Influence of Mo and Ni Alloying on Recrystallization Kinetics and Phase Transformation in Quenched and Tempered Thick Steel Plates
Abstract
1. Introduction
2. Materials and Methods
3. Results and Discussion
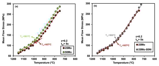
3.1. Definition of the Non-Recrystallization Temperature (Tnr)
3.2. Analysis of the Static Recrystallization Kinetics
3.3. Influence of Mo and Ni on Phase Transformations
4. Conclusions
Author Contributions
Funding
Institutional Review Board Statement
Informed Consent Statement
Data Availability Statement
Acknowledgments
Conflicts of Interest
References
- Zurutuza, I.; Isasti, N.; Detemple, E.; Schwinn, V.; Mohrbacher, H.; Uranga, P. Effect of Quenching Strategy and Nb-Mo Additions on Phase Transformations and Quenchability of High-Strength Boron Steels. JOM 2021, 73, 3158–3168. [Google Scholar] [CrossRef]
- Mohrbacher, H.; Kern, A. Nickel Alloying in Carbon Steel: Fundamentals and Applications. Alloys 2023, 2, 1–28. [Google Scholar] [CrossRef]
- Endo, S.; Nakata, N. Development of Thermo-Mechanical Control Process and High-Performance Steel in JFE Steel; No. 2; JFE Holdings, Inc.: Tokyo, Japan, 2015. [Google Scholar]
- Shikanai, N.; Mitao, S.; Endo, S. Recent Development in Microstructural Control Technologies Through TMCP with JFE Steel’s High-Performance Plates; No. 11; JFE Holdings, Inc.: Tokyo, Japan, 2008. [Google Scholar]
- Kaijalainen, A.J.; Suikkanen, P.P.; Limnell, T.J.; Karjalainen, L.P.; Kömi, J.I.; Porter, D.A. Effect of austenite grain structure on the strength and toughness of direct-quenched martensite. J. Alloys Compd. 2013, 577, 642–648. [Google Scholar] [CrossRef]
- Jo, H.-H.; Kim, K.-W.; Park, H.; Moon, J.; Kim, Y.-W.; Shim, H.-B.; Lee, C.-H. Estimation of Cooling Rate of High-Strength Thick Plate Steel During Water Quenching Based on a Dilatometric Experiment. Materials 2023, 16, 4792. [Google Scholar] [CrossRef] [PubMed]
- Schweitzer, J.; Findley, K.; Cho, L.; Speer, J.; De Moor, E. Influence of Nb/Mo Alloying on Phase Transformations and Microstructures in 0.05C–1.5Mn–Nb–Mo Microalloyed Steels during Thermomechanical Simulation. ISIJ Int. 2024, 64, 326–337. [Google Scholar] [CrossRef]
- Liu, W.; Zhao, H.; Wang, B.; Tian, Y. Impact of Mo/Ni Alloying on Microstructural Modulation and Low-Temperature Toughness of high-strength low-alloy Steel. J. Iron Steel Res. Int. 2024, 31, 1746–1762. [Google Scholar] [CrossRef]
- San Miguel, L.; Isasti, N.; Detemple, E.; Mohrbacher, H.; Uranga, P. Understanding Static Recrystallization of Ni-Mo Alloyed Steels for Rolling Optimization in High Strength Thick Plates. J. Phys. Conf. Ser. 2023, 2635, 012003. [Google Scholar] [CrossRef]
- Pereda, B.; López, B.; Rodriguez-Ibabe, J.M. Increasing the Non-Recrystallization Temperature of Nb Microalloyed Steels by Mo Addition. In Proceedings of the International Conference on Microalloyed Steels: Processing, Microstructure, Properties and Performance Proceedings, Pittsburgh, PA, USA, 16–19 July 2007; pp. 151–159. [Google Scholar]
