Abstract
Continuous cover forestry (CCF) aims to emulate small natural disturbances and take advantage of natural regeneration. To implement these management practices successfully, knowledge of advance regeneration under the canopy in different conditions is crucial. Therefore, the aim of this study was to assess the influence of stand inventory parameters of canopy layer (age, basal area, height, and density) on the probability and density of advance regeneration of the Norway spruce (Picea abies (L.) H. Karst.) and Scots pine (Pinus sylvestris L.) in hemiboreal forests in Latvia. The data were obtained from the National Forest Inventory, from a total of 879 plots. In the study, only Norway spruce or Scots pine dominated stands were used and the sampled stand age ranged from 21 to 218 years. The probability of advance regeneration differed between stands dominated by Scots pine versus Norway spruce. The probability and density of the advance regeneration of Norway spruce were positively linked to increased stand age, whereas the probability of the advance regeneration of Scots pine was negatively linked to the basal area of the stand. In stands dominated by Norway spruce and Scots pine on mesic soils, the advance regeneration of Norway spruce has a high density, whereas the advance regeneration of Scots pine is sporadic and scarce.
1. Introduction
A deeper ecological understanding of the structural and functional complexity of forest ecosystems has led to specific management implications and increasing awareness that forests should be governed as complex adaptive systems [1,2,3]. Ecosystem-based silviculture approaches promote the improvement of adaptability of forest ecosystems and increase the resilience of forests to future uncertainties related to climatic, social, and economic challenges [4]. The concepts of management approaches such as close-to-nature or continuous cover silviculture systems first appeared in the 18th and 19th century in Central Europe when overexploited monocultures failed to maintain forest vitality and soil fertility [5]. The first book in which small-scale group selection was suggested as way to maintained structural diversity of mixed stands by Karl Gayer was published at the end of 19th century [6]. his concept was further developed by Engler [7], Möller [8], Mlinšek [9], and Schütz [10,11,12]. Continuous cover forestry (CCF) aims to emulate the small-scale tree mortality pattern (gap/patch dynamics) to maintain forest stands, soil integrity, and productivity [5,13]. The CCF system relies on natural regeneration, which preserves the genetic variation of the local gene pools in a tree population [14,15] and the costs of establishment are low [16,17]. The advance regeneration will form a new stand in a canopy layer opening, which is created by selective cutting [18]; hence, occurrence and specific traits are crucially important for the success of CCF [19].
The overall regeneration pattern of trees species can be characterized by species-specific resource-use strategies based on morphophysiological and ecological traits [20]. In hemiboreal forest zones in Latvia, Scots pine (Pinus sylvestris L.) and Norway spruce (Picea abies (L.) H. Karst.) are the two most common coniferous tree species which grow in pure and mixed stands according to the National Forest Inventory (NFI) [21,22]. Scots pine is a light-demanding tree species adapted to growth in low-nutrient habitats [23]. Wave-like regeneration of Scots pine has been observed following natural or human-made disturbances which expose bare mineral soil and substantially increase light availability for the understory [24,25,26,27,28]. As a light-demanding tree species, advance regeneration of Scots pine only develop under a low-density canopy [29,30]. For example, in the Caledonian pinewoods of Scotland, on dry podzolic soils, the optimal canopy tree density for natural Scots pine regeneration was 63 trees per hectare, but on wet soils, 20 trees per hectare [29]. In Sweden, the ingrowth of Scots pine occurs when the basal area of the canopy layer is 4 to 8 m2 ha−1, and in the case of a higher basal area, the ingrowth success of pine drastically decreases [30]. As a light-demanding tree species, Scots pine more strongly responds to increasing radiation than does a shade-tolerant tree species like the Norway spruce [31]. Shade-tolerant tree species have a lower specific leaf mass, photosynthetic rate at saturation, root-to-shoot ratio, and light compensation point than light-demanding tree species [32]. In contrast to Scots pine, Norway spruce seedlings successfully recruit and develop under partial shade conditions [33,34,35,36]. These characteristics help the trees to establish and survive for a longer time period in shaded understory [18]. Small gaps in the canopy facilitate the regeneration of shade-tolerant tree species such as Norway spruce, rowan (Sorbus aucuparia L.) [29], European beech (Fagus sylvatica L.), and silver fir (Abies alba Mill.) [37].
Stand characteristics (basal area, species composition, and age) significantly affect advanced regeneration patterns. Canopy trees influence the biotic and abiotic site variables, like light transmittance [18,29,35,38,39,40,41], below-ground root competition for water and nutrients [42,43], soil organic layer, litter accumulation [44], and seed crop yield [19], which are important factors in determining establishment, growth, and survival of advance regeneration. The development of advance regeneration is significantly altered by disturbances (natural or human-made) which create openings in canopy layer [45,46,47]. Thinnings of the canopy of various intensities are an efficient way to improve the establishment and growth of advance regeneration [43,48] as well as to maintain regeneration for tree species with different shade tolerances [49].
In the eastern Baltic Sea region, forests are commonly managed using the clear-cutting system [50,51]. However, in many forest areas, clear-cuts are forbidden due to nature protections and recreation as the primary management objectives [52]. Hence, these forests are likely to be managed according to the CCF principles. To provide the best results, management guidelines for the CCF system must be adjusted to the local (ecological and economic) conditions [5,53]. In the hemiboreal forest zone, several studies have been conducted to analyse the height growth of advance regeneration of Scots pine [54] and Norway spruce following partial harvest, clear-cut, or windthrow [55,56,57,58]. However, the information about the relationships between stand characteristics (dominant tree species, basal area, and stand age) and the occurrence of advance regeneration is limited in hemiboreal forests. Therefore, the aim of our study was to assess the influence of the stand inventory parameters on the occurrence and density of advance regeneration of Norway spruce and Scots pine. Such information would be of vital importance of the silvicultural recommendations as well as the modeling of stand development to compare different alternatives in strategic planning and policy decision making. We hypothesised that the probability of advance regeneration is similar in stands dominated by Norway spruce and Scots pine. We also hypothesised that based on stand age, the density and probability of the advance regeneration could be characterized.
