Microclimatic Tipping Points at the Beech–Oak Ecotone in the Western Romanian Carpathians
Abstract
1. Introduction
2. Materials and Methods
2.1. Study Sites and Microclimate Measurements
2.2. Data Analysis
3. Results
4. Discussion
5. Conclusions
Author Contributions
Funding
Acknowledgments
Conflicts of Interest
Appendix A



References
- Hauck, M.; Leuschner, C.; Homeier, J. Klimawandel und Vegetation-Eine Globale Übersicht; Springer Spektrum: Berlin, Germany, 2020; p. 364. [Google Scholar]
- Schuldt, B.; Buras, A.; Arend, M.; Vitasse, Y.; Beierkuhnlein, C.; Damm, A.; Gharung, M.; Grams, T.E.E.; Hauck, M.; Hajek, P.; et al. A first assessment of the impact of the extreme 2018 summer drought on Central European forests. Basic Appl. Ecol. 2020, 45, 86–103. [Google Scholar] [CrossRef]
- Bohn, U.; Neuhäusl, R.; Gollub, G.; Hettwer, C.; Neuhäuslová, Z.; Raus, T.; Weber, H. Map of the Natural Vegetation of Europe; Scale 1: 2500000; Landwirtschaftsverlag: Münster, Germany, 2000/2003. [Google Scholar]
- Leuschner, C.; Ellenberg, H. Ecology of Central European Forests: Vegetation Ecology of Central Europe, Version 6th; Springer Nature: Cham, Switzerland, 2017; Volume I, p. 971. [Google Scholar]
- Horvat, I.; Glavač, V.; Ellenberg, H. Vegetation of South-Eastern Europe; G. Fischer Verlag: Stuttgart, Germany, 1974. (In German) [Google Scholar]
- Doniţă, N.; Bândiu, C.; Biriş, I.A.; Gancz, V.; Apostol, J.; Marcu, C. Harta Forestieră a României pe Unităţi Ecosistemice, Scara 1:500 000/Forest Map of Romania—Based on Forest Ecosystem Types; scale 1:500 000; Edi-tura Silvică: Bucharest, Romania, 2018. [Google Scholar]
- Coldea, G.; Indreica, A.; Oprea, A. Les Associations Végétales de Roumanie: Les Associations Forestiéres et Arbustives; Presa Universitară Clujeană: Cluj-Napoca, Romania, 2015; Volume 3. [Google Scholar]
- Ellenberg, H. Vegetation Mitteleuropas Mit den Alpen in Kausaler, Dynamischer und Historischer Sicht, 1st ed.; Ulmer: Stuttgart, Germany, 1963. [Google Scholar]
- Czucz, B.; Galhidy, L.; Matyas, C. Present and forecasted xeric climatic limits of beech and sessile oak distribution at low altitudes in Central Europe. Ann. For. Sci. 2011, 68, 99–108. [Google Scholar] [CrossRef]
- Stojanović, D.B.; Kržič, A.; Matović, B.; Orlović, S.; Duputie, A.; Djurdjević, V.; Galić, Z.; Stojnić, S. Prediction of the European beech (Fagus sylvatica L.) xeric limit using a regional climate model: An example from southeast Europe. Agric. For. Meteorol. 2013, 176, 94–103. [Google Scholar] [CrossRef]
- Mátyás, C.; Berki, I.; Czúcz, B.; Gálos, B.; Móricz, N.; Rasztovits, E. Future of beech in Southeast Europe from the perspective of evolutionary ecology. Acta Silv. Lignaria Hung. 2010, 6, 91–110. [Google Scholar]
- Jahn, G. Temperate deciduous forests of Europe. In Ecosystems of the World—Temperate Deciduous Forests, 2nd ed.; Röhrig, E., Ulrich, B., Eds.; Elsevier: Amsterdam, The Netherlands, 1991; Volume 7, pp. 377–502. [Google Scholar]
- Mette, T.; Dolos, K.; Meinardus, C.; Bräuning, A.; Reineking, B.; Blaschke, M.; Pretzsch, H.; Beierkuhnlein, C.; Gohlke, A.; Wellstein, C. Climatic turning point for beech and oak under climate change in Central Europe. Ecosphere 2013, 4, 12. [Google Scholar] [CrossRef]
- Zebisch, M.; Grothmann, T.; Schroeter, D.; Hasse, C.; Fritsch, U.; Cramer, W. Climate Change in Germany. Vulnerability and Adaptation of Climate Sensitive Sectors; Federal Environmental Agency (Umweltbundesamt): Dessau, Germany, 2005. [Google Scholar]
- Schär, C.; Vidale, P.; Lüthi, D.; Frei, C.; Häberli, C.; Liniger, M.A.; Appenzeller, C. The role of increasing temperature variability in European summer heatwaves. Nature 2004, 427, 332–336. [Google Scholar] [CrossRef]
- Vorläufiger Rückblick Auf den Sommer 2018—Eine Bilanz Extremer Wetterereignisse. Available online: https://www.dwd.de/DE/leistungen/besondereereignisse/temperatur/20180803_bericht_sommer2018.pdf (accessed on 26 March 2020).
