Next Article in Journal
Efficient Selection of Investment Portfolios in Real-World Markets: A Multi-Objective Optimization Approach
Next Article in Special Issue
Symbolic Algorithm for Solving Nonlocal Boundary Value Problems for Systems of Ordinary Integrodifferential Equations
Previous Article in Journal
Automatic Algorithm Based on Simpson Seventh-Order Integration of Current Minus Short-Circuit Current: Extracting Photovoltaic Device Parameters Within One-Diode Model
Previous Article in Special Issue
Algorithmic Investigation of Complex Dynamics Arising from High-Order Nonlinearities in Parametrically Forced Systems
 
 
Font Type:
Arial Georgia Verdana
Font Size:
Aa Aa Aa
Line Spacing:
Column Width:
Background:
Article

A Novel Butterfly-Attractor Dynamical System Without Equilibrium: Theory, Synchronization, and Application in Secure Communication

by
Viet-Thanh Pham
1,*,
Victor Kamdoum Tamba
2,
Fernando E. Serrano
3,4,
Giuseppe Grassi
5,* and
Shaher Momani
6,7
1
Faculty of Electronics Technology, Industrial University of Ho Chi Minh City, Ho Chi Minh City 70000, Vietnam
2
Department of Telecommunication and Network Engineering, IUT-Fotso Victor of Bandjoun, University of Dschang, Bandjoun P.O. Box 134, Cameroon
3
Instituto de Investigación en Energía IIE, Universidad Nacional Autónoma de Honduras UNAH, Tegucigalpa 11111, Honduras
4
Instituto de Robótica IRI-CSIC, Universidad Politécnica de Cataluña, 08028 Barcelona, Spain
5
Department of Engineering for Innovation, University of Salento, 73100 Lecce, Italy
6
Nonlinear Dynamics Research Center (NDRC), Ajman University, Ajman 20550, United Arab Emirates
7
Department of Mathematics, Faculty of Science, University of Jordan, Amman 11942, Jordan
*
Authors to whom correspondence should be addressed.
Algorithms 2026, 19(1), 18; https://doi.org/10.3390/a19010018
Submission received: 25 November 2025 / Revised: 19 December 2025 / Accepted: 19 December 2025 / Published: 24 December 2025

Abstract

The theory underlying non-linear dynamical systems remains essential for understanding complex behaviors in science and engineering. In this study, we propose a new chaotic dynamical system that exhibits a butterfly-shaped attractor without any equilibrium point. Despite its compact structure comprising only five terms, the system demonstrates rich chaotic behavior distinct from conventional oscillator models. Detailed modeling and dynamical analyses are conducted to confirm the presence of chaos and to characterize the system’s sensitivity to initial conditions. Furthermore, synchronization of the proposed dynamical system is investigated using both identical and non-identical control algorithms. In the identical case, the activation function of the neural network is governed by the butterfly oscillator dynamics, whereas in the non-identical case, a sigmoidal activation function is employed. The proposed synchronization algorithms enable faster convergence by pinning a subset of nodes in the network. Finally, a practical implementation of the conceived dynamical system in an encryption framework is presented, with the aim to demonstrate its feasibility and potential application in secure communication systems. The results highlight the effectiveness of the proposed approach for both theoretical exploration and engineering applications involving chaotic dynamical systems.

1. Introduction

The vital roles of oscillators have been reported in science and engineering [1,2,3,4]. With being capable of generating periodic and complex behaviors, oscillators are attractive in various fields such as electronics, biology, and cryptography [5,6,7]. Oscillators with simple structures, specifically those described by differential equations with five terms, stand out for their elegance and efficiency [8]. This makes them ideal for studying chaotic phenomena. A jerk system was built by Li and Zeng [9]. Cubic non-linearity was applied to construct a chaotic system [10]. By modifying the Rössler prototype, Kuate and Fotsin found a simple chaotic system [11]. Munmuangsaen and Srisuchinwong obtained a simple system through chaotification analysis [12]. Gokyildirim et al. proposed a five-term system where there were two squared terms [13]. Interestingly, Tamba et al. used a hyperbolic sine term to design a system without equilibrium [14].
Certain oscillators are renowned for producing butterfly attractors, chaotic patterns in phase space that visually resemble the wings of a butterfly. A typical example is the Lorenz system, a three-dimensional model with seven terms, which can display butterfly attractors [15]. The Lorenz equations, modeling atmospheric convection, generate chaotic trajectories that oscillate between two fixed points, forming the “wings” of the attractor [16]. The visual analogy to a butterfly’s wings makes these attractors intuitive tools for exploring complex systems, from weather modeling and encryption to secure communication [17,18,19]. A 12-term system was reported by Zhang and An [18]. Johansyah et al. proposed a 9-term financial risk model, in which the sinusoidal non-linearity enhances the economic stability [20]. Qiu et al. constructed a 9-term system and its circuit [21]. Based on the Sprott-B system, a 7-term system was introduced by Li et al. [22]. Li’s system generates different butterfly-shaped attractors.
Unlike self-excited attractors, which are easily located as trajectories converge from the vicinity of unstable equilibria, hidden attractors are not associated with unstable equilibrium points [23]. This makes them difficult to detect using standard numerical methods. The study of hidden attractors is vital because they appear in real-world systems like electronic circuits, neural networks, and mechanical models, where undetected chaotic behavior can lead to unexpected outcomes, such as signal instability or system failure. Identifying hidden attractors enhances our understanding of complex dynamics in applications [24].
The exploration of these oscillators gives researchers the opportunity to test the limits of predictability, making their study indispensable for deep theory and real-world applications in engineering, physics, and beyond. There are a few published five-term systems without equilibrium, and none of them exhibit butterfly attractors [14]. Our work investigates a chaotic oscillator with no equilibrium that shows butterfly attractors, a unique case that connects three different attractive areas, as illustrated in Figure 1. A comparison with related models is presented in Table 1 to indicate our work’s uniqueness. Moreover, the synchronization and application of the oscillator are also investigated. The unique combination of no equilibrium, hidden attractor, and butterfly-shape attractor benefits the encryption application because systems without equilibrium are suitable for secure applications [25,26,27].
Identical and non-identical synchronization are important to mention as the state of the art of this paper, because the butterfly oscillator is used as a drive system for identical and non-identical synchronization of neural networks. To mention some papers related to identical synchronization of neural networks, consider [28], where the finite time synchronizations for competitive neural networks with mixed delay are presented. In [29], coupled inertial neural networks are synchronized by a finite time bipartite strategy. Then, in [30], a synchronization strategy of neural networks under electromagnetic modulation is discovered. The synchronization of chemically coupled neural networks is shown in [31].
On the other hand, non-identical synchronization consists of driving a neural network response system by the dynamics of chaotic drive systems. In the literature, we can find the following important papers for this research study; for example, in [32], the event trigger passivity-based synchronization of reaction-diffusion neural networks with non-identical nodes is presented. Meanwhile, in [33], the adaptive synchronization of reaction-diffusion neural networks with unknown non-identical coupling strengths is presented. A sliding mode synchronization strategy is presented for fuzzy cellular neural networks in [34].
As explained before, as part of this research study, the identical synchronization of a neural network by implementing the butterfly chaotic oscillator as a drive system is presented in this research study. This strategy consists of the pinning synchronization of an identical neural network, in which the activation function has basically the same dynamics of the butterfly chaotic oscillator. Then, some nodes of the neural networks are pinned or fixed in order to synchronize the neural network. This fact makes the neural network synchronization faster than other strategies because only some nodes must be maintained as fixed.
It is important to mention the following references regarding the pinning synchronization of identical neural systems. For example, in references like [35], the identical synchronization of complex dynamic networks with dynamic loss is presented. Then, in [36], a crucial research study is mentioned in which time and energy cost for cluster pinning synchronization of Kuramoto oscillator networks is presented. Another interesting result to be compared with this actual research study is presented in [37]. Then, in [38], a pinning control strategy for bipartite synchronization of multiple networks is shown, which evinces a synchronization strategy that is comparable with the results shown in this research study. In [39], a pinning impulsive control for quasi-projective synchronization of stochastic multilayer networks is presented. Due to the importance of the quasi-projective synchronization, it is noticeable that this strategy is comparable with the results obtained in this paper due to the fact that pinning synchronization by projective synchronization is a basic but still effective control synchronization strategy.
Meanwhile, in addition to the previous strategy, a non-identical pinning synchronization strategy is performed by using only the butterfly oscillator dynamic system as a drive system. Similar to the previous strategy, some neural networks’ nodes are pinned or remain fixed for synchronization purposes; this makes a fast synchronization process of the whole neural network.
Meanwhile, in [40], the pinning control strategy with cluster synchronization for non-identical systems with noises is an important synchronization strategy for this research study. It is worthy to mention that the results shown in this paper provide a significant contribution implemented in this present research study; despite the fact that in this case the synchronization strategy is for random systems, the results are significant. Meanwhile, in [39], other results regarding stochastic multi-layer networks are presented in which a pinning synchronization strategy is implemented for quasi-projective synchronization. Finally, in [41], the cluster synchronization in non-linear coupled delayed networks is presented.