2. Materials and Methods
2.1. Study Area and Sample Design
Latvia is located in the hemiboreal forest zone, 55°–58° N, 21°–28° E [22]. According to the NFI, forests cover approximately 52% of its territory. The most common tree species are Scots pine, birch (Betula pendula Roth and B. pubescens Ehrh.), and Norway spruce, and they comprise 28.3%, 27.8%, and 17.6% of the total forest area, respectively [21]. According to the Latvian Environment, Geology, and Meteorology Centre, during 1981–2010, the mean annual temperature was 6.4 °C. The coldest month was February, with a mean temperature of −3.7 °C, and the warmest month was July, with a mean temperature of 17.4 °C. The mean annual precipitation amount was 692 mm and the wettest months were July and August, with 77 and 76 mm of precipitation, respectively.
We selected stands dominated by Norway spruce or Scots pine (>50% of the stand basal area), growing in mesotrophic soil conditions with a normal moisture regime (Hylocomniosa and Oxalidosa forest type). These are the two most common site types in Latvia, occupying ~42% of the total forest area, according to NFI [21]. In these forest site types, the herbaceous layer is dominated by common wood sorrel (Oxalis acetosella) and European blueberries (Vaccinium myrtillus) but the moss layer by glittering woodmoss (Hylocomium splendens), and wind-blown mosses (Dicranum spp.) [59]. In this study, we used NFI data [21]. The NFI sampling plots are systematically placed to cover all territory of Latvia. Additional sampling plots were established in old-growth Norway spruce and Scots pine-dominated stands in nature protection areas where could be observed multi-cohort structure, deadwood of different sizes and decay classes and no indication about past management activities could be observed [60], and mean stand age corresponded to over-mature forests according to NFI [21]. Depending on tree size at the breast height (dbh), trees were measured at four different subplot levels [42]. The size of the main sampling plot was 500 m2, where all trees with a dbh greater than 14 cm were measured. The advance regeneration (dbh < 2.1 cm) was identified in a subplot of 60 m2 (20 × 3 m), which was systematically placed at the centre of the main sampling plot. Trees with dbh 6.1–14.0 cm were measured in a subplot of 100 m2 within the main sampling plot. Trees with dbh 2.1–6.0 cm were measured in a subplot of 25 m2 within the main sampling plot. The height of five trees of each tree species from the canopy and understory layers were measured. In our study, we selected, in total, 879 plots (measured during period 2014–2018) (Figure 1). The age of the studied stands ranged from 21 to 218 years.
Figure 1.
The locations of the sampling plots in the territory of Latvia.
2.2. Data Analysis
We tested the effect of the five explanatory parameters of the stand canopy layer (age, height, diameter, basal area, and density) and their interaction with the dominant tree species regarding the probability and density of advance regeneration. Each stand inventory parameter was included in a separate model as the multicollinearity is high between the explanatory variables. To assess the effects of stand properties on the probability of advance regeneration (presence/absence), we applied a binomial generalized linear model (GLM). To assess the effects of the stand properties on the density of advance regeneration, we implemented linear regression. To fit a normal distribution and reduce the data heterogeneity, the density values were log transformed. The separate models were built to investigate the effects of explanatory variables on the density and the probability of advance regeneration in general (including all tree species) and specifically for the advance regeneration of Scots pine and Norway spruce. The best model was selected based on the Akaike information criterion value (AIC) [61]. All calculations were completed using R, v3.5.0 (R Foundation for Statistical Computing, Vienna, Austria) [62].
3. Results
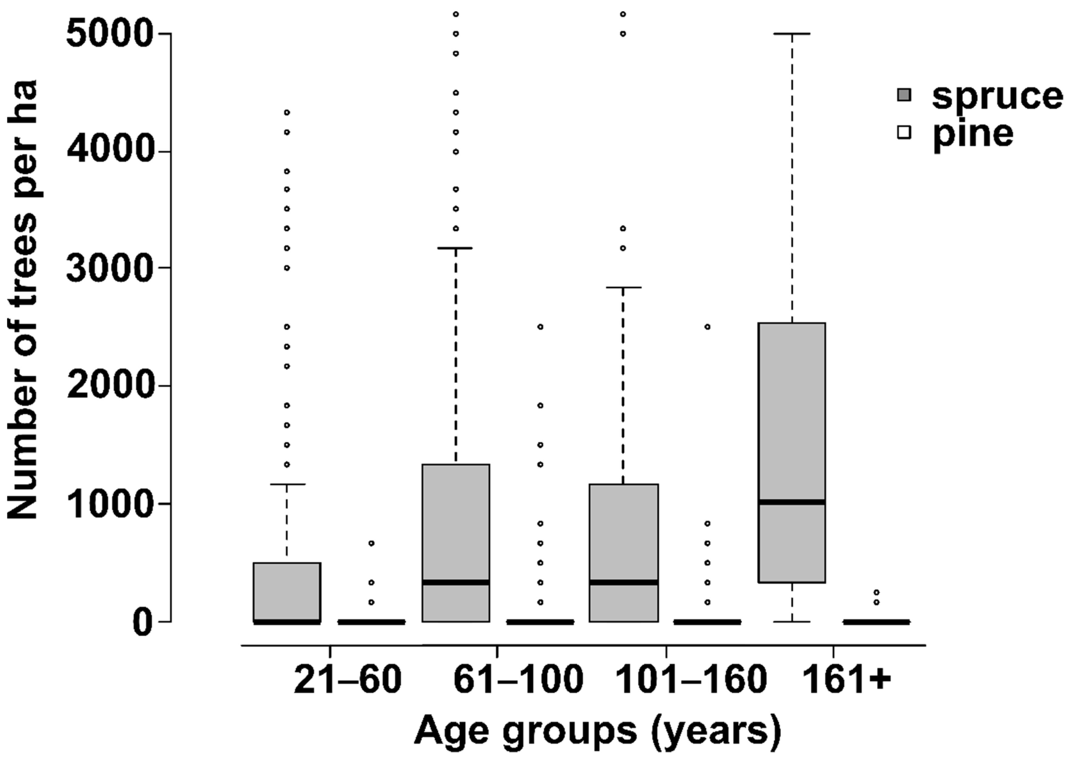
In stands dominated by Scots pine and Norway spruce, an average of 2000 trees of advance regeneration per hectare were observed in all age groups (Figure 2). In stands dominated by Scots pine, the mean density of the advance regeneration was rather similar between all analysed age groups, varying between 2825 ± 1771 (mean ± standard deviation) and 3379 ± 4033 trees per hectare. In stands dominated by Norway spruce, greater variations were observed, ranging from 2592 ± 3555 to 5080 ± 3920 trees per hectare (Figure 2). No distinct trend of increasing or decreasing density of advance regeneration with increasing stand age was observed.
