Author Contributions
Conceptualization, Y.W.; data curation, B.J. and J.L.; formal analysis, Y.S. and B.J.; funding acquisition, J.L.; investigation, Y.S.; project administration, X.X.; resources, Y.W.; software, Y.S. and B.J.; supervision, X.X. and J.L.; visualization, X.X.; writing—original draft, Y.S.; writing—review and editing, X.X. and Y.W. All authors have read and agreed to the published version of the manuscript.
Figure 1.
Impact of Lüders plateau on resistance curves for SENT specimens [
34].
Figure 1.
Impact of Lüders plateau on resistance curves for SENT specimens [
34].
Figure 2.
CTOD versus gross stress level for 0, 1%, 2%, 3%, 5%, and infinite Lüders strains, with yield strengths from 300 MPa to 800 MPa [
35].
Figure 2.
CTOD versus gross stress level for 0, 1%, 2%, 3%, 5%, and infinite Lüders strains, with yield strengths from 300 MPa to 800 MPa [
35].
Figure 3.
Comparison of CTOD for an average crack size of 4.41 × 100 mm from tests and FE analyses, excluding ductile tearing [
37].
Figure 3.
Comparison of CTOD for an average crack size of 4.41 × 100 mm from tests and FE analyses, excluding ductile tearing [
37].
Figure 4.
Dimensions of the NRB and SRB tensile specimens.
Figure 4.
Dimensions of the NRB and SRB tensile specimens.
Figure 5.
UTM apparatus for the tensile tests.
Figure 5.
UTM apparatus for the tensile tests.
Figure 6.
Force–displacement curves of the tensile tests.
Figure 6.
Force–displacement curves of the tensile tests.
Figure 7.
Recovered SRB and NRB specimens tested under quasi-static and room temperature tension.
Figure 7.
Recovered SRB and NRB specimens tested under quasi-static and room temperature tension.
Figure 8.
UTM coupled with a heating furnace for tensile tests at elevated temperatures.
Figure 8.
UTM coupled with a heating furnace for tensile tests at elevated temperatures.
Figure 9.
Load–displacement curves of 40CrNiMoA steel at different temperatures.
Figure 9.
Load–displacement curves of 40CrNiMoA steel at different temperatures.
Figure 10.
Recovered SRB specimens under tension at a quasi-static strain rate and elevated temperatures.
Figure 10.
Recovered SRB specimens under tension at a quasi-static strain rate and elevated temperatures.
Figure 11.
Load–displacement curves and fracture morphologies of the SRB tensile tests at dynamic strain rates.
Figure 11.
Load–displacement curves and fracture morphologies of the SRB tensile tests at dynamic strain rates.
Figure 12.
Schematic view of the compressive specimen and SHPB apparatus.
Figure 12.
Schematic view of the compressive specimen and SHPB apparatus.
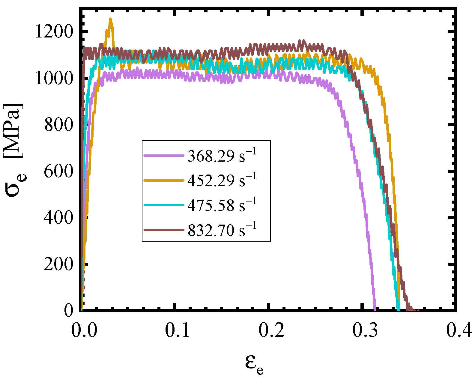
Figure 13.
Engineering stress–engineering strain curves of 40CrNiMoA steel at dynamic strain rates.
Figure 13.
Engineering stress–engineering strain curves of 40CrNiMoA steel at dynamic strain rates.
Figure 14.
FE models for SRB and NRB tensile tests.
Figure 14.
FE models for SRB and NRB tensile tests.
Figure 15.
Numerical simulation results for SRB and NRB tensile tests.
Figure 15.
Numerical simulation results for SRB and NRB tensile tests.
Figure 16.
