Abstract
The multiobjective evolutionary algorithm based on decomposition (MOEA/D) has received attention from researchers in recent years. This paper presents a new multiobjective algorithm based on decomposition and the cloud model called multiobjective decomposition evolutionary algorithm based on Cloud Particle Differential Evolution (MOEA/D-CPDE). In the proposed method, the best solution found so far acts as a seed in each generation and evolves two individuals by cloud generator. A new individual is produced by updating the current individual with the position vector difference of these two individuals. The performance of the proposed algorithm is carried on 16 well-known multi-objective problems. The experimental results indicate that MOEA/D-CPDE is competitive.
1. Introduction
Over the last two decades, multi-objective problems (MOPs) have received growing attention because of their wide applications [1,2,3,4,5,6,7]. Many multi-objective evolutionary algorithms (MOEAs) are designed to solve real-world applications. As is well known, however, objective functions of MOPs, often conflict with each other and improvement of one objective may lead to deterioration of another. Therefore, it is difficult to find an optimal solution that can satisfy all optimization objectives. To solve MOPs, researchers usually look for not only a single solution but a set of Pareto optimal solutions [8].
Many researchers apply Evolutionary Algorithms (EAs) for the MOPs because of the significant advantages of EAs [9,10,11,12,13,14]. The most popular MOEAs can be classified into three categories [15]: pareto dominance-based MOEAs, decomposition-based MOEAs, and indicator-based MOEAs. The distinctive features of methods based on pareto dominance, such as the strength Pareto evolutionary algorithm (SPEA)-II, Pareto Envelope-Based Selection Algorithm (PESA)-II and the Fast Non-Dominated Sorting Genetic Algorithm (NSGA-II), are the individual selection method, population diversity preservation mechanism based on fitness sharing, and elite reserved strategy. M. Tadahiko et al. [16] proposed a proportional weight specification method to solve multi-objective problems. Later, Zhang et al. proposed the multi-objective evolutionary algorithm based on decomposition (MOEA/D) [17]. The algorithm decomposes a continuous MOP into several single-objective optimization problems. The population of each subproblem is composed of the best solution found so far. Each subproblem has several neighbors that are defined based on the distances between their corresponding weight vectors. MOEA/D aroused many researchers interest as soon as it was proposed. Several improvements on MOEA/D have been made recently [18,19,20,21,22]. At the same time, MOEA/D has been successfully applied to a number of application areas [15,23,24,25]. The classic methods of indicator-based are the multiobjective selection based on dominated hypervolume (SMS-EMOA) [26] and the algorithm for fast hypervolume-based many-objective optimization (HypE) [27].
Inspired by the cloud model, this paper presents a novel evolution approach. We employ cloud particles’ evolution in the framework of MOEA based on decomposition (MOEA/D) called multiobjective decomposition evolutionary algorithm based on Cloud Particle Differential Evolution (MOEA/D-CPDE). At each generation, the individual that is the best solution found so far acts as a seed. The seed can be seen as the parent. Every seed evolves into two individuals by a cloud generator. Each of them not only has the characteristics of the seed but also has its own characteristics. Then, the algorithm updates the current individual with the position vector difference of these two individuals. The strategy can improve the diversity of the population and improve the performance of the algorithm.
The rest of the paper is organized as follows. Section 2 presents the related background including the framework of MOEA/D. Section 3 presents the cloud generator and MOEA/D-CPDE. Section 4 describes the benchmark problems, the parameter settings, performance metrics, and experimental results. Section 5 concludes the paper and points out some further studies.
2. Related Backgrounds
2.1. Problem Definition
A multiobjective optimization problem [28] (MOP) that is to optimize a set of functions synchronously can be described as follows:
subject to
where
is the feasible region of decision variable space,
is the decision vector, and F:
is a function that consists of m real-valued objective functions.
is called the objective space. If and only if
,
and
, we say that
dominates
. If there is no x which can dominate x’, we say that x’ is a Pareto optimal solution. The set of all the Pareto optimal solutions is called the Pareto set (PS). The corresponding mapping of the Pareto-optimal set on the objective function space is called the Pareto optimal front PF.