Figure 2.
The density of advance regeneration in Norway spruce- and Scots pine-dominated stands in Latvia.
The density of the advance regeneration of Norway spruce was considerably higher than that of Scots pine in all age groups (Figure 3). The occurrence of advance regeneration of Norway spruce (minimum of 100 trees per hectare) was observed in 61% and 50% of stands dominated by Scots pine and Norway spruce, respectively. In addition to Norway spruce, rowan was a common tree species in advance regeneration, observed in 60% and 55% of stands dominated by Scots pine and Norway spruce, respectively. In contrast, the occurrence of advance regeneration of Scots pine was observed only in 6.8% and 2.9% of stands dominated by Scots pine and Norway spruce, respectively. Moreover, in addition to Norway spruce, rowan and common oak (Quercus robur) were widely common tree species in stands dominated by Scots pine and Norway spruce.
Figure 3.
The density of advance regeneration of Norway spruce and Scots pine in different stand age groups.
The GLM showed that the probability of advance regeneration was significantly affected by the stand height, dominant tree species, and the interaction between these two factors (Table 1). In stands dominated by Scots pine and Norway spruce, the advance regeneration had contrasting slopes (Figure 4). In stands dominated by Scots pine, the probability of advance regeneration was high (>0.9) and it decreased when the mean height of the stand increased above 25 m. In contrast, in stands dominated by Norway spruce, the probability of advance regeneration steadily increased with an increased mean stand height.
Table 1.
Parameter estimates of the best (by AIC) fitted binomial generalized linear model (GLM) models for advance regeneration. (Df): degree of freedom, *: interaction between factors.
Figure 4.
The influence of mean height (m) on the occurrence probability of advance regeneration in Scots pine and Norway spruce-dominated stands. The grey area represents the ±95% confidence interval.
The probability of advance regeneration for spruce was significantly affected by the stand age, dominant tree species, and interaction between these two factors (Table 1). In stands dominated by both Norway spruce and Scots pine, the probability of advance regeneration of Norway spruce increased with the increasing stand age; yet, the slopes differed (Figure 5). The probability of advance regeneration of spruce was higher in stands dominated by Scots pine by up to ~70 years of stand age.
Figure 5.
The influence of stand age on the probability of advance regeneration of Norway spruce in Scots pine and Norway spruce-dominated stands. The grey area represents a ±95% confidence interval.
The GLM model shows that the probability of advance regeneration of Scots pine was significantly affected by canopy basal area, dominant tree species, and the interactions between these two factors (Table 1). In stands dominated by Scots pine and Norway spruce, the probability of advance regeneration of Scots pine decreased with the increasing basal area (Figure 6). The advance regeneration of pine was observed only in stands with a basal area of <20 m2 ha−1 and in stands with a higher basal area, the probability of advance regeneration was close to zero.
Figure 6.
The influence of the basal area on the probability of advance regeneration of Scots pine in Scots pine and Norway spruce-dominated stands. The grey area represents a ±95% confidence interval.
The linear model shows that the density of the advance regeneration was significantly affected by the stand density and interaction between the stand density and dominant tree species (Table 2). The density of the advance regeneration of spruce was significantly affected by the stand age, dominant tree species, and the interactions between these two factors (Table 2). None of the tested explanatory variables had a significant effect on the density of the advance regeneration of pine.
Table 2.
Parameter estimates of the best (by AIC) fitted linear models. (Df): degree of freedom, *—interaction between factors.
4. Discussion
In stands dominated by Norway spruce and Scots pine on dry-mesic soil, the advance regeneration of an average of 2000 trees per hectare was observed in all age groups (from 20 to 161+ years) (Figure 2), suggesting that light, nutrients, and water availability are sufficient for seedling establishment [63,64]. Norway spruce was one of the most common tree species in the advance regeneration. The high abundance of Norway spruce is likely explained by suitable growth conditions in nutrient-rich sandy loam soils in the Hylocomniosa and Oxalidosa forest types [59,65] and adaptation to growth in shade conditions [34,37,55]. In addition to Norway spruce, rowan was a widely common tree species in the advance regeneration. Young rowan trees are shade-tolerant and can be successfully established under the canopy [66]. Rowan timber has a low market value; hence, the advance regeneration of this tree species is commonly removed during thinning operations in Latvia.
