Effect and Mechanism of Red Mud on the Aging Resistance of Asphalt
Abstract
1. Introduction
2. Materials and Methods
2.1. Raw Materials
2.1.1. Asphalt
2.1.2. Fillers
2.2. Preparation of Samples
2.3. Test Methods
2.3.1. Scanning Electron Microscopy
2.3.2. BET-BJH Analysis
2.3.3. Penetration, Softening Point, and Ductility
2.3.4. Rotary Viscosity
2.3.5. Dynamic Shear Rheometer
2.3.6. Fourier Transform Infrared Spectroscopy
2.3.7. Gel Permeation Chromatography
2.3.8. Ultraviolet-Visible Absorption Spectrum
3. Results and Discussion
3.1. Properties of Fillers
3.1.1. Microtopography
3.1.2. Porosity Character
3.2. Properties of Modified Asphalt After Thermal-Oxygen Aging
3.2.1. Physical Properties
3.2.2. Rheological Properties
3.2.3. Functional Group
3.3. Properties of Modified Asphalt After UV Aging
3.3.1. Physical Properties
3.3.2. Rheological Properties
3.3.3. Functional Group
3.4. Analysis of the Anti-Aging Mechanism
3.4.1. FTIR Analysis
3.4.2. GPC Analysis
3.4.3. Ultraviolet-Visible Absorption Spectroscopy Analysis
4. Conclusions
- (1)
- Microstructural and pore-structure analyses reveal that both types of red mud possess rougher surface morphologies, more developed pore networks, and significantly higher specific surface areas and pore volumes compared with limestone powder. The particle size distribution of red mud is wider than that of limestone due to its agglomeration.
- (2)
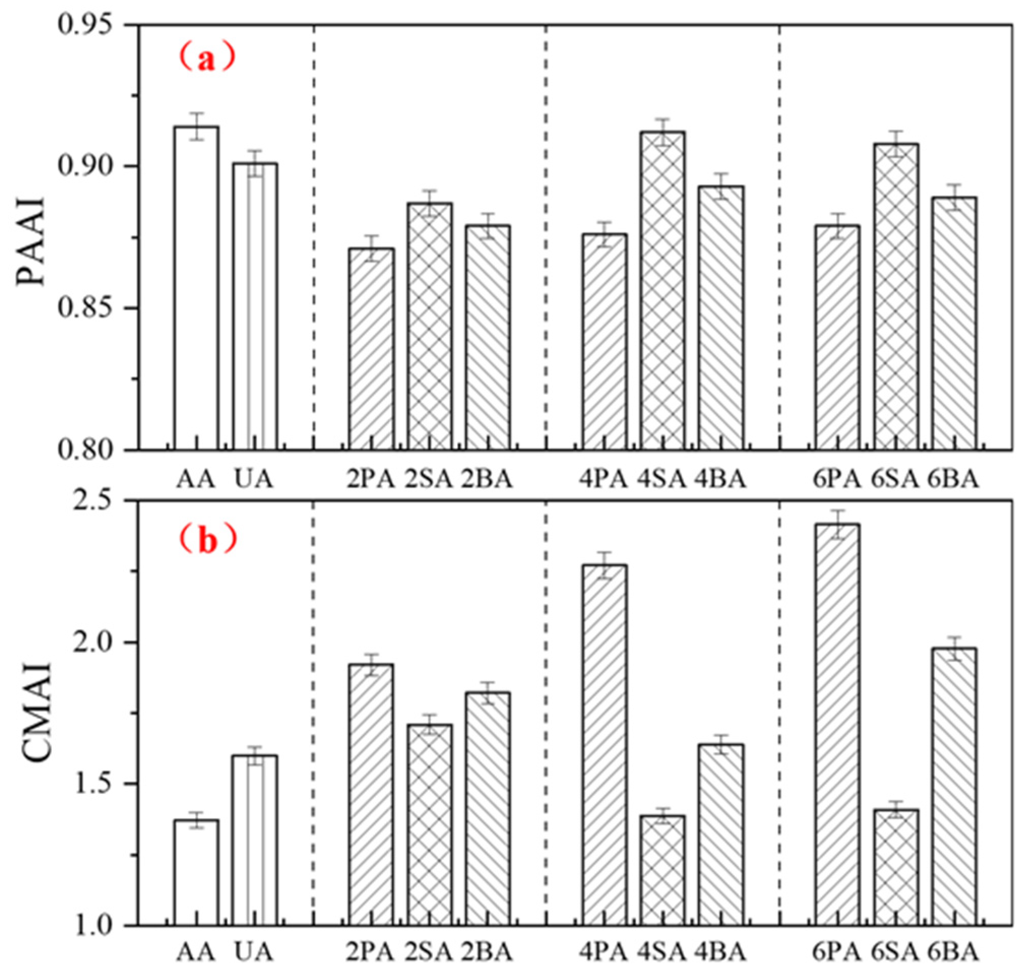
- Both types of red mud considerably enhance the resistance of asphalt to thermo-oxidative aging relative to limestone powder. At a 4% dosage, the improvement offered by sintered red mud is comparable to that achieved with a commercial antioxidant. Similarly, red mud substantially improves the UV aging resistance of asphalt. At 4% content, sintered red mud performs similarly to a commercial UV absorber.