- World Weather Attribution. Heatwave in Northern Europe, Summer 2018, 28 July 2018, University of Oxford. Available online: https://www.worldweatherattribution.org/attribution-of-the-2018-heat-in-northern-europe/ (accessed on 15 March 2020).
- Friedrich, K.; Kaspar, F. Rückblick Auf das Jahr 2018—Das Bisher Wärmste Jahr in Deutschland, Deutscher Wetterdienst., Offenbach. 2019. Available online: https://www.dwd.de/DE/leistungen/besondereereignisse/temperatur/20190102_waermstes_jahr_in_deutschland_2018.pdf?__blob=publicationFile&v=2 (accessed on 19 February 2020).
- Meinert, T.; Becker, A.; Bissolli, P.; Daßler, J.; Breidenbach, J.N.; Ziese, M. Stand: Ursachen und Folgen der Trockenheit in Deutschland und Europa ab Juni 2019, Deutscher Wetterdienst, Offenbach, 12 July 2019. Available online: https://www.dwd.de/DE/leistungen/besondereereignisse/duerre/20190712_trockenheit_juni_juli_2019.html?nn=16102 (accessed on 26 March 2020).
- Peltzer, D.; Polle, A. Diurnal fluctuations of antioxidative systems in leaves of fieldgrown beech trees (Fagus sylvatica): Responses to light and temperature. Physiol. Plant. 2001, 111, 158–163. [Google Scholar] [CrossRef]
- Raftoyannis, Y.; Radoglou, K. Physiological responses of beech and sessile oak in a natural mixed stand during dry summer. Ann. Bot. 2002, 89, 723–730. [Google Scholar] [CrossRef]
- Lendzion, J.; Leuschner, C. Growth of European beech (Fagus sylvatica L.) saplings is limited by elevated atmospheric vapour pressure deficits. For. Ecol. Manag. 2008, 256, 648–655. [Google Scholar] [CrossRef]
- Granier, A.; Reichstein, M.; Bréda, N.; Janssens, I.A.; Falge, E.; Ciais, P.; Grünwald, T.; Aubinet, M.; Berbigier, P.; Bernhofer, C.; et al. Evidence for soil water control on carbon and water dynamics in European forests during the extremely dry year: 2003. Agric. For. Meteorol. 2007, 143, 123–145. [Google Scholar] [CrossRef]
- Aranda, I.; Gil, L.; Pardos, J. Seasonal water relations of three broadleaved species (Fagus sylvatica L., Quercus petraea (Mattuschka) Liebl. and Quercus pyrenaica Willd.) in a mixed stand in the centre of the Iberian Peninsula. For. Ecol. Manag. 1996, 84, 219–229. [Google Scholar] [CrossRef]
