Adding a Tail in Classes of Perfect Graphs
Abstract
1. Introduction
2. Theoretical Framework
3. Split Graphs
4. Threshold and Quasi-Threshold Graphs
- (i)
- If , then ;
- (ii)
- If where , then whereand.
- A.
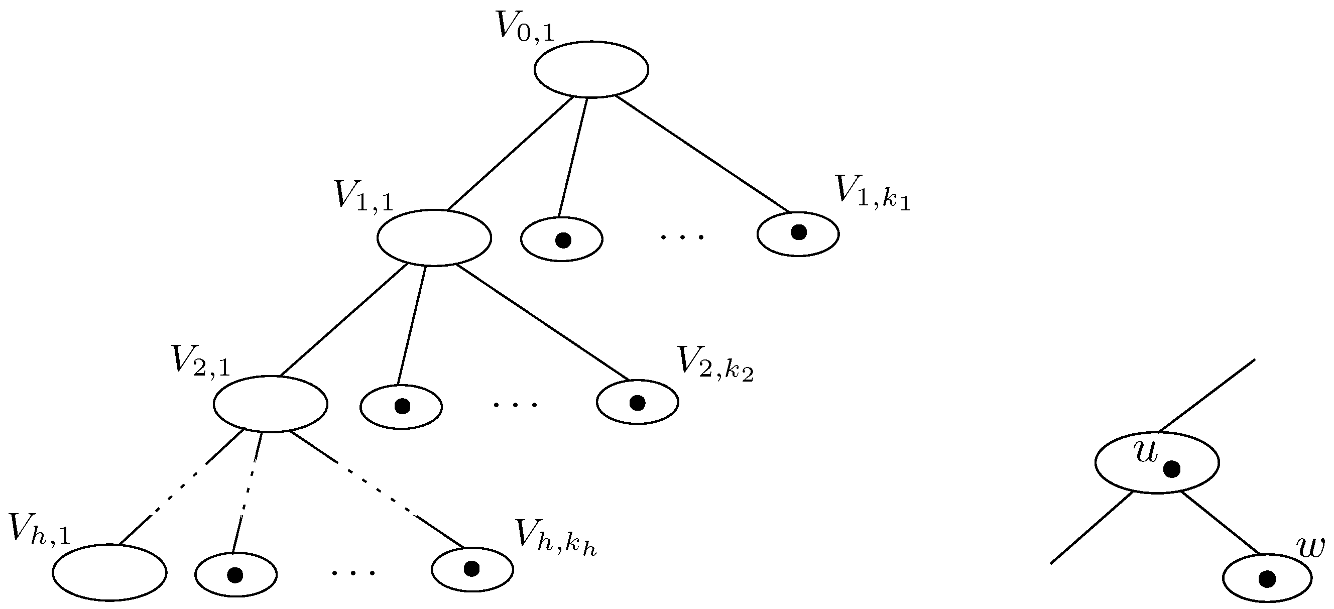
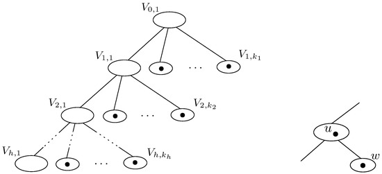
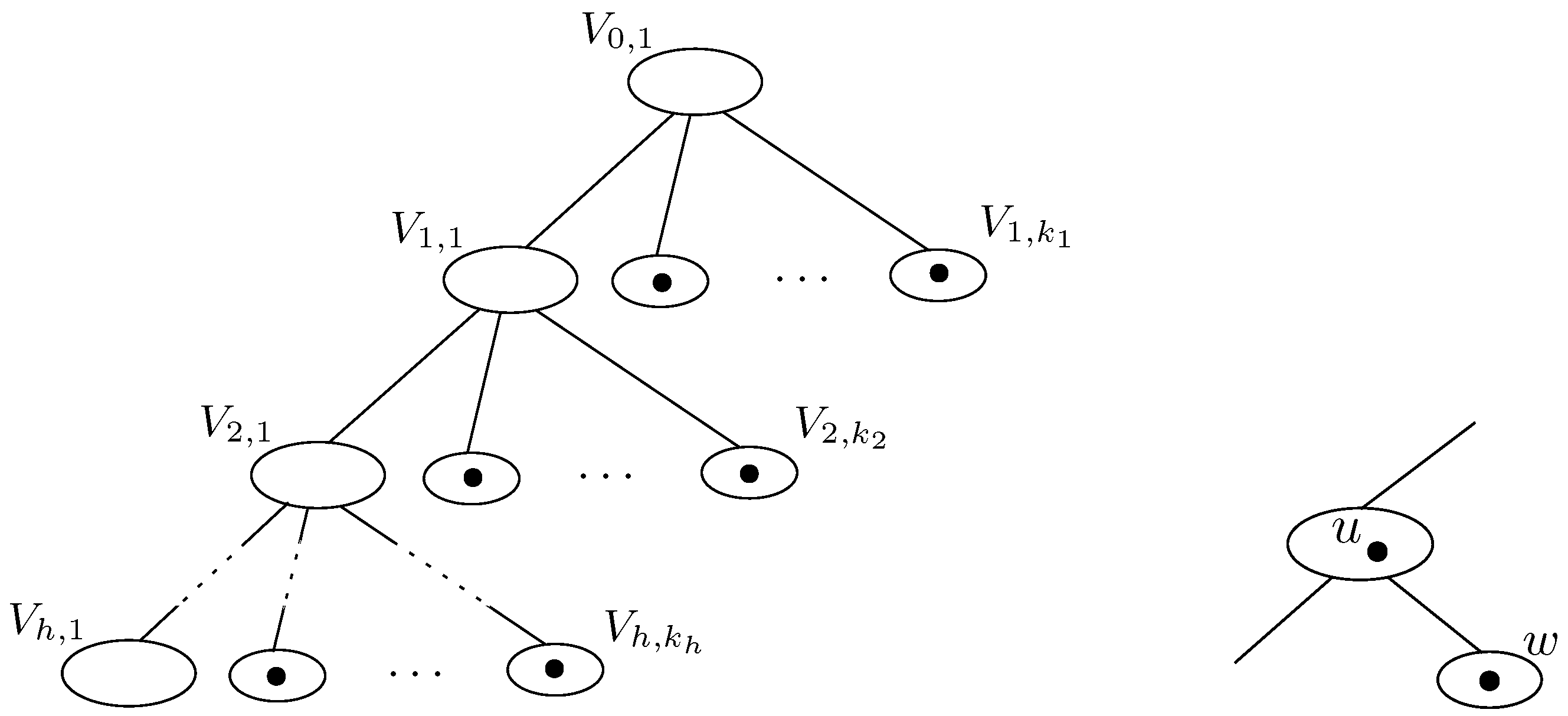
- Consider that with and with . Then, since otherwise removing from (note that if then the set is merged with the set ) and then reinserting them as in the formation of Figure 1(right) just above the node storing would lead to the omission of the fill edges connecting w to the vertices in , in contradiction with the optimality of .Let ; the set contains the vertices (including w) stored in all the descendants in of the node storing . Let r be the smallest index such that there exists a vertex and let ; note that . Then, , since otherwise any vertex in would belong to (because ) and thus would be incident on a fill edge connecting it to w in ; this would imply that is not optimal compared to replacing by along with u being universal in and w being adjacent to all vertices in which does not use the fill edges connecting w to the vertices in D. In the same way, we can show that if , the vertices in also belong to .The optimality of also implies that the subtree resulting from after having removed the descendants of the node storing is identical to the tree for with the node for placed at the leftmost node in the lowermost level. Therefore,
- −
- if , the tree results from the tree of G after we have removed u from and have inserted the Formation of Figure 1(right) just above any of the nodes storing the set for (note that if , then the removal of u implies that the nodes storing for are linked to the node of the formation of Figure 1(right) storing if the formation is placed just above the node storing ; otherwise, they are linked to the node storing );