2. Simple Oscillator and Its Dynamics

The mathematical model of the oscillator is given by
x ˙ = a y z y ˙ = b x z c y 3 z ˙ = d e x y
where a , b , c , d , and e are positive parameters. To find the equilibrium of the oscillator, we solve the three following equations:
a y z = 0
b x z c y 3 = 0
d e x y = 0
From Equation (2), we have y = 0 or z = 0 . When y = 0 , from Equation (4), we get d = 0 ; this is unsatisfactory because d 0 . By solving Equation (3) for z = 0 , its solution is y = 0 . Similarly, by substituting y = 0 into Equation (4), we find that Equation (4) has no solution because d 0 . As a result, system (1) has no equilibrium for d 0 .
We fix a = b = c = e = 1 and change d to illustrate the elegance of the system because there is only one bifurcation parameter d in this case. The bifurcation diagram in Figure 2 and the Lyapunov exponents in Figure 3 show that chaos appears when varying d. For d = 4 and the initial conditions ( 0.3 , 0.3 , 0.3 ) , the oscillator exhibits a butterfly attractor as displayed in Figure 4.
The system is invariant under the transformation x , y , z x , y , z , indicating a rotational symmetry of order two about the z-axis. Figure 5 displays two coexisting chaotic attractors for two initial conditions ± 0.3 , ± 0.3 , 0.3 .

3. Synchronization of the Simple Oscillator as Neural Network

In this section, two synchronization strategies are shown for the synchronization of the simple chaotic oscillator with a neural network. This simple chaotic oscillator with a neural network consists of establishing this dynamic system as a neural network in which the nodes of each neuron consist of the establishment of the states of this chaotic oscillator as nodes of the neural network itself. These are the following control synchronization strategies:
  • Identical pinning synchronization of the simple oscillator.
  • Non-identical pinning synchronization of the simple oscillator.
The pinning synchronization strategies, in both cases, consist of the pinning of some neurons during the synchronization strategy; this means that some neurons are kept fixed and the others are controlled. So, with this control strategy, the synchronization of the neural network is achieved. The synchronization computational effort is reduced significantly with these control strategies.
The synchronization in this case consists of establishing a drive system, which is the simple chaotic oscillator shown in this research study, and a response system. The following drive system is implemented to synchronize the neural network composed by the simple oscillator:
X ˙ = f ( x )
in which the vector field f is given by:
f ( X ) = a x y b x | z | c y 3 d c x y = f 1 ( X ) f 2 ( X ) f 3 ( x )
The variable X is equal to X = [ x , y , z ] T . With this dynamic system, the neural network is synchronized in order to follow the evolution in time of the drive system.

3.1. Identical Pinning Synchonization of the Simple Oscillator

For the identical synchronization of the simple oscillator, consider the following neural network with the adjacency graph shown in Figure 6; so, we consider the following chaotic dynamic system as a drive system, meanwhile the response system is the nodes of each neuron:
y ˙ i = f i ( Y ) + c j = 1 N a i j Γ ( y j y i )
in which f i ( Y ) is given in (6).
For pinning synchronization purposes, the neural network is established as:
y ˙ i = IF 1 i η f i ( Y ) + c j = 1 N a i j Γ ( y j y i ) + u i IF η + 1 i N f i ( Y ) + c j = 1 N a i j Γ ( y j y i )
in which Y = [ y 1 , y 2 , y 3 , , y N ] T , where N is the number of neurons. In the following theorem. the pinning control strategy is explained to synchronize the original drive system with the neural network.
Theorem 1. 
Consider the following error variables and the first time derivative:
e i = x i y i e ˙ i = x ˙ i y ˙ i
the oscillator dynamic system implemented as a drive system is synchronized with the neural network (8) if the following pinning synchronization control law is implemented:
u i = IF i = 1 x ˙ 1 f 1 ( Y ) c j = 1 N a i j Γ ( y j y 1 ) + e 1 | e 1 | 2 k = η + 1 N e k e ˙ k + K 1 e 1 IF 1 < i η x ˙ i f i ( Y ) c j = 1 N a i j Γ ( y j y i ) + K i e i
In which K i R + is a positive gain value.
Proof. 
Consider the following Lyapunov functional:
V = 1 2 i = 1 η e i + 1 2 k = η + 1 N e k
so by obtaining the first time derivative of the Lyapunov functional, we obtained:
V ˙ = i = 1 η e i e ˙ i + k = η + 1 N e k e ˙ k
obtaining
V ˙ = i = 1 η e i x ˙ i f i ( Y ) c j = 1 N a i j Γ ( y j y i ) u i + k = η + 1 N e k e ˙ k
Now, by substituting (10) into (13), this yields the following conclusion:
V ˙ = IF i = 1 K 1 e 1 2 < 0 IF 1 < i N K i e i 2 < 0
So, the system is closed loop stable and the proof is completed. The pinning synchronization is achieved satisfactorily.

Numerical Experiment

The numerical simulation of the pinning synchronization of identical neural networks is performed here. The number of neurons in this numerical experiment consists of N = 50 neurons in which η = 24 neurons are pinned. The adjacency matrix is not shown due to space limitation, however the neural network is evinced in Figure 6. The rest of the neural network parameters are c = 3 × 10 12 with a simulation time t f = 6 s with step time of h = 0.01 s. The pinning synchronizer parameters are K 1 = 170 and K i = 20 i = 2 N . These parameter are the pinning synchronizer gains.
Figure 7 and Figure 8 show the mesh plot of the evolution in time of the identical neural networks and the contour plot of the evolution in time of the identical neural networks. As verified later, exact synchronization is achieved, and the error plots shown later prove this.
Meanwhile, in Figure 9 and Figure 10, we illustrate the evolution in time of the error variable and the contour plot of the error variable, respectively. These figures verify that the error variable reaches the origin in finite time, proving that the pinning synchronization strategy for the identical neural networks is achieved satisfactorily.
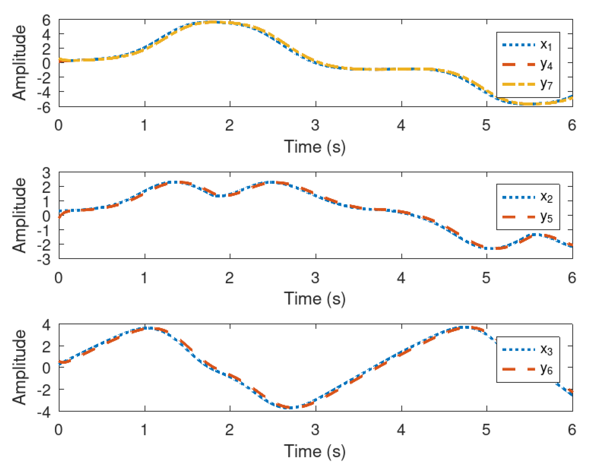
Finally, Figure 11 presents the evolution in time of the variables of the identical neural network with N = 50 neurons. It is verified that the three variables of the response system follow efficiently the trajectory of the drive system.

