Research on the Thermal Decomposition Reaction Kinetics and Mechanism of Pyridinol-Blocked Isophorone Diisocyanate
Abstract
:1. Introduction

2. Results and Discussion
2.1. Synthesis and Characterization of the Blocked Isocyanates

2.2. Deblocking Temperature
| Blocking Agent | Deblocking Temperature/°C | ||
|---|---|---|---|
| TGA | DSC | CO2 | |
| 2-hydroxypyridine | 73 | 69 | 76 |
| 3-hydroxypyridine | 76 | 72 | 78 |
| 4-hydroxypyridine | 71 | 71 | 77 |


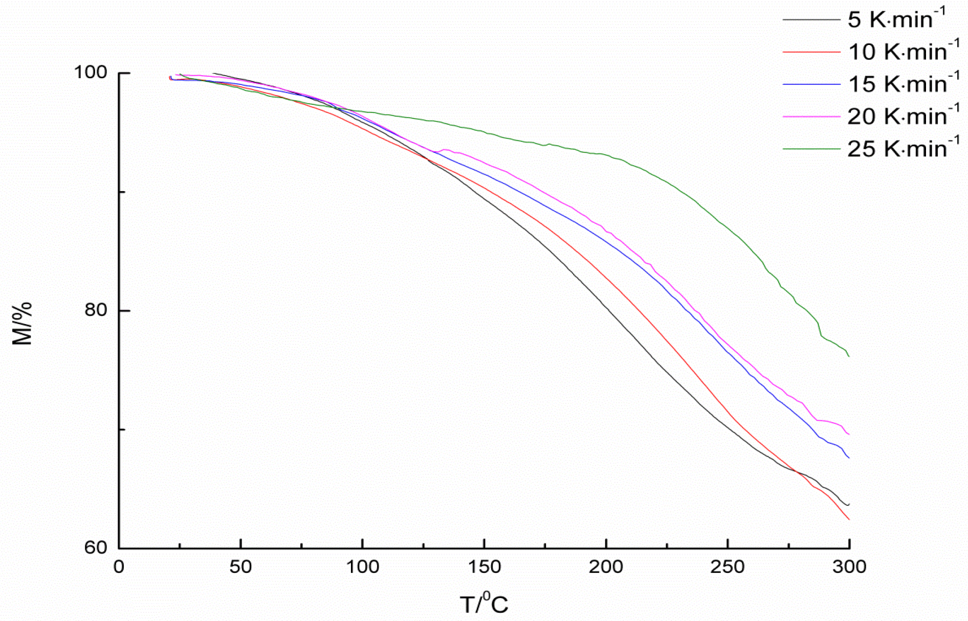
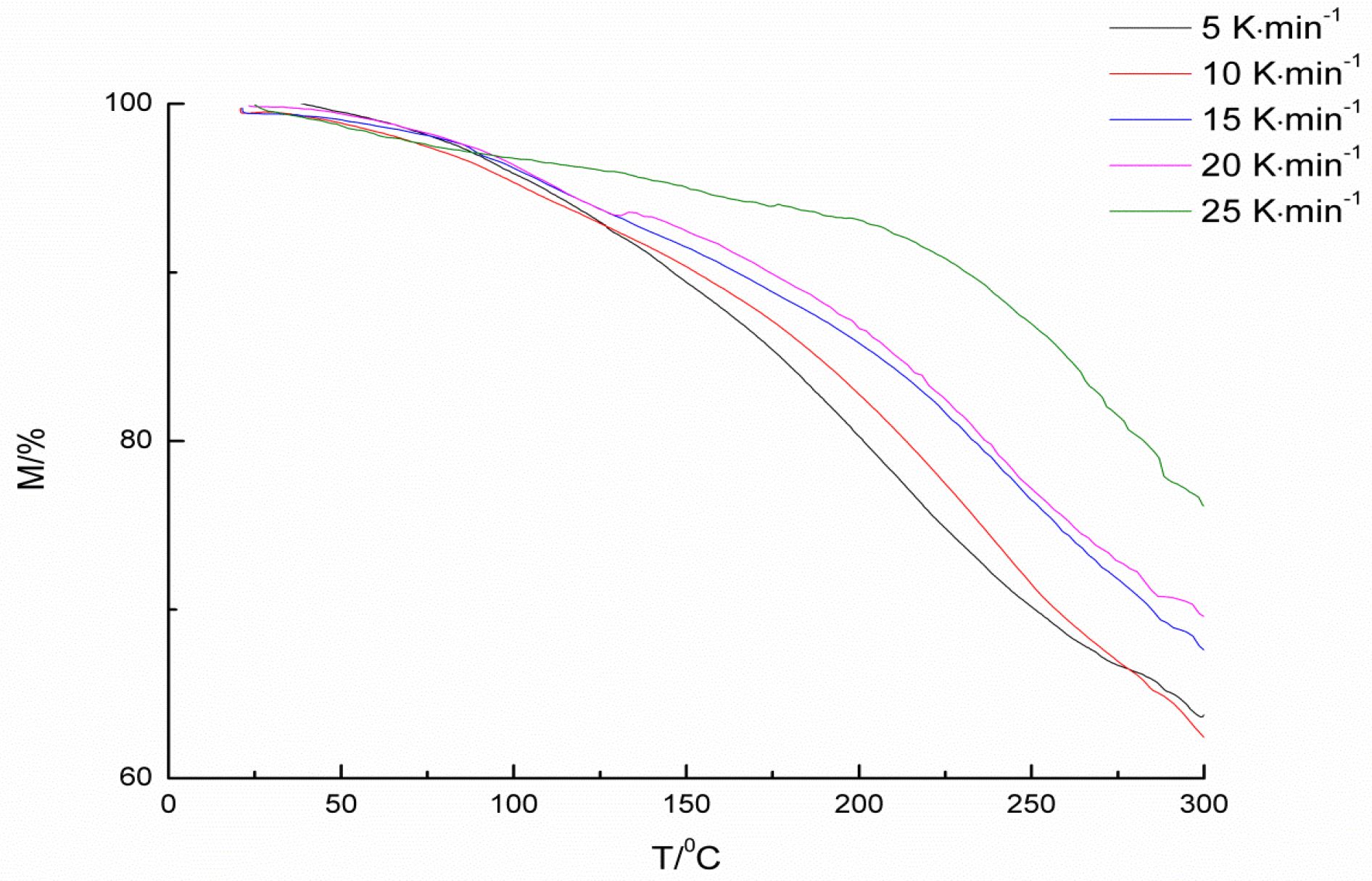
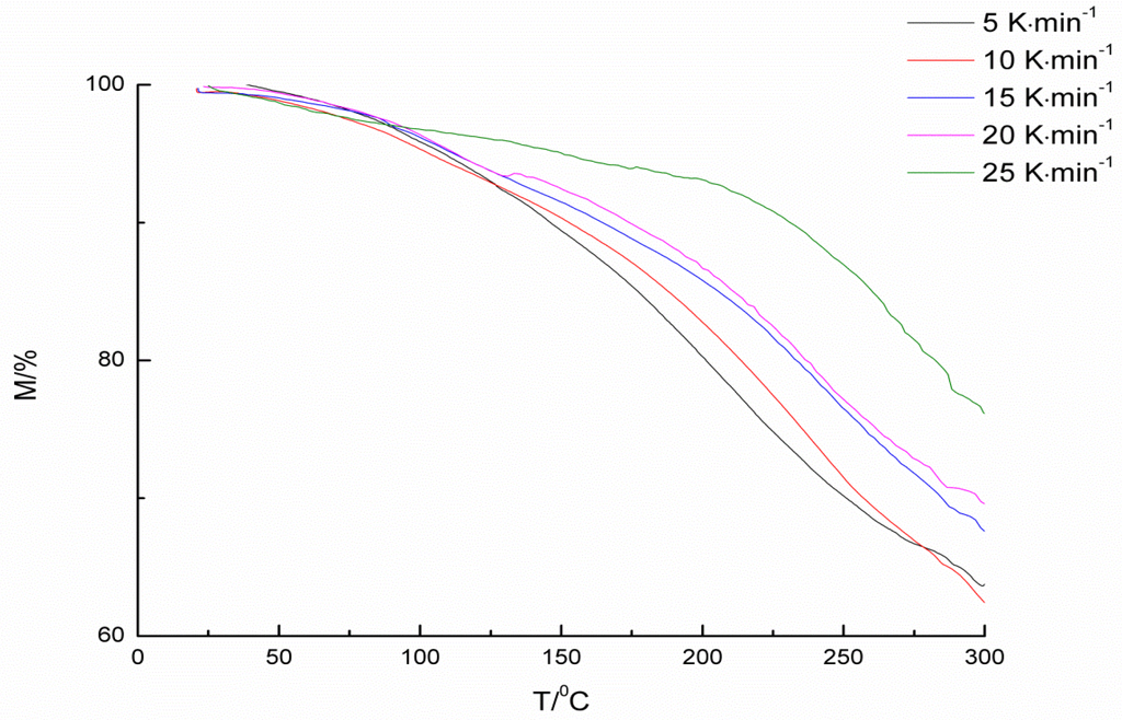
2.3. Thermal Decomposition Kinetics and Mechanism Functions

| βa/K·min−1 | Tib/°C | Tpc/°C | Max mass loss/% |
|---|---|---|---|
| 5 | 78 | 139.7 | 36.2 |
| 10 | 79 | 142.2 | 37.5 |
| 15 | 81 | 145.5 | 32.5 |
| 20 | 83 | 152.4 | 30.5 |
| 25 | 85 | 167.6 | 24.8 |
2.3.1. Calculation of Activation Energy (E)
| α | T/K | ||||
|---|---|---|---|---|---|
| β = 5 K·min−1 | β = 10 K·min−1 | β = 15 K·min−1 | β = 20 K·min−1 | β = 25 K·min−1 | |
| 0.10 | 419.4 | 425.7 | 428.3 | 431.3 | 434.6 |
| 0.11 | 426.2 | 434.9 | 440.8 | 444.4 | 445.9 |
| 0.12 | 438.8 | 448.7 | 452.6 | 455.5 | 460.5 |
| 0.13 | 455.7 | 466.9 | 473.5 | 475.3 | 478.3 |
| 0.14 | 465.1 | 476.9 | 481.9 | 487.2 | 491.4 |
| 0.15 | 474.5 | 487.0 | 490.8 | 493.5 | 499.6 |

| α | FRL equation | FWO equation | ||
|---|---|---|---|---|
| E/kJ·mol−1 | r | E/kJ·mol−1 | r | |
| 0.10 | 122.0 | 0.9832 | 147.1 | 0.9949 |
| 0.11 | 129.4 | 0.9821 | 118.6 | 0.9969 |
| 0.12 | 133.8 | 0.9837 | 123.2 | 0.9937 |
| 0.13 | 149.4 | 0.9809 | 120.5 | 0.9817 |
| 0.14 | 134.7 | 0.9909 | 122.4 | 0.9888 |
| 0.15 | 138.2 | 0.9808 | 125.5 | 0.9888 |
2.3.2. Determination of F(α) and G(α)
| T/K | Function | b | r |
|---|---|---|---|
| Valensi | −0.6721 | 0.9231 | |
| 403.2 | Jander | −0.9879 | 0.9941 |
| Mampel Power | −0.7258 | 0.9152 | |
| Valensi | −0.4315 | 0.8956 | |
| 423.2 | Jander | −0.9731 | 0.9965 |
| Mampel Power | −0.6532 | 0.9972 | |
| Valensi | −0.7635 | 0.9466 | |
| 443.2 | Jander | −1.0245 | 0.9895 |
| Mampel Power | −2.0615 | 0.9358 | |
| Valensi | −0.8527 | 0.9911 | |