- −
- if with , the tree results from after we have removed the node for and have inserted the formation of Figure 1(right) just above any of the nodes storing the set for (as mentioned, if and , the removal of u implies that the nodes storing and will be merged and if and , the removal of u implies that the node storing will be merged with the node storing in the formation of Figure 1(right) if the formation is placed just above the node storing or with the node storing in any other placement of the formation).
- B.
- Consider that . Then, it has to be the case that in G either or where . First, suppose, for contradiction, that with ; then, if we link a node storing as a child of the node storing in , we obtain a threshold completion of the graph with fewer fill edges, a contradiction. Next, if then ; otherwise, in order to obtain in , we need to move all vertices in into the set , thus adding the fill edges connecting these vertices to , but if we replace the node storing by the 3-treenode subtree with , and , we obtain a threshold completion of without these fill edges, a contradiction.
- (i)
- Consider that in . We consider two cases:
- (a)
- Assume that or if and . Then, we remove u from and add the formation of Figure 1(right) just above each node storing for which results in fill edges connecting u to all vertices in and w to all vertices in which yields the number of fill edges stated in the lemma taking into account that .
- (b)
- Assume that and . Then, we try
- *
- adding w in which results in fill edges connecting w to all vertices in and
- *
- removing u from (and linking the nodes for the sets for all to the node storing ) and adding the formation of Figure 1(right) just above each node storing for which results in the fill edges stated in Case (a) for and .
Combining the two cases, we obtain the number of fill edges stated in the lemma in this case too.