2.2. Multiobjective Evolutionary Algorithm Based on Decomposition
MOEA/D [17] is a new framework for solving multi-objective optimization problems. It decomposes a multiobjective optimization problem into a number of scalar optimization subproblems and optimizes them simultaneously. In MOEA/D, the weighted sum approach, the Tchebycheff approach, and the boundary intersection approach are used to convert the problem of approximation of the PF into a number of scalar optimization problems. The description of MOEA/D is as follows.
| Algorithm 1. The procedure of MOEA/D |
| Input: MOP, the multiobjective optimization problem; NP, population size; GEN, maximum generations; FES, the maximal number of function evaluations; NB, the number of weight vectors in the neighborhood of each weight vector; |
| Output: X, the non-dominated population; Approximation to the PF, {F(x1), … ,F(xN)} |
| 1: Randomly initial population Xn |
| 2: Compute the Euclidian distances between any two weight vectors and define neighborhood of each subproblem. For the ith subproblem, set B(i) = {i1,i2,…im}, where , , …, are the m closest weight vectors to |
| 3: Initialize z=(z1,…, zm)T by problem-specific method |
| 4: while t < FES do |
| 5: for i = 1:NP do |
| 6: Produce y by DE-mutation strategies |
| 7: polynomial mutation |
| 8: Evaluation y |
| 9: for each j = 1 to m do |
| 10: if zj > fj(y) then zj = fj(y) |
| 11: endfor |
| 12: for each j∈B(i) do |
| 13: if gte(y|,z) < gte(xj|,z)then |
| 14: xj = y and F(xj) = F(y) |
| 15: endif |
| 16: endfor |
| 17: endfor |
| 18: endwhile |
3. Frameworks of MOEA/D-CPDE
In MOEA/D, the new individual is produced by combining differential mutation with polynomial mutation, which is conducive to maintain the population diversity and improve the exploration ability. However, the convergence speed of MOEA/D may be slower. Inspired by the cloud model, a new evolution mechanism is proposed for solving the problem. Firstly, two individuals are produced by the parent with the cloud generator. Then, the search direction of the offspring is guided by the two individuals and differential operation. Finally, the new individual is updated by cloud particles mutation or polynomial mutation for improving the population diversity. In this way, the proposed algorithm can not only accelerate convergence speed but also improve the local exploitation.
3.1. Cloud Generator
The cloud model is proposed by Li [29] and has three parameters, including Expectation (Ex), Entropy (En) and Hyper-entropy (He), in which Ex is the expectation value of the distribution for all cloud particles in the domain, and En is the range of domain which can be accepted by linguistic values (qualitative concept). In other words, En is ambiguity and He is the dispersion degree of entropy (En). That is to say, He is the entropy of entropy. The cloud generator works according to (2) and (3), Φ(µ, δ) is the normal random variable that has an expectation µ and a variance δ; N is the number of cloud particle; C is the cloud particle generated by the cloud generator.
S = {si|Φ(En, He), i=1,2,…N}
C = {ci|Φ(Ex, si), si∈S, i=1,2,…N}
3.2. Cloud Particle Differential Evolution
First, the best solution found so far acts as a seed. Then, each seed produces two individuals (c1 and c2) by cloud generator. The indices r1 and r2 are mutually exclusive integers randomly chosen within [1, N]. F is a mutation factor that controls the balance between exploration and exploitation.
is a uniformly random number. Let yi be the decision variable to be evolved. Then yi is computed as follows:
3.3 Cloud Particle Mutation Operator
where
and
are the upper bound and lower bound of the kth decision vector respectively. D is the dimension of decision space.
is a uniformly random number.
