Feature Extraction Based on Sparse Coding Approach for Hand Grasp Type Classification
Abstract
1. Introduction
- We propose a sparse coding technique based on dictionary learning to extract hand kinematic features, which is a context that has not been extensively explored before.
- Unlike most existing methods that extract features from hand datasets using images, our proposed method demonstrates the potential of using three-dimensional motion tracking using a time-series format for feature extraction.
- Our approach differs from our previous work that utilized traditional sparse coding with a dictionary based on a Gaussian random distribution. Instead, we apply a dictionary learning technique to the hand kinematics dataset in a time-series format. Extensive experimental evaluation of the publicly available UNIPI dataset demonstrates the effectiveness of our proposed method compared to existing techniques and our prior work.
- A key distinction from previous studies lies in the estimation technique used. While previous work employed the Frobenius norm for solving the optimization problem to obtain sparse coefficients, this work utilizes the L1-norm as the optimizer. This change results in a sparse representation, minimizing the number of features required.
2. Related Work
3. Sparse Coding Feature Extraction Based on Dictionary Learning Approach
| Algorithm 1 Online Dictionary Learning |
|
| Algorithm 2 Dictionary Update |
Require: Input dictionary ,
|
4. Neural Network Classification
5. Experiments
5.1. Dataset
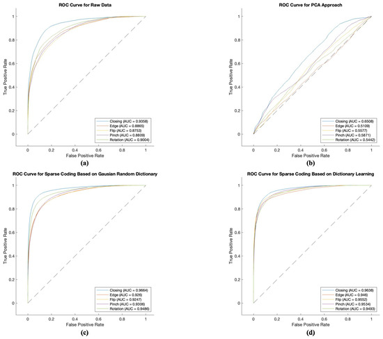
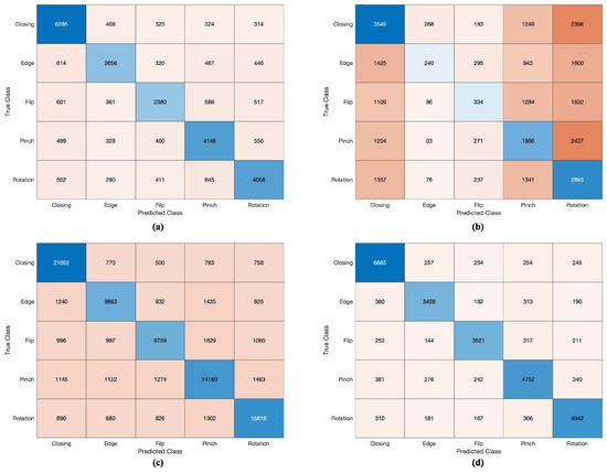
5.2. Results for the UNIPI Dataset
6. Discussion and Limitations
7. Conclusions
Author Contributions
Funding
Institutional Review Board Statement
Informed Consent Statement
Data Availability Statement
Conflicts of Interest
References
- Santello, S.M.; Flanders, M.; Soechting, J.F. Postural hand synergies for tool use. J. Neurosci. 1998, 18, 10105–10115. [Google Scholar] [CrossRef] [PubMed]
- Carpinella, I.; Mazzoleni, P.; Rabuffetti, M.; Thorsen, R.; Ferrarin, M. Experimental protocol for the kinematic analysis of the hand: Definition and repeatability. Gait Posture 2006, 23, 445–454. [Google Scholar] [CrossRef] [PubMed]
- Santello, M.; Flanders, M.; Soechting, J.F. Patterns of hand motion during grasping and the influence of sensory guidance. J. Neurosci. 2002, 22, 1426–1435. [Google Scholar] [CrossRef] [PubMed]
- Amor, H.B.; Kroemer, O.; Hillenbrand, U.; Neumann, G.; Peters, J. Generalization of human grasping for multi-fingered robot hands. In Proceedings of the IEEE International Workshop on Intelligent Robots and Systems (IROS), Vilamoura, Portugal, 7–12 October 2012; pp. 2043–2050. [Google Scholar]
- Normani, N.; Urru, A.; Abraham, L.; Walsh, M.; Tedesco, S.; Cenedese, A.; Susto, G.A.; O’Flynn, B. A Machine learning approach for gesture recognition with a lensless smart sensor system. In Proceedings of the IEEE 15th International Conference on Wearable and Implantable Body Sensor Networks (BSN), Las Vegas, NV, USA, 4–7 March 2018; pp. 4–7. [Google Scholar]
- Núñez, J.C.; Cabido, R.; Pantrigo, J.J.; Montemayor, A.S.; Vélez, J.F. Convolutional neural networks and long short-term memory for skeleton-based human activity and hand gesture recognition. J. Pattern Recognit. 2018, 76, 80–94. [Google Scholar] [CrossRef]