- (ii)
- Consider that where . Then, we remove u (that is, we assume that becomes empty) and add the formation of Figure 1(right) just above each node storing for which results in fill edges connecting u to all vertices in and w to all vertices in which yields the number of fill edges stated in the lemma taking into account that and that if we must subtract 1 for the removed u.
5. -Sparse Graphs
- The set S is an independent set, the set K is a clique and ;
- Every vertex in R is adjacent to every vertex in K and to no vertex in S;
- There exists a bijection such that for each vertex either or ; in the former case, the spider is thin, in the latter it is thick (see Figure 4).
- (i)
- Each internal node of has at least two children provided that ;
- (ii)
- The internal nodes are labeled by one of 0, 1 or 2 (0-, 1-, 2-nodes, respectively) and the parent node of each 0- or 1-node t has a different label than t;
- (iii)
- The leaves of the -sparse tree are in a one-to-one correspondence with the vertices of G; if the least common ancestor of the leaves corresponding to two vertices of G is a 0-node (1-node, resp.) then the vertices are non-adjacent (adjacent, resp.) in G, whereas the vertices corresponding to the leaves of a subtree rooted at a 2-node induce a spider.
- P1.
- Every vertex of the spider is adjacent to all vertices in .
- P2.
- Every vertex is adjacent to all vertices in .
- 1.
- The nodes in have the same parent node which is a 2-node corresponding to a thin spider with and .
- 2.
- The -sparse tree results from by replacing the leaf for u by the 3-treenode Formation 1 shown in Figure 6(left).
- 3.
- The -sparse tree results from by removing the leaf for u and replacing a 1- or a 2-node t in the path from the root of to the leaf for u by the 5-treenode Formation 2 in Figure 6(right).
- A.
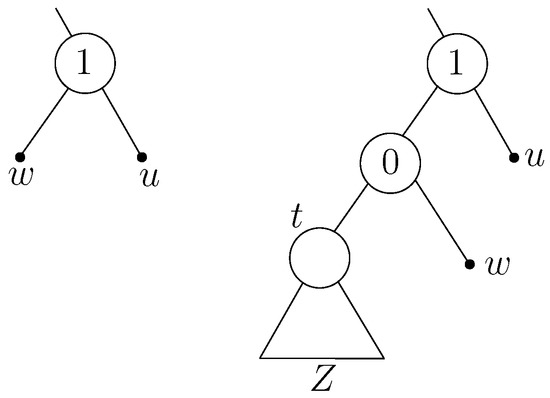
- The leaves associated with in do not have the same parent node: Let be the -sparse tree obtained from by using Formation 2 just above the least common ancestor t of w and u in (Figure 7); let be the -sparse graph corresponding to the tree . Then, uses no more fill edges than . To see this, let be the child of t that is an ancestor of the leaf for u (note that may coincide with the leaf for u). Since are adjacent in , t is a 1- or a 2-node. In either case, w is adjacent to all vertices in corresponding to the leaves of the subtree of rooted at and all these edges, except for the tail , are fill edges. If t is a 1-node, then u is adjacent to all vertices in X (Figure 7) and thus uses no more fill edges than . If t is a 2-node, then u is adjacent to all the vertices in the clique of the corresponding spider (which includes w). Moreover, because , w is adjacent to all the vertices in and to at least one vertex in the independent set for a total of fill edges; these fill edges can be used to connect u to the vertices in the independent set of the spider and thus uses no more fill edges in this case too. Therefore, the graph is a minimum -sparse completion of .
- B.
- The leaves associated with in have the same parent node p: Then, since are adjacent, the parent node p is either a 1-node or a 2-node.
- (i)
- The parent node p of in is a 1-node: Then, the leaves associated with u and w are the only children of p (Formation 1): otherwise, we can use Formation 2 as shown in Figure 8 which requires fewer fill edges. Then, w will be adjacent to all neighbors of u in ; this and the optimality of imply that results from by replacing the leaf for u by Formation 1.
- (ii)
- The parent node p of in is a 2-node: Let be the corresponding spider. If H is thick (thus ), then no matter whether the tail is an S-K, K-K or R-K edge, the sum of degrees of in H (excluding ) is at least (consider an S-K edge). However, we would have added no more fill edges if we had made u universal in and then applied Formation 2 at the parent of the leaf for u (then ) using fill edges.In the same way, we show that we would have added no more fill edges if H were a thin spider and the tail were a K-K or K-R edge. Then, either and or and ; in the latter case, we exchange u and w for the same total number of fill edges and obtain and again.
5.1. Adding a Tail to a Spider
- 1.
- if , if and otherwise;
- 2.
- If , ;
- 3.
- If , Then where is the number of fill edges (excluding ) in a minimum -sparse completion of the graph .
- 1.
- If ,
- 2.
- If , ;
- 3.