| Algorithm 2. The procedure of MOEA/D-CPDE. |
| Input: MOP, the multiobjective optimization problem; NP, population size; GEN, maximum generations; FES, the maximal number of function evaluations; NB, the number of weight vectors in the neighborhood of each weight vector; |
| Output: X, the non-dominated population; Approximation to the PF, {F(x1), … ,F(xN)} |
| 1: Generate initial population Xn by cloud generator |
| 2: Compute the Euclidian distances between any two weight vectors and define neighborhood of each subproblem. For the ith subproblem, set B(i)={i1,i2,…im}, where , , …, are the m closest weight vectors to . |
| 3: Initialize z = (z1,…, zm)T by problem-specific method |
| 4: while t < FES do |
| 5: for i = 1:NP do |
| 6: Exi = xi |
| 7: Eni = |Exi|/10 |
| 8: Hei = Eni/1000 |
| 9: generate c1 and c2 by cloud generator |
| 10: Produce yi by Cloud Particle Differential Evolution |
| 11: if rand ≥ 0.5 |
| 12: Cloud Particle Mutation Operator |
| 13: else |
| 14: polynomial mutation |
| 15: end |
| 16: Evaluation y |
| 17: for each j=1 to m do |
| 18: if zj > fj(y) then zj = fj(y) |
| 19: endfor |
| 20: for each j∈B(i) do |
| 21: if gte(y| ,z)<gte(xj| ,z)then |
| 22: xj = y and F(xj) = F(y) |
| 23: endif |
| 24: endfor |
| 25: endfor |
| 26: endwhile |
4. Experimental and Discussions
In this section, we test MOEA/D, multiobjective memetic algorithm based on the decomposition approach and the particle swarm optimization (PSO) algorithm (MOEA/D-DE+PSO)and multiobjective decomposition evolutionary algorithm based on Cloud Particle Differential Evolution (MOEA/D-CPDE) on DEB, ZDT problems [30] and IEEE Congress on Evolutionary Computation 2009 (CEC’09) test instances [31], in which DEB, ZDT, unconstrained problem 1 to unconstrained problem 7 (UF1–UF7) are two objective problems and UF8-UF10 are three objective problems. All of them are unconstraint problems.
4.1. Parameter Settings
For all experiments, 30 independent runs are carried out on the same machine with Matlab R2009b, and conducted with the maximum number of function evaluations as the termination criterion. The goal is to ensure a fair comparison and reduce the statistical error.
In the numerical experiments, the dimension of all test problems is set as 30 for ZDT problems and UF1–UF10, and 2 for DEB. The population size is set to 100, and the maximum number of function evaluation is set as 100,000 for DEB and ZDT problems, and 300,000 for UF1-UF10 for each algorithm.
For MOEA/D-CPDE, there are four other control parameters: CR = 1, F = 0.5, En = |Ex|/10, He = En/1000.
The number of neighbors for each subproblem is set as 0.1 × Np, where Np is the population size.
4.2. Performance Metrics
In this paper, we use the Inverted Generational Distance (IGD) metric, which is a comprehensive index of convergence and diversity [32] to assess the performance of the proposed algorithm. The smaller the value of the IGD metric, the better is the obtained set of Pareto optimal solutions.
Let P* be a set of uniformly distributed points in the objective space along the Pareto-optimal front (PF). Let P be an approximate solution to the PF, then the average distance from P* to P can be defined as follows [33].
where d(v, P) is the Euclidean distance of v to P. The lower value of IGD means that P is much closer to the PF.
4.3. Experimental Results
This section presents the numerical results obtained by MOEA/D, MOEA/D-DE+PSO [34] and MOEA/D-CPDE on DEB, ZDT problems and the CEC’09 test instances (UF1-UF10).