- (3)
- FTIR and GPC results indicate that the layered surface of sintered red mud selectively adsorbs low-molecular-weight asphalt components, such as saturates and aromatics, which contribute to its ability to mitigate thermo-oxidative aging. Moreover, UV-vis spectroscopy confirms that sintered red mud significantly reduces ultraviolet transmittance and increases light reflection, thereby enhancing the UV aging resistance of asphalt.
- (4)
- Statistical analysis using paired t-tests revealed that all key aging indicators including SPI, VAI, CMAI, PAAI, CII, and SII showed statistically significant differences for 4SA compared to the control groups, with all p-values below 0.05. These findings statistically validate that sintered red mud at a 4% content holds promising potential as an effective anti-aging additive for asphalt.
Author Contributions
Funding
Data Availability Statement
Acknowledgments
Conflicts of Interest
References
- Hasheminezhad, A.; Ceylan, H.; Kim, S. Sustainability promotion through asphalt pavements: A review of existing tools and innovations. Sustain. Mater. Technol. 2024, 42, e01162. [Google Scholar] [CrossRef]
- Bastidas-Martínez, J.G.; de Carvalho, J.C.; Cristhiane, L.L.; de Farias, M.M.; Rondón-Quintana, H.A. Effects of Iron Ore Tailing on Performance of Hot-Mix Asphalt. J. Mater. Civ. Eng. 2022, 34, 04021405. [Google Scholar] [CrossRef]
- Cao, Z.L.; Hao, Q.L.; Xu, S.; Han, X.B.; Yi, J.; Sun, G.Q. Preparation and performance evaluation of bio-based polyurethane modified asphalt binders: Towards greener and more sustainable asphalt modifier. Constr. Build. Mater. 2025, 476, 141209. [Google Scholar] [CrossRef]
- Zhang, J.Z.; Guo, C.C.; Chen, T.T.; Zhang, W.W.; Yao, K.; Fan, C.; Liang, M.; Guo, C.H.; Yao, Z.Y. Evaluation on the mechanical performance of recycled asphalt mixtures incorporated with high percentage of RAP and self-developed rejuvenators. Constr. Build. Mater. 2021, 269, 121337. [Google Scholar] [CrossRef]
- Xu, J.H.; Zheng, M.L.; Wang, Z.L.; Wu, S.Q.; Zhang, C.L.; Zhang, Z.H.; Kang, Y.F. Design of widened and existing pavements for expressway widening and reconstruction: Achieving long-life targets under differential settlement effects. Int. J. Pavement Eng. 2025, 26, 2563331. [Google Scholar] [CrossRef]
- Hu, D.L.; Zhang, H.F.; Wang, Z.N.; Wang, X.B.; Gu, X.Y.; Zhang, J.P.; Pei, J.Z. From asphalt molecular evolution to performance degradation: Understanding aging mechanisms, inhibition strategies, and rejuvenation techniques. Fuel 2026, 404, 136293. [Google Scholar] [CrossRef]
- Yuechao, Z.; Meizhu, C.; Shaopeng, W.; Qi, J. Rheological properties and microscopic characteristics of rejuvenated asphalt using different components from waste cooking oil. J. Clean. Prod. 2022, 370, 133556. [Google Scholar] [CrossRef]
- Zhao, Y.C.; Chen, M.Z.; Shen, J.N.; Shi, P.C.; Wu, S.P.; Chen, D.Y.; Zhang, J.W.; Zhao, Z.G. Aging behaviors of asphalt binders rejuvenated by different chemical fractions from waste cooking oil. Constr. Build. Mater. 2024, 435, 136867. [Google Scholar] [CrossRef]
- Bastidas-Martínez, J.G.; Rondón-Quintana, H.A.; de Farias, M.M. Behavior of asphalt mastics containing different materials as filler. Can. J. Civ. Eng. 2021, 48, 347–355. [Google Scholar] [CrossRef]
- Liu, S.A.; Wang, H.Z.; Yang, J. Assessment and mechanism of antioxidant activity of phenols as asphalt antioxidants. Int. J. Pavement Eng. 2024, 25, 2335316. [Google Scholar] [CrossRef]