- If , then where is the number of fill edges (excluding ) in a minimum -sparse completion of the graph .
- (i)
- and : Suppose, for contrast, that there is a -sparse completion of with at most fill edge (excluding ). If v is incident on the unique fill edge (which connects v to u or w), then the vertices in induce an . Now suppose that the fill edge is not incident on v. Moreover, there exists at least one vertex that is not incident on the fill edge either. Then, the vertices (where is the non-neighbor of s in H) induce an if are connected by the fill edge or an otherwise.
- (ii)
- and : Let . Suppose, for contrast, that there is a -sparse completion of with at most fill edges (excluding ). We distinguish three cases depending on whether v is incident on 0, 1 or 2 fill edges:
- •
- v is not incident on a fill edge: If there exists a pair of non-neighbors with and such that none of is incident on a fill edge to u or w, the vertices induce an . Otherwise, since the number of such pairs is 2, for each such pair , exactly one of is incident on a fill edge to u or w and no other fill edges exist. If there exists a vertex not incident on a fill edge to w, the vertices induce an ; otherwise, each of the fill edges connects each of the vertices in to w and then (for any pair of non-neighbors with and ) induce an .
- •
- v is incident on 1 fill edge (to u or w): Then, there is 1 more fill edge; hence, there exist 2 vertices in the set that are not incident on a fill edge connecting them to u or w and let these vertices be . Then, the vertices induce an if are connected by a fill edge or an otherwise.
- •
- v is incident on 2 fill edges connecting it to u and w: Then, there is no other fill edge. Then, the vertices (where ) induce an .
- (iii)
- and : Let be two vertices in . Suppose, for contrast, that there is a -sparse completion of with at most fill edges (excluding ). Again, we distinguish three cases depending on whether v is incident on 0, 1 or 2 fill edges:
- •
- v is not incident on a fill edge: Consider the case that there exists a vertex that is not incident on a fill edge to w. Let be the non-neighbor of k in H and ; the set A contains 3 vertices which are common neighbors of . If at least one of these 3 vertices (say, p) is not incident on a fill edge to , then the vertices induce an ; otherwise, all 3 of these vertices are incident on a fill edge to (then these are all the fill edges) and the vertices induce an . On the other hand, if no such vertex k exists, then both vertices in are incident on a fill edge to w, accounting for 2 of the 3 fill edges; then there exists a vertex which is not incident on a fill edge to w and the vertices (where is the non-neighbor of ) induce an .
- •
- v is incident on 1 fill edge (to u or w): There are 2 more fill edges; hence, there exist 2 vertices in the set that are not incident on a fill edge connecting them to u or w and let these vertices be . Then, the vertices induce an if are connected by a fill edge or an otherwise.
- •
- v is incident on 2 fill edges connecting it to u and w: Then, there is 1 more fill edge; hence, there exists a vertex that is not incident on the fill edge. Moreover, there exist 2 vertices in the set that are not incident on a fill edge connecting them to u or w (where is the non-neighbor of k); let these vertices be . Then, the vertices induce an if are adjacent or an otherwise.
- (iv)
- and : Suppose, for contrast, that there is a -sparse completion of with at most fill edges (excluding the tail ). Again, we distinguish three cases depending on whether v is incident on 0, 1 or 2 fill edges:
- •
- v is not incident on a fill edge: If there exists a vertex not incident on a fill edge to u, w or to its non-neighbor in H, the vertices induce an if are connected by a fill edge or an otherwise; if all vertices in are incident on a fill edge to u, w or their non-neighbor in , then there are no more fill edges and the vertices (for any ) induce an .
- •
- v is incident on 1 fill edge (to u or w): Then, the remaining fill edges are at most in total. If there exist two vertices not incident on a fill edge to u or w, the vertices induce an or an depending on whether are connected by a fill edge or not. Thus, there cannot be two such vertices ; this implies that the remaining fill edges are precisely and they connect all but one vertex in to u or w; let that vertex be s. Then, the vertices (where is a neighbor of s in H) induce an or an if the fill edge incident on v connects it to u or w, respectively.
- •
- v is incident on 2 fill edges connecting it to u and w: Then, the remaining fill edges are at most in total; hence, there exist two pairs of non-adjacent vertices and with and such that none of are incident on a fill edge to u or w. Let ; the set A is the set of common neighbors of in other than u. If there exists a vertex not incident on a fill edge to u or w, then the vertices induce an ; otherwise, the remaining fill edges are precisely and they connect each of the vertices in A to u or w; that is, none of the vertices in are incident on a fill edge. Then, the vertices (where k is any vertex in ) induce an .