Table 1 shows the results obtained by MOEA/D, MOEA/D-DE+PSO and MOEA/D-CPDE. The results of MOEA/D-DE+PSO are taken from literature [34]. It records the IGD-metric values after 100,000 function evaluations in 30 runs. There are five columns in Table 1. The columns refer to best (i.e., minimum), mean, standard deviation (std) and worst (i.e., maximum) of the IGD values obtained by the algorithms for DEB and ZDT problems. The experimental results indicate that MOEA/D-CPDE performs better than MOEA/D and MOEA/D-DE+PSO on ZDT1, ZDT2, ZDT4 and ZDT6. The minimum of MOEA/D is the smallest on ZDT3. Table 1 concludes that the cloud differential evolution strategy plays an important role in guiding the population evolution and accelerating the convergence rate of MOEA/D-CPDE for DEB and ZDT problems.
Table 2 shows the IGD in terms of minimum, mean, standard deviation and maximum values obtained by MOEA/D, MOEA/D-DE+PSO and MOEA/D-CPDE for 30 independent times. The results of MOEA/D-DE+PSO are taken from literature [34]. Table 2 shows that, in terms of IGD-metric, MOEA/D-CPDE performs better on UF1, UF4-UF7. MOEA/D-DE+PSO performs better on UF2, UF3, UF8 and UF10. MOEA/D-CPDE performs better in terms of the standard deviation and maximum on UF9. MOEA/D-DE+PSO performs better in terms of the minimum and mean best solution on UF9. It may be noted that MOEA/D-CPDE has not performed well on a few functions. UF8–UF10 are three objective functions with complicated PS shapes. The population diversity mechanism in MOEA/D-CPDE is worse for the complicated functions. Therefore, the complicated functions may be very challenging for MOEA/D-CPDE. Because of the poor convergence speed, MOEA/D performs worse for some complicated problems with the given number of function evaluations as the termination criterion. The dynamic use of DE and PSO enable MOEA/D-DE+PSO to get better approximate solutions for some problems. However, the individual produced by DE and PSO comes from two randomly divided subsets. Therefore, MOEA/D-DE+PSO performs worse for some problems.
Table 1.
The Inverted Generational Distance (IGD) values for DEB, ZDT1~ZDT4 and ZDT6 approximated by multiobjective evolutionary algorithm based on decomposition (MOEA/D), MOEA/D-DE+PSO and MOEA/D-CPDE in 30 independent runs.
| Function | Min | Mean | Std | Max | Algorithms |
|---|---|---|---|---|---|
| DEB | 0.005354 | 0.005355 | 4.7946e-7 | 0.005355 | MOEA/D |
| - | - | - | - | MOEA/D-DE+PSO | |
| 0.005354 | 0.005354 | 5.0741e-7 | 0.005355 | MOEA/D-CPDE | |
| ZDT1 | 0.003988 | 0.004054 | 5.1587e-5 | 0.004165 | MOEA/D |
| 0.004012 | 0.004142 | 7.1000e-5 | 0.004359 | MOEA/D-DE+PSO | |
| 0.003966 | 0.004036 | 4.7909e-5 | 0.004088 | MOEA/D-CPDE | |
| ZDT2 | 0.003799 | 0.003819 | 1.5762e-5 | 0.003864 | MOEA/D |
| 0.003811 | 0.003874 | 4.2400e-5 | 0.003992 | MOEA/D-DE+PSO | |
| 0.003784 | 0.003808 | 1.1640e-5 | 0.003831 | MOEA/D-CPDE | |
| ZDT3 | 0.007041 | 0.007084 | 3.4618e-5 | 0.007200 | MOEA/D |
| 0.008400 | 0.009025 | 5.9532e-4 | 0.012406 | MOEA/D-DE+PSO | |
| 0.007049 | 0.007081 | 2.8241e-5 | 0.007171 | MOEA/D-CPDE | |
| ZDT4 | 0.125709 | 0.195898 | 6.7636e-2 | 0.256064 | MOEA/D |
| 0.004141 | 0.007550 | 1.9710e-3 | 0.011584 | MOEA/D-DE+PSO | |
| 0.003953 | 0.003954 | 8.0301e-7 | 0.003956 | MOEA/D-CPDE | |
| ZDT6 | 0.008892 | 0.013408 | 3.6559e-3 | 0.017854 | MOEA/D |
| 0.006977 | 0.014575 | 4.0370e-3 | 0.022697 | MOEA/D-DE+PSO | |
| 0.005087 | 0.005970 | 6.5858e-4 | 0.006620 | MOEA/D-CPDE |
Figure 1.