3.2. Non-Identical Pinning Synchronization of the Simple Oscillator

For the non-identical pinning synchronization, consider the following response system, with the adjacency graph shown in Figure 12:
y ˙ i = g i ( Y ) + c j = 1 N a i j Γ ( y j y i )
for pinning purposes, the previous neural network is established as:
y ˙ i = IF 1 i η y ˙ i = g i ( Y ) + c j = 1 N a i j Γ ( y j y i ) + u i IF η + 1 i N y ˙ i = g i ( Y ) + c j = 1 N a i j Γ ( y j y i )
Theorem 2. 
Consider the following error variables and the first time derivative:
e i = x i y i e ˙ i = x ˙ i y ˙ i
the oscillator dynamic system implemented as a drive system is synchronized with the neural network (16) if the following pinning synchronization control law is implemented:
u i = IF i = 1 x ˙ 1 g 1 ( Y ) c j = 1 N a i j Γ ( y j y 1 ) + e 1 | e 1 | 2 k = η + 1 N e k e ˙ k + K 1 e 1 IF 1 < i η x ˙ i g i ( Y ) c j = 1 N a i j Γ ( y j y i ) + K i e i
In which K i R + is a positive gain value.
Proof. 
Consider the following Lyapunov functional:
V = 1 2 i = 1 η e i 2 + 1 2 k = η + 1 N e k 2
by obtaining the first time derivative of the previous Lyapunov functional:
V ˙ = i = 1 η e i e ˙ i + k = η + 1 N e k e ˙ k
Now, by substituting (16) into (20), the following result is obtained:
V ˙ = i = 1 η e i x ˙ i g i ( Y ) c j = 1 N a i j Γ ( y j y i ) u i + k = η + 1 N e k e ˙ k
Now, by substituting (18) into (21), the following result is obtained:
V = IF i = 1 K 1 e 1 2 < 0 IF 1 < i N K i e i 2 < 0
and with the previous equation, the proof is completed. □

Numerical Experiment

Similar to the identical case, the simulation parameters of the non-identical case are given by N = 50 neurons, with the adjacency matrix displayed in Figure 12. Meanwhile, the other neural network parameters are given as c = 1 × 10 12 , a simulation time of t f = 6 s with step time of h = 0.01 s. The number of pinned neurons is η = 24 neurons, while K 1 = 17 and K i = 20 i = 2 N .
Figure 13 and Figure 14 present the evolution in time of the variable of the response system Y. It is verified that the synchronization by using the pinning control strategy performs efficiently. In the following plots, this fact is corroborated in order to show that the neural network follows the trajectory of the drive system.
Meanwhile, Figure 15 and Figure 16 show the evolution in time of the error variable in a mesh plot and in a contour plot. It is ratified in these figures that the error variable reaches the origin in finite time, so it is proved that exact synchronization is achieved.
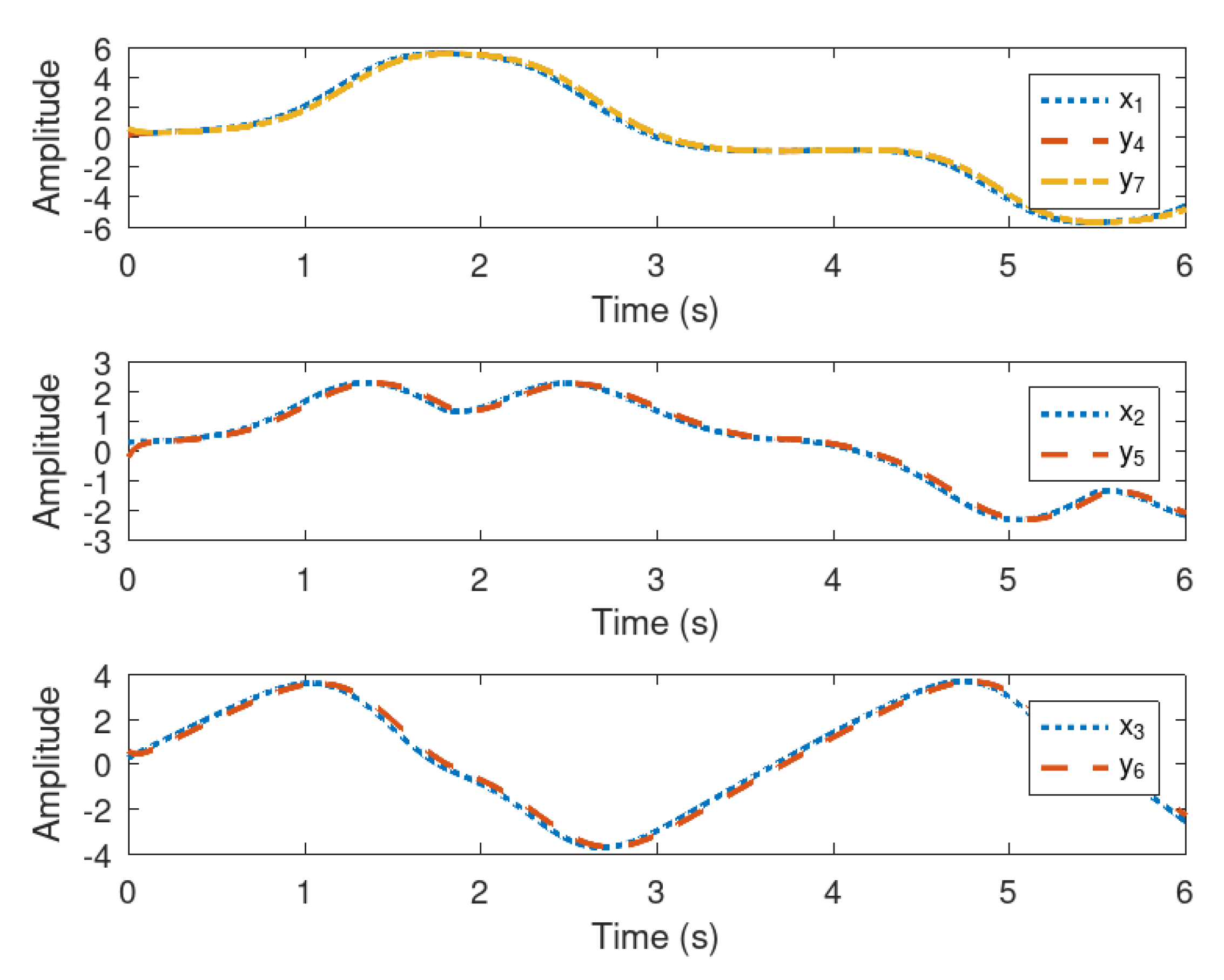
Finally, in Figure 17, it is evinced the synchronization in the x, y, and z axes. The pinning synchronization strategy yields that the trajectory of the drive system is followed efficiently by the neural networks response system. This figure ratified that the error between the drive and response system is followed accurately.