- (v)
- and : Let . Suppose, for contrast, that there is a -sparse completion of with at most fill edge (excluding the tail ). Again, w distinguishes three cases depending on whether v is incident on 0, 1 or 2 fill edges:
- •
- v is not incident on a fill edge: If there exists a vertex not incident on a fill edge to u, w or to its non-neighbor in H, the vertices induce an if are connected by a fill edge or an otherwise; if all vertices in are incident on a fill edge to u, w or their non-neighbor in , which account for the of the fill edges, there exist vertices which are not incident on a fill edge and then the vertices induce an .
- •
- v is incident on 1 fill edge (to u or w): Then, the remaining fill edges are at most in total. If all vertices in are incident on a fill edge to w, then no more fill edges exist and the vertices (for any ) induce an . Thus, there exists which is not incident on a fill edge to w. The number of common neighbors of in is . If each of these vertices is incident on a fill edge to u or w, then no more fill edges exist and the vertices induce an or an depending on whether the fill edge incident on v connects it to u or w, respectively, where is the non-neighbor of k and is any vertex in ; hence, there exists a common neighbor p not incident on a fill edge to u or w and the vertices induce an or an depending on whether the fill edge incident on v connects it to u or w, respectively.
- •
- v is incident on 2 fill edges connecting it to u and w: Then, the remaining fill edges are at most in total; hence, there exists a pair of non-adjacent vertices (where and ) which are not incident on a fill edge to u or w. Let ; the set A is a set of neighbors of k other than u. Then, there exists a vertex in A which is not incident on a fill edge to u or w. If there exists a second vertex in A not incident on a fill edge to u or w, then the vertices induce an if are connected by a fill edge or an otherwise. If each vertex in is incident on a fill edge to u or w, then the fill edges incident on these vertices account for the remaining fill edges and the vertices (for any vertices ) induce an .
- Each of the vertices in is incident on a fill edge to w. These are precisely all the fill edges; hence none of the vertices in is incident on a fill edge. Then, the vertices (for any ) induce an .
- There exists at least one vertex in that is not incident on a fill edge to w. Let that vertex be . Then, if there exists another vertex that is not incident on a fill edge to w as well, the vertices induce an . On the other hand, if each of the vertices in is incident on a fill edge to w (which implies that is adjacent to w), then these fill edges are in total, with only 1 remaining. If the non-neighbor of in is not incident on a fill edge to u or w, then the vertices induce an , whereas if it is adjacent to u or w, then there are no more fill edges. In particular, if is adjacent to u, the vertices induce an and if it is adjacent to w, the vertices induce an .
5.2. The Algorithm
- (i)
- either u is a vertex of a spider in G (Lemmas 6 and 7 apply)
- (ii)
- or there exists j () such that is a 1-node, is a 0-node and there exist vertices such that is universal in and is isolated in .
- The spider W is thin. Then, ; otherwise, the removal of would produce a -sparse graph with fewer fill edges (b is isolated in ), a contradiction; similarly, . Moreover, : as above, if do not belong to the same connected component of the induced subgraph , then adding the tail to the connected component of to which u belongs would result in fewer fill edges (e.g., the fill edge will not be needed); if belong to the same connected component of but , then there exists a chordless path connecting them in the subgraph and the vertices in induce a with , in contradiction to the -sparseness of G. However, then, G contains the and belongs to a spider.
- The spider W is thick. Then, is incident on the tail and fill edges. Since we can make u universal in by using a single fill edge and then use Formation 2, it is clear that building spider W does not result in fewer fill edges.
- Fill edges connect vertex w to the vertices in ;
- Vertex u and w are adjacent to all neighbors of b in ; that is, fill edges connect u to the vertices in and w to the vertices in ;
- Vertex a is adjacent to all the vertices in and thus fill edges connect a to all vertices in .
- ;
- ;
- which implies that b is isolated in and also implies that ;
- which implies that is a 1-node.