Plots of the final non-dominated solutions in the objective space of DEB, ZDT1~ZDT4, and ZDT6.
Figure 2.
Plots of the all 30 PFs for DEB, ZDT1~ZDT4, and ZDT6.
Figure 3.
Average IGD values versus number of function evaluations over DEB, ZDT1~ZDT4, and ZDT6
Table 2.
The IGD values statistics of the non-dominated solutions found by MOEA/D, MOEA/D-DE+PSO and MOEA/D-CPDE on UF1-UF10 in 30 independent runs.
| Function | Min | Mean | Std | Max | Algorithms |
|---|---|---|---|---|---|
| UF1 | 0.004711 | 0.023042 | 0.053302 | 0.259563 | MOEA/D |
| 0.004466 | 0.028572 | 0.023609 | 0.071182 | MOEA/D-DE+PSO | |
| 0.004594 | 0.005203 | 0.000248 | 0.006144 | MOEA/D-CPDE | |
| UF2 | 0.009082 | 0.014285 | 0.007173 | 0.049397 | MOEA/D |
| 0.010218 | 0.011737 | 0.000756 | 0.013261 | MOEA/D-DE+PSO | |
| 0.008998 | 0.011877 | 0.001714 | 0.015334 | MOEA/D-CPDE | |
| UF3 | 0.016796 | 0.062967 | 0.028005 | 0.142894 | MOEA/D |
| 0.003940 | 0.006039 | 0.001826 | 0.010494 | MOEA/D-DE+PSO | |
| 0.008435 | 0.044706 | 0.029862 | 0.114730 | MOEA/D-CPDE | |
| UF4 | 0.061278 | 0.069968 | 0.006585 | 0.089038 | MOEA/D |
| 0.047843 | 0.054604 | 0.004053 | 0.071241 | MOEA/D-DE+PSO | |
| 0.043632 | 0.045344 | 0.001319 | 0.049677 | MOEA/D-CPDE | |
| UF5 | 0.208215 | 0.422297 | 0.128282 | 0.729846 | MOEA/D |
| 0.282111 | 0.490882 | 0.118561 | 0.708999 | MOEA/D-DE+PSO | |
| 0.115859 | 0.203445 | 0.045309 | 0.258254 | MOEA/D-CPDE | |
| UF6 | 0.162838 | 0.495739 | 0.199592 | 0.824257 | MOEA/D |
| 0.186140 | 0.243517 | 0.237355 | 0.674953 | MOEA/D-DE+PSO | |
| 0.073819 | 0.091573 | 0.030068 | 0.210588 | MOEA/D-CPDE | |
| UF7 | 0.005013 | 0.147765 | 0.219858 | 0.598471 | MOEA/D |
| 0.006726 | 0.243517 | 0.237355 | 0.674953 | MOEA/D-DE+PSO | |
| 0.005112 | 0.006067 | 0.000640 | 0.007461 | MOEA/D-CPDE | |
| UF8 | 0.090851 | 0.145518 | 0.031061 | 0.229571 | MOEA/D |
| 0.057600 | 0.078455 | 0.006532 | 0.101902 | MOEA/D-DE+PSO | |
| 0.112641 | 0.123347 | 0.006231 | 0.139016 | MOEA/D-CPDE | |
| UF9 | 0.087260 | 0.166323 | 0.033758 | 0.194023 | MOEA/D |