The probability models of the advance regeneration (Table 1) revealed substantial differences between the stands dominated by Scots pine and Norway spruce (Figure 4). We assume that these differences are linked to species-specific stand development patterns [67], which determine the light transmittance, moisture regime, and nutrient cycling in the stand [68,69]. Subsequently, growth conditions for the advance regeneration in the understory change over time as the stand develops [69]. A high probability of advance regeneration in young Scots pine stands (Figure 2 and Figure 4), could be explained by a high light transmittance in young Scots pine stands that gradually decreases as the stand develops [70]. The amount of light that penetrates the canopy layer and reaches the understory is a crucial factor for seedling establishment, survival, and development [18,29].
In contrast to stands dominated by Scots pine, in Norway spruce-dominated stands, light availability for the understory considerably increases with stand age, when the tree density decreases due to natural processes like self-thinning, competition, and disturbances [71,72], or due to human-made silvicultural operations (thinning and partial harvesting). Commonly, in stands dominated by Norway spruce in Latvia, at least two thinnings at the of age of 30 years and 50–60 years are carried out before the final harvest at age above 80 years [73]. We assume that the sharp increase of probability of advance regeneration of Norway spruce in stands dominated by Norway spruce (Figure 5), could be linked to the stand thinning.
The highest probability and density of advance regeneration of Norway spruce were observed in Norway spruce stands of the oldest age group (161+ years) (Figure 5 and Figure 7). The stands older than 161+ years were located in nature conservation areas where management activities have not been conducted in at least the last 50 years. Establishment and growth of advance regeneration might have been enhanced by the gradual senescence of canopy trees and the subsequent gap formation [74], which occur when an individual or a small group of canopy trees dies due to autogenic or allogenic processes [75]. In such conditions, when the canopy gaps are rather small, regeneration of shade-tolerant tree species, such as Norway spruce, is enhanced [18].
Figure 7.
The influence of stand age on the density of advance regeneration of Norway spruce in Scots pine and Norway spruce-dominated stands. The grey area represents a ±95% confidence interval.
The density of advance regeneration in stands dominated by Scots pine and Norway spruce had similar patterns; in both cases, it was negatively linked to increasing stand density (Figure 8). This result is most likely explained by a higher competition for light, water, and nutrient resources with the canopy trees in denser stands [30,76,77]. Overall, Scots pine-dominated stands have a considerably higher light transmittance than Norway spruce forests [78]; however, in many cases Scots pine-dominated stands growing on fertile soils are two-storied (the second story dominated by Norway spruce) [59]. It is likely, therefore, that the relationship between the density of advance regeneration in stands dominated by Scots pine has a significantly sharper decline than in Norway spruce forests.
Figure 8.
The influence of tree density on the density of advance regeneration in Scots pine and Norway spruce-dominated stands. The grey area represents a ±95% confidence interval.
The density of advance regeneration of Norway spruce in stands dominated by Scots pine did not change with increasing stand age (Figure 7), suggesting that regeneration conditions are favorably stable for Norway spruce establishment. On fertile soils, the ingrowth of naturally regenerated Norway spruce is a common characteristic in stands dominated by Scots pine [73].
Overall, the advance regeneration of Scots pine was scarce in all the analyzed age groups, and it sharply decreased with the increasing canopy basal area (Figure 3 and Figure 6.). Studies have shown that light transmittance decreases with increasing stand basal area, which hampers the natural regeneration of Scots pine [29,30,78,79]. Abundant regeneration of Scots pine under the canopy is enhanced by disturbance, which not only increases the light availability in the understory but also expose bare mineral soil; both these factors are crucial for pine seedling establishment [29,30]. Studies have shown that in the long-term, without substantial disturbances, Scots pine dominance and regeneration can be maintained only on dry and nutrient-poor soils where the establishment of other tree species is hindered by unsuitable soil conditions [28,80]. In our study, the stands dominated by Scots pine were found to be growing in mesic growth conditions where the ground vegetation is dominated by thick layer of mosses, heath (Vaccinium spp)., and other perennial plant species [59]. Presumably, the lack of ground vegetation disturbances [28,80], and high competition for aboveground- and belowground resources with canopy trees and ground vegetation [54,81], hampers the natural regeneration of Scots pine. Ground vegetation is removed following forest fires; however, this has been a rather rare disturbance in the last century [82]. Our study results are in line with the results obtained by Hale et al. [79], which also observed that natural regeneration of Scots pine can be achieved when the basal area is less than 24 m2 ha−1 (Figure 6). Hence, to improve the natural regeneration of Scots pine under canopy, manipulation of the stand basal area and soil scarification is one straightforward possibility [76,79,83].
5. Conclusions
The probability and density patterns of the advance regeneration in stands dominated by Norway spruce and Scots pine are substantially different. This suggests that the CCF silviculture system must be adapted to the species-specific dominant trees to take advantage of the probability and density patterns of advance regeneration. Norway spruce is more suitable for the CCF silviculture system than Scots pine, due to the high density of advance regeneration, especially in older stands, suggesting a high opportunity for ingrowth. However, in such growth conditions in stands dominated by Scots pine, the ingrowth of Scots pine is negligible due to the very low density of advance regeneration of this tree species. Hence, the regeneration and ingrowth in stands dominated by Scots pine most will likely be formed by other tree species, such as Norway spruce, common oak, or silver birch. Most likely, a moderate-severity disturbance is needed to enhance the regeneration of Scots pine. Further research could assess the light requirements for the successful growth of Norway spruce and Scots pine in different growth conditions and different stand development stages.
Author Contributions
Conceptualization and idea, A.J. and J.D.; methodology, G.S. and E.B.; data statistics, D.E.; writing—original draft preparation, M.K.; writing—review and editing, A.J., J.D., S.L. and I.D. All authors have read and agreed to the published version of the manuscript.
Funding
This research was funded by European Regional Development Fund, Forest Sector Competence Centre project: “Technologies for efficient transfer of genetic gain in plant production and forestry” (No. 1.2.1.1/18/A/004).