| Algorithm 1 -sparse-Tail-Addition(G,u,) |
Input: a -sparse graph G, a vertex and a tail to be added to G. Output: the number of fill edges (excluding the tail ) needed in a minimum -sparse completion of the graph . if then {the graph is -sparse} return(0); compute the -sparse tree of G and the path () from the root of to the parent node of the leaf corresponding to u; compute the sets of vertices , (see Figure 5); ; {corresponds to Formation 1} {apply (Lemma 5(iii) and Corollary 1} for each () that is a 1- or a 2-node do {use Formation 2 above each 1- or 2-node (Lemma 5(iii))} ; update if ; {if is a 2-node, apply Lemmas 6 or 7 and Corollary 1} if is a 2-node then {spider } if then number of fill edges according to Lemmas 6 or 7; else {} if H is thin then -sparse-Tail-Addition(H,u,) }; else {H is thick} -sparse-Tail-Addition(H,u,); ; {Corollary 1} update if ; {check for new formation (Lemma 8)} for each such that is a 1-node and is a 0-node do if there exist vertex such that a is universal in and vertex such that b has no neighbors in then ; update if ; return(); |
6. Open Problems
Author Contributions
Funding
Informed Consent Statement
Conflicts of Interest
References
- Nikolopoulos, S.D.; Palios, L. Adding an Edge in a Cograph. In WG 2005, LNCS; Kratsch, D., Ed.; Springer: Berlin/Heidelberg, Germany, 2005; Volume 3787, pp. 214–226. [Google Scholar]
- Goldberg, P.W.; Golumbic, M.C.; Kaplan, H.; Shamir, R. Four strikes against physical mapping of DNA. J. Comput. Biol. 1995, 2, 139–152. [Google Scholar] [CrossRef]
- Natanzon, A.; Shamir, R.; Sharan, R. Complexity classification of some edge modification problems. Discrete Appl. Math. 2001, 113, 109–128. [Google Scholar] [CrossRef]
- Burzyn, P.; Bonomo, F.; Durán, G. NP-completeness results for edge modification problems. Discrete Apll. Math. 2006, 154, 1824–1844. [Google Scholar] [CrossRef]
- El-Mallah, E.; Colbourn, C. The complexity of some edge deletion problems. IEEE Trans. Circuits Syst. 1988, 35, 354–362. [Google Scholar] [CrossRef]
- Kashiwabara, T.; Fujisawa, T. An NP-complete problem on interval graphs. In Proceedings of the IEEE Symposium of Circuits and Systems, Tokyo, Japan, 17–19 July 1979; pp. 82–83. [Google Scholar]
- Mancini, F. Graph Modification Problems Related to Graph Classes. Ph.D. Thesis, University of Bergen, Bergen, Norway, 2008. [Google Scholar]
- Yannakakis, M. Computing the minimum fill-in is NP-complete. SIAM J. Alg. Disc. Meth. 1981, 2, 77–79. [Google Scholar] [CrossRef]
- Crespelle, C. Linear-time minimal cograph editing. In Proceedings of the Fundamentals of Computation Theory: 23rd International Symposium, FCT 2021, Athens, Greece, 12–15 September 2021; Springer International Publishing: Cham, Switzerland, 2021; pp. 176–189. [Google Scholar]
- Crespelle, C.; Lokshtanov, D.; Phan, T.H.D.; Thierry, E. Faster and enhanced inclusion-minimal cograph completion. Discrete Appl. Math. 2021, 288, 138–151. [Google Scholar] [CrossRef]
- Fritz, A.; Hellmuth, M.; Stadler, P.F.; Wieseke, N. Cograph editing: Merging modules is equivalent to editing P4s. Art Discrete Appl. Math. 2020, 3, P2-01. [Google Scholar] [CrossRef]
- Heggernes, P.; Mancini, F. Minimal split completions. Discrete Appl. Math. 2009, 157, 2659–2669. [Google Scholar] [CrossRef]
- Heggernes, P.; Mancini, F.; Papadopoulos, C. Minimal comparability completions of arbitrary graphs. Discrete Appl. Math. 2008, 156, 705–718. [Google Scholar] [CrossRef]
- Heggernes, P.; Papadopoulos, C. Single-edge monotonic sequences of graphs and linear-time algorithms for minimal completions and deletions. Theoret. Comput. Sci. 2009, 410, 1–15. [Google Scholar] [CrossRef]
- Heggernes, P.; Telle, J.A.; Villanger, Y. Computing minimal triangulations in time O(nαlogn)=o(n2.376). SIAM J. Discrete Math. 2005, 19, 900–913. [Google Scholar] [CrossRef]
- Suchan, K.; Todinca, I. Minimal interval completion through graph exploration. Theoret. Comput. Sci. 2009, 410, 35–43. [Google Scholar] [CrossRef]
- Bodlaender, H.L.; Kloks, T.; Kratsch, D.; Müller, H. Treewidth and minimum fill-in on d-trapezoid graphs. J. Graph Alg. Appl. 1998, 2, 1–28. [Google Scholar] [CrossRef]