| 463.2 | Jander | −0.9851 | 0.9953 |
| Mampel Power | −1.4627 | 0.9512 | |
| Valensi | −0.7855 | 0.9263 | |
| 483.2 | Jander | −0.9758 | 0.9910 |
| Mampel Power | −1.1284 | 0.9599 |
2.3.3. Calculation of the Reaction Order (n)
| α | n | r |
|---|---|---|
| 0.10 | 1.25 | 0.9974 |
| 0.11 | 1.23 | 0.9889 |
| 0.12 | 1.28 | 0.9934 |
| 0.13 | 1.24 | 0.9888 |
| 0.14 | 1.27 | 0.9961 |
| 0.15 | 1.25 | 0.9983 |
3. Experimental Section
3.1. Materials
3.2. Synthesis of Pyridinol Blocked Isophorone Diisocyanate
3.3. Characterization of Blocked Isocyanates
3.4 Assessment of deblocking temperature
3.4.1. TGA Testing
3.4.2. DSC Testing
3.4.3. CO2 Evaluation Method
4. Conclusions
Supplementary Files
Supplementary File 1Acknowledgments
Author Contributions
Conflicts of Interest
References
- Wicks, D.A.; Wicks, Z.W. Blocked isocyanates III: Part A. Mechanisms and chemistry. Prog. Org. Coat. 1999, 36, 148–172. [Google Scholar] [CrossRef]
- Moeini, H.R. Synthesis and properties of novel polyurethane-urea insulating coatings from hydroxyl-terminated prepolymers and blocked isocyanate curing agent. J. Appl. Polym. Sci. 2009, 112, 3714–3720. [Google Scholar] [CrossRef]
- Nasar, A.S.; Shrinivas, V.; Shanmugam, T.; Raghavan, A. Synthesis and deblocking of cardanol- and anacardate-blocked toluene diisocyanates. J. Appl. Polym. Sci. Part A: Polym. Chem. 2004, 42, 4047–4055. [Google Scholar] [CrossRef]
- Subramani, S.; Cheong, I.W.; Kim, J.H. Chain extension studies of water-borne polyurethanes from methyl ethyl ketoxime/epsilon-caprolactam-blocked aromatic isocyanates. Prog. Org. Coat. 2004, 51, 329–338. [Google Scholar] [CrossRef]
- Bode, S.; Enke, M.; Gorls, H.; Hoeppener, S.; Weberskirch, R.; Hager, M.D.; Schubert, U.S. Blocked isocyanates: An efficient tool for post-polymerization modification of polymers. Polym. Chem Uk. 2014, 5, 2574–2582. [Google Scholar] [CrossRef]
- Yeganeh, H.; Atai, M.; Talemi, P.H.; Jamshidi, S. Synthesis, characterization and properties of novel poly (urethane-imide) networks as electrical insulators with improved thermal stability. Macromol. Mater. Eng. 2006, 291, 883–894. [Google Scholar] [CrossRef]