Acknowledgments
We thank two anonymous reviewers for their constructive comments and suggestion, which help to improve the manuscript.
Conflicts of Interest
The authors declare no conflict of interest.
References
- Puettmann, K.J.; Coates, K.D.; Messier, C.C. A Critique of Silviculture: Managing for Complexity; Island Press: Washington, DC, USA, 2009; p. 206. [Google Scholar]
- Messier, C.; Puettmann, K.J.; Coates, K.D. The complex adaptive system: A new integrative framework for understanding and managing the world forest. In Managing Forests as Complex Adaptive Systems: Building Resilience to the Challenge of Global Change; Messier, C., Puettmann, K.J., Coates, K.D., Eds.; Routledge: London, UK, 2013; pp. 327–341. [Google Scholar]
- Fahey, R.T.; Alveshere, B.C.; Burton, J.I.; D’Amato, A.W.; Dickinson, Y.L.; Keeton, W.S.; Kern, C.C.; Larson, A.J.; Palik, B.J.; Puettmann, K.J.; et al. Shifting conceptions of complexity in forest management and silviculture. For. Ecol. Manag. 2018, 421, 59–71. [Google Scholar] [CrossRef]
- Messier, C.; Puettmann, K.; Chazdon, R.; Andersson, K.P.; Angers, V.A.; Brotons, L.; Filotas, E.; Tittler, R.; Parrott, L.; Levin, S.A. From Management to Stewardship: Viewing Forests as Complex Adaptive Systems in an Uncertain World. Conserv. Lett. 2015, 8, 368–377. [Google Scholar] [CrossRef]
- Jacobsen, M.K. History and Principles of Close to Nature Forest Management: A Central European Perspective. In Textbook 2—Tools for Preserving Woodland Biodiversity; Read, H., Forfang, A.S., Marciau, R., Paltto, H., Andersson, L., Tardy, B., Eds.; Nature Conservation Exchange Experience, NACONEX, Pro-Natura: Göteborg, Sweden, 2001; pp. 56–60. Available online: http://www.pro-natura.net/naconex/news5/E2_11.pdf (accessed on 15 December 2019).
- Gayer, K. Der Gemischte Wald; Verlag von Paul Parey: Berlin, Germany, 1886; p. 168. [Google Scholar]
- Engler, A. Aus der Theorie und Praxis des Femelschlagbetriebes. Schweiz. Z. Forstwes. 1905, 56, 29–35. [Google Scholar]
- Möller, A. Der Dauerwaldgedanke, sein Sinn und seine Bedeutung; Springer: Berlin, Germany, 1922; p. 84. [Google Scholar]
- Mlinšek, D. PRO SILVA. 1989. Available online: https://www.prosilva.org (accessed on 15 December 2019).
- Schütz, J. Der Plenterwald und Weitere Formen Strukturierter und Gemischter Wälder; Parey Buchverlag: Berlin, Germany, 2001; p. 207. [Google Scholar]
- Schütz, J. Close-to-nature silviculture: Is this concept compatible with species diversity? Forestry 1999, 72, 359–366. [Google Scholar] [CrossRef]
- Schütz, J.P. Charakterisierung des naturnahen Waldbaus und Bedarf an wissenschaftlichen Grundlagen. Schweiz. Z. Forstwes. 1986, 137, 747–760. [Google Scholar]
- Brang, P.; Spathelf, P.; Larsen, J.B.; Bauhus, J.; Boncčìna, A.; Chauvin, C.; Drössler, L.; García-Güemes, C.; Heiri, C.; Kerr, G.; et al. Suitability of close-to-nature silviculture for adapting temperate European forests to climate change. Forestry 2014, 87, 492–503. [Google Scholar] [CrossRef]
- Fady, B.; Cottrell, J.; Ackzell, L.; Alía, R.; Muys, B.; Prada, A.; González-Martínez, S.C. Forests and global change: What can genetics contribute to the major forest management and policy challenges of the twenty-first century? Reg. Environ. Chang. 2016, 16, 927–939. [Google Scholar] [CrossRef]
- Rungis, D.; Luguza, S.; Bāders, E.; Šķipars, V.; Jansons, Ā. Comparison of Genetic Diversity in Naturally Regenerated Norway Spruce Stands and Seed Orchard Progeny Trials. Forests 2019, 10, 926. [Google Scholar] [CrossRef]
- Pothier, D. Ten-year results of strip clear-cutting in Quebec black spruce stands. Can. J. For. Res. 2000, 30. [Google Scholar] [CrossRef]
- Prèvost, M.; Dumais, D. Long-term growth response of black spruce advance regeneration (layers), natural seedlings and planted seedlings to scarification: 25th year update. Scand. J. For. Res. 2018, 33, 583–593. [Google Scholar] [CrossRef]
- Metslaid, M.; Jõgiste, K.; Nikinmaa, E.; Moser, W.K.; Porcar-Castell, A. Tree variables related to growth response and acclimation of advance regeneration of Norway spruce and other coniferous species after release. For. Ecol. Manag. 2007, 250, 56–63. [Google Scholar] [CrossRef]
- Kellomäki, S.; Strandman, H.; Peltola, H. Effects of even-aged and uneven-aged management on carbon dynamics and timber yield in boreal Norway spruce stands: A forest ecosystem model approach. Forestry 2019, 92, 635–647. [Google Scholar] [CrossRef]
- Pineda-García, F.; Paz, H.; Tinoco-ojanguren, C. Morphological and physiological differentiation of seedlings between dry and wet habitats in a tropical dry forest. Plant Cell Environ. 2011, 34, 1536–1547. [Google Scholar] [CrossRef] [PubMed]
- Silava, Methodology of National Forest Inventory. Available online: http://www.silava.lv/userfiles/file/Nacionalais%20meza%20monitorings/Me%C5%BEa%20resursu%20monitoringa%20metodika%2026_04_2013.pdf (accessed on 12 December 2019). (In Latvian).