- Li, S.; Zhang, H.; Shi, Y.; Yang, J. Novel local coding algorithm for multimodal finger feature description and recognition. Sensors 2019, 19, 2213. [Google Scholar] [CrossRef] [PubMed]
- Ojala, T.; Pietikainen, M.; Maenpaa, T. Multiresolution gray-scale and rotation invariant texture classification with local binary patterns. IEEE Transation Pattern Anal. Mach. Intell. 2002, 24, 971–987. [Google Scholar] [CrossRef]
- Jia, W.; Hu, R.X.; Lei, Y.K.; Zhao, Y.; Gui, J. Histogram of oriented lines for palmprint recognition. IEEE Trans. Syst. Man Cybern. Syst. 2014, 44, 385–395. [Google Scholar] [CrossRef]
- Rida, I.; AlMaadeed, S.; Mahmood, A.; Bouridane, A.; Bakshi, S. Palmprint identification using an ensemble of sparse representations. IEEE Access 2018, 6, 3241–3248. [Google Scholar] [CrossRef]
- Sun, Z.N.; Tan, T.N.; Wang, Y.H.; Li, S.Z. Ordinal palmprint representation for personal identification. In Proceeding of the IEEE Computer Vision Pattern Recognition, San Diego, CA, USA, 20–26 June 2005; pp. 279–284. [Google Scholar]
- Zhang, L.; Zhang, L.; Zhang, D.; Zhu, H. Online finger-knuckle-print verification for personal authentication. Pattern Recognit. 2010, 43, 2560–2571. [Google Scholar] [CrossRef]
- Zhang, L.; Li, L.; Yang, A.; Shen, Y.; Yang, M. Towards contactless palmprint recognition: A novel device, a new benchmark, and a collaborative representation based identification approach. Pattern Recognit. 2017, 69, 199–212. [Google Scholar] [CrossRef]
- Li, S.; Zhang, B. Joint Discriminative Sparse Coding for Robust Hand-Based Multimodal Recognition. IEEE Trans. Inf. Forensics Secur. 2021, 16, 3186–3198. [Google Scholar] [CrossRef]
- Samkunta, J.; Ketthong, P.; Hashikura, K.; Kamal, M.A.S.; Murakami, I.; Yamada, K. Feature reduction for hand gesture classification: Sparse coding approach. In Proceedings of the 20th International Conference on Electrical Engineering/Electronics, Computer, Telecommunications and Information Technology (ECTI-CON), Nakhon Phanom, Thailand, 9–12 May 2023; pp. 1–4. [Google Scholar]
- Todorov, E.; Ghahramani, Z. Analysis of the synergies underlying complex hand manipulation. In Proceeding of the 26th Annual International Conference of the IEEE Engineering in Medicine and Biology Society, San Francisco, CA, USA, 1–5 September 2004; pp. 4637–4640. [Google Scholar]
- Jarque-Bou, N.J.; Scano, A.; Atzori, M.; Müller, H. Kinematic synergies of hand grasps A comprehensive study on a large publicly available dataset. NeuroEngineering Rehabil 2019, 16, 63. [Google Scholar] [CrossRef] [PubMed]
- Lapresa, M.; Zollo, L.; Cordella, F. A user-friendly automatic toolbox for hand kinematic analysis, clinical assessment and postural synergies extraction. Front. Bioeng. Biotechnol. 2022, 10, 1010073. [Google Scholar] [CrossRef] [PubMed]
- Hemeren, P.; Peter, V.; Swege, T.; Jiong, S. Kinematic-based classification of social gestures and grasping by humans and machine learning techniques. Front. Robot. AI 2021, 8, 699505. [Google Scholar] [CrossRef] [PubMed]
- Wang, N.; Lao, K.; Zhang, X.; Lin, J.; Zhang, X. The recognition of grasping force using LDA. Biomed. Signal Process. Control 2019, 47, 393–400. [Google Scholar] [CrossRef]
