Complete Permittivity Tensor in Sputtered CuFe2O4 Thin Films at Photon Energies between 2 and 5 eV
Abstract
:1. Introduction
2. Experimental Section
| Sample | Thickness [nm] | RF power [W] | [G] | [] | Structure |
|---|---|---|---|---|---|
| 1—Quenched | 112 | 50 | 2300 | 850 | Cubic |
| 2—As deposited | 90 | 50 | 750 | – | As deposited |
| 3—Slowly cooled | 280 | 50 | 1500 | 850 | Tetragonal |
| 4—Slowly cooled | 230 | 200 | 1600 | 850 | Tetragonal |
3. Results and Discussion
3.1. Spectroscopic Ellipsometry

3.2. Magneto-Optical Spectroscopy
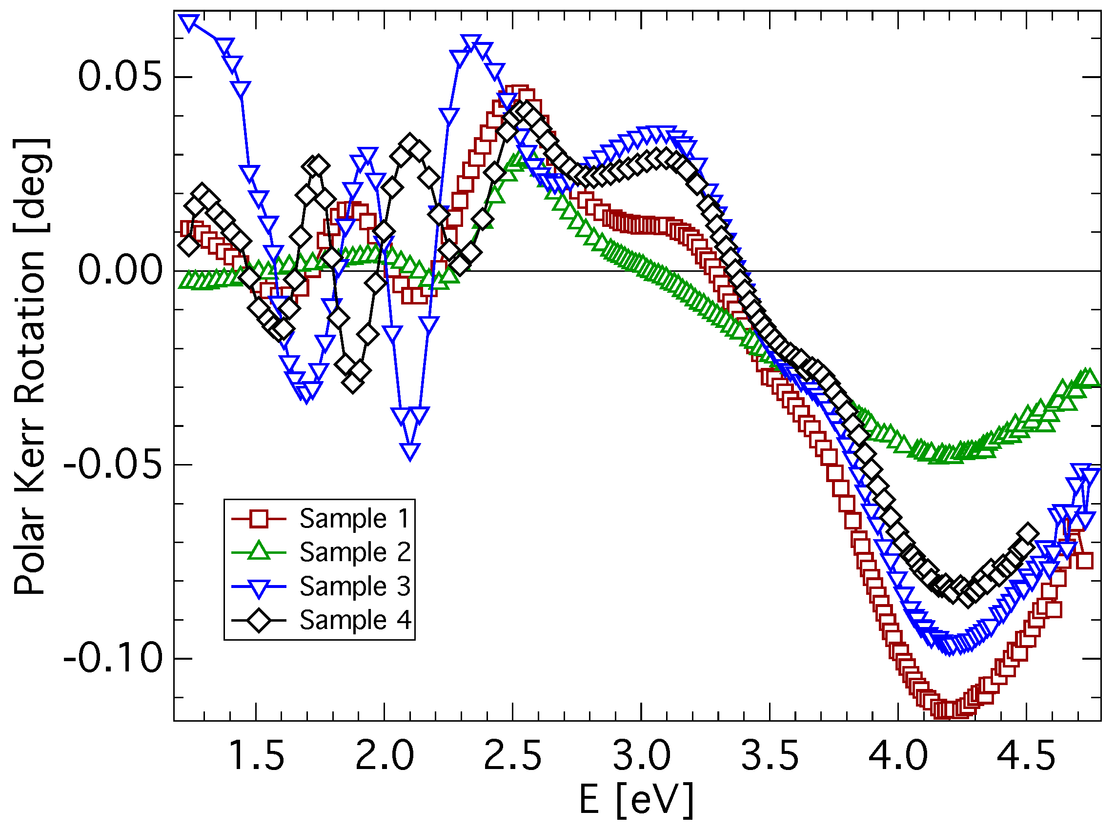
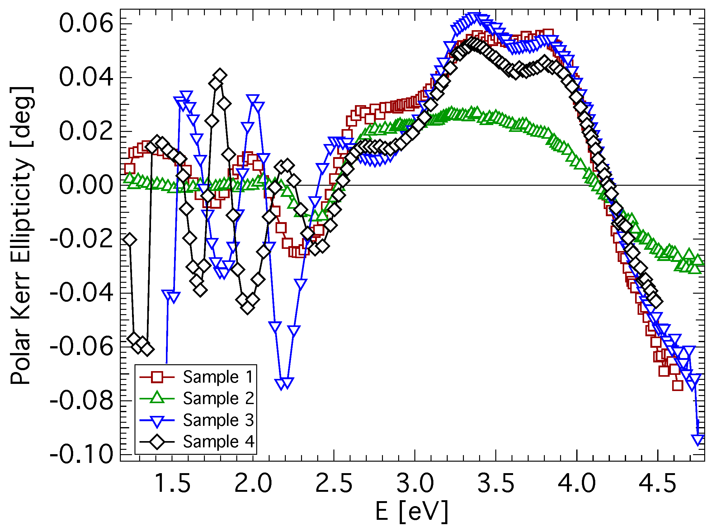
3.2.1. Polar Geometry



| Sample | 1 | 2 | 3 | 4 |
|---|---|---|---|---|
| () | 0.0053 | 0.0072 | 0.0163 | 0.0075 |
| [eV] | 2.36 | 2.35 | 2.31 | 2.44 |
| Γ [eV] | 0.19 | 0.21 | 0.10 | 0.18 |
| Transition I | ISCT | |||
| () | −0.0017 | −0.0052 | −0.0012 | −0.0026 |
| [eV] | 2.73 | 2.66 | 2.55 | 2.64 |
| Γ [eV] | 0.14 | 0.44 | 0.07 | 0.11 |
| Transition II | ISCT | |||
| () | −0.0087 | −0.0019 | −0.0092 | −0.0079 |
| [eV] | 3.34 | 3.25 | 3.34 | 3.33 |
| Γ [eV] | 0.43 | 0.27 | 0.22 | 0.25 |
| Transition III | ISCT | |||
| () | −0.0063 | −0.0029 | −0.0081 | −0.0061 |
| [eV] | 3.89 | 3.72 | 3.84 | 3.86 |
| Γ [eV] | 0.27 | 0.49 | 0.35 | 0.33 |
| Transition IV | ISCT | |||
| () | 0.0099 | 0.0038 | 0.0087 | 0.0073 |
| [eV] | 4.74 | 4.71 | 4.66 | 4.50 |
| Γ [eV] | 0.72 | 0.98 | 0.72 | 0.53 |
| Transition V | IVCT | |||
3.3. Longitudinal Geometry

4. Conclusions
Acknowledgments
Conflicts of Interest
References
- Zamani, M.; Ghanaatshoar, M. Adjustable magneto-optical isolators with flat-top responses. Opt. Express 2012, 20, 24524–24535. [Google Scholar] [CrossRef] [PubMed]
- Saib, A.; Darques, M.; Piraux, L.; vanhoenacker-Janvier, D.; Huynen, I. Unbiased microwave circulator based on ferromagnetic nanowires arrays of tunable magnetization state. J. Phys. D Appl. Phys. 2005, 38. [Google Scholar] [CrossRef]