- Liu, S.A.; Wang, H.Z.; Yang, J. Utilization of biomass waste to produce phenol-rich bio-oil for enhancing the long-term aging resistance of rejuvenated bitumen. Mater. Struct. 2025, 58, 94. [Google Scholar] [CrossRef]
- Li, Y.Y.; Wu, S.P.; Dai, Y.; Pang, L.; Liu, Q.T.; Nie, S.; Li, H.C.; Wang, Z.F. Laboratory and field evaluation of sodium stearate organically modified LDHs effect on the anti aging performance of asphalt mixtures. Constr. Build. Mater. 2018, 189, 366–374. [Google Scholar] [CrossRef]
- Zhao, W.S.; Fang, G.T.; Qin, X.; Mao, J. Multiscale characterization of the UV aging resistance and mechanism of light stabilizer-modified asphalt. Rev. Adv. Mater. Sci. 2024, 63, 20230152. [Google Scholar] [CrossRef]
- Shi, J.Y.; Yan, K.Z.; Wang, M. Physical, High-Temperature Rheological, and Aging Behaviors of Nano Antimony-Doped Tin Oxide-Modified Asphalt Binder. J. Mater. Civ. Eng. 2025, 37, 04025401. [Google Scholar] [CrossRef]
- Huang, H.M.; Chen, Z.H.; Li, J.C.; Wang, J.Z.; Ding, S.Y.; Zhang, H.L.; Wu, C.F. Aging Resistances Evaluation of Multi-dimensional Nanomaterials Modified Asphalt by Characterizing Binders Recovered from Aged Asphalt Mixtures. J. Test. Eval. 2021, 50, 105–116. [Google Scholar] [CrossRef]
- Zhao, Z.G.; Wu, S.P.; Liu, Q.T.; Yang, C.; Zou, Y.X.; Wan, P. Feasibility assessment of CeO2 nanoparticles as aging-resistant agent of asphalt. Constr. Build. Mater. 2022, 330, 127245. [Google Scholar] [CrossRef]
- Pang, L.; Liu, K.Y.; Wu, S.P.; Lei, M.; Chen, Z.W. Effect of LDHs on the aging resistance of crumb rubber modified asphalt. Constr. Build. Mater. 2014, 67, 239–243. [Google Scholar] [CrossRef]
- Chen, S.C.; Liu, Q.T.; Wu, H.J.; Yang, C.; Gong, X.; Wu, S.P.; Li, Y.Y. Simultaneous enhancement of the thermal oxygen and ultraviolet aging resistance of asphalt by incorporating antioxidant intercalated layered double hydroxide. Constr. Build. Mater. 2022, 349, 128743. [Google Scholar] [CrossRef]
- Ma, Y.T.; Wang, S.F.; Zhang, M.M.; Jiang, X.; Polaczyk, P.; Huang, B.S. Weather aging effects on modified asphalt with rubber- polyethylene composites. Sci. Total Environ. 2023, 865, 161089. [Google Scholar] [CrossRef] [PubMed]
- Rashidian, S.; Hosseini, S.A.; Korandeh, M.E. Investigation of red mud effects on microsurfacing asphalt performance: Quality enhancement and industrial waste reduction. Constr. Build. Mater. 2025, 483, 141798. [Google Scholar] [CrossRef]
- Tan, Q.W.; Shangguan, J.Q.; Yang, Q.L.; Wang, D.W.; Xie, N.; Zhang, Y.P. Recycling red mud for low-carbon pavement: Performance evaluation and environment risk assessment. Transp. Res. Part D-Transp. Environ. 2024, 136, 104428. [Google Scholar] [CrossRef]
- Singh, V.; Bano, S.; Chauhan, V.B.; Pal, P.; Kumar, A.; Srivastava, J.B. Red mud as a sustainable road construction material: An experimental investigation. Constr. Build. Mater. 2024, 411, 134549. [Google Scholar] [CrossRef]
- Fang, W.; Zhou, Y.; Cheng, M.Q.; Zhang, L.P.; Zhou, T.; Cen, Q.H.; Li, B.; Liu, Z.W. A review on modified red mud-based materials in removing organic dyes from wastewater: Application. mechanisms and perspectives. J. Mol. Liq. 2024, 407, 125171. [Google Scholar] [CrossRef]
- Fu, T.; Zhang, H.Z.; Qin, F.; Bao, H.M.; Wu, D.; Cheng, Y.; Ai, H.C. Sustainable utilization of bayer red mud in asphalt materials: Multiscale performance enhancement mechanisms and economic feasibility evaluation. J. Clean. Prod. 2025, 531, 146907. [Google Scholar] [CrossRef]