4. Sensitivity Analysis of the Identical and Non-Identical Pinning Synchronization

In this section, a sensitivity analysis of the identical and non-identical pinning synchronization strategies is shown. It is important to mention that in this case, the neural network consists of 50 neurons. The neural network synchronization strategy is pinned by varying the number of pinned neurons in the following way: η = 24 , 35 , 45 , 15 , 7 neurons. It is verified numerically how the response variable Y and the synchronization error vary in time according to the variation of the synchronization pinned neurons. It is verified how the error in the synchronization varies in time, proving that the response of the synchronization controller is slightly affected by the numbers of pinned neurons.
Figure 18 and Figure 19 show the evolution in time of the variables y 1 , y 2 , y 3 along with their respective synchronization errors e 1 , e 2 , e 3 . It is verified that the error is greater when the number of nodes is low; this is verified later in the root mean square error comparison table. This could occur because the propagation in error of the network is higher when lower values of nodes are pinned η .
Meanwhile, the same behavior is obtained in the non-identical synchronization case. As verified in Figure 20 and Figure 21, the root mean square error is higher when the number of pinned nodes is low, and it is lower when the number of pinned nodes is high. This is due to the propagation of the error through the neural network being higher when the number of pinned node is low.
Table 2 presents the root mean square error of the variable e 1 for the identical and non-identical synchronization case. It is verified that the lower the root mean square error is the higher the number of nodes pinned. As explained before, this occurs because the propagation error is higher when the number of pinned nodes is low.

5. Implementation of Oscillator

This section presents the implementation of the oscillator with butterfly attractors using a microcontroller board. This method offers many advantages over the use of analog electronic circuits. It is robust, stable, fast, and flexible. It can be used to implement highly complex systems and gives the possibility of modifying the values of the system’s parameters and initial conditions. In this work, we are using an Arduino Due board due to its advantage of directly integrating a digital-to-analog converter. The flow chart diagram presenting the key steps of implementation is shown in Figure 22.
As shown in Figure 22, six main steps are required to implement the oscillator. The first is to initialize the microcontroller board connected to the computer. The second is to define the system equations with their parameters and initial conditions. The third is numerical integration of the system using the fourth-order Runge–Kutta algorithm. The fourth consists of acquiring the data resulting from the numerical integration of the system. The fifth step involves processing the data for display on an oscilloscope (sixth step). Quantitative information regarding the implementation of the designed chaotic system with no equilibrium and butterfly attractors through the Arduino Due (SAM3X8E) board is provided in Table 3. It should be noted that numerical integration error, timing constraints, and computational load should be considered carefully when using the microcontroller. The results captured from the oscilloscope are shown in Figure 23. Figure 23 shows the remarkable consistency between the results obtained from numerical simulations and those delivered by the microcontroller. This confirms that microcontrollers enable efficient implementation of chaotic systems.

6. Biomedical Image Encryption

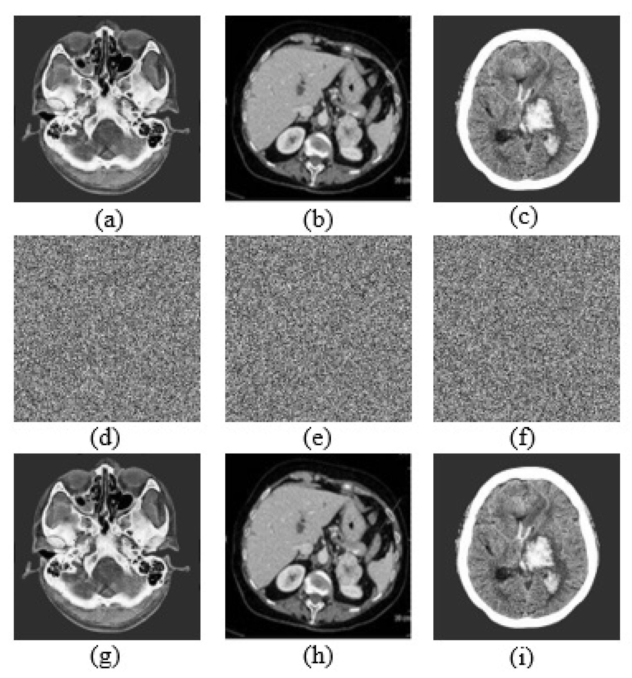
This section is dedicated to the use of dynamic oscillator behaviors to develop a robust and secure algorithm for biomedical image encryption. The images used are those of Cerebral Infarction, Kidney Cancer, and Intracerebral Hemorrhage. Performance analyses are performed to confirm the security and robustness of the designed algorithm.
Design of the algorithm
The key steps involved in developing the algorithm based on an oscillator with butterfly attractors are shown in Figure 24. The first step consists of performing a diffusion transformation based on the zig-zag on the plain image to obtain the image M ( i ) . In the second step, the image M ( i ) and the chaotic bits generated from oscillator with butterfly are combined through a permutation operation to form the image P ( i ) . At this step, the plain image is already encrypted. But, to enhance the robustness and security of the algorithm, in the third step, the P ( i ) image from the previous step is introduced into the confusion layer based on the S-box to produce the C ( i ) image. In the fourth and final step, a substitution operation is performed between the chaotic bits obtained from oscillator with butterfly and the C ( i ) image to generate a robust and secure encrypted image. It is important to note that once the encrypted images have been transmitted to the destination (which may be the doctor in charge of diagnosing the diseases contained in these images), to obtain the plain image, it will be necessary to perform the reverse steps of the encryption process described above.
Implementation of the algorithm
The implementation results of the encryption algorithm based on oscillator with butterfly attractors is shown in Figure 25.
The results in Figure 25 clearly show that when the algorithm is applied to the original images, the resulting encrypted images are totally different from the original ones. It also shows that after the reverse process, the images obtained are practically identical to the original ones.
Algorithm performance analysis
To confirm if the designed biomedical image encryption algorithm is efficient, it is necessary to run some performance analysis. These analyses are performed in the following.
Key sensitivity analysis
The aim here is to test the algorithm’s performance against extremely slight changes in parameter values. This analysis is carried out by introducing a slight perturbation of the order of 10 15 in the values of the parameters and initial conditions. The results of this analysis are shown in Figure 26.
The results in Figure 26 show that when a slight perturbation is introduced in the values of the parameters and initial conditions, it is no longer possible to obtain the original image. This confirms that the algorithm is extremely sensitive to slight variations in the key.
Information entropy analysis
Entropy is one of the key metrics used to characterize image complexity. It is expressed by the following formula.
H m = i = 1 N P m i log 2 P m i
The results of the information entropies are recorded in Table 4.
Looking at the results in Table 4, the entropy of the encrypted images is close to 8. This confirms that the encrypted images are random, and the algorithm has good security.
Histogram analysis
Another way of checking an algorithm’s performance is to analyze the histogram of the image, which is randomly distributed for the original image and uniformly presented for the encrypted image. The results of this analysis for original and encrypted images are shown in Figure 27.
From the results in Figure 27, it is observed that the histogram of the encrypted image is randomly distributed, which confirms that the elaborated algorithm has high potential to resist eventual statistical attacks.
Pixel correlations analysis
This analysis studies the degree of resemblance between the different pixels of the original images and the encrypted images in horizontal, vertical, and diagonal directions. The results of the analysis are recorded in Table 5.
The results in Table 5 show that the degree of resemblance between pixels is very high for the original images and zero for the encrypted ones. This confirms the reliability of the encryption algorithm.
Differential attacks analysis.
This analysis is performed by comparing the algorithm’s NPCR and UACI values with the normalized values, which are 99.6094% for NPCR and 33.4635% for UACI. The algorithm is resistant to differential attacks if its NPCR and UACI values are very close to the normalized values of NPCR and UACI. The results of this analysis are presented in Table 6.
The results presented in Table 3 show that the algorithm’s NPCR and UACI values are very close to the normalized values. This confirms that the algorithm is resistant to differential attacks.
Noise and data loss attacks analysis
This analysis studies the algorithm’s ability to withstand the effects of noise and data loss. Gaussian and Salt and Pepper noise are considered. The effects of the Gaussian and Salt and Pepper noise on the encryption algorithm are shown in Figure 28 and Figure 29, respectively.
From the results in Figure 28 and Figure 29, it is observed that the encryption algorithm is resistant to the Gaussian and Salt and Pepper noise attacks.
To analyze the data loss, a portion of the image is cancelled before the encryption process. The results of this analysis are shown in Figure 30.
From the results in Figure 30, despite the loss of data, the encryption algorithm is still able to restore the original image. This confirms that the algorithm is efficient in the face of data loss.
Performance comparison between the image encryption algorithm developed in this work with some recent related image encryption methods
To demonstrate the advantages and efficiency of the encryption algorithm developed in this work, we compare some of its performance metrics (entropy, correlation coefficients of adjacent pixels, NPCR, and UACI) with those of some encryption methods. The results of the comparison are shown in Table 7. By examining the results in Table 7, we note that the image encryption algorithm described in this work performs better than the others studied in some related contributions.