- Delebecq, E.; Pascault, J.P.; Boutevin, B.; Ganachaud, F. On the Versatility of Urethane/Urea Bonds: Reversibility, Blocked Isocyanate, and Non-isocyanate Polyurethane. Chem. Rev. 2013, 113, 80–118. [Google Scholar] [CrossRef] [PubMed]
- Nasar, A.S.; Radhakrishnan, G.; Kothandaraman, H. Electron impact mass spectra of phenol blocked isocyanates. J. Macromol. Sci. A 1997, A34, 2535–2541. [Google Scholar] [CrossRef]
- Krol, P.; Wojturska, J. Kinetic study on the reaction of 2,4-and 2,6-tolylene diisocyanate with 1-butanol in the presence of styrene, as a model reaction for the process that yields interpenetrating polyurethane-polyester networks. J. Appl. Polym. Sci. 2003, 88, 327–336. [Google Scholar] [CrossRef]
- Chen, J.; Pascault, J.; Taha, M. Synthesis of polyurethane acrylate oligomers based on polybutadiene polyol. J. Polym. Sci. Part A Polym. Chem. 1996, 34, 2889–2907. [Google Scholar] [CrossRef]
- Dubois, C.; Désilets, S.; Ait-Kadi, A.; Tanguy, P. Bulk polymerization of hydroxyl terminated polybutadiene (HTPB) with tolylene diisocyanate (TDI): A kinetics study using 13C-NMR spectroscopy. J. Appl. Polym. Sci. 1995, 58, 827–834. [Google Scholar] [CrossRef]
- Grepinet, B.; Pla, F.; Hobbes, P.; Swaels, P.; Monge, T. Modeling and simulation of urethane acrylates synthesis. I. Kinetics of uncatalyzed reaction of toluene diisocyanate with a monoalcohol. J. Appl. Polym. Sci. 2000, 75, 705–712. [Google Scholar] [CrossRef]
- Welsh, E.R.; Schauer, C.L.; Qadri, S.B.; Price, R.R. Chitosan cross-linking with a water-soluble, blocked diisocyinate. 1. Solid state. Biomacromolecules 2002, 3, 1370–1374. [Google Scholar] [CrossRef] [PubMed]
- Sankar, G.; Nasar, A.S. Effect of isocyanate structure on deblocking and cure reaction of N-methylaniline-blocked diisocyanates and polyisocyanates. Eur. Polym. J. 2009, 45, 911–922. [Google Scholar] [CrossRef]
- Noh, S.M.; Lee, J.W.; Nam, J.H.; Park, J.M.; Jung, H.W. Analysis of scratch characteristics of automotive clearcoats containing silane modified blocked isocyanates via carwash and nano-scratch tests. Prog. Org. Coat. 2012, 74, 192–203. [Google Scholar] [CrossRef]