- Mukiza, E.; Zhang, L.L.; Liu, X.M.; Zhang, N. Utilization of red mud in road base and subgrade materials: A review. Resour. Conserv. Recycl. 2019, 141, 187–199. [Google Scholar] [CrossRef]
- Zhao, Y.; Chen, M.; Wu, S.; Jiang, Q.; Xu, H.Q.; Zhao, Z.G.; Lv, Y. Effects of waterborne polyurethane on storage stability, rheological properties, and VOCs emission of crumb rubber modified asphalt. J. Clean. Prod. 2022, 340, 130682. [Google Scholar] [CrossRef]
- Gu, J.R.; Liu, X.M.; Zhang, Z.Q. Road base materials prepared by multi-industrial solid wastes in China: A review. Constr. Build. Mater. 2023, 373, 130860. [Google Scholar] [CrossRef]
- Zhang, J.Z.; Yao, Z.Y.; Wang, K.; Wang, F.; Jiang, H.G.; Liang, M.; Wei, J.C.; Airey, G. Sustainable utilization of bauxite residue (Red Mud) as a road material in pavements: A critical review. Constr. Build. Mater. 2021, 270, 121419. [Google Scholar] [CrossRef]
- Zhang, H.J.; Li, H.; Zhang, Y.; Wang, D.W.; Harvey, J.; Wang, H.B. Performance enhancement of porous asphalt pavement using red mud as alternative filler. Constr. Build. Mater. 2018, 160, 707–713. [Google Scholar] [CrossRef]
- Zhang, J.Z.; Li, P.Z.; Wang, K.; Ma, C.Y.; Liang, M.; Jiang, H.G.; Yao, K.; Su, C.H.; Yao, Z.Y. Adhesive behavior and pavement performance of asphalt mixtures incorporating red mud as a filler substitute. Constr. Build. Mater. 2021, 298, 123855. [Google Scholar] [CrossRef]
- Ncube, M.H.; Li, H.; Khan, S.; Zhang, H.P.; Zhao, X.D.; Nedi, T.; Huang, X.K. Upcycled diatomite and red mud as bitumen modifiers and multi-functional fillers for durable. eco-efficient asphalt pavements: A critical review. J. Clean. Prod. 2026, 540, 147426. [Google Scholar] [CrossRef]
- Liu, X.X.; Ye, S.X.; Zhang, H.L.; Luo, Y.; Zeng, Z.J. Synergistic effects of zinc oxide and red mud composite material on improving the anti-aging performance of asphalt. Constr. Build. Mater. 2025, 491, 142807. [Google Scholar] [CrossRef]
- JTG 3410-2025; Standard Test Methods of Bitumen and Bituminous Mixtures for Highway Engineering. Highway Science Research Institute of the Ministry of Transport: Beijing, China, 2025.
- Georgescu, V.; Bombos, M.; Calin, C.; Bombos, D. Physico-Chemical and Morphologic Structural Characterization of the Red Mud Obtained in the Romanian Alumina Plant. Rev. Chim. 2019, 70, 565–570. [Google Scholar] [CrossRef]
- Choudhary, J.; Kumar, B.; Gupta, A. Analysis and Comparison of Asphalt Mixes Containing Waste Fillers Using a Novel Ranking Methodology. J. Mater. Civ. Eng. 2020, 32, 04020064. [Google Scholar] [CrossRef]
- Xiao, J.; Zhang, J.; Zhang, H.; Bi, Y.F.; Yue, H.Y.; Xu, R. Preparation and characterization of organic red mud and its application in asphalt modification. Constr. Build. Mater. 2023, 367, 130269. [Google Scholar] [CrossRef]
- Xiao, J.W.; Liu, X.W.; Zhang, H.L.; Bi, Y.F.; Zhang, J.Z.; Xu, R. A Novel Application of Red Mud in Improving Aging Resistance of Asphalt. J. Test. Eval. 2023, 51, 2687–2699. [Google Scholar] [CrossRef]
- Yao, L.Y.; Gao, W.Y.; Ma, X.W.; Fu, H. Properties Analysis of Asphalt Binders Containing Bayer Red Mud. Materials 2020, 13, 1122. [Google Scholar] [CrossRef]
- Ding, C.; Zhang, Y.P.; Di, X.Y.; Zhang, N.; Zhang, Y.H.; Wang, X.K. High-density polyethylene composite filled with red mud: Effect of coupling agent on mechanical and thermal properties. Environ. Technol. 2022, 43, 3283–3294. [Google Scholar] [CrossRef] [PubMed]