7. Conclusions

In this paper, a novel oscillator has been explored. Having unique features such as five terms, butterfly, and attractors, our oscillator is special and attractive. We have presented also the identical synchronization of neural networks in which the drive system is the butterfly chaotic oscillator and then the response system is a neural network. For this purpose, the activation function of the neural network is identical to the drive system, so by pinning synchronization, some nodes are fixed or pinned in order to reduce the computational effort of the synchronization. Using the oscillator for encryption shows its potential application.
In addition, the non-identical synchronization of the butterfly chaotic oscillator as drive system, and a neural network as a response system, is presented. The activation function of the neural network in this case is a sigmoidal function, and the pinning synchronization is achieved by maintaining some neurons or nodes fixed or pinned in order to reduce significantly the computational effort of the synchronization control techniques.
In both synchronization cases, it is proved that the control synchronization techniques are efficient; this is corroborated in the evolution in time of the neural network in which the error is reduced to zero in finite time for all the neurons. Pinning control algorithms are useful to solve efficiently and faster the synchronization problem of the neural network, improving the accuracy and reducing the computational effort in the identical and non-identical cases.

Author Contributions

Conceptualization, V.-T.P.; Formal analysis, F.E.S.; Funding acquisition, S.M.; Investigation, G.G.; Methodology, V.-T.P.; Resources, V.K.T.; Software, F.E.S.; Supervision, G.G.; Validation, G.G.; Visualization, V.K.T.; Writing—original draft, V.K.T.; Writing—review and editing, S.M. All authors have read and agreed to the published version of the manuscript.

Funding

This work is supported by Ajman University Internal Research Grant No. [DRGS Ref. 2024-IRG-HBS-2].

Data Availability Statement

Data is in the article.

Conflicts of Interest

The authors declare no conflicts of interest.