- Lindner, M.; Fitzgerald, J.B.; Zimmermann, N.E.; Reyer, C.; Delzon, S.; van der Maaten, E.; Schelhaas, M.-J.; Lasch, P.; Eggers, J.; van der Maaten-Theunissen, M.; et al. Climate change and European forests: What do we know, what are the uncertainties, and what are the implications for forest management? J. Environ. Manag. 2014, 146, 69–83. [Google Scholar] [CrossRef]
- Zimmermann, J.; Hauck, M.; Dulamsuren, C.; Leuschner, C. Climate warming-related growth decline affects Fagus sylvatica, but not other broad-leaved tree species in Central European mixed forests. Ecosystems 2015, 18, 560–572. [Google Scholar] [CrossRef]
- Rüther, C.; Walentowski, H. Tree species composition and historic changes of the Central European oak/ beech region. In Canopy Arthropod Research in Europe; Floren, A., Schmidl, J., Eds.; Bioform Entomology: Nuremberg, Germany, 2008; pp. 61–88. [Google Scholar]
- Schall, P.; Ammer, C. How to quantify forest management intensity in Central European forests. Eur. J. For. Res. 2013, 132, 379–396. [Google Scholar] [CrossRef]
- Indreica, A.; Teodosiu, M.; Petriţan, A.M.; Öder, V.; Kasper, J.; Bergmeier, E.; Leuschner, C.; Gailing, O.; Hohnwald, S.; Wildhagen, H.; et al. Nemoral Deciduous Forests under Climatic Extremes—Phytosociological Studies along Climatic Gradients in SW Romania. In Proceedings of the 8th Edition of the Biennial International Symposium “Forest and Sustainable Development”, Braşov, Romania, 25–27 October 2018; Transilvania University Press: Braşov, Romania, 2019; pp. 139–148. [Google Scholar]
- Kölling, C.; Zimmermann, L. Klimawandel gestern und morgen. LWF Aktuell 2014, 99, 27–31. [Google Scholar]
- Heinrichs, S.; Walentowski, H.; Bergmeier, E.; Mellert, K.H.; Indreica, A.; Kuzyakov, Y.; Leuschner, C.; Petrițan, A.M.; Teodosiu, M. Forest vegetation in western Romania in relation to climate variables: Does community composition reflect modelled tree species distribution? Ann. For. Res. 2016, 59, 219–236. [Google Scholar] [CrossRef][Green Version]
- Maruşca, T. Elemente de Gradientică şi Ecologie Montană; Editura Universităţii Transilvania din Braşov. Ediţia a II-a, ICDP: Braşov, Romania, 2017. (In Romanian) [Google Scholar]
- Measurement Systems Ltd. 2020. Available online: https://www.measurementsystems.co.uk/data-logging/miniature_temperature_loggers/ds1923_hygrochron_temperature_humidity_data_logger (accessed on 10 January 2020).