- Hou, X.D.; Lv, S.T.; Chen, Z.; Xiao, F.P. Applications of Fourier transform infrared spectroscopy technologies on asphalt materials. Measurement 2018, 121, 304–316. [Google Scholar] [CrossRef]
- Hu, Z.P.; Gao, Z.M.; Liu, X.; Yuan, Z.Y. High-surface-area activated red mud for efficient removal of methylene blue from wastewater. Adsorpt. Sci. Technol. 2018, 36, 62–79. [Google Scholar] [CrossRef]
- Fu, T.; Wei, J.H.; Bao, H.M.; Liang, J.L. Multiscale Study on the Modification Mechanism of Red Mud Modified Asphalt. Adv. Mater. Sci. Eng. 2020, 2020, 2150215. [Google Scholar] [CrossRef]















| Items | Requirements | Results | Units | Methods |
|---|---|---|---|---|
| Penetration | 60–80 | 68.5 | 0.1 mm | T0604 |
| Ductility | ≥100 | >100 | cm | T0605 |
| Softening point | ≥46 | 47.6 | °C | T0606 |
| Viscosity (135 °C) | - | 0.450 | Pa·s | T0625 |
| Items | Apparent Density (g/cm3) | Particle Size Distribution (μm) | ||
|---|---|---|---|---|
| Dv (10) | Dv (50) | Dv (90) | ||
| LP | 2.778 | 10.69 | 37.48 | 113.4 |
| BM | 2.852 | 2.79 | 93.95 | 203.8 |
| SM | 2.553 | 13.91 | 74.67 | 160.1 |
| Material Composition | Abbreviation |
|---|---|
| Limestone powder: asphalt = 2:100/4:100/6:100 | 2PA/4PA/6PA |
| Sintering process red mud: asphalt = 2:100/4:100/6:100 | 2SA/4SA/6SA |
| Bayer process red mud: asphalt = 2:100/4:100/6:100 | 2BA/4BA/6BA |
| Commercial anti-aging agents: asphalt = 4:100 | AA |
| Ultraviolet absorber: asphalt = 0.4:100 | UA |
| Items | Pore Volume (cc/g) | Mean Pore Size (nm) | Specific Surface Area (m2/g) |
|---|---|---|---|
| LP | 0.019 | 3.07 | 9.97 |
| SM | 0.125 | 3.06 | 30.9 |
| BM | 0.098 | 3.01 | 30.5 |
| Items | 3440 cm−1 | 2930 cm−1 | 2850 cm−1 | 1600 cm−1 | 3440 cm−1 |
|---|---|---|---|---|---|
| VA | 0.0024 | 0.180 | 0.127 | 0.0067 | 0.0024 |
| PA | 0.0022 | 0.177 | 0.126 | 0.0038 | 0.0022 |
| SA | 0.0020 | 0.176 | 0.126 | 0.0027 | 0.0020 |
Disclaimer/Publisher’s Note: The statements, opinions and data contained in all publications are solely those of the individual author(s) and contributor(s) and not of MDPI and/or the editor(s). MDPI and/or the editor(s) disclaim responsibility for any injury to people or property resulting from any ideas, methods, instructions or products referred to in the content. |
© 2026 by the authors. Licensee MDPI, Basel, Switzerland. This article is an open access article distributed under the terms and conditions of the Creative Commons Attribution (CC BY) license.
Share and Cite
Wu, J.; Zhao, Y.; Sun, J.; Zhang, J.; Xu, R.; Yue, H. Effect and Mechanism of Red Mud on the Aging Resistance of Asphalt. Materials 2026, 19, 1116. https://doi.org/10.3390/ma19061116
Wu J, Zhao Y, Sun J, Zhang J, Xu R, Yue H. Effect and Mechanism of Red Mud on the Aging Resistance of Asphalt. Materials. 2026; 19(6):1116. https://doi.org/10.3390/ma19061116
Chicago/Turabian StyleWu, Jiandong, Yuechao Zhao, Jianxiu Sun, Jizhe Zhang, Run Xu, and Hongya Yue. 2026. "Effect and Mechanism of Red Mud on the Aging Resistance of Asphalt" Materials 19, no. 6: 1116. https://doi.org/10.3390/ma19061116
APA StyleWu, J., Zhao, Y., Sun, J., Zhang, J., Xu, R., & Yue, H. (2026). Effect and Mechanism of Red Mud on the Aging Resistance of Asphalt. Materials, 19(6), 1116. https://doi.org/10.3390/ma19061116