- Yonezawa, T.; Suzuki, K.; Ooki, S.; Hashimoto, A. The Effect of Chemical Composition and Heat Treatment Conditions on Stacking Fault Energy for Fe-Cr-Ni Austenitic Stainless Steel. Metall. Mater. Trans. A 2013, 44, 5884–5896. [Google Scholar] [CrossRef]
- Siwecki, T. Improving mechanical properties of high-strength steel plate by optimizing the direct quenching process. In 2011 International Symposium on the Recent Developments in Plate Steels; AIST: Winter Park, CO, USA, 2011; pp. 261–272. [Google Scholar]
- Llanos, L.; Pereda, B.; López, B. Interaction Between Recovery, Recrystallization, and NbC Strain-Induced Precipitation in High-Mn Steels. Metall. Mater. Trans. A 2015, 46, 5248–5265. [Google Scholar] [CrossRef]
- Bai, D.Q.; Yue, S.; Sun, W.P.; Jonas, J.J. Effect of Deformation Parameters on the No-Recrystallization Temperature in Nb-Bearing Steels. Metall. Mater. Trans. A 1993, 24, 2151–2159. [Google Scholar] [CrossRef]
- Fernández, A.I.; López, B.; Rodriguez-Ibabe, J.M. Relationship between the Austenite Recrystallized Fraction and the Softening Measured from the Interrupted Torsion Test Technique. Scr. Mater. 1999, 40, 543–549. [Google Scholar] [CrossRef]
- Li, Y.J.; Ponge, D.; Choi, P.; Raabe, D. Segregation of boron at prior austenite grain boundaries in a quenched martensitic steel studied by atom probe tomography. Scr. Mater. 2015, 96, 13–16. [Google Scholar] [CrossRef]
- Takahashi, J.; Ishikawa, K.; Kawakami, K.; Fujioka, M.; Kubota, N. Atomic-scale study on segregation behavior at austenite grain boundaries in boron- and molybdenum-added steels. Acta Mater. 2017, 133, 41–54. [Google Scholar] [CrossRef]
- Medina, S.F.; Mancilla, J.E. Influence of Alloying Elements in Solution on Static Recrystallization Kinetics of Hot Deformed Steels. ISIJ Int. 1996, 36, 1063–1069. [Google Scholar] [CrossRef]
- Nitta, H.; Yamamoto, T.; Kanno, R.; Takasawa, K.; Iida, T.; Yamazaki, Y.; Ogu, S.; Iijima, Y. Diffusion of molybdenum in α-iron. Acta Mater. 2002, 50, 4117–4125. [Google Scholar] [CrossRef]
- Ji, M.; Davis, C.; Strangwood, M. Effect of Grain Size Distribution on Recrystallisation Kinetics in an Fe-30Ni Model Alloy. Metals 2019, 9, 369. [Google Scholar] [CrossRef]
- Fernández, A.I.; Uranga, P.; López, B.; Rodríguez-Ibabe, J.M. Static Recrystallization Behaviour of a Wide Range of Austenite Grain Sizes in Microalloyed Steels. ISIJ Int. 2000, 40, 893–901. [Google Scholar] [CrossRef]
- Jonas, J.J. Mechanical Testing for the Study of Austenite Recrystallization and Carbonitride Precipitation. In Proceedings of the International Conference on HSLA Steels, Wollongong, Australia, 20–24 August 1984; pp. 80–91. [Google Scholar]
- Militzer, M. Thermomechanical Processed Steels. In Comprehensive Materials Processing; Hashmi, S., Batalha, G.F., Van Tyne, C.J., Yilbas, B., Eds.; Elsevier: Amsterdam, The Netherlands, 2014; Volume 1, pp. 191–216. [Google Scholar] [CrossRef]
- National Institute for Materials Science (NIMS). Diffusion Database (DICE). 2025. Available online: https://diffusion.nims.go.jp (accessed on 1 December 2025).
