A Fast Hybrid Pressure-Correction Algorithm for Simulating Incompressible Flows by Projection Methods
Abstract
1. Introduction
2. Mathematical Modelling and Numerical Methods
2.1. Projection Method
2.2. Weighted Least-Squares Approximation
2.3. Pressure Correction and Poisson Solvers
- Compute the coefficients of the right-hand side in the discrete Fourier modes using the forward one-dimensional discrete transforms sequentially on each separate dimension.
- Compute the coefficients of the solution in the discrete Fourier modes by dividing the coefficients obtained in Step 1 by the eigenvalues computed as the sum of one-dimensional eigenvalues.
- Transform the solution back to the basis of the grid point values using the backward one-dimensional discrete transforms sequentially on each separate dimension.
3. Results
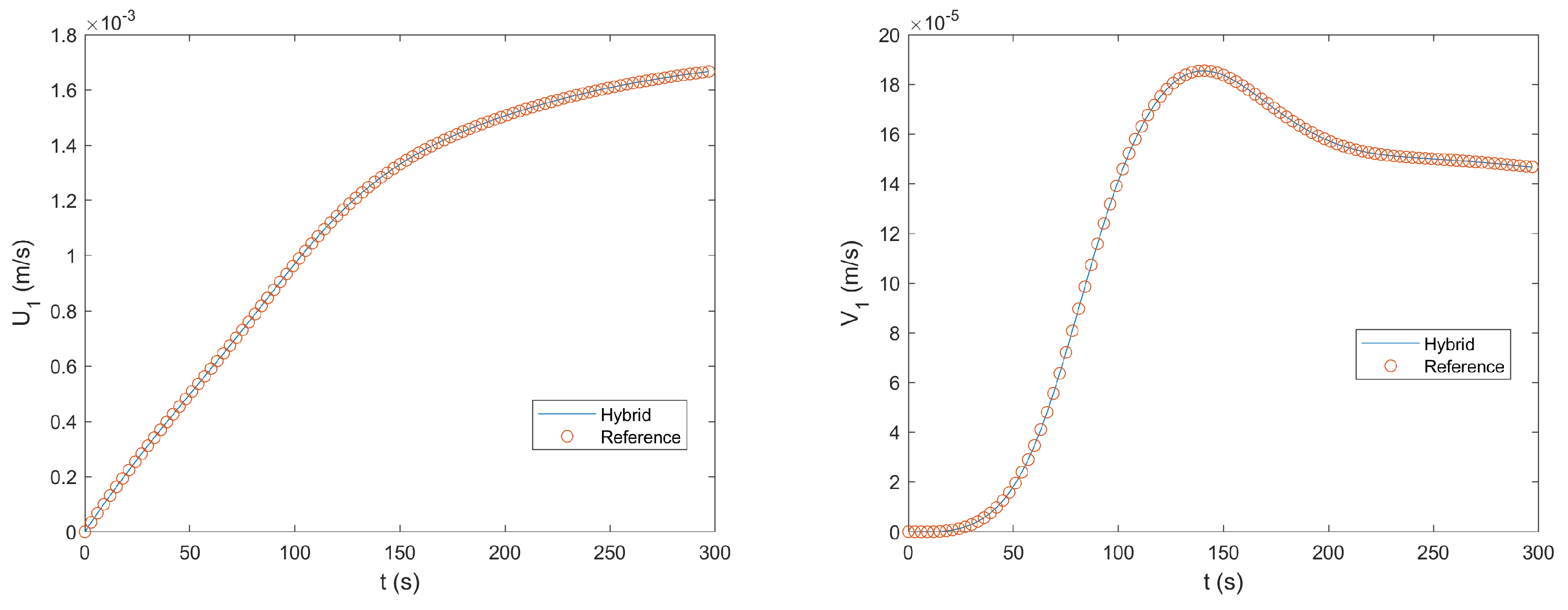
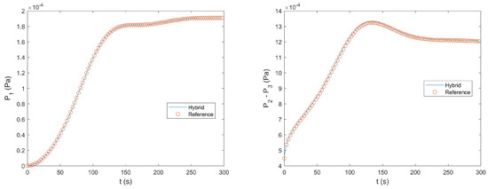
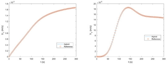
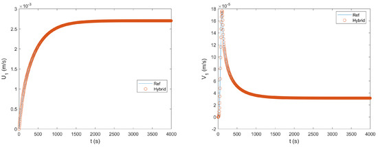
3.1. Flow over a Square
3.2. Flow around a Cylinder
3.3. Flow Past a Cylinder between Parallel Plates
3.4. Flow over Periodic Triangular Hills
3.5. Lid-Driven Polar Cavity
4. Conclusions and Future Work
Funding
Data Availability Statement
Acknowledgments
Conflicts of Interest
Abbreviations
| AGMG | Aggregation-based algebraic multigrid method |
| CFD | Computational fluid dynamics |
| CFL | Courant–Friedrichs–Lewy |
| DNS | Direct numerical simulation |
| FFT | Fast Fourier transform |
| IBM | Immersed boundary method |
| LES | Large-eddy simulation |
| RK | Runge–Kutta |
| SPH | Smoothed particle hydrodynamics |
| WLS | Weighted least squares |
References
- Chorin, A. Numerical solution of the navier-stokes equations. Math. Comput. 1968, 22, 745–762. [Google Scholar] [CrossRef]
- Temam, R. Une méthode d’approximation de la solution des équations de Navier–Stokes. Bull. Soc. Math. France 1968, 98, 115–152. [Google Scholar] [CrossRef]
- Guermond, J.; Minev, P.; Shen, J. An overview of projection methods for incompressible flows. Comput. Methods Appl. Mech. Eng. 2006, 195, 6011–6045. [Google Scholar] [CrossRef]
- Bell, J.; Colella, P.; Glaz, H. A second-order projection method for the incompressible navier-stokes equations. J. Comput. Phys. 1989, 85, 257–283. [Google Scholar] [CrossRef]
- Brown, D.; Cortez, R.; Minion, M. Accurate Projection Methods for the Incompressible Navier–Stokes Equations. J. Comput. Phys. 2001, 168, 464–499. [Google Scholar] [CrossRef]