- Broersma, H.J.; Dahlhaus, E.; Kloks, T. A linear time algorithm for minimum fill-in and treewidth for distance hereditary graphs. Discrete Appl. Math. 2000, 99, 367–400. [Google Scholar] [CrossRef]
- Kloks, T.; Kratsch, D.; Spinrad, J. On treewidth and minimum fill-in of asteroidal triple-free graphs. Theoret. Comput. Sci. 1997, 175, 309–335. [Google Scholar] [CrossRef]
- Kloks, T.; Kratsch, D.; Wong, C.K. Minimum fill-in on circle and circular-arc graphs. J. Alg. 1998, 28, 272–289. [Google Scholar] [CrossRef]
- Meister, D. Computing treewidth and minimum fill-in for permutation graphs in linear time. In Proceedings of the 31st International Workshop on Graph-Theoretic Concepts in Computer Science (WG 2005), Metz, France, 23–25 June 2005; Volume 3787, pp. 91–102. [Google Scholar]
- Drange, P.G. Parameterized Graph Modification Algorithms. Ph.D. Thesis, University of Bergen, Bergen, Norway, 2015. [Google Scholar]
- Kaplan, H.; Shamir, R.; Tarjan, R.E. Tractability of parameterized completion problems on chordal and interval graphs: Minimum fill-in and physical mapping. In Proceedings of the 35th Annual Symposium on Foundations of Computer Science (FOCS 2004), Rome, Italy, 17–19 October 2004; pp. 780–791. [Google Scholar]
- Mancini, F. Minimum fill-in and treewidth of split+ke and split+kv graphs. In Algorithms and Computation (ISAAC 2007); Tokuyama, T., Ed.; Springer: Berlin/Heidelberg, Germany, 2007; Volume 4835, pp. 881–892. [Google Scholar]
- Villanger, Y.; Heggernes, P.; Paul, C.; Telle, J.A. Interval completion is fixed parameter tractable. SIAM J. Comput. 2009, 38, 2007–2020. [Google Scholar] [CrossRef]
- Natanzon, A.; Shamir, R.; Sharan, R. A polynomial approximation algorithm for the minimum fill-in problem. In Proceedings of the 30th Annual ACM Symposium on Theory of Computing (STOC 1998), Dallas, TX, USA, 24–26 May 1998; pp. 41–47. [Google Scholar]
- Hell, P.; Shamir, R.; Sharan, R. A fully dynamic algorithm for recognizing and representing proper interval graphs. SIAM J. Comput. 2002, 31, 289–305. [Google Scholar] [CrossRef]
- Heggernes, P.; Mancini, F. Dynamically maintaining split graphs. Discrete Appl. Math. 2009, 157, 2047–2069. [Google Scholar] [CrossRef]
- Ibarra, L. Fully dynamic algorithms for chordal graphs and split graphs. ACM Trans. Alg. 2008, 4, 40. [Google Scholar] [CrossRef]
- Shamir, R.; Sharan, R. A fully dynamic algorithm for modular decomposition and recognition of cographs. Discrete Appl. Math. 2004, 136, 329–340. [Google Scholar] [CrossRef]
- Toyonaga, K.; Johnson, C.R.; Uhrig, R. Multiplicities: Adding a vertex to a graph. In Applied and Computational Matrix Analysis: MAT-TRIAD; September 2015 Selected, Revised Contributions 6; Springer International Publishing: Berlin/Heidelberg, Germany, 2017; pp. 117–126. [Google Scholar]
- Golumbic, M.C. Algorithmic Graph Theory and Perfect Graphs; Elsevier: Amsterdam, The Netherlands, 2004. [Google Scholar]
- Chvátal, V.; Hammer, P.L. Set-Packing and Threshold Graphs, Research Report CORR 73-21; University of Warerloo: Waterloo, ON, Canada, 1973. [Google Scholar]
- Ma, S.; Wallis, W.D.; Wu, J. Optimization problems on quasi-threshold graphs. J. Comb. Inform. Syst. Sci. 1989, 14, 105–110. [Google Scholar]
- Qiu, Z.; Tang, Z. On the eccentricity spectra of threshold graphs. Discrete Appl. Math. 2022, 310, 75–85. [Google Scholar] [CrossRef]
- Jamison, B.; Olariu, S. Linear time optimization algorithms for P4-sparse graphs. Discrete Appl. Math. 1995, 61, 155–175. [Google Scholar] [CrossRef]
- Jamison, B.; Olariu, S. Recognizing P4-sparse graphs in linear time. SIAM J. Comput. 1992, 21, 381–406. [Google Scholar] [CrossRef]
- Jamison, B.; Olariu, S. A tree representation for P4-sparse graphs. Discrete Appl. Math. 1992, 35, 115–129. [Google Scholar] [CrossRef]
- Nikolopoulos, S.D.; Palios, L.; Papadopoulos, C. A fully-dynamic algorithm for the recognition of P4-sparse graphs. Theor. Comput. Sci. 2012, 439, 41–57. [Google Scholar] [CrossRef]
- Rose, D.J. A graph-theoretic study of the numerical solution of sparse positive definite systems of linear equation. In Graph Theory and Computing; Read, R.C., Ed.; Academic Press: New York, NY, USA, 1972; pp. 183–217. [Google Scholar]