- Azpeitia, X.; Mayo, U.; Isasti, N.; Detemple, E.; Mohrbacher, H.; Uranga, P. Alloy Qualification for Producing Quench and Tempered Plate Steels with Extra-Heavy Gage. Steel Res. Int. 2025, e202500617. [Google Scholar] [CrossRef]
- Kinsman, K.R.; Aaronson, H.I. Transformation and Hardenability in Steels; Climax Molybdenum Co.: Ann Arbor, MI, USA, 1967; pp. 39–53. [Google Scholar]








| C | Si | Mn | Al | Mo | Ni | Ti | |
|---|---|---|---|---|---|---|---|
| 25Mo | 0.14 | 0.28 | 1.27 | 0.018 | 0.25 | 0.07 | 0.033 |
| 50Mo | 0.15 | 0.30 | 1.34 | 0.016 | 0.50 | 0.03 | 0.025 |
| 25Mo-50Ni | 0.15 | 0.30 | 1.33 | 0.015 | 0.25 | 0.50 | 0.017 |
| 50Mo-50Ni | 0.14 | 0.34 | 1.30 | 0.017 | 0.50 | 0.50 | 0.024 |
| 50Mo-100Ni | 0.17 | 0.31 | 1.26 | 0.026 | 0.50 | 1.00 | 0.026 |
| Reheating Temperature, 1150 °C | |
|---|---|
| Number of passes | 27 |
| Strain per pass | 0.2 |
| Strain Rate (s−1) | 1 |
| Interpass time (s) | 5 |
| First pass T (°C) | 1150 |
| Last pass T (°C) | 630 |
| Steel | Double-Pass Torsion Tests | |||
|---|---|---|---|---|
| Reheating T (°C) | Deformation T (°C) | Strain per Pass | Strain Rate (s−1) | |
| 25Mo | 1150 | 1100 | 0.2 | 1 |
| 1150 | 1000 | 0.2 | 1 | |
| 1150 | 900 | 0.2 | 1 | |
| 50Mo | 1150 | 1100 | 0.2 | 1 |
| 1150 | 1000 | 0.2 | 1 | |
| 1150 | 900 | 0.2 | 1 | |
| 25Mo-50Ni | 1150 | 1100 | 0.2 | 1 |
| 1150 | 1000 | 0.2 | 1 | |
| 1150 | 900 | 0.2 | 1 | |
| 50Mo-50Ni | 1250 | 1250 | 0.2 | 1 |
| 1200 | 1200 | 0.2 | 1 | |
| 1150 | 1150 | 0.2 | 1 | |
| 1150 | 1100 | 0.2 | 1 | |
| 1150 | 1000 | 0.2 | 1 | |
| 1150 | 900 | 0.2 | 1 | |
| 50Mo-100Ni | 1200 | 1200 | 0.2 | 1 |
| 1150 | 1100 | 0.2 | 1 | |
| 1150 | 1000 | 0.2 | 1 | |
Disclaimer/Publisher’s Note: The statements, opinions and data contained in all publications are solely those of the individual author(s) and contributor(s) and not of MDPI and/or the editor(s). MDPI and/or the editor(s) disclaim responsibility for any injury to people or property resulting from any ideas, methods, instructions or products referred to in the content. |
© 2026 by the authors. Licensee MDPI, Basel, Switzerland. This article is an open access article distributed under the terms and conditions of the Creative Commons Attribution (CC BY) license.
Share and Cite
Azpeitia, X.; Mayo, U.; Isasti, N.; Detemple, E.; Mohrbacher, H.; Uranga, P. Influence of Mo and Ni Alloying on Recrystallization Kinetics and Phase Transformation in Quenched and Tempered Thick Steel Plates. Materials 2026, 19, 290. https://doi.org/10.3390/ma19020290
Azpeitia X, Mayo U, Isasti N, Detemple E, Mohrbacher H, Uranga P. Influence of Mo and Ni Alloying on Recrystallization Kinetics and Phase Transformation in Quenched and Tempered Thick Steel Plates. Materials. 2026; 19(2):290. https://doi.org/10.3390/ma19020290
Chicago/Turabian StyleAzpeitia, Xabier, Unai Mayo, Nerea Isasti, Eric Detemple, Hardy Mohrbacher, and Pello Uranga. 2026. "Influence of Mo and Ni Alloying on Recrystallization Kinetics and Phase Transformation in Quenched and Tempered Thick Steel Plates" Materials 19, no. 2: 290. https://doi.org/10.3390/ma19020290
APA StyleAzpeitia, X., Mayo, U., Isasti, N., Detemple, E., Mohrbacher, H., & Uranga, P. (2026). Influence of Mo and Ni Alloying on Recrystallization Kinetics and Phase Transformation in Quenched and Tempered Thick Steel Plates. Materials, 19(2), 290. https://doi.org/10.3390/ma19020290