- Jarque-Bou, N.J.; Vergara, M.; Sancho-Bru, J.L.; Gracia-Ibanz, V.; Roda-Sales, A. Hand kinematics characterization while performing activities of daily living through kinematics reduction. IEEE Trans. Neural Syst. Rehabil. Eng. 2020, 28, 1556–1565. [Google Scholar] [CrossRef] [PubMed]
- Battaglia, E.; Kasman, M.; Fey, A.M. Moving past principal component analysis Nonlinear dimensionality reduction towards better hand pose synthesis. In Proceedings of the International Symposium on Medical Robotics (ISMR), Atlanta, GA, USA, 13–15 April 2022. [Google Scholar]
- He, K.; Zhang, X.; Ren, S.; Sun, J. Deep residual learning for image recognition. In Proceedings of the IEEE Conference Computer Vision Pattern Recognition (CVPR), Las Vegas, NV, USA, 27–30 June 2016; pp. 770–778. [Google Scholar]
- Baygin, M.; Barua, P.D.; Dogan, S.; Tuncer, T.; Key, S.; Acharya, U.R.; Cheong, K.H. A Hand-Modeled Feature Extraction-Based Learning Network to Detect Grasps Using sEMG Signal. Sensors 2022, 22, 2007. [Google Scholar] [CrossRef] [PubMed]
- Reza, B.A.; Mohammad, E.; Mehrdad, N. EMG-Based Feature Extraction and Classification for Prosthetic Hand Control. arXiv 2021, arXiv:2107.00733. [Google Scholar]
- Liu, C.; Wu, X.; Liu, T. Sparse feature extraction based on sparse representation and dictionary learning for rolling bearing fault diagnosis. In Proceedings of the International Conference on Applied System Innovation (ICASI), Sapporo, Japan, 13–17 May 2017; pp. 1733–1735. [Google Scholar]
- Ma, S.; Han, Q.; Chu, F. Sparse representation learning for fault feature extraction and diagnosis of rotating machinery. Expert Syst. Appl. 2023, 232, 120858. [Google Scholar] [CrossRef]
- Sivaram, G.S.V.S.; Nemala, S.K.; Elhilali, M.; Tran, T.D.; Hermansky, H. Sparse coding for speech recognition. In Proceedings of the IEEE International Conference on Acoustics, Speech and Signal Processing, Dallas, TX, USA, 14–19 March 2010; pp. 4346–4349. [Google Scholar]
- Amintoosi, H.; Taresh, A.J. Sparse coding-based feature extraction for biometric remote authentication in Internet of Things. SN Appl. Sci. 2019, 1, 1098. [Google Scholar] [CrossRef]
- Whitaker, B.M.; Suresha, P.B.; Liu, C.; Clifford, G.D.; Anderson, D.V. Combining sparse coding and time-domain features for heart sound classification. Physiol. Meas. 2017, 38, 1701–1713. [Google Scholar] [CrossRef] [PubMed]
- Yo, M.C.; Chong, S.C.; Wee, K.K.; Chong, L.Y. Sparse representation with principal component analysis in face recognition. J. Syst. Manag. Sci. 2022, 12, 57–72. [Google Scholar]
- Julien, M.; Francis, B.; Jean, P.; Guillermo, S. Online dictionary learning for matrix factorization and sparse coding. J. Mach. Learn. Res. 2010, 11, 19–60. [Google Scholar]
- Mairal, J.; Bach, F.; Ponce, J.; Sapiro, G. Online dictionary learning for sparse coding. In Proceedings of the International Conference on Machine Learning (ICML), Montreal, QC, Canada, 14–18 June 2009; pp. 689–696. [Google Scholar]
- Efron, B.; Hastie, T.; Johnstone, I.; Tibshirani, R. Least angle regression. Ann. Stat. 2004, 32, 407–451. [Google Scholar] [CrossRef]
- Santina, C.D.; Bianchi, M.; Averta, G.; Ciotti, S.; Arapi, V.; Fani, S.; Battaglia, E.; Catalano, M.G.; Santello, M.; Bicchi, A. Postural Hand Synergies during Environmental Constraint Exploitation. IEEE Trans. Robot. 2017, 33, 252–269. [Google Scholar] [CrossRef]