| 0.035499 | 0.071131 | 0.035008 | 0.149478 | MOEA/D-DE+PSO | |
| 0.074763 | 0.080028 | 0.002555 | 0.083058 | MOEA/D-CPDE | |
| UF10 | 0.231245 | 0.431299 | 0.084250 | 0.637907 | MOEA/D |
| 0.184050 | 0.187158 | 0.001552 | 0.190097 | MOEA/D-DE+PSO | |
| 0.369133 | 0.499921 | 0.078278 | 0.688156 | MOEA/D-CPDE |


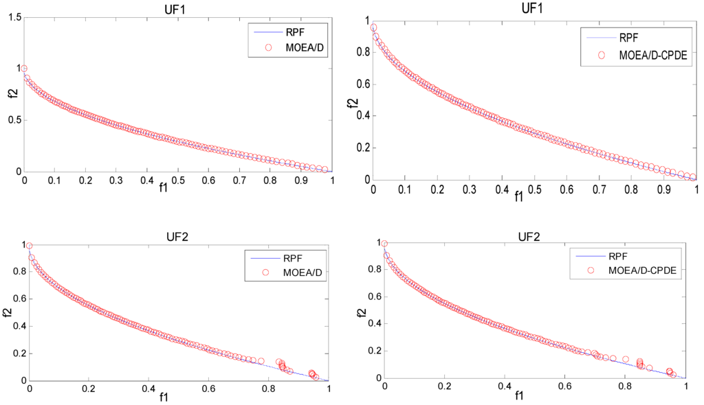
Figure 4.
Plots of the best PF in the objective space of the UF1-UF10 in 30 independent runs.


Figure 5.
Plots of the all 30 PFs in the objective space of the UF1-UF10 in 30 independent runs

Figure 6.
Evolution of the average IGD-metric values versus function evaluations for UF1-UF10.
5. Conclusion
In this paper, we proposed an MOEA/D-CPDE algorithm based on MOEA/D. In MOEA/D-CPDE, two individuals are generated by the cloud generator guidance mechanism. Furthermore, the cloud particles mutation operator is introduced to maintain the population diversity. The performance of MOEA/D, MOEA/D-DE+PSO and MOEA/D-CPDE are compared on several continuous multiobjective optimization problems. The experiments conclude that the MOEA/D-CPDE generally offers better performance than those of other algorithms in the paper for some functions. However, the performance of MOEA/D-CPDE is worse for some functions with complicated PS shapes. The reason is that the misleading effect of two individuals generated by the cloud generator may cause the premature convergence. How to effectively guide the population to evolve will be considered in the future.
Acknowledgments
The authors express their sincere thanks to the reviewers for their significant contributions to the improvement of the final paper. This research is partly supported by the support of the National Natural Science Foundation of China (No. 61272283, U1334211), Shaanxi Science and Technology Project (No. 2014KW02-01), Xi'an Science and technology plan project CXY1437(5), Xi'an BeiLin Science Research Plan(No.GX1306).
Author Contributions
Joint work.
Conflicts of Interest
The authors declare no conflict of interest.