- Climate-Data.org. Romania Climate. 2020. Available online: https://en.climate-data.org/europe/romania-185/ (accessed on 8 June 2020).
- Xu, J.; Wei, Q.; Peng, S.; Yu, Y. Error of saturation vapor pressure calculated by different formulas and its effect on calculation of reference evapotranspiration in high latitude cold regions. Procedia Eng. 2012, 28, 43–48. [Google Scholar] [CrossRef]
- World Meteorological Organization. General Meteorological Standards and Recommended Practices; Appendix A, WMO Technical Regulations 49: Geneva, Switzerland, 2006. [Google Scholar]
- R Core Team R: A language and environment for statistical computing. R Foundation for Statistical Computing, Vienna, Austria. 2015. Available online: https://www.R-project.org/ (accessed on 23 May 2020).
- Hagemeier, M.; Leuschner, C. Leaf and crown optical properties of five early-, mid-and late-successional temperate tree species and their relation to sapling light demand. Forests 2019, 10, 925. [Google Scholar] [CrossRef]
- Köcher, P.; Horna, V.; Leuschner, C. Stem water storage in five coexisting temperate broad-leaved tree species: Significance, temporal dynamics and dependence on tree functional traits. Tree Physiol. 2013, 33, 817–832. [Google Scholar] [CrossRef]
- Dulamsuren, C.; Hauck, M.; Kopp, G.; Ruff, M.; Leuschner, C. European beech responds to climate change with growth decline at lower, and growth increase at higher elevations in the center of its distribution range (SW Germany). Trees 2017, 31, 673–686. [Google Scholar] [CrossRef]
- Tüxen, R. Unser Buchenwald im Jahresverlauf. Beih. Veröff. Nat. Landsch. Bad.-Württ. 1986, 47, 1–128. [Google Scholar]
- Korpel, S. Die Urwälder der Westkarpaten; Gustav Fischer: Stuttgart, Germany, 1995; p. 310. [Google Scholar]
- Brunet, J.; Fritz, Ö.; Richnau, G. Biodiversity in European beech forests—A review with recommendations for sustainable forest management. Ecol. Bull. 2010, 53, 77–94. [Google Scholar] [CrossRef]
- Schulze, E.D. Der CO2-Gaswechsel der Buche (Fagus silvatica L.) in Abhängigkeit von den Klimafaktoren im Freiland. Flora 1970, 159, 177–232. [Google Scholar] [CrossRef]
- Körner, C. Leaf diffusive conductances in major vegetation types of the globe. In Ecophysiology of Photosynthesis; Springer study edition 100; Schulze, E.-D., Caldwell, M.M., Eds.; Springer: Berlin/Heidelberg, Germany, 1995; pp. 463–490. [Google Scholar] [CrossRef]