- Ahti, T.; Hämet-ahti, L.; Jalas, J. Vegetation zones and their sections in north-western Europe. Ann. Bot. Fenn. 1968, 5, 169–211. [Google Scholar]
- Keeley, J.E. Ecology and evolution of pine life histories. Ann. For. Sci. 2012, 69, 445–453. [Google Scholar] [CrossRef]
- Béland, M.; Agestam, E.; Ekö, P.M.; Gemmel, P.; Nilsson, U.; Agestam, E.; Eko, P.M. Scarification and Seedfall affects Natural Regeneration of Scots Pine Under Two Shelterwood Densities and a Clear-cut in Southern Sweden. Scand. J. For. Res. 2000, 15, 247–255. [Google Scholar] [CrossRef]
- Hille, M.; den Ouden, J. Improved recruitment and early growth of Scots pine (Pinus sylvestris L.) seedlings after fire and soil scarification. Eur. J. For. Res. 2004, 123, 213–218. [Google Scholar] [CrossRef]
- Beghin, R.; Lingua, E.; Garbarino, M.; Lonati, M.; Bovio, G.; Motta, R.; Marzano, R. Pinus sylvestris forest regeneration under different post-fire restoration practices in the northwestern Italian. Alps. Ecol. Eng. 2010, 36, 1365–1372. [Google Scholar] [CrossRef]
- Rouvinen, S.; Kouki, J. Tree Regeneration in Artificial Canopy Gaps Established for Restoring Natural Structural Variability in a Scots Pine Stand. Silva Fenn. 2011, 45, 1079–1091. [Google Scholar] [CrossRef]
- Parro, K.; Metslaid, M.; Renel, G.; Sims, A.; Stanturf, J.A.; Jõgiste, K.; Köster, K. Impact of postfire management on forest regeneration in a managed hemiboreal forest, Estonia. Can. J. For. Res. 2015, 45, 1192–1197. [Google Scholar] [CrossRef]
- Vickers, A.D.; Palmer, S.C.F. The influence of canopy cover and other factors upon the regeneration of Scots pine and its associated ground flora within Glen Tanar National Nature Reserve. Forestry 2000, 73, 37–49. [Google Scholar] [CrossRef]
- Lundqvist, L.; Ahlström, M.A.; Axelsson, E.P.; Mörling, T.; Valinger, E. Multi-layered Scots pine forests in boreal Sweden result from mass regeneration and size stratification. For. Ecol. Manag. 2019, 441, 176–181. [Google Scholar] [CrossRef]
- De Chantal, M.; Leinonen, K.; Kuuluvainen, T.; Cescatti, A. Early response of Pinus sylvestris and Picea abies seedlings to an experimental canopy gap in a boreal spruce forest. For. Ecol. Manag. 2003, 176, 321–336. [Google Scholar] [CrossRef]
- Messier, C.; Doucet, R.; Ruel, J.; Claveau, Y.; Kelly, C.; Lechowicz, M.J. Functional ecology of advance regeneration in relation to light in boreal forests. Can. J. For. Res. 1999, 29, 812–823. [Google Scholar] [CrossRef]
- Örlander, G.; Karlsson, C. Influence of Shelterwood Density on Survival and Height Increment of Picea abies Advance Growth. Scand. J. For. Res. 2000, 15, 20–29. [Google Scholar]
- Kuuluvainen, T.; Kalmari, R. Regeneration microsites of Picea abies seedlings in a windthrow area of a boreal old-growth. Ann. Bot. Fenn. 2003, 40, 401–413. [Google Scholar]
- Chrimes, D.; Nilson, K. Overstorey density influence on the height of Picea abies regeneration in northern Sweden. Forestry 2005, 78, 433–442. [Google Scholar] [CrossRef]
- Lundqvist, L.; Fridman, E. Influence of local stand basal area on density and growth of regeneration in uneven-aged Picea abies stands. Scand. J. For. Res. 1996, 11, 364–369. [Google Scholar] [CrossRef]
- Čater, M.; Diaci, J. Divergent response of European beech, silver fir and Norway spruce advance regeneration to increased light levels following natural disturbance. For. Ecol. Manag. 2017, 399, 206–212. [Google Scholar] [CrossRef]
- Lundqvist, L.; Valinger, E. Stem diameter growth of scots pine trees after increased mechanical load in the crown during dormancy and (or) growth. Ann. Bot. 1996, 77, 59–62. [Google Scholar] [CrossRef]
- Löf, M.; Karlsson, M.; Sonesson, K.; Welander, T.N.; Collet, C. Growth and mortality in underplanted tree seedlings in response to variations in canopy closure of Norway spruce stands. Forestry 2007, 80, 371–384. [Google Scholar] [CrossRef]
- Brandeis, T.J.; Newton, M.; Cole, E. A comparison of overstory density measures for describing understorey conifer growth. For. Ecol. Manag. 2001, 152, 149–157. [Google Scholar] [CrossRef]
- Mitchell, J.E.; Popowich, S.J. Effectiveness of basal area for estimating canopy cover of ponderosa pine. For. Ecol. Manag. 1997, 95, 45–51. [Google Scholar] [CrossRef]
- Petriţan, I.C.; von Lüpke, B.; Petriţan, A.M. Effects of root trenching of overstorey Norway spruce (Picea abies) on growth and biomass of underplanted beech (Fagus sylvatica) and Douglas fir (Pseudotsuga menziesii) saplings. Eur. J. Forest Res. 2011, 130, 813–828. [Google Scholar] [CrossRef]
- Nilson, K.; Lundqvist, L. Effect of Stand Structure and Density on Development of Natural Regeneration in Two Picea abies Stands in Sweden. Scand. J. For. Res. 2001, 16, 253–259. [Google Scholar] [CrossRef]