- Kim, J.; Moin, P. Application of a fractional-step method to incompressible Navier–Stokes equations. J. Comput. Phys. 1985, 59, 308–323. [Google Scholar] [CrossRef]
- Albertson, J.; Parlange, M. Surface length scales and shear stress: Implications for land-atmosphere interaction over complex terrain. Water Resour. Res. 1999, 35, 2121–2132. [Google Scholar] [CrossRef]
- Capuano, F.; Coppola, G.; Chiatto, M.; De Luca, L. Approximate projection method for the incompressible navier-stokes equations. AIAA J. 2016, 54, 2178–2181. [Google Scholar] [CrossRef]
- Liu, M.; Ren, Y.X.; Zhang, H. A class of fully second order accurate projection methods for solving the incompressible Navier–Stokes equations. J. Comput. Phys. 2004, 200, 325–346. [Google Scholar] [CrossRef]
- Laizet, S.; Lamballais, E. High-order compact schemes for incompressible flows: A simple and efficient method with quasi-spectral accuracy. J. Comput. Phys. 2009, 228, 5989–6015. [Google Scholar] [CrossRef]
- Laizet, S.; Li, N. Incompact3d: A powerful tool to tackle turbulence problems with up to O(105) computational cores. Int. J. Numer. Methods Fluids 2011, 67, 1735–1757. [Google Scholar] [CrossRef]
- Duran, A.; Giometto, M.; Park, G.; Moin, P. Non-equilibrium three-dimensional boundary layers at moderate Reynolds numbers. J. Fluid Mech. 2019, 883, A20. [Google Scholar] [CrossRef]
- Wu, Z.; Laurence, D.; Afgan, I. Direct numerical simulation of a low momentum round jet in channel crossflow. Nucl. Eng. Des. 2017, 313, 273–284. [Google Scholar] [CrossRef]
- Moeng, C.H. A large- eddy-simulation model for the study of planetary boundary-layer turbulence. J. Atmos. Sci. 1984, 41, 2052–2062. [Google Scholar] [CrossRef]
- Cheng, W.C.; Yang, Y. Scaling of flows over realistic urban geometries: A large-eddy simulation study. Bound.-Layer Meteorol. 2023, 186, 125–144. [Google Scholar] [CrossRef]
- Cummins, S.J.; Rudman, M. An SPH Projection Method. J. Comput. Phys. 1999, 152, 584–607. [Google Scholar] [CrossRef]
- Lo, E.Y.; Shao, S. Simulation of near-shore solitary wave mechanics by an incompressible SPH method. Appl. Ocean Res. 2002, 24, 275–286. [Google Scholar] [CrossRef]
- Salehizadeh, A.; Shafiei, A. A Coupled ISPH-TLSPH Method for Simulating Fluid-Elastic Structure Interaction Problems. J. Mar. Sci. Appl. 2022, 21, 15–36. [Google Scholar] [CrossRef]
- Le, H.; Moin, P. An improvement of fractional step methods for the incompressible Navier–Stokes equations. J. Comput. Phys. 1991, 92, 369–379. [Google Scholar] [CrossRef]
- de Michele, C.; Capuano, F.; Coppola, G. Fast-Projection Methods for the Incompressible Navier–Stokes Equations. Fluids 2020, 5, 222. [Google Scholar] [CrossRef]
