired from Decomposing ‘ Woody Roots. For. Ecol. Manag. 2000, 138, 51–64. [Google Scholar] [CrossRef]
- Bull, E.L.; Parks, C.G.; Torgersen, T.R.; Bull, E.L.; Parks, C.G.; Torgersen, T.R. Trees and Logs Important to Wildlife in the Interior Columbia River Basin; PNW-GTR-391; US Department of Agriculture, Forest Service, Pacific Northwest Research Station: Portland, OR, USA, 1997.
- Hyde, J.C.; Smith, A.M.S.; Ottmar, R.D.; Alvarado, E.C.; Morgan, P. The Combustion of Sound and Rotten Coarse Woody Debris: A Review. Int. J. Wildland Fire 2011, 20, 163–174. [Google Scholar] [CrossRef] [Green Version]
- Stephens, S.L.; Moghaddas, J.J. Fuel Treatment Effects on Snags and Coarse Woody Debris in a Sierra Nevada Mixed Conifer Forest. For. Ecol. Manag. 2005, 214, 53–64. [Google Scholar] [CrossRef]
- Keane, R.E. Describing Wildland Surface Fuel Loading for Fire Management: A Review of Approaches, Methods and Systems. Int. J. Wildland Fire 2013, 22, 51–62. [Google Scholar] [CrossRef]
- Crotteau, J.S.; Keyes, C.R.; Hood, S.M.; Affleck, D.L.R.; Sala, A. Fuel Dynamics after a Bark Beetle Outbreak Impacts Experimental Fuel Treatments. Fire Ecol. 2018, 14, 13. [Google Scholar] [CrossRef]
- Moritz, M.A.; Batllori, E.; Bradstock, R.A.; Gill, A.M.; Handmer, J.; Hessburg, P.F.; Leonard, J.; McCaffrey, S.; Odion, D.C.; Schoennagel, T.; et al. Learning to Coexist with Wildfire. Nature 2014, 515, 58–66. [Google Scholar] [CrossRef]




Publisher’s Note: MDPI stays neutral with regard to jurisdictional claims in published maps and institutional affiliations. |
© 2021 by the authors. Licensee MDPI, Basel, Switzerland. This article is an open access article distributed under the terms and conditions of the Creative Commons Attribution (CC BY) license (https://creativecommons.org/licenses/by/4.0/).
Share and Cite
Morici, K.E.; Bailey, J.D. Long-Term Effects of Fuel Reduction Treatments on Surface Fuel Loading in the Blue Mountains of Oregon. Forests 2021, 12, 1306. https://doi.org/10.3390/f12101306
Morici KE, Bailey JD. Long-Term Effects of Fuel Reduction Treatments on Surface Fuel Loading in the Blue Mountains of Oregon. Forests. 2021; 12(10):1306. https://doi.org/10.3390/f12101306
Chicago/Turabian StyleMorici, Kat E., and John D. Bailey. 2021. "Long-Term Effects of Fuel Reduction Treatments on Surface Fuel Loading in the Blue Mountains of Oregon" Forests 12, no. 10: 1306. https://doi.org/10.3390/f12101306
APA StyleMorici, K. E., & Bailey, J. D. (2021). Long-Term Effects of Fuel Reduction Treatments on Surface Fuel Loading in the Blue Mountains of Oregon. Forests, 12(10), 1306. https://doi.org/10.3390/f12101306