- Paluch, L.; Bartkowicz, J.; Moser, W.K. Interspecific effects between overstorey and regeneration in small - scale mixtures of three late-successional species in the Western Carpathians (southern Poland). Eur. J. For. Res. 2019, 138, 889–905. [Google Scholar] [CrossRef]
- Kuuluvainen, T.; Rouvinen, S. Post-fire understorey regeneration in boreal Pinus sylvestris forest sites with different fire histories. J. Veg. Sci. 2000, 11, 801–812. [Google Scholar] [CrossRef]
- Vodde, F.; Jõgiste, K.; Engelhart, J.; Frelich, L.E.; Moser, W.K.; Sims, A.; Metslaid, M. Impact of wind-induced microsites and disturbance severity on tree regeneration patterns: Results from the first post-storm decade. For. Ecol. Manag. 2015, 348, 174–185. [Google Scholar] [CrossRef]
- Meigs, G.W.; Morrissey, R.C.; Ba, R.; Chaskovskyy, O.; Després, T.; Donato, D.C.; Janda, P.; Lábusová, J.; Seedre, M.; Mikolá, M.; et al. Mixed-severity disturbance regimes foster structural complexity via multiple developmental pathways. For. Ecol. Manag. 2017, 406, 410–426. [Google Scholar] [CrossRef]
- Nilsson, U.; Gemmel, P.; Johansson, U.; Karlsson, M.; Welander, T.N. Natural regeneration of Norway spruce, Scots pine and birch under Norway spruce shelterwoods of varying densities on a mesic-dry site in southern Sweden. For. Ecol. Manag. 2002, 161, 133–145. [Google Scholar] [CrossRef]
- Ligot, G.; Ameztegui, A.; Courbaud, B.; Coll, L.; Kneeshaw, D.D. Tree light capture and spatial variability of understory light increase with species mixing and tree size heterogeneity. Can. J. For. Res. 2016, 46, 968–977. [Google Scholar] [CrossRef]
- Levers, C.; Verkerk, P.J.; Müller, D.; Verburg, P.H.; Butsic, V.; Leitão, P.J.; Lindner, M.; Kuemmerle, T. Drivers of forest harvesting intensity patterns in Europe. For. Ecol. Manag. 2014, 315, 160–172. [Google Scholar] [CrossRef]
- Rendenieks, Z.; Nikodemus, O.; Brūmelis, G. The implications of stand composition, age and spatial patterns of forest regions with different ownership type for management optimisation in northern Latvia. For. Ecol. Manag. 2015, 335, 216–244. [Google Scholar] [CrossRef]
- Latvian State Forest Service, Forest Statistics in Latvia. State Forest Service. 2018. Available online: http://www.vmd.gov.lv/valsts-meza-dienests/statiskas-lapas/publikacijas-un-statistika/meza-statistikas-cd?nid=1809#jump (accessed on 10 December 2019). (In Latvian)
- Greene, D.F.; Kneeshaw, D.D.; Messier, C.; Lieffers, V.; Cormier, D.; Doucet, R.; Coates, K.D.; Groot, A.; Grover, G.; Calogeropoulos, C. Modelling silvicultural alternatives for conifer regeneration in boreal mixedwood stands (aspen/white spruce/balsam fir). For.Chron. 2002, 78, 281–295. [Google Scholar] [CrossRef]
- Zdors, L.; Šepsts, G.; Donis, J. Stem volume increment after group shelterwood cutting in Scots pine stands in Myrtillosa forest type. Balt. For. 2017, 23, 463–470. [Google Scholar]
- Vodde, F.; Jõgiste, K.; Gruson, L.; Ilisson, T.; Köster, K.; Stanturf, J.A. Regeneration in windthrow areas in hemiboreal forests: The influence of microsite on the height growths of different tree species. J. For. Res. 2010, 15, 55–64. [Google Scholar] [CrossRef]
- Baders, E.; Senhofa, S.; Purina, L.; Jansons, A. Natural Succession of Norway Spruce Stands in Hemiboreal Forests: Case Study in Slitere National Park, Latvia. Balt. For. 2017, 23, 522–528. [Google Scholar]
- Metslaid, M.; Ilisson, T.; Nikinmaa, E.; Kusmin, J.; Jõgiste, K. Recovery of advance regeneration after disturbances: Acclimation of needle characteristics in Picea abies. Scand. J. For. Res. 2005, 20, 112–121. [Google Scholar] [CrossRef]
- Metslaid, M.; Ilisson, T.; Vicente, M.; Nikinmaa, E.; Jõgiste, K. Growth of advance regeneration of Norway spruce after clear-cutting. Tree Physiol. 2005, 25, 793–801. [Google Scholar] [CrossRef]
- Bušs, K. Fundamentals of Forest Classification in Latvia SSR; LRZTIPI: Rīga, Latvia, 1976; Volume 24. (In Latvian) [Google Scholar]
- Buchwald, E. A hierarchical terminology for more or less natural forests in relation to sustainable management and biodiversity conservation. In Proceedings of the Third Expert Meeting on Harmonizing Forest-Related Definitions Food and Agriculture Organization of the United Nations, Rome, Italy, 17–19 January 2005; pp. 111–127. [Google Scholar]
- McGullagh, P.; Nelder, J.A. Generalized Linear Models, 2nd ed.; CRC Press: New York, NY, USA, 1989; p. 532. [Google Scholar]
- R Core Team. R: A Language and Environment for Statistical Computing; R Foundation for Statistical Computing: Vienna, Austria, 2018; Available online: https://www.R-project.org/ (accessed on 12 December 2019).