- Friedman, H.L. Kinetics and gaseous products of thermal decomposition of polymers. J. Macromol. Sci. A. 1967, 41, 57–79. [Google Scholar] [CrossRef]
- Reich, L.; Levi, W. Polymer degradation by differential thermal analysis techniques. J.Polym. Sci. Macromol. Rev. 1968, 3, 49–112. [Google Scholar] [CrossRef]
- Flynn, J.H.; Wall, L.A. A quick, direct method for the determination of activation energy from thermogravimetric data. J. Polym. Sci. Part B: Polym. Phys. 1966, 4, 323–328. [Google Scholar] [CrossRef]
- Ozawa, T. A new method of analyzing thermogravimetric data. B. Chem. Soc. Jpn. 1965, 38, 1881–1886. [Google Scholar] [CrossRef]
- Vyazovkin, S.; Wight, C.A. Model-free and model-fitting approaches to kinetic analysis of isothermal and nonisothermal data. Thermochim. Acta. 1999, 341, 53–68. [Google Scholar] [CrossRef]
- Zhang, J.J.; Ren, N.; Bai, J.H.; Xu, S.L. Synthesis and thermal decomposition reaction kinetics of complexes of [Sm2(m-ClBA)6(phen)2] · 2H2O and [Sm2(m-BrBA)6(phen)2] · 2H2O. Int. J. Chem. Kinet. 2007, 39, 67–74. [Google Scholar] [CrossRef]
- Hu, R.Z.; Shi, Q.Z. Thermal Analysis Kinetics; Science Press: Beijing, China, 2008; pp. 115–135. [Google Scholar]
- Xu, W.B.; Bao, S.P.; Shen, S.J.; Wang, W.; Hang, G.P.; He, P.S. Differential scanning calorimetric study on the curing behavior of epoxy resin/diethylenetriamine/organic montmorillonite nanocomposite. J. Polymer Sci. Part B Polymer Phys. 2003, 41, 378–386. [Google Scholar] [CrossRef]
- Iglesias, M.; Eyler, N.; Canizo, A. Kinetics of the thermal decomposition reaction of diethylketone cyclic triperoxide in acetone-toluene and acetone-1-propanol binary solvent mixtures. J. Phys. Org. Chem. 2009, 22, 96–100. [Google Scholar] [CrossRef]
- Spyrou, E.; Metternich, H.J.; Franke, R. Isophorone diisocyanate in blocking agent free polyurethane powder coating hardeners: analysis, selectivity, quantumchemical calculations. Prog. Org. Coat. 2003, 48, 201–206. [Google Scholar] [CrossRef]