- Choueikani, F.; Royer, F.; Jamon, D.; Siblini, A.; Rousseau, J.J.; Neveu, S.; Charara, J. Magneto-optical waveguides made of cobalt ferrite nanoparticles embedded in silica/zirconia organic-inorganic matrix. Appl. Phys. Lett. 2009, 94, 051113:1–051113:3. [Google Scholar] [CrossRef]
- Liu, T.Y.; Hu, S.H.; Hu, S.H.; Tsai, S.P.; Chen, S.Y. Preparation and characterization of thermal-sensitive ferrofluids for drug delivery application. J. Magn. Magn. Mater. 2007, 310, 2850–2852. [Google Scholar] [CrossRef]
- Nixon, L.; Koval, C.A.; Noble, R.D.; Slaff, G.S. Preparation and characterization of novel magnetite-coated ion-exchange particles. Chem. Mater. 1992, 4, 117–121. [Google Scholar] [CrossRef]
- Hankare, P.; Sanadi, K.; Pandav, R.; Patil, N.; Garadkar, K.; Mulla, I. Structural, electrical and magnetic properties of cadmium substituted copper ferrite by solgel method. J. Alloys Compd. 2012, 540, 290–296. [Google Scholar] [CrossRef]
- Chen, N.S.; Yang, X.J.; Liu, E.S.; Huang, J.L. Reducing gas-sensing properties of ferrite compounds MFe2O4 (M = Cu, Zn, Cd and Mg). Sens. Actuators B Chem. 2000, 66, 178–180. [Google Scholar] [CrossRef]
- Ballhausen, C.J. Introduction to Ligand Field Theory; McGraw-Hill: New York, NY, USA, 1962. [Google Scholar]
- Jahn, H.A.; Teller, E. Stability of polyatomic molecules in degenerate electronic states. I. Orbital degeneracy. Proc. R. Soc. Lond. 1937, 161, 220–235. [Google Scholar] [CrossRef]
- Desai, M.; Prasad, S.; Venkataramani, N.; Samajdar, I.; Nigam, A.K.; Krishnan, R. Enhanced magnetization in sputter-deposited copper ferrite thin films. J. Magn. Magn. Mater. 2002, 246, 266–269. [Google Scholar] [CrossRef]