Yield stresses at varying strain rates and temperatures as well as the fitting result (approximation equation: for (a) and for (b)). Note: In the figure (a), the first two values are obtained from tensile tests, whereas the other is obtained from compressive tests.
Figure 16.
Yield stresses at varying strain rates and temperatures as well as the fitting result (approximation equation: for (a) and for (b)). Note: In the figure (a), the first two values are obtained from tensile tests, whereas the other is obtained from compressive tests.
Figure 17.
Distribution of the equivalent plastic strain of SRB and NRB specimens at the fracture initiation point.
Figure 17.
Distribution of the equivalent plastic strain of SRB and NRB specimens at the fracture initiation point.
Figure 18.
Fracture strain prediction by the MJC and MJC-2 plasticity criteria (approximation equation: for MJC and for MJC-2).
Figure 18.
Fracture strain prediction by the MJC and MJC-2 plasticity criteria (approximation equation: for MJC and for MJC-2).
Figure 19.
The fitting results at different strain rates and different temperatures (approximation equation: for (a) and for (b)).
Figure 19.
The fitting results at different strain rates and different temperatures (approximation equation: for (a) and for (b)).
Figure 20.
One-stage light gas gun device.
Figure 20.
One-stage light gas gun device.
Figure 21.
Final shapes of specimens at different impact velocities.
Figure 21.
Final shapes of specimens at different impact velocities.
Figure 22.
FE model of Taylor impact tests.
Figure 22.
FE model of Taylor impact tests.
Figure 23.
Taylor rod impact test and simulation results at different mesh sizes.
Figure 23.
Taylor rod impact test and simulation results at different mesh sizes.
Figure 24.
The simulation results of Taylor rods when D4 = −0.04.
Figure 24.
The simulation results of Taylor rods when D4 = −0.04.
Figure 25.
Ballistic response of the penetration test and numerical simulation.
Figure 25.
Ballistic response of the penetration test and numerical simulation.
Figure 26.
The failure process of the target at an impact velocity of 190 m/s.
Figure 26.
The failure process of the target at an impact velocity of 190 m/s.
Figure 27.
The failure mode of the target at an impact velocity of 190 m/s.
Figure 27.
The failure mode of the target at an impact velocity of 190 m/s.
Figure 28.
Simulation model configuration.
Figure 28.
Simulation model configuration.
Figure 29.
Failure element analysis illustration.
Figure 29.
Failure element analysis illustration.
Table 1.
Chemical composition of 40CrNiMoA steel (wt.%).
Table 1.
Chemical composition of 40CrNiMoA steel (wt.%).
| Composition | C | Si | Mn | P | S | Ni | Cr | Mo |
|---|
| Percentage content (min) | 0.37 | 0.17 | 0.5 | — | — | 0.25 | 0.6 | 0.15 |
| Percentage content (max) | 0.44 | 0.37 | 0.8 | 0.025 | 0.025 | 0.65 | 0.9 | 0.25 |
Table 2.
Main result for the SRB tensile test.
Table 2.
Main result for the SRB tensile test.
| Specimen | No. | E [GPa] | A [MPa] | [MPa] | d0 [mm] | df [mm] | Ψ [%] | |
|---|
| SRB | 1 | 184.30 | 825.30 | 959.80 | 6.00 | 4.46 | 46.6 | 1.16 |
| 2 | 176.50 | 816.58 | 970.60 | 6.01 | 4.40 | 45.1 | 1.14 |
| NRB, R = 2 mm | 1 | - | - | - | 6.01 | 5.36 | 20.5 | 0.40 |
| 2 | - | - | - | 5.99 | 5.40 | 18.9 | 0.42 |
| NRB, R = 3 mm | 1 | - | - | - | 6.00 | 5.40 | 20.4 | 0.53 |
| 2 | - | - | - | 6.01 | 5.35 | 19.5 | 0.51 |
| NRB, R = 6 mm | 1 | - | - | - | 6.01 | 5.22 | 24.3 | 0.76 |
| 2 | - | - | - | 5.99 | 5.18 | 25.6 | 0.74 |
| NRB, R = 9 mm | 1 | - | - | - | 6.00 | 5.15 | 25.1 | 0.85 |
| 2 | - | - | - | 5.99 | 5.19 | 26.2 | 0.85 |
Table 3.