- Aithal, A.; Ferrante, A. A fast pressure-correction method for incompressible flows over curved walls. J. Comput. Phys. 2020, 421, 109693. [Google Scholar] [CrossRef]
- Karam, M.; Sutherland, J.; Saad, T. Low-cost Runge-Kutta integrators for incompressible flow simulations. J. Comput. Phys. 2021, 443, 110518. [Google Scholar] [CrossRef]
- Dodd, M.; Ferrante, A. A fast pressure-correction method for incompressible two-fluid flows. J. Comput. Phys. 2014, 273, 416–434. [Google Scholar] [CrossRef]
- Fourtakas, G.; Rogers, B.; Nasar, A. Towards pseudo-spectral incompressible smoothed particle hydrodynamics (ISPH). Comput. Phys. Commun. 2021, 266, 108028. [Google Scholar] [CrossRef]
- Mittal, R.; Iaccarino, G. Immersed boundary methods. Annu. Rev. Fluid Mech. 2005, 37, 239–261. [Google Scholar] [CrossRef]
- Chester, S.; Meneveau, C.; Parlange, M. Modeling turbulent flow over fractal trees with renormalized numerical simulation. J. Comput. Phys. 2007, 225, 427–448. [Google Scholar] [CrossRef]
- Ma, H.; Cheng, W.C. Effects of unstable thermal stratification on the flow characteristics in an idealized rural-to-urban transition region: A large-eddy simulation study. Build. Environ. 2023, 230, 109971. [Google Scholar] [CrossRef]
- Ma, Y.; Liu, H. Large-Eddy Simulations of Atmospheric Flows Over Complex Terrain Using the Immersed-Boundary Method in the Weather Research and Forecasting Model. Bound.-Layer Meteorol. 2017, 165, 421–445. [Google Scholar] [CrossRef]
- Liu, L.; Stevens, R. Wall modeled immersed boundary method for high Reynolds number flow over complex terrain. Comput. Fluids 2020, 208, 104604. [Google Scholar] [CrossRef]
- Fang, J.; Porté-Agel, F. Intercomparison of terrain-following coordinate transformation and immersed boundary methods in large-eddy simulation of wind fields over complex terrain. J. Phys. Conf. Ser. 2016, 753, 082008. [Google Scholar] [CrossRef]
- Fang, J.; Parriaux, A. A regularized Lagrangian finite point method for the simulation of incompressible viscous flows. J. Comput. Phys. 2008, 227, 8894–8908. [Google Scholar] [CrossRef]
- Hockney, R.W.; Eastwood, J.W. Computer Simulation Using Particles; McGraw-Hill: New York, NY, USA, 1981. [Google Scholar]
- Press, W.H.; Teukolsky, S.A.; Vetterling, W.T.; Flannery, B.P. Numerical Recipes in FORTRAN: The Art of Scientific Computing, 2nd ed.; Cambridge University Press: Cambridge, UK, 1992. [Google Scholar]