References

  1. Zhang, J.; Yin, S.; Guo, B.; Liu, Y. Vibro-impact dynamics of an experimental rig with two-sided constraint and bidirectional drift. J. Sound Vib. 2024, 571, 118021. [Google Scholar] [CrossRef]
  2. Bonny, T.; AlMutairi, F.; Nassan, W.A. A novel clock-glitch-attack-proof image encryption algorithm implemented on FPGA. Multimed. Tools Appl. 2024, 83, 18881–18906. [Google Scholar] [CrossRef]
  3. Kakou, P.; Gupta, S.K.; Barry, O. A nonlinear analysis of a Duffing oscillator with a nonlinear electromagnetic vibration absorber–inerter for concurrent vibration mitigation and energy harvesting. Nonlinear Dyns. 2024, 112, 5847–5862. [Google Scholar] [CrossRef]
  4. Ding, X.; Fan, W.; Wang, N.; Su, Y.; Chen, M.; Lin, Y.; Xu, Q. Dynamical behaviors and firing patterns in a fully memory-element emulator-based bionic circuit. Chaos Solitons Fractals 2025, 199, 116658. [Google Scholar] [CrossRef]
  5. Li, C.; Akgul, A.; Bi, L.; Xu, Y.; Zhang, C. A chaotic jerk oscillator with interlocked offset boosting. Eur. Phys. J. Plus 2024, 139, 242. [Google Scholar] [CrossRef]
  6. Oswiecimka, P.; Drozdz, S.; Ricci, L.; Valdes-Sosa, P.A.; Frasca, M.; Minati, L. Multifractal signal generation by cascaded chaotic systems and their analog electronic realization. Nonlinear Dyns. 2024, 112, 5707–5725. [Google Scholar] [CrossRef]
  7. Estudillo-Valdez, M.A.; Adeyemi, V.A.; Nunez-Perez, J.C. FPGA realization of an image encryption system using the DCSK-CDMA technique. Integration 2024, 96, 102157. [Google Scholar] [CrossRef]
  8. Ramakrishnan, B.; Tamba, V.K.; Pone, J.R.M.; Ngueuteu, S.G.M.; Rajagopal, K. Autonomous three-dimensional oscillator with five terms: Spiking oscillations generation mechanism, microcontroller implementation and controls. Phys. Scr. 2023, 98, 015214. [Google Scholar] [CrossRef]
  9. Li, F.; Zeng, J. Multi-Scroll Attractors and Multi-Stable Dynamics of a Three-Dimensional Jerk System. Energies 2023, 16, 2494. [Google Scholar] [CrossRef]
  10. Gokyildirim, A.; Kocamaz, U.E.; Uyaroglu, Y.; Calgan, H. A novel five-term 3D chaotic system with cubic nonlinearity and its microcontroller-based secure communication implementation. AEU Int. J. Electron. Commun. 2023, 160, 154497. [Google Scholar] [CrossRef]
  11. Kuate, P.D.K.; Fotsin, H. Complex dynamics induced by a sine nonlinearity in a five-term chaotic system: FPGA hardware design and synchronization. Chaos 2020, 30, 123107. [Google Scholar] [CrossRef]
  12. Munmuangsaen, B.; Srisuchinwong, B. A new five-term simple chaotic attractor. Phys. Lett. A 2009, 373, 4038–4043. [Google Scholar] [CrossRef]
  13. Gokyildirim, A.; Kocamaz, U.E.; Calgan, H. A novel five-term 3D chaotic system with two squared nonlinearities and its secure communication application for biomedical data. Biomed. Signal Process. Control. 2026, 112, 108494. [Google Scholar] [CrossRef]
  14. Tamba, V.K.; Pham, V.T.; Vo Hoang, D.; Jafari, S.; Alsaadi, F.E.; Alsaadi, F.E. Dynamic system with no equilibrium and its chaos anti-synchronization. Automatika 2018, 2018, 35–42. [Google Scholar] [CrossRef]
  15. Lorenz, E. Deterministic nonperiodic flow. J. Atmos. Sci. 1963, 20, 130–141. [Google Scholar] [CrossRef]
  16. Ahmadi, A.; Parthasarathy, S.; Natiq, H.; Rajagopal, K.; Huerta-Cuellar, G.; Jafari, S. Coexisting attractors and multi-stability within a Lorenz model with periodic heating function. Phys. Scr. 2023, 98, 055219. [Google Scholar] [CrossRef]
  17. Geogdzhayev, G.; Souza, A.N.; Ferrari, R. The evolving butterfly: Statistics in a changing attractor. Phys. D 2024, 462, 134107. [Google Scholar] [CrossRef]
  18. Zhang, L.; An, X.L. Dynamic Analysis of a Four-Wing Chaotic System and Application in Image Encryption Based on Compressive Sensing. IEEE Access 2024, 12, 2573–2588. [Google Scholar] [CrossRef]
  19. Khan, M.; Shah, T.; Mahmood, H.; Gondal, M.A.; Hussain, I. A novel technique for the construction of strong S-boxes based on chaotic Lorenz systems. Nonlinear Dyn. 2012, 70, 2303–2311. [Google Scholar] [CrossRef]
  20. Johansyah, M.; Vaidyanathan, S.; Benkouider, K.; Sambas, A.; Aruna, C.; Annavarapu, S.; Rusyaman, E.; Kartiwa, A. A Chaotic Butterfly Attractor Model for Economic Stability Assessment in Financial Systems. Mathematics 2025, 13, 1633. [Google Scholar] [CrossRef]
  21. Qiu, H.; Xu, X.; Jiang, Z.; Sun, K.; Cao, C. Dynamical behaviors, circuit design, and synchronization of a novel symmetric chaotic system with coexisting attract. Sci. Rep. 2023, 13, 1893. [Google Scholar] [CrossRef]
  22. Li, L.; Kong, D.; Chai, Z.; Wang, Y. A simple butterfly-shaped chaotic system. Eur. Phys. J. B 2022, 95, 115. [Google Scholar] [CrossRef]
  23. Liu, X.; Sun, K.; Wang, H. Dynamical analysis and implementation of novel discrete memristive chaotic maps with hidden attractors. Eur. Phys. J. Plus 2024, 139, 27. [Google Scholar] [CrossRef]
  24. Barathi, G.; Natiq, H.; He, S.; Wang, H.; Rajagopal, K.; Hussain, I. A Novel Dynamical System: Chaos, Hidden Dynamics, Multistability, and Applications. Int. J. Bifurc. Chaos 2025, 35, 2530015. [Google Scholar] [CrossRef]
  25. Jahanshahi, H.; Orozco-Lopez, O.; Munoz-Pacheco, J.M.; Alotaibi, N.D.; Volos, C.; Wang, Z.; Sevilla-Escoboza, R.; Chu, Y.M. Simulation and experimental validation of a non-equilibrium chaotic system. Chaos Solitons Fractals 2021, 143, 110539. [Google Scholar] [CrossRef]
  26. Lai, Q.; Zhang, H.; Kuate, P.D.K.; Xu, G.; Zhao, X. Analysis and implementation of no-equilibrium chaotic system with application in image encryption. Appl. Intell. 2022, 52, 11448–11471. [Google Scholar] [CrossRef]
  27. Xu, W.; Shi, X.; Jiang, H.; Yu, J.; Zhang, L.; Zhuang, L.; Wang, Z. A simple 4D no-equilibrium chaotic system with only one quadratic term and its application in pseudo-random number generator. Chaos Solitons Fractals 2024, 182, 114752. [Google Scholar] [CrossRef]
  28. Li, Y.; Yang, X.; Shi, L. Finite-time synchronization for competitive neural networks with mixed delays and non-identical perturbations. Neurocomputing 2016, 185, 242–253. [Google Scholar] [CrossRef]
  29. Yu, T.; Cao, D.; Cao, J.; Hua, L. Finite-time bipartite synchronization control of coupled inertial neural networks over sign graph. Neurocomputing 2025, 652, 131111. [Google Scholar] [CrossRef]
  30. Ye, Z.; Liu, L.; Liu, Y.; Zeng, J.; Xie, Y.; Jia, Y.; Yang, L. Synchronization stability in conductance-based neural networks under electromagnetic modulation. Chaos Solitons Fractals 2025, 200, 117083. [Google Scholar] [CrossRef]
  31. Li, R.; Yin, P.F.; Zhou, J.F.; Zhou, Z.; Yuan, W.J. Synchronization in chemically coupled neural network with input normalization. Chaos Solitons Fractals 2025, 201, 117172. [Google Scholar] [CrossRef]
  32. Lin, S.; Huang, Y.; Ren, S. Event-triggered passivity and synchronization of delayed multiple-weighted coupled reaction–diffusion neural networks with non-identical nodes. Neural Networks 2020, 121, 259–275. [Google Scholar] [CrossRef] [PubMed]
  33. Li, J.; He, C.; Zhang, W.; Chen, M. Adaptive synchronization of delayed reaction-diffusion neural networks with unknown non-identical time-varying coupling strengths. Neurocomputing 2017, 219, 144–153. [Google Scholar] [CrossRef]
  34. Gan, Q.; Xu, R.; Yang, P. Synchronization of non-identical chaotic delayed fuzzy cellular neural networks based on sliding mode control. Commun. Nonlinear Sci. Numer. Simul. 2012, 17, 433–443. [Google Scholar] [CrossRef]
  35. Zhuang, J.; Li, J.Y.; Zhang, S.; Zhang, Y. Synchronization of complex dynamic networks with packet loss: A novel intermittent pinning impulsive control approach. Chaos Solitons Fractals 2025, 192, 115966. [Google Scholar] [CrossRef]
  36. Zhu, J.; Li, W.; Yin, X.; Chang, J.; Zhao, D.; Sun, Y. Time and energy costs for cluster synchronization in Kuramoto-oscillator networks under pinning strategies. Chaos Solitons Fractals 2026, 204, 117752. [Google Scholar] [CrossRef]
  37. Zhang, L.; Lu, J.; Ruan, Q.; Lou, J. Potential impacts of delay on pinning impulsive secure synchronization control of delayed networks. ISA Trans. 2025; in press. [Google Scholar] [CrossRef]
  38. Ma, L.; Wang, Z.; Hong, M.; Zheng, C.; Xiao, M. Bipartite synchronization for multiplex networks under false data injection attacks via pinning control. Commun. Nonlinear Sci. Numer. Simul. 2026, 152, 109336. [Google Scholar] [CrossRef]
  39. Shi, L.; Lu, J.G.; Li, J.; Jiang, H.; Wang, J.; Ren, Y. Pinning impulsive control for quasi-projective synchronization of stochastic multi-layer networks. Inf. Sci. 2025, 702, 121896. [Google Scholar] [CrossRef]
  40. Hu, A.; Cao, J.; Hu, M.; Guo, L. Cluster synchronization in directed networks of non-identical systems with noises via random pinning control. Phys. A Stat. Mech. Its Appl. 2014, 395, 537–548. [Google Scholar] [CrossRef]
  41. Wang, Y.; Cao, J. Cluster synchronization in nonlinearly coupled delayed networks of non-identical dynamic systems. Nonlinear Anal. Real World Appl. 2013, 14, 842–851. [Google Scholar] [CrossRef]
  42. Li, L.; Luo, Y.; Qiu, S.; Ouyang, X.; Cao, L.; Tang, S. Image encryption using chaotic map and cellular automata. Multimed. Tools Appl. 2022, 81, 40755–40773. [Google Scholar] [CrossRef]
  43. Chai, X.; Chen, Y.; Broyde, L. A novel chaos-based image encryption algorithm using DNA sequence operations. Opt. Lasers Eng. 2017, 88, 197–213. [Google Scholar] [CrossRef]
  44. Zheng, J.; Luo, Z.; Zeng, Q. An efficient image encryption algorithm based on multi chaotic system and random DAN coding. Multimed. Tools Appl. 2020, 79, 29901–29921. [Google Scholar] [CrossRef]
  45. Agarwal, V.; Kumar, D. Secure chaotic image encryption method using random graph traversal and three step diffusion. Multimed. Tools Appl. 2024, 83, 46799–46824. [Google Scholar] [CrossRef]
  46. De Dieu, N.J.; Ruben, F.S.V.; Nestor, T.; Zeric, N.T.; Jacques, K. Analysis. Multimed. Tools Appl. 2022, 81, 10907–10934. [Google Scholar] [CrossRef]
Figure 1. Relationships among three kinds of oscillators. Our proposed oscillator is a special one located at the intersection of three areas.
Figure 1. Relationships among three kinds of oscillators. Our proposed oscillator is a special one located at the intersection of three areas.
Algorithms 19 00018 g001
Figure 2. Bifurcation diagram for d, the initial conditions ( 0.3 , 0.3 , 0.3 ) .
Figure 2. Bifurcation diagram for d, the initial conditions ( 0.3 , 0.3 , 0.3 ) .
Algorithms 19 00018 g002
Figure 3. Maximum Lyapunov exponents for d, the initial conditions ( 0.3 , 0.3 , 0.3 ) .
Figure 3. Maximum Lyapunov exponents for d, the initial conditions ( 0.3 , 0.3 , 0.3 ) .
Algorithms 19 00018 g003
Figure 4. Butterfly-shape attractor observed in the oscillator for d = 4 .
Figure 4. Butterfly-shape attractor observed in the oscillator for d = 4 .
Algorithms 19 00018 g004
Figure 5. Coexisting chaotic attractors for two initial conditions 0.3 , 0.3 , 0.3 (blue) and 0.3 , 0.3 , 0.3 (red).
Figure 5. Coexisting chaotic attractors for two initial conditions 0.3 , 0.3 , 0.3 (blue) and 0.3 , 0.3 , 0.3 (red).
Algorithms 19 00018 g005
Figure 6. Adjancency graph of the identical neural network.
Figure 6. Adjancency graph of the identical neural network.
Algorithms 19 00018 g006