- Desai, M.; Prasad, S.; Venkataramani, N.; Samajdar, I.; Nigam, A.K.; Krishnan, R. Annealing induced structural change in sputter deposited copper ferrite thin films and its impact on magnetic properties. J. Appl. Phys. 2002, 91, 2220–2227. [Google Scholar] [CrossRef]
- Scott, G.B.; Lacklison, D.E.; Ralph, H.I.; Page, J.L. Magnetic circular dichroism and Faraday rotation spectra of Y3Fe5O12. Phys. Rev. B 1975, 12, 2562–2571. [Google Scholar] [CrossRef]
- Kucera, M.; Kolinsky, V.; Visnovsky, S.; Chvostova, D.; Venkataramani, N.; Prasad, S.; Kulkarni, P.; Krishnan, R. Faraday effect in cubic and tetragonal copper ferrite CuFe2O4 films: Comparative studies. J. Magn. Magn. Mater. 2007, 316, e688–e691. [Google Scholar] [CrossRef]
- Veis, M.; Kolinsky, V.; Visnovsky, S.; Kulkarni, P.D.; Desai, M.; Venkataramani, N.; Prasad, S.; Krishnan, R. Moke spectroscopy of sputter deposited Cu-ferrite films. J. Magn. Magn. Mater. 2004, 272–276, E885–E886. [Google Scholar] [CrossRef]
- Visnovsky, S.; Veis, M.; Liskova, E.; Kolinsky, V.; Kulkarni, P.D.; Venkataramani, N.; Prasad, S.; Krishnan, R. MOKE spectroscopy of sputter-deposited Cu-ferrite films. J. Magn. Magn. Mater. 2005, 290–291, 195–197. [Google Scholar] [CrossRef]
- Kim, K.J.; Lee, J.H.; Lee, S.H. Magneto-optical investigation of spinel ferrite CuFe2O4: Observation of Jahn–Teller effect in Cu2+ ion. J. Magn. Magn. Mater. 2004, 279, 173–177. [Google Scholar] [CrossRef]
- Tang, X.X.; Manthiram, A.; Goodenough, J. Copper ferrite revisited. J. Solid State Chem. 1989, 79, 250–262. [Google Scholar] [CrossRef]
- Yang, A.; Zuo, X.; Chen, L.; Chen, Z.; Vittoria, C.; Harris, V.G. Magnetic and structural properties of pulsed laser deposited CuFe2O4 films. J. Appl. Phys. 2005, 97, 10G107:1–10G107:3. [Google Scholar]
- The magneto-optical spectrometer operating at the Institute of Physics of Charles University at Prague since 1975 was built by one of us (S.V.).