- Granhus, A.; Metslaid, M.; von Lupke, N. Effects of nutrient supply on understory Picea abies seedling growth in partially cut stands in south-east Norway. Forestry 2016, 89, 182–190. [Google Scholar] [CrossRef]
- Bergh, J.; Linder, S.; Lundmark, T.; Elfving, B. The effect of water and nutrient availability on the productivity of Norway spruce in northern and southern Sweden. For. Ecol. Manag. 1999, 119, 51–62. [Google Scholar] [CrossRef]
- Zviedris, A. Norway Spruce and Spruce Forests in Latvian SSR; Latvijas PSR Zinātņu Akadēmijas Izdevniecība: Rīga, Latvia, 1960; p. 239. (In Latvian) [Google Scholar]
- Żywiec, M.; Ledwoń, M. Spatial and temporal patterns of rowan (Sorbus aucuparia L.) regeneration in West Carpathian subalpine spruce forest. Plant Ecol. 2008, 194, 283–291. [Google Scholar] [CrossRef]
- Oliver, C.D.; Larson, B.C. Forest Stand Dynamics, Update Edition; John Wiley: New York, NY, USA, 1996; p. 544. [Google Scholar]
- Barbier, S.; Gosselin, F.; Balandier, P. Influence of tree species on understory vegetation diversity and mechanisms involved—A critical review for temperate and boreal forests. For. Ecol. Manag. 2008, 254, 1–15. [Google Scholar] [CrossRef]
- Petersson, L.; Holmström, E.; Lindbladh, M.; Felton, A. Tree species impact on understory vegetation: Vascular plant communities of Scots pine and Norway spruce managed stands in northern Europe. For. Ecol. Manag. 2019, 448, 330–345. [Google Scholar] [CrossRef]
- Messier, C.; Puttonen, P. Growth, allocation, and morphological responses of Betula pubescens and Betula pendula to shade in developing Scots pine stands. Can. J. For. Res. 1995, 25, 629–637. [Google Scholar] [CrossRef]
- Lutz, J.A.; Halpern, C.B. Tree mortality during early forest development: A long-term study of rates, causes, and consequences. Ecol. Monogr. 2006, 76, 257–275. [Google Scholar] [CrossRef]
- Harmon, M.E.; Pabst, R.J. Testing predictions of forest succession using long-term measurements: 100 yrs of observations in the Oregon Cascades. J. Veg. Sci. 2015, 26, 722–732. [Google Scholar] [CrossRef]
- Lībiete, Z.; Donis, J.; Jansons, J.; Zālītis, P. Growth potential of even-aged spruce forest. In Even-Aged Spruce Stands in Latvia; Jansons, J., Ed.; Daugavpils Universitātes Akadēmiskais Apgāds: Saule, Latvia, 2019; pp. 11–55. (In Latvian) [Google Scholar]
- De Römer, A.H.; Kneeshaw, D.D.; Bergeron, Y. Small Gap Dynamics in the Southern Boreal Forest of Eastern Canada: Do Canopy Gaps Influence Stand Development? J. Veg. Sci. 2007, 18, 815–826. [Google Scholar] [CrossRef]
- Kuuluvainen, T.; Aakala, T. Natural Forest Dynamics in Boreal Fennoscandia: A Review and Classification. Silva Fenn. 2011, 45, 823–841. [Google Scholar] [CrossRef]
- Tishler, M.; Tullus, T.; Tullus, A.; Jäärats, A.; Lutter, R.; Lundmark, T.; Tullus, H. Effects of shelterwood method and plant stock type on the early growth and survival of pine seedlings in regeneration stands under hemiboreal conditions. Scand. J. For. Res. 2020. [Google Scholar] [CrossRef]
- Eerikäinen, K.; Valkonen, S.; Saksa, T. Ingrowth, survival and height growth of small trees in uneven-aged Picea abies stands in southern Finland. For. Ecosyst. 2014, 1, 1–10. [Google Scholar] [CrossRef]
- Sonohat, G.; Balandier, P.; Ruchaud, F. Predicting solar radiation transmittance in the understory of even-aged coniferous stands in temperate forests. Ann. For. Sci. 2004, 61, 629–641. [Google Scholar] [CrossRef]
- Hale, S.E.; Edwards, C.; Mason, W.L.; Price, M.; Peace, A. Relationships between canopy transmittance and stand parameters in Sitka spruce and Scots pine stands in Britain. Forestry 2009, 82, 503–513. [Google Scholar] [CrossRef]
- Wallenius, T.H.; Kauhanen, H.; Herva, H.; Pennanen, J. Long fire cycle in northern boreal Pinus forests in Finnish Lapland. Can. J. For. Res. 2010, 40, 2027–2035. [Google Scholar] [CrossRef]
- Kuuluvainen, T.; Hokkanen, T.; Jarvinen, E.; Pukkala, T. Factors related to seedling growth in boreal Scots pine stand: A spatial analysis of a vegetation-soil system. Can. J. For. Res. 1993, 23, 2101–2109. [Google Scholar] [CrossRef]
- Donis, J.; Kitenberga, M.; Snepsts, G.; Matisons, R.; Zarins, J.; Jansons, A. The forest fire regime in Latvia during 1922–2014. Silva Fenn. 2017, 51, 1–15. [Google Scholar] [CrossRef]
- Nilsson, O.; Hjelm, K.; Nilsson, U. Early growth of planted Norway spruce and Scots pine after site preparation in Sweden. Scand. J. For. Res. 2019, 34, 678–688. [Google Scholar] [CrossRef]
© 2020 by the authors. Licensee MDPI, Basel, Switzerland. This article is an open access article distributed under the terms and conditions of the Creative Commons Attribution (CC BY) license (http://creativecommons.org/licenses/by/4.0/).