Figure 7. Mesh plot of the evolution in time of the identical neural network with N = 50 neurons.
Figure 7. Mesh plot of the evolution in time of the identical neural network with N = 50 neurons.
Algorithms 19 00018 g007
Figure 8. Contour plot of the evolution in time of the identical neural network with N = 50 neurons.
Figure 8. Contour plot of the evolution in time of the identical neural network with N = 50 neurons.
Algorithms 19 00018 g008
Figure 9. Mesh plot of the evolution in time of the error variables of the identical neural network with N = 50 neurons.
Figure 9. Mesh plot of the evolution in time of the error variables of the identical neural network with N = 50 neurons.
Algorithms 19 00018 g009
Figure 10. Contour plot of the evolution in time of the error variables of the identical neural network with N = 50 neurons.
Figure 10. Contour plot of the evolution in time of the error variables of the identical neural network with N = 50 neurons.
Algorithms 19 00018 g010
Figure 11. Plot of the evolution in time of the variables of the identical neural network with N = 50 neurons.
Figure 11. Plot of the evolution in time of the variables of the identical neural network with N = 50 neurons.
Algorithms 19 00018 g011
Figure 12. Adjacency graph of the non-identical neural network.
Figure 12. Adjacency graph of the non-identical neural network.
Algorithms 19 00018 g012
Figure 13. Mesh plot of the evolution in time of the non-identical neural network with N = 50 neurons.
Figure 13. Mesh plot of the evolution in time of the non-identical neural network with N = 50 neurons.
Algorithms 19 00018 g013
Figure 14. Contour plot of the evolution in time of the non-identical neural network with N = 50 neurons.
Figure 14. Contour plot of the evolution in time of the non-identical neural network with N = 50 neurons.
Algorithms 19 00018 g014
Figure 15. Mesh plot of the evolution in time of the error variables of the non-identical neural network with N = 50 neurons.
Figure 15. Mesh plot of the evolution in time of the error variables of the non-identical neural network with N = 50 neurons.
Algorithms 19 00018 g015
Figure 16. Contour plot of the evolution in time of the error variables of the non-identical neural network with N = 50 neurons.
Figure 16. Contour plot of the evolution in time of the error variables of the non-identical neural network with N = 50 neurons.
Algorithms 19 00018 g016
Figure 17. Plot of the evolution in time of the variables of the non-identical neural network with N = 50 neurons.
Figure 17. Plot of the evolution in time of the variables of the non-identical neural network with N = 50 neurons.
Algorithms 19 00018 g017
Figure 18. Evolution in time of the neurons x 1 , x 2 , x 3 while varying the number of pinned nodes for the identical synchronization case.
Figure 18. Evolution in time of the neurons x 1 , x 2 , x 3 while varying the number of pinned nodes for the identical synchronization case.
Algorithms 19 00018 g018
Figure 19. Evolution in time of the errors e 1 , e 2 , e 3 while varying the number of pinned nodes for the identical synchronization case.
Figure 19. Evolution in time of the errors e 1 , e 2 , e 3 while varying the number of pinned nodes for the identical synchronization case.
Algorithms 19 00018 g019
Figure 20. Evolution in time of the neurons x 1 , x 2 , x 3 while varying the number of pinned nodes for the non-identical synchronization case.
Figure 20. Evolution in time of the neurons x 1 , x 2 , x 3 while varying the number of pinned nodes for the non-identical synchronization case.
Algorithms 19 00018 g020
Figure 21. Evolution in time of the errors e 1 , e 2 , e 3 while varying the number of pinned nodes for the non-identical synchronization case.
Figure 21. Evolution in time of the errors e 1 , e 2 , e 3 while varying the number of pinned nodes for the non-identical synchronization case.
Algorithms 19 00018 g021
Figure 22. Flow chart diagram showing the key steps of the implementation of the oscillator using a microcontroller board.
Figure 22. Flow chart diagram showing the key steps of the implementation of the oscillator using a microcontroller board.
Algorithms 19 00018 g022
Figure 23. Phase portrait of the oscillator with butterfly attractor captured from the oscilloscope after its implementation using a microcontroller board. The oscilloscope probes are numbered 1 and 2.
Figure 23. Phase portrait of the oscillator with butterfly attractor captured from the oscilloscope after its implementation using a microcontroller board. The oscilloscope probes are numbered 1 and 2.
Algorithms 19 00018 g023
Figure 24. Key steps involved in developing the algorithm based on oscillator with butterfly attractors.
Figure 24. Key steps involved in developing the algorithm based on oscillator with butterfly attractors.
Algorithms 19 00018 g024
Figure 25. Implementation results of the encryption algorithm based on oscillator with butterfly attractors. (a) Plain image of Cerebral Infarction, (b) plain image of Kidney Cancer, (c) plain image of Intracerebral Hemorrhage, (d) encrypted image of Cerebral Infarction, (e) encrypted image of Kidney Cancer, (f) encrypted image of Intracerebral Hemorrhage, (g) decrypted image of Cerebral Infarction, (h) decrypted image of Kidney Cancer, (i) decrypted image of Intracerebral Hemorrhage.
Figure 25. Implementation results of the encryption algorithm based on oscillator with butterfly attractors. (a) Plain image of Cerebral Infarction, (b) plain image of Kidney Cancer, (c) plain image of Intracerebral Hemorrhage, (d) encrypted image of Cerebral Infarction, (e) encrypted image of Kidney Cancer, (f) encrypted image of Intracerebral Hemorrhage, (g) decrypted image of Cerebral Infarction, (h) decrypted image of Kidney Cancer, (i) decrypted image of Intracerebral Hemorrhage.
Algorithms 19 00018 g025
Figure 26. Key sensitivity test results. (a) Correct keys, (b) a + 10 15 , (c) b + 10 15 , (d) c + 10 15 , (e) d + 10 15 , (f) e + 10 15 , (g) x 0 + 10 15 , (h) y 0 + 10 15 , (i) z 0 + 10 15 .
Figure 26. Key sensitivity test results. (a) Correct keys, (b) a + 10 15 , (c) b + 10 15 , (d) c + 10 15 , (e) d + 10 15 , (f) e + 10 15 , (g) x 0 + 10 15 , (h) y 0 + 10 15 , (i) z 0 + 10 15 .
Algorithms 19 00018 g026
Figure 27. Histogram of input original images (a), encrypted images (b), and decrypted images (c).
Figure 27. Histogram of input original images (a), encrypted images (b), and decrypted images (c).
Algorithms 19 00018 g027
Figure 28. Effects of the Gaussian noise on the performance of the algorithm. (a1a3) encrypted image with 0.01, 0.05, and 0.1 Gaussian noise, respectively. (b1b3) Corresponding decrypted images.
Figure 28. Effects of the Gaussian noise on the performance of the algorithm. (a1a3) encrypted image with 0.01, 0.05, and 0.1 Gaussian noise, respectively. (b1b3) Corresponding decrypted images.
Algorithms 19 00018 g028
Figure 29. Effects of the Salt and Pepper noise on the performance of the algorithm. (a1a3) Encrypted image with 0.01, 0.05, and 0.1 Salt and Pepper noise, respectively. (b1b3) Corresponding decrypted images.
Figure 29. Effects of the Salt and Pepper noise on the performance of the algorithm. (a1a3) Encrypted image with 0.01, 0.05, and 0.1 Salt and Pepper noise, respectively. (b1b3) Corresponding decrypted images.
Algorithms 19 00018 g029
Figure 30. Impact of data loss on the performance of the algorithm. (a1a3) Encrypted image with 1 / 32 , 1 / 16 , and 1 / 4 data loss, respectively. Black squares represent the portion of data that has been lost. (b1b3) Corresponding decrypted images.
Figure 30. Impact of data loss on the performance of the algorithm. (a1a3) Encrypted image with 1 / 32 , 1 / 16 , and 1 / 4 data loss, respectively. Black squares represent the portion of data that has been lost. (b1b3) Corresponding decrypted images.
Algorithms 19 00018 g030
Table 1. Comparison with related models showing the uniqueness of our proposed oscillator.
Table 1. Comparison with related models showing the uniqueness of our proposed oscillator.
SystemTermEquilibriumButterfly Attractor
[9]5finiteno
[10]54no
[11]53no
[12]52no
[13]51no
[14]5noneno
This work5noneyes
Table 2. Root mean square error of the error variable e 1 for the identical and non-identical cases.
Table 2. Root mean square error of the error variable e 1 for the identical and non-identical cases.
Synchronization Type η = 7 η = 15 η = 24 η = 35 η = 45
Identical1.779551.547990.4879590.3777940.20718
Non-identical1.627230.7848880.5676080.3880940.275844
Table 3. The implementation details for the Arduino Due (SAM3X8E).
Table 3. The implementation details for the Arduino Due (SAM3X8E).
Metric CategoryParameterTechnical Specification or Value
Hardware PlatformMicrocontrollerAtmel SAM3X8E (ARM Cortex-M3, 32-bit)
Clock Speed84 MHz
Numerical AccuracyArithmetic Format64-bit Double Precision
Integration Scheme4th Order Runge–Kutta (RK4)
Integration Step Δ t 0.01
Integration Error< 10 7
Timing ConstraintsSampling Period t s 1.0 ms
Computational LoadExecution Time t exec 72 μs
CPU Utilization7.2%
Output and PrecisionSignal Resolution12-bit (Internal DAC0/DAC1)
Voltage Resolution0.805 mV (per LSB at 3.3 V)
Table 4. Information entropies of original and cipher images.
Table 4. Information entropies of original and cipher images.
Version of ImageCerebral InfarctionKidney CancerIntracerebral Hemorrhage
Original image5.56256.77364.7512
Cipher image7.99727.99737.9975
Table 5. The degree of resemblance between adjacent pixels of the grey-scale images.
Table 5. The degree of resemblance between adjacent pixels of the grey-scale images.
DirectionGray-Scale ImagesCipher Images
Cerebral Kidney Intracerebral Cerebral Kidney Intracerebral
Infarction Cancer Hemorrhage Infarction Cancer Hemorrhage
Horizontal0.95310.94090.9407−0.000670.00092−0.00052
Vertical0.95390.95930.9336−0.00017−0.00033−0.0008
Diagonal0.92420.91120.88900.00036−0.000360.00044
Average0.94370.93710.9211−0.00015−0.00077−0.00029
Table 6. Results of differential attacks analysis.
Table 6. Results of differential attacks analysis.
ImageNPCR (%)UACI (%)
Cerebral Infarction99.597233.4590
Kidney Cancer99.581937.4571
Intracerebral Hemorrhage99.618533.5077
Table 7. Performance comparison between the image encryption algorithm developed in this work with some related image encryption methods.
Table 7. Performance comparison between the image encryption algorithm developed in this work with some related image encryption methods.
AlgorithmEntropyCorrelation Coefficients of Adjacent PixelsNPCR (%)UACI (%)
H V D
Our algorithm7.9972 0.00067 0.00017 0.00036 99.597233.4590
Ref. [42]7.9788 0.009998 0.001372 0.006567 99.608233.0228
Ref. [43]7.9972 0.0245 0.0193 0.0226 99.6028.6200
Ref. [44]7.9970 0.040583 0.027371 0.014449 99.591133.5648
Ref. [45]7.9967 0.001885 0.012793 0.007396 99.630733.1598
Ref. [46]7.9964 0.0057 0.0034 0.0073 99.618533.6245
Disclaimer/Publisher’s Note: The statements, opinions and data contained in all publications are solely those of the individual author(s) and contributor(s) and not of MDPI and/or the editor(s). MDPI and/or the editor(s) disclaim responsibility for any injury to people or property resulting from any ideas, methods, instructions or products referred to in the content.