| Hyperparameter | Value |
|---|---|
| Layer size | 40 |
| Cost function | Cross-entropy |
| Activation function | Rectified linear unit (ReLU) |
| Output classifier | Softmax function |
| Parameter estimation solver | Limited-memory Broyden–Fletcher–Goldfarb–Shano algorithm (LBFGS) |
| Regularization parameter (lambda) | 0 |
| No. | Object | Hand Grasp Type |
|---|---|---|
| 1 | 2-Euro Coin | Flip |
| 2 | Button Badge | |
| 3 | Key | |
| 4 | Credit Card | Edge |
| 5 | CD | |
| 6 | Hair-Coloring Comb | |
| 7 | Saltshaker | Closing |
| 8 | Tape | |
| 9 | Chess (Queen) | |
| 10 | Knob | |
| 11 | Matchbox | |
| 12 | Screw | Pinch |
| 13 | Match | |
| 14 | Cigarette | |
| 15 | Rubber Band | |
| 16 | Maker | Rotation |
| 17 | Screwdriver | |
| 18 | Shashlik | |
| 19 | Glasses |
| No. | DoFs | Description |
|---|---|---|
| 1 | TA | Thumb Abduction |
| 2 | TR | Thumb Rotation |
| 3 | TM | Thumb Metacarpal |
| 4 | TI | Thumb Interphalangeal |
| 5 | IA | Index Abduction |
| 6 | IM | Index Metacarpal |
| 7 | IP | Index Proximal |
| 8 | ID | Index Distal |
| 9 | MA | Middle Abduction |
| 10 | MM | Middle Metacarpal |
| 11 | MP | Middle Proximal |
| 12 | MD | Middle Distal |
| 13 | RA | Ring Abduction |
| 14 | RM | Ring Metacarpal |
| 15 | RP | Ring Proximal |
| 16 | RD | Ring Distal |
| 17 | LA | Little Abduction |
| 18 | LM | Little Metacarpal |
| 19 | LP | Little Proximal |
| 20 | LD | Little Distal |
| Method | Accuracy (%) | Number of Features | Macro-Average F1-Score | Average AUC |
|---|---|---|---|---|
| Raw Data | 68.38 | 1,620,299 | 66.65 | 0.8958 |
| PCA | 31.43 | 855,000 | 20.12 | 0.5701 |
| Gaussian Random | 77.27 | 1,823,449 | 76.06 | 0.93926 |
| Dictionary Learning | 81.78 | 678,678 | 79.87 | 0.9535 |
Disclaimer/Publisher’s Note: The statements, opinions and data contained in all publications are solely those of the individual author(s) and contributor(s) and not of MDPI and/or the editor(s). MDPI and/or the editor(s) disclaim responsibility for any injury to people or property resulting from any ideas, methods, instructions or products referred to in the content. |
© 2024 by the authors. Licensee MDPI, Basel, Switzerland. This article is an open access article distributed under the terms and conditions of the Creative Commons Attribution (CC BY) license (https://creativecommons.org/licenses/by/4.0/).
Share and Cite
Samkunta, J.; Ketthong, P.; Mai, N.T.; Kamal, M.A.S.; Murakami, I.; Yamada, K. Feature Extraction Based on Sparse Coding Approach for Hand Grasp Type Classification. Algorithms 2024, 17, 240. https://doi.org/10.3390/a17060240
Samkunta J, Ketthong P, Mai NT, Kamal MAS, Murakami I, Yamada K. Feature Extraction Based on Sparse Coding Approach for Hand Grasp Type Classification. Algorithms. 2024; 17(6):240. https://doi.org/10.3390/a17060240
Chicago/Turabian StyleSamkunta, Jirayu, Patinya Ketthong, Nghia Thi Mai, Md Abdus Samad Kamal, Iwanori Murakami, and Kou Yamada. 2024. "Feature Extraction Based on Sparse Coding Approach for Hand Grasp Type Classification" Algorithms 17, no. 6: 240. https://doi.org/10.3390/a17060240
APA StyleSamkunta, J., Ketthong, P., Mai, N. T., Kamal, M. A. S., Murakami, I., & Yamada, K. (2024). Feature Extraction Based on Sparse Coding Approach for Hand Grasp Type Classification. Algorithms, 17(6), 240. https://doi.org/10.3390/a17060240