- Majoros, L.I.; Dekeyser, B.; Hoogenboom, R.; Fijten, M.W.M.; Geeraert, J.; Haucourt, N.; Schubert, U.S. Kinetic Study of the Polymerization of Aromatic Polyurethane Prepolymers by High-Throughput Experimentation. J. Polym. Sci. Part A: Polym. Chem. 2010, 48, 570–580. [Google Scholar] [CrossRef]
- Jin, C.; Lu, J.; Li, W.S.; Zhou, L.; Huang, Q.M.; Yang, X.H. Synthesis and characterization of butan-1-of modified toluene diisocyanate trimer. J. Appl. Polym. Sci. 2006, 102, 4958–4962. [Google Scholar] [CrossRef]
- Yeganeh, H.; Shamekhi, M.A. Preparation and properties of novel polyurethane insulating coatings based on glycerin-terminated urethane prepolymers and blocked isocyanate. Polym. Int. 2005, 54, 754–763. [Google Scholar] [CrossRef]
- Li, A.F.; Fan, G.D.; Chen, H.; Zhao, Q. Synthesis and characterization of water-borne diisocyanate crosslinkers from methyl ethyl ketoxime/2-methylimidazole-blocked aromatic isocyanates. Res. Chem. Intermediat. 2013, 39, 3565–3577. [Google Scholar] [CrossRef]
© 2016 by the authors; licensee MDPI, Basel, Switzerland. This article is an open access article distributed under the terms and conditions of the Creative Commons by Attribution (CC-BY) license (http://creativecommons.org/licenses/by/4.0/).
Share and Cite
Guo, S.; He, J.; Luo, W.; Liu, F. Research on the Thermal Decomposition Reaction Kinetics and Mechanism of Pyridinol-Blocked Isophorone Diisocyanate. Materials 2016, 9, 110. https://doi.org/10.3390/ma9020110
Guo S, He J, Luo W, Liu F. Research on the Thermal Decomposition Reaction Kinetics and Mechanism of Pyridinol-Blocked Isophorone Diisocyanate. Materials. 2016; 9(2):110. https://doi.org/10.3390/ma9020110
Chicago/Turabian StyleGuo, Sen, Jingwei He, Weixun Luo, and Fang Liu. 2016. "Research on the Thermal Decomposition Reaction Kinetics and Mechanism of Pyridinol-Blocked Isophorone Diisocyanate" Materials 9, no. 2: 110. https://doi.org/10.3390/ma9020110
APA StyleGuo, S., He, J., Luo, W., & Liu, F. (2016). Research on the Thermal Decomposition Reaction Kinetics and Mechanism of Pyridinol-Blocked Isophorone Diisocyanate. Materials, 9(2), 110. https://doi.org/10.3390/ma9020110