- Bolte, A.; Czajkowski, T.; Kompa, T. The north-eastern distribution range of European beech—A review. Forestry 2007, 80, 413–429. [Google Scholar] [CrossRef]






| Transect | Unit | Milova | Maciova | Eşelniţa |
|---|---|---|---|---|
| Nearest localities | Lipova (126 m) | Mâtnicu Mare (181 m) | Bârza (98 m) | |
| Mean annual temperature | °C | 10.8 | 10.7 | 11.1 |
| Minimum temperature of coldest month | °C | −4.5 | −4.0 | −3.3 |
| Mean temperature of warmest quarter | °C | 20.3 | 20.0 | 20.7 |
| Mean annual precipitation | mm | 604 | 639 | 621 |
| Precipitation of warmest quarter | mm | 201 | 218 | 202 |
| Measuring Points | Acronym | Eleva-tion a. s. l. (m) | Measuring Period 2019 | Number of Full Days | EQ |
|---|---|---|---|---|---|
| Transect 1—Milova | |||||
| Oak forest | Oa | 298 | 19.6.–23.7. | 35 | 29.0 |
| Oak/beech ecotone (lower) | Oa/Be(lo) | 407 | 20.6.–24.7. | 35 | 26.7 |
| Oak/beech ecotone (upper) | Oa/Be(up) | 487 | 20.6.–24.7. | 35 | 24.9 |
| Beech forest | Be | 504 | 20.6.–24.7. | 35 | 24.6 |
| Beech forest N-slope | Be(N) | 412 | 20.6.–24.7. | 35 | |
| Gap | Ga | 234 | 20.6.–23.7. | 34 | |
| Transect 2—Maciova | |||||
| Oak forest | Oa | 334 | 18.6.–22.7. | 35 | 28.3 |
| Oak/beech ecotone (lower) | Oa/Be(lo) | 450 | 17.6.–22.7. | 36 | 25.6 |
| Oak/beech ecotone (upper) | Oa/Be(up) | 594 | 18.6.–22.7. | 35 | 22.7 |
| Beech forest | Be | 593 | 18.6.–22.7. | 35 | 22.7 |
| Beech forest N-slope | Be(N) | 359 | 21.6.–22.7. | 32 | |
| Gap | Ga | 370 | 18.6.–22.7. | 35 | |
| Transect 3—Eşelniţa | |||||
| Oak forest | Oa | 563 | 16.6.–27.7. | 42 | 23.1 |
| Oak/beech ecotone (lower) | Oa/Be(lo) | 623 | 15.6.–26.7. | 42 | 22.0 |
| Oak/beech ecotone (upper) | Oa/Be(up) | 657 | 16.6.–26.7. | 41 | 21.4 |
| Beech forest | Be | 877 | 16.6.–26.7. | 41 | 18.1 |
| Beech forest N-slope | Be(N) | 601 | 15.6.–26.7. | 42 | |
| Gap | Ga | 580 | 15.6.–26.7. | 42 |
| N | Mean of Whole Period 10,672 | Daytime Mean 6168 | Mean Daily Maximum 112 | Absolute Maximum 3 | Daytime Mean (Cloudless) 2939 | Mean Daily Maximum (Cloudless) 60 |
|---|---|---|---|---|---|---|
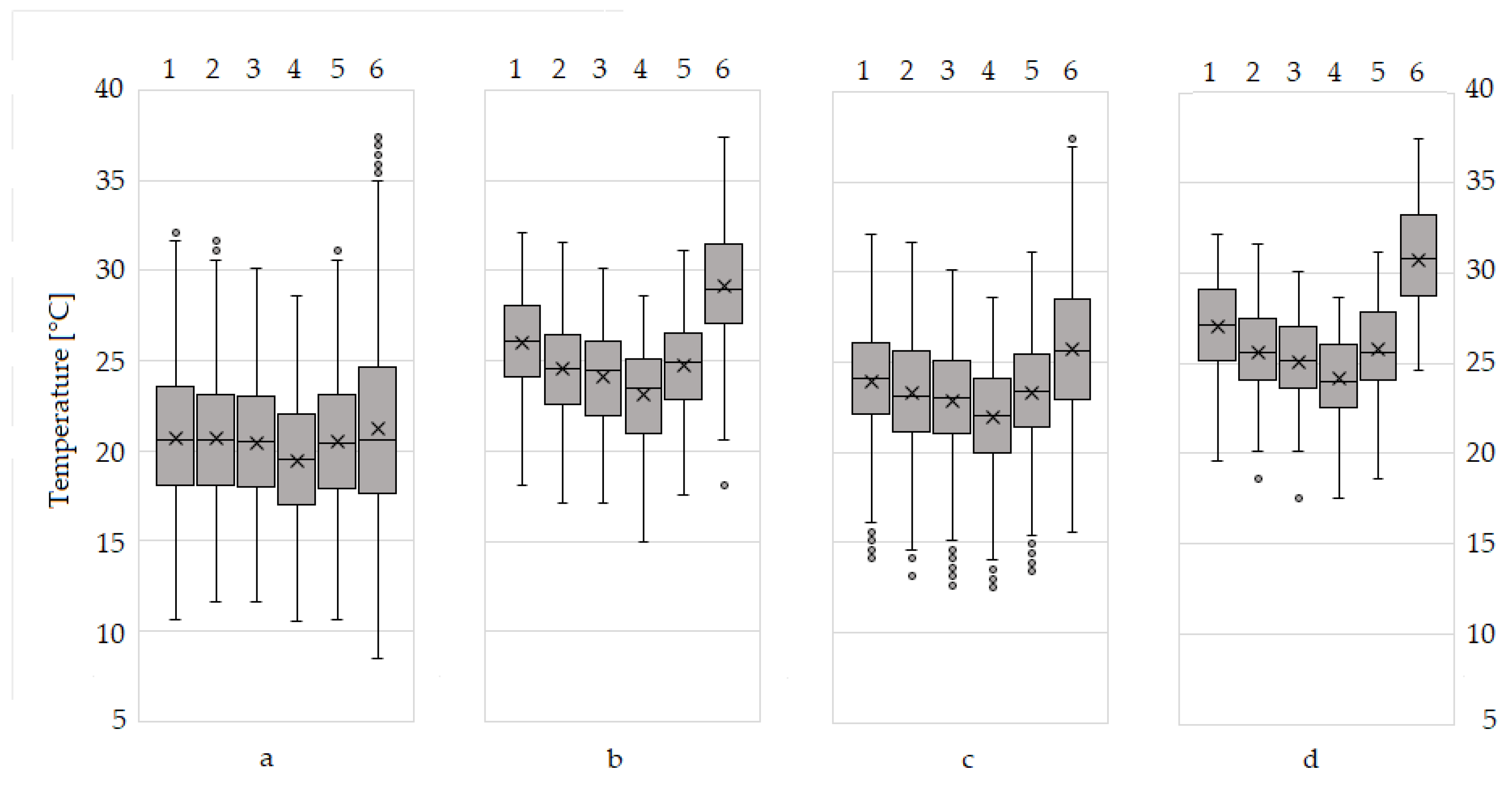
| Oa | 20.7 (0.04) a | 22.7 (0.04) a | 26.0 (0.27) a | 31.8 (0.17) a | 23.9 (0.06) a | 27.0 (0.34) a |