- Notay, Y. An aggregation-based algebraic multigrid method. Electron. Trans. Numer. Anal. 2010, 37, 123–146. [Google Scholar]
- Napov, A.; Notay, Y. An algebraic multigrid method with guaranteed convergence rate. SIAM J. Sci. Comput. 2012, 34, A1079–A1109. [Google Scholar] [CrossRef]
- Notay, Y. Aggregation-based algebraic multigrid for convection-diffusion equations. SIAM J. Sci. Comput. 2012, 34, A2288–A2316. [Google Scholar] [CrossRef]
- Fang, J.; Diebold, M.; Higgins, C.; Parlange, M. Towards oscillation-free implementation of the immersed boundary method with spectral-like methods. J. Comput. Phys. 2011, 230, 8179–8191. [Google Scholar] [CrossRef]
- Fuka, V. PoisFFT—A free parallel fast Poisson solver. Appl. Math. Comput. 2015, 267, 356–364. [Google Scholar] [CrossRef]
- Gholami, A.; Malhotra, D.; Sundar, H.; Biros, G. FFT, FMM, or Multigrid? A comparative Study of State-Of-the-Art Poisson Solvers for Uniform and Nonuniform Grids in the Unit Cube. SIAM J. Sci. Comput. 2016, 38, C280–C306. [Google Scholar] [CrossRef]
- Fuchs, L.; Tillmark, N. Numerical and experimental study of driven flow in a polar cavity. Int. J. Numer. Methods Fluids 1985, 5, 311–329. [Google Scholar] [CrossRef]























Disclaimer/Publisher’s Note: The statements, opinions and data contained in all publications are solely those of the individual author(s) and contributor(s) and not of MDPI and/or the editor(s). MDPI and/or the editor(s) disclaim responsibility for any injury to people or property resulting from any ideas, methods, instructions or products referred to in the content. |
© 2023 by the author. Licensee MDPI, Basel, Switzerland. This article is an open access article distributed under the terms and conditions of the Creative Commons Attribution (CC BY) license (https://creativecommons.org/licenses/by/4.0/).
Share and Cite
Fang, J. A Fast Hybrid Pressure-Correction Algorithm for Simulating Incompressible Flows by Projection Methods. Algorithms 2023, 16, 287. https://doi.org/10.3390/a16060287
Fang J. A Fast Hybrid Pressure-Correction Algorithm for Simulating Incompressible Flows by Projection Methods. Algorithms. 2023; 16(6):287. https://doi.org/10.3390/a16060287
Chicago/Turabian StyleFang, Jiannong. 2023. "A Fast Hybrid Pressure-Correction Algorithm for Simulating Incompressible Flows by Projection Methods" Algorithms 16, no. 6: 287. https://doi.org/10.3390/a16060287
APA StyleFang, J. (2023). A Fast Hybrid Pressure-Correction Algorithm for Simulating Incompressible Flows by Projection Methods. Algorithms, 16(6), 287. https://doi.org/10.3390/a16060287