- Földes, S.; Hammer, P.L. Split graphs having Dilworth number two. Can. J. Math. 1977, 29, 666–672. [Google Scholar] [CrossRef]
- Tyshkevich, R.I.; Chernyak, A.A. Yet another method of enumerating unmarked combinatorial objects. Mat. Zametki 1990, 48, 98–105. (In Russian) [Google Scholar] [CrossRef]
- Maack, N.; Molter, H.; Niedermeier, R.; Renken, M. On finding separators in temporal split and permutation graphs. J. Comput. Syst. Sci. 2023, 135, 1–14. [Google Scholar] [CrossRef]
- Hammer, P.L.; Simeone, B. The splittance of a graph. Combinatorica 1981, 1, 275–284. [Google Scholar] [CrossRef]
- Nikolopoulos, S.D. Recognizing cographs and threshold graphs through a classification of their edges. Inf. Process. Lett. 2000, 74, 129–139. [Google Scholar] [CrossRef]
- Golumbic, M.C. Trivially perfect graphs. Discrete Math. 1978, 24, 105–107. [Google Scholar] [CrossRef]
- Wolk, E.S. The comparability graph of a tree. Proc. Am. Math. Soc. 1962, 3, 789–795. [Google Scholar] [CrossRef]
- Wolk, E.S. A note of the comparability graph of a tree. Proc. Am. Math. Soc. 1965, 16, 17–20. [Google Scholar]
- Corneil, D.G.; Lerches, H.; Burlingham, L. Complement reducible graphs. Discrete Appl. Math. 1981, 3, 163–174. [Google Scholar] [CrossRef]
- Corneil, D.G.; Perl, Y.; Stewart, L.K. A linear recognition algorithm for cographs. SIAM J. Comput. 1985, 14, 926–934. [Google Scholar] [CrossRef]
- Veldman, H.J. A result on Hamiltonian line graphs involving restrictions on induced subgraphs. J. Graph Theory 1988, 12, 413–420. [Google Scholar] [CrossRef]
- Brandes, U.; Hamann, M.; Strasser, B.; Wagner, D. Fast quasi-threshold editing. In ESA 2015. LNCS; Bansal, N., Finocchi, I., Eds.; Springer: Berlin/Heidelberg, Germany, 2015; Volume 9294, pp. 251–262. [Google Scholar]
- Brandes, U.; Hamann, M.; Häuser, L.; Wagner, D. Skeleton-Based Clustering by Quasi-Threshold Editing. In Algorithms for Big Data: DFG Priority Program 1736; Springer Nature: Cham, Switzerland, 2023; pp. 134–151. [Google Scholar]
- Nikolopoulos, S.D.; Papadopoulos, C. The number of spanning trees in Kn-complements of quasi-threshold graphs. Graphs Comb. 2004, 20, 383–397. [Google Scholar] [CrossRef]
- Kano, M.; Nikolopoulos, S.D. On the Structure of A-Free Graphs; Part II, TR-25-99; Department of Computer Science, University of Ioannina: Ioannina, Greece, 1999. [Google Scholar]
- Nikolopoulos, S.D. Parallel algorithms for Hamiltonian problems on quasi-threshold graphs. Parallel Distrib. Comput. 2004, 64, 48–67. [Google Scholar] [CrossRef]
- Hoáng, C. Perfect Graphs. Ph.D. Thesis, McGill University, Montreal, QC, Canada, 1985. [Google Scholar]
- Brandstädt, A.; Le, V.B.; Spinrad, J. Graph Classes—A Survey. In SIAM Monographs in Discrete Mathematics and Applications; SIAM: Philadelphia, PA, USA, 1999. [Google Scholar]








Disclaimer/Publisher’s Note: The statements, opinions and data contained in all publications are solely those of the individual author(s) and contributor(s) and not of MDPI and/or the editor(s). MDPI and/or the editor(s) disclaim responsibility for any injury to people or property resulting from any ideas, methods, instructions or products referred to in the content. |
© 2023 by the authors. Licensee MDPI, Basel, Switzerland. This article is an open access article distributed under the terms and conditions of the Creative Commons Attribution (CC BY) license (https://creativecommons.org/licenses/by/4.0/).
Share and Cite
Mpanti, A.; Nikolopoulos, S.D.; Palios, L. Adding a Tail in Classes of Perfect Graphs. Algorithms 2023, 16, 289. https://doi.org/10.3390/a16060289
Mpanti A, Nikolopoulos SD, Palios L. Adding a Tail in Classes of Perfect Graphs. Algorithms. 2023; 16(6):289. https://doi.org/10.3390/a16060289
Chicago/Turabian StyleMpanti, Anna, Stavros D. Nikolopoulos, and Leonidas Palios. 2023. "Adding a Tail in Classes of Perfect Graphs" Algorithms 16, no. 6: 289. https://doi.org/10.3390/a16060289
APA StyleMpanti, A., Nikolopoulos, S. D., & Palios, L. (2023). Adding a Tail in Classes of Perfect Graphs. Algorithms, 16(6), 289. https://doi.org/10.3390/a16060289