| Oa/Be(lo) | 20.6 (0.03) a | 22.0 (0.04) b | 24.6 (0.26) b,e | 30.3 (0.69) a,b | 23.3 (0.06) b | 25.6 (0.32) a,b,c |
| Oa/Be(up) | 20.4 (0.03) b | 21.7 (0.04) c | 24.1 (0.26) b | 29.4 (0.35) b | 22.8 (0.06) c | 25.1 (0.34) b,c |
| Be | 19.5 (0.03) c | 20.7 (0.04) d | 23.1 (0.26) c | 28.5 (0.06) b | 22.0 (0.06) d | 24.1 (0.32) c |
| Be(N) | 20.5 (0.03) b | 22.1 (0.04) b | 24.8 (0.27) e | 30.2 (0.46) a,b | 23.3 (0.05) b | 25.8 (0.36) a,b |
| Ga | 21.2 (0.05) d | 23.8 (0.05) e | 29.1 (0.33) d | 35.0 (1.56) a,b | 25.7 (0.07) e | 30.7 (0.39) d |
| N | Mean of Whole Period 10,672 | Daytime Mean 6168 | Mean Daily Minimum 112 | Absolute Minimum 3 | Daytime Mean (Cloudless) 2939 | Mean daily Minimum (Cloudless) 60 |
|---|---|---|---|---|---|---|
| Oa | 72.7 (0.14) a | 66.8 (0.18) a | 52.7 (1.04) a | 34.8 (1.85) a,b,c | 64.2 (0.26) a | 49.6 (0.34) a |
| Oa/Be(lo) | 70.7 (0.14) b | 67.4 (0.17) b | 55.3 (1.00) b | 38.4 (1.10) a,c | 65.1 (0.24) b | 52.3 (0.32) a,b |
| Oa/Be(up) | 68.9 (0.13) c | 66.5 (0.17) a | 54.6 (1.02) a,b | 37.2 (0.75) a,b | 65.7 (0.25) b,e | 53.5 (0.34) b |
| Be | 71.6 (0.13) d | 69.5 (0.15) c | 58.0 (0.99) b | 40.9 (0.35) c | 67.0 (0.22) c | 54.8 (0.32) b |
| Be(N) | 71.5 (0.13) d | 67.8 (0.16) e | 56.2 (1.01) b | 38.0 (1.50) a,b,c | 65.8 (0.23) e | 53.1 (0.36) b |
| Ga | 70.8 (0.16) b | 63.2 (0.18) d | 46.1 (0.88) c | 32.0 (0.98) b | 58.8 (0.25) d | 42.9 (0.39) c |
| N | Mean of Whole Period 10,672 | Daytime Mean 5398 | Mean Daily Maximum 111 | Absolute Maximum 3 | Daytime Mean (Cloudless) 2939 | Mean Daily Maximum (Cloudless) 59 | vpd Sums of Daytime Period (Cloudless) |
|---|---|---|---|---|---|---|---|
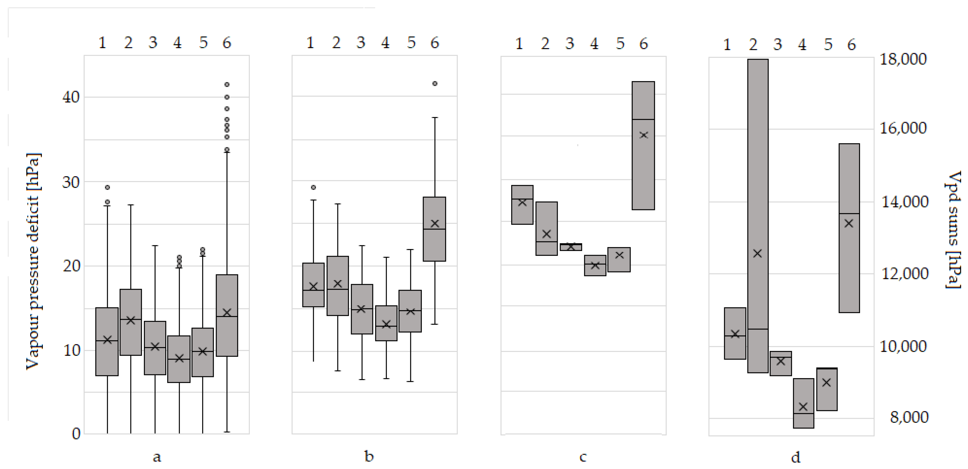
| Oa | 7.4 (0.05) a | 9.9 (0.07) a | 14.7 (0,48) a | 27.3 (1.33) a | 11.3 (0.10) a | 17.6 (0.57) a | 103.5 (0.14) a |
| Oa/Be(lo) | 11.2 (0.06) b | 12.6 (0.08) b | 16.6 (0.50) b | 23.7 (1.85) a,c | 13.5 (0.11) b | 17.7 (0.61) a | 125.6 (0.89) a,b |
| Oa/Be(up) | 8.0 (0.04) c | 9.2 (0.06) c | 13.5 (0.41) a,e | 22.2 (0.23) a,c | 10.4 (0.08) c | 15.0 (0.51) b | 95.9 (0.65) a,b |
| Be | 6.8 (0.04) d | 7.8 (0.05) d | 11.8 (0.36) c | 19.9 (0.69) b,c,d | 9.1 (0.07) d | 13.2 (0.44) c | 83.3 (0.14) b |
| Be(N) | 7.3 (0.04) a | 9.0 (0.06) e | 13.5 (0.37) e | 21.1 (0.98) b,c,d | 9.8 (0.07) f | 14.6 (0.43) b | 90.0 (0.13) a,b |