Share and Cite

MDPI and ACS Style

Pham, V.-T.; Tamba, V.K.; Serrano, F.E.; Grassi, G.; Momani, S. A Novel Butterfly-Attractor Dynamical System Without Equilibrium: Theory, Synchronization, and Application in Secure Communication. Algorithms 2026, 19, 18. https://doi.org/10.3390/a19010018

AMA Style

Pham V-T, Tamba VK, Serrano FE, Grassi G, Momani S. A Novel Butterfly-Attractor Dynamical System Without Equilibrium: Theory, Synchronization, and Application in Secure Communication. Algorithms. 2026; 19(1):18. https://doi.org/10.3390/a19010018

Chicago/Turabian Style

Pham, Viet-Thanh, Victor Kamdoum Tamba, Fernando E. Serrano, Giuseppe Grassi, and Shaher Momani. 2026. "A Novel Butterfly-Attractor Dynamical System Without Equilibrium: Theory, Synchronization, and Application in Secure Communication" Algorithms 19, no. 1: 18. https://doi.org/10.3390/a19010018

APA Style

Pham, V.-T., Tamba, V. K., Serrano, F. E., Grassi, G., & Momani, S. (2026). A Novel Butterfly-Attractor Dynamical System Without Equilibrium: Theory, Synchronization, and Application in Secure Communication. Algorithms, 19(1), 18. https://doi.org/10.3390/a19010018

Note that from the first issue of 2016, this journal uses article numbers instead of page numbers. See further details here.

Article Metrics

Back to TopTop