References
- Coello, Coello, C.A.; Pulido, G.T.; Montes, E.M. Current and future research trends in evolutionary multiobjective optimization. From Industrial Applications to Academic Speculations. In Book Information Processing with Evolutionary Algorithms; Wu, X., Jain, L., Graña, M., Duro, R.J., d’Anjou, A., Wang, P.P., Eds.; Springer: London, UK, 2005; pp. 213–231. [Google Scholar] [CrossRef]
- Andersson, J. A survey of multiobjective optimization in engineering design. Tech. Rep. LiTH-IKP-R-1097; Department of Mechanical Engineering, Linköping University: Linköpings, Sweden, 2000. [Google Scholar]
- Marler, R.T.; Arora, J.S. Survey of multi-objective optimization methods for engineering. Struct. Multidiscip. Optim. 2004, 26, 369–395. [Google Scholar]
- Lei, D. Multi-objective production scheduling: a survey. Int. J. Adv. Manuf. Technol. 2009, 43, 926–938. [Google Scholar] [CrossRef]
- Tapia, M.G.C.; Coello, Coello, C.A. Applications of multi-objective evolutionary algorithms in economics and finance: a survey. Evol. Comput. 2007, 532–539. [Google Scholar]
- Luna, F.; Durillo, J.J.; Nebro, A.J.; Alba, E. Evolutionary algorithms for solving the automatic cell planning problem: S survey. Eng. Optim. 2010, 42, 671–690. [Google Scholar] [CrossRef]
- Lust, T.; Teghem, J. The multiobjective traveling salesman problem: a survey and a new approach. In Advances in Multi-Objective Nature Inspired Computing; Coello Coello, C.A., Dhaenens, C., Eds.; Springer: Heidelberg, Berlin, Germany, 2010; Volume 272, pp. 119–141. [Google Scholar]
- Coello Coello, C.A.; Van Veldhuizen, D.A.; Lamont, G.B. Evolutionary Algorithms for Solving Multiobjective Problems; Springer US: New York, NY, USA, 2002. [Google Scholar]
- Deb, K.; Agrawal, S.; Pratap, A.; Meyarivan, T. A fast and elitist multiobjective genetic algorithm: NSGA-II, IEEE. Tran. Evol. Comput. 2002, 6, 182–197. [Google Scholar] [CrossRef]
- Knowles, J.; Corne, D. Memetic algorithms for multiobjective optimiza-tion: issues, methods and prospects. In Recent Advances in Memetic Algorithms; Springer: Berlin Heidelberg, Germany, 2004; pp. 313–352. [Google Scholar]
- Suman, B.; Kumar, P. A survey of simulated annealing as a tool for single and multiobjective optimization. J. Oper. Res. Soc. 2006, 57, 1143–1160. [Google Scholar] [CrossRef]
- Reyes-Sierra, M.; Coello Coello, C.A. Multi-objective particle swarm optimiz-ers: a survey of the state-of-the-art. Int. J. Comput. Intell. Res. 2006, 2, 287–308. [Google Scholar]
- Gong, M.G.; Jiao, L.C.; Du, H.F.; Bo, L.F. Multiobjective immune algorithm with nondominated neighbor-based selection. Evol. Comput. 2008, 16, 225–255. [Google Scholar] [CrossRef] [PubMed]
- Zhang, Q.F.; Zhou, A.M.; Jin, Y. RM-MEDA: a regularity model-based multi-objective estimation of distribution algorithm. IEEE Tran. Evol. Comput. 2008, 21, 41–63. [Google Scholar] [CrossRef]
- Largo, Á.R.; Zhang, Q.F. A.; Rodríguez, Miguel V. A multiobjective evolutionary algorithm based on decomposition with normal boundary intersection for traffic grooming in optical networks. Inform. Sci. 2014, 289, 91–116. [Google Scholar]
- Tadahiko, M.; Hisao, I.; Mitsuo, G. Specification of genetic search directions in cellular multi-objective genetic algorithms, Specification of Genetic Search Directions in Cellular Multi-objective Genetic Algorithms. In Evolutionary Multi-Criterion Optimization; Zitzler, E., Thiele, L., Deb, K., Coello Coello, C.A., Corne, D., Eds.; SpringerI: Berlin Heidelberg, Germany, EMO, 2001; Volume 1993, pp. 82–95. [Google Scholar]
- Zhang, Q.; Li, H. MOEA/D: a multiobjective evolutionary algorithm based on decomposition. IEEE Tran. Evol. Comput. 2007, 11, 712–731. [Google Scholar] [CrossRef]
- Palmers, P.; McConaghy, T.; Steyaert, M.; Gielen, G.G.E. Massively multi-topology sizing of analog integrated circuits. In Proceedings of Conference on Design, Automation and Test in Europe, Leuven, Belgium, 2009; pp. 706–711.
- Nebro, A.J.; Durillo, J.J. A study of the parallelization of the multi-objective metaheuristic MOEA/D. In Proceedings of 4th International Conference on Learning and Intelligent Optimization, LION 4, Venice, Italy, 18–22 January 2010; pp. 303–317.