| Ga | 8.6 (0.06) e | 12.5 (0.09) b | 22.1 (0.63) d | 35.1 (4.50) ad | 14.5 (0.13) e | 25.0 (0.77) d | 134.0 (0.45) a |
| Variable | Oa | Oa/Be(lo) | Oa/Be(up) | Be | Be(N) | Ga |
|---|---|---|---|---|---|---|
| T-mean of whole period | 2 | 3 | 5 | 6 | 4 | 1 |
| T-daytime mean | 2 | 4 | 5 | 6 | 3 | 1 |
| T-daily maximum | 2 | 4 | 5 | 6 | 3 | 1 |
| T-absolute maximum | 2 | 3 | 5 | 6 | 4 | 1 |
| T-daytime mean (cloudless) | 2 | 3 | 5 | 6 | 4 | 1 |
| T-daily maximum (cloudless) | 2 | 4 | 5 | 6 | 3 | 1 |
| RH-mean of whole period | 6 | 2 | 1 | 5 | 4 | 3 |
| RH-daytime mean | 3 | 4 | 2 | 6 | 5 | 1 |
| RH-daily minimum | 2 | 4 | 3 | 6 | 5 | 1 |
| RH-absolute minimum | 2 | 5 | 3 | 6 | 4 | 1 |
| RH-daytime mean (cloudless) | 2 | 3 | 4 | 6 | 5 | 1 |
| RH-daily minimum (cloudless) | 2 | 3 | 5 | 6 | 4 | 1 |
| vpd-mean of whole period | 4 | 1 | 3 | 6 | 5 | 2 |
| vpd-daytime mean | 3 | 1 | 4 | 6 | 5 | 2 |
| vpd-daily maximum | 3 | 2 | 4 | 6 | 5 | 1 |
| vpd-absolute minimum | 2 | 3 | 4 | 6 | 5 | 1 |
| vpd-daytime mean (cloudless) | 3 | 2 | 4 | 6 | 5 | 1 |
| vpd-daily maximum (cloudless) | 3 | 2 | 4 | 6 | 5 | 1 |
| vpd-sum of cloudless days | 3 | 2 | 4 | 6 | 5 | 1 |
| Mean score | 2.6 | 2.8 | 3.9 | 5.9 | 4.4 | 1.2 |
© 2020 by the authors. Licensee MDPI, Basel, Switzerland. This article is an open access article distributed under the terms and conditions of the Creative Commons Attribution (CC BY) license (http://creativecommons.org/licenses/by/4.0/).
Share and Cite
Hohnwald, S.; Indreica, A.; Walentowski, H.; Leuschner, C. Microclimatic Tipping Points at the Beech–Oak Ecotone in the Western Romanian Carpathians. Forests 2020, 11, 919. https://doi.org/10.3390/f11090919
Hohnwald S, Indreica A, Walentowski H, Leuschner C. Microclimatic Tipping Points at the Beech–Oak Ecotone in the Western Romanian Carpathians. Forests. 2020; 11(9):919. https://doi.org/10.3390/f11090919
Chicago/Turabian StyleHohnwald, Stefan, Adrian Indreica, Helge Walentowski, and Christoph Leuschner. 2020. "Microclimatic Tipping Points at the Beech–Oak Ecotone in the Western Romanian Carpathians" Forests 11, no. 9: 919. https://doi.org/10.3390/f11090919
APA StyleHohnwald, S., Indreica, A., Walentowski, H., & Leuschner, C. (2020). Microclimatic Tipping Points at the Beech–Oak Ecotone in the Western Romanian Carpathians. Forests, 11(9), 919. https://doi.org/10.3390/f11090919