- Veis, M.; Visnovsky, S.; Lecoeur, P.; Haghiri-Gosnet, A.M.; Renard, J.P.; Beauvillain, P.; Prellier, W.; Mercey, B.; Mistrik, J.; Yamaguchi, T. Magneto-optic spectroscopy of La2/3Sr1/3MnO3 films on SrTiO3 (100) and (110) substrates. J. Phys. D Appl. Phys. 2009, 42. [Google Scholar] [CrossRef]
- Yeh, P. Optics of anisotropic layered media: A new 4 × 4 matrix algebra. Surf. Sci. 1980, 96, 41–53. [Google Scholar] [CrossRef]
- Antos, R.; Pistora, J.; Ohlidal, I.; Postava, K.; Mistrik, J.; Yamaguchi, T.; Visnovsky, S.; Horie, M. Specular spectroscopic ellipsometry for the critical dimension monitoring of gratings fabricated on a thick transparent plate. J. Appl. Phys. 2005, 97, 053107:1–053107:7. [Google Scholar] [CrossRef]
- Fontijn, W.F.J.; van der Zaag, P.J.; Devillers, M.A.C.; Brabers, V.A.M.; Metselaar, R. Optical and magneto-optical polar Kerr spectra of Fe3O4 and Mg2+- or Al3+-substituted Fe3O4. Phys. Rev. B 1997, 56, 5432–5442. [Google Scholar] [CrossRef]
- Martens, J.W.D.; Peeters, W.L.; van Noort, H.M.; Erman, M. Optical, magneto-optical and mössbauer spectroscopy on Co3+ substituted cobalt ferrite Co2+Fe2−xO4 (0 < x < 2). J. Phys. Chem. Solids 1985, 46, 411–416. [Google Scholar]
- Zhang, X.X.; Schoenes, J.; Reim, W.; Wachter, P. Evidence for 3dn to 3dn−14s transitions in magnetite and in lithium and magnesium ferrites. J. Phys. C Solid State Phys. 1983, 16, 6055–6072. [Google Scholar] [CrossRef]
- Camphausen, D.L.; Coey, J.M.D.; Chakraverty, B.K. One-electron energy levels in Fe3O4. Phys. Rev. Lett. 1972, 29, 657–660. [Google Scholar] [CrossRef]
- Wettling, W. Magneto-optics of ferrites. J. Magn. Magn. Mater. 1976, 3, 147–160. [Google Scholar] [CrossRef]
- Alvarado, S.F.; Erbudak, M.; Munz, P. Final-state effects in the 3d photoelectron spectrum of Fe3O4 and comparison with FexO. Phys. Rev. B 1976, 14, 2740–2745. [Google Scholar] [CrossRef]
- Sultan, M.; Singh, R. Magnetization and crystal structure of RF-sputtered nanocrystalline CuFe2O4 thin films. Mater. Lett. 2009, 63, 1764–1766. [Google Scholar] [CrossRef]
- Baubet, C.; Tailhades, P.; Bonningue, C.; Rousset, A.; Simsa, Z. Influence of tetragonal distortion on magnetic and magneto-optical properties of copper ferrite films. J. Phys. Chem. Solids 2000, 61, 863–867. [Google Scholar] [CrossRef]
- Srinivasan, G.; Rao, B.U.M.; Zhao, J.; Seehra, M.S. Magnetically ordered amorphous copper ferrite. Appl. Phys. Lett. 1991, 59, 372–374. [Google Scholar] [CrossRef]
- Visnovsky, S.; Prosser, V.; Krishnan, R.; Parizek, V.; Nitsch, K.; Svobodova, L. Magnetooptical polar kerr effect in ferrimagnetic garnets and spinels. IEEE Trans. Magn. 1981, 17, 3205–3210. [Google Scholar] [CrossRef]