- Mashwani, W.K.; Salhi, A. A decomposition-based hybrid multiobjective evolutionary algorithm with dynamic resource allocation. App. Soft Comput. 2012, 12, 2765–2780. [Google Scholar] [CrossRef]
- Tan, Y.Y.; Jiao, Y.C.; Li, H.; Wang, X.K. MOEA/D + uniform design: A new version of MOEA/D for optimization problems with many objectives. Comput. Oper. Res. 2013, 40, 1648–1660. [Google Scholar]
- Ma, X.L.; Liu, F.; Qi, Y.T.; Gong, M.G.; Yin, M.L.; Li, L.L.; Jiao, L.C.; Wu, J.S. MOEA/D with opposition-based learning for multiobjective optimization problem. Neurocomputing 2014, 146, 48–64. [Google Scholar] [CrossRef]
- Chang, P.C.; Chen, S.H.; Zhang, Q.; Lin, J.L. MOEA/D for flowshop scheduling problems. Evol. Comput. 2008, 2008, 1433–1438. [Google Scholar]
- Yuen, T.J.; Raml, R. Comparison of computational efficiency of MOEA/D and NSGA-II for passive vehicle suspension optimization. In Proceedings of 24th European Conference on Modelling and Simulation, Kuala Lumpur, Malaysia, ECMS, 2010; 2010; pp. 219–225. [Google Scholar]
- Konstantinidis, A.; Charalambous, C.; Zhou, A.; Zhang, Q. Multi-objective mobile agent-based sensor network routing using MOEA/D. Evol Comput. 2010, 1–8. [Google Scholar]
- Nicola, B.; Naujoks, B.; Emmerich, M. SMS-EMOA:Multiobjective selection based on dominated hypervolume. Eur. J. Oper. Res. 2007, 181, 1653–1669. [Google Scholar] [CrossRef]
- Johannes, B.; Eckart, Z. HypE: an algorithm for fast hypervolume-based many-objective optimization. Evol. Comput. 2010, 19, 45–76. [Google Scholar] [PubMed]
- Deb, K. Multi-Objective Optimization Using Evolutionary Algorithms; Wiley: New York, NY, USA, 2001; p. 16. [Google Scholar]
- Li, D.Y. Uncertainty in Knowledge Representation. Eng. Sci. 2000, 2, 73–79. (in Chinese). [Google Scholar]
- Zitzler, E.; Deb, K.; Thiele, L. Comparsion of multiobjective evolutionary algorithms: emperical results. Evol. Comput. 2000, 8, 173–195. [Google Scholar] [CrossRef] [PubMed]
- Zhang, Q.; Liu, W.; Li, H. The Performance of a new version of MOEA/D on CEC’09 unconstrained MOP Test Instances. In IEEE Congress On Evolutionary Computation (IEEE CEC 2009), Trondheim, Norway, May 18-21, 2009; pp. 203–208.
- Zitzler, E.; Thiele, L.; Laumanns, M.; Fonseca, C.; Fonseca, V. Performance assessment of multiobjective optimizers: an analysis and review. IEEE Trans. Evol. Comput. 2003, 7, 117–132. [Google Scholar] [CrossRef]
- Zhang, Q.; Zhou, A.; Zhao, S.; Suganthany, P.N.; Liu, W.; Tiwariz, S. Multiobjective optimization test instances for the CEC 2009 special session and competition. Technical. Report CES-487. 2009. Available online: http://dces.essex.ac.uk/staff/zhang/MOEAcompetition/cec09testproblem0904.pdf (accessd on 22 April 2015).
- Wali Khan, M.; Abdellah, S. Multiobjective memetic algorithm based on decomposition. App. Soft Comput. 2014, 21, 221–243. [Google Scholar] [CrossRef]
© 2015 by the authors; licensee MDPI, Basel, Switzerland. This article is an open access article distributed under the terms and conditions of the Creative Commons Attribution license (http://creativecommons.org/licenses/by/4.0/).