- Visnovsky, S.; Thuy, N.P.; Stepanek, J.; Prosser, V.; Krishnan, R. Magnetooptical spectra of Y3Fe5O12 and Li0.5Fe2.5O4 between 2.0 and 5.8 eV. J. Appl. Phys. 1979, 50, 7466–7469. [Google Scholar] [CrossRef]
- Visnovsky, S.; Krishnan, R.; Thuy, N.; Stepanek, J.; Parizek, V.; Prosser, V. UV magnetooptical Kerr effect and reflectivity spectra of Y3Fe5O12 and Li0.5Fe2.5O4. J. Magn. Magn. Mater. 1980, 15–18, 831–832. [Google Scholar] [CrossRef]
- Kahn, F.J.; Pershan, P.S.; Remeika, J.P. Ultraviolet magneto-optical properties of single-crystal orthoferrites, garnets, and other ferric oxide compounds. Phys. Rev. 1969, 186, 891–918. [Google Scholar] [CrossRef]
- Fontijn, W.F.J.; van der Zaag, P.J.; Metselaar, R. On the origin of the magneto-optical effects in Li, Mg, Ni, and Co ferrite. J. Appl. Phys. 1998, 83, 6765–6767. [Google Scholar] [CrossRef]
- Kim, K.J.; Lee, H.S.; Lee, M.H.; Lee, S.H. Comparative magneto-optical investigation of d–d charge–transfer transitions in Fe3O4, CoFe2O4, and NiFe2O4. J. Appl. Phys. 2002, 91, 9974–9977. [Google Scholar] [CrossRef]
- Balhausen, C.J. Ligand Field Theory; McGraw-Hill: New York, NY, USA, 1962. [Google Scholar]
© 2013 by the authors; licensee MDPI, Basel, Switzerland. This article is an open access article distributed under the terms and conditions of the Creative Commons Attribution license (http://creativecommons.org/licenses/by/3.0/).
Share and Cite
Veis, M.; Antos, R.; Visnovsky, S.; Kulkarni, P.D.; Venkataramani, N.; Prasad, S.; Mistrik, J.; Krishnan, R. Complete Permittivity Tensor in Sputtered CuFe2O4 Thin Films at Photon Energies between 2 and 5 eV. Materials 2013, 6, 4096-4108. https://doi.org/10.3390/ma6094096
Veis M, Antos R, Visnovsky S, Kulkarni PD, Venkataramani N, Prasad S, Mistrik J, Krishnan R. Complete Permittivity Tensor in Sputtered CuFe2O4 Thin Films at Photon Energies between 2 and 5 eV. Materials. 2013; 6(9):4096-4108. https://doi.org/10.3390/ma6094096
Chicago/Turabian StyleVeis, Martin, Roman Antos, Stefan Visnovsky, Prasanna D. Kulkarni, Narayanan Venkataramani, Shiva Prasad, Jan Mistrik, and Ramanathan Krishnan. 2013. "Complete Permittivity Tensor in Sputtered CuFe2O4 Thin Films at Photon Energies between 2 and 5 eV" Materials 6, no. 9: 4096-4108. https://doi.org/10.3390/ma6094096
APA StyleVeis, M., Antos, R., Visnovsky, S., Kulkarni, P. D., Venkataramani, N., Prasad, S., Mistrik, J., & Krishnan, R. (2013). Complete Permittivity Tensor in Sputtered CuFe2O4 Thin Films at Photon Energies between 2 and 5 eV. Materials, 6(9), 4096-4108. https://doi.org/10.3390/ma6094096