Results of high-temperature tensile tests conducted on the SRB.
Table 3.
Results of high-temperature tensile tests conducted on the SRB.
| T [°C] | No. | A [MPa] | [MPa] | d0 [mm] | df [mm] | Ψ [%] | |
|---|
| 25 | 1 | 822.3 | 965.6 | 6.01 | 4.46 | 46.6 | 1.16 |
| 2 | 820.5 | 960.4 | 6.00 | 4.40 | 45.1 | 1.14 |
| 300 | 1 | 690.5 | 952.3 | 5.99 | 4.25 | 49.7 | 1.35 |
| 2 | 696.5 | 950.5 | 6.00 | 4.36 | 48.5 | 1.39 |
| 500 | 1 | 517.8 | 568.6 | 6.01 | 3.39 | 75 | 2.25 |
| 2 | 519.8 | 565.7 | 6.00 | 3.56 | 68 | 2.30 |
| 700 | 1 | 81.4 | 92.7 | 5.99 | 2.02 | 88.5 | 2.82 |
| 2 | 88.5 | 99.5 | 6.01 | 1.94 | 89.5 | 2.90 |
Table 4.
Under tensile conditions, the fracture strain of 40CrNiMoA steel at different strain rates.
Table 4.
Under tensile conditions, the fracture strain of 40CrNiMoA steel at different strain rates.
| [s−1] | 4.2 × 10−4 | 0.189 | 0.189 | 0.420 | 0.420 |
| 1.19 | 1.10 | 1.12 | 1.12 | 1.1 |
Table 5.
Yield stresses of 40CrNiMoA steel at different strain rates.
Table 5.
Yield stresses of 40CrNiMoA steel at different strain rates.
| [s−1] | 0.0004 | 0.19 | 0.42 | 368.29 | 452.29 | 475.58 | 832.70 |
| A [MPa] | 841 | 833 | 849 | 1023 | 1129 | 1126 | 1180 |
Table 6.
Fracture strain and stress states for different NRB tensile specimens.
Table 6.
Fracture strain and stress states for different NRB tensile specimens.
| Test Configuration | uf [mm] | | |
| MJC | MJC-2 | MJC | MJC-2 |
| R = 2 | 0.82 | 1.25 | 1.24 | 0.41 | 0.41 |
| R = 3 | 1.12 | 1.08 | 1.08 | 0.52 | 0.51 |
| R = 6 | 1.72 | 0.87 | 0.85 | 0.75 | 0.74 |
| R = 9 | 1.94 | 0.78 | 0.92 | 0.85 | 0.85 |
| R = ∞ | 5.99 | 0.64 | 0.64 | 1.39 | 1.19 |
Table 7.
Parameters of the MJC model.
Table 7.
Parameters of the MJC model.
| E [GPa] | v | ρ [kg/m3] | A [MPa] | B [MPa] | n | A | Q [MPa] | | | [s−1] |
| 80.4 | 0.3 | 7800 | 820.94 | 1107.19 | 0.28 | 0.42 | 211.34 | 25.24 | 0.022 | 4.2 × 10−4 |
| p | m | [K] | (K) | [J/kg K] | | | | | | |
| 2.064 | 1.31 | 294 | 1793 | 460 | 0.403 | 75.6 | −6.397 | −0.04 | 1.60 | 0.74 |
Table 8.
Parameters of the MJC-2 model.
Table 8.
Parameters of the MJC-2 model.
| E [GPa] | v | ρ [kg/m3] | A [MPa] | B [MPa] | n | α | Q [MPa] | | | |
| 80.4 | 0.3 | 7800 | 820.94 | 919.24 | 0.58 | 0.52 | 195.91 | 43.47 | 2.79 | 0.022 |
| [s−1] | p | m | [K] | (K) | [J/kg K] | | | | | | |
| 4.2 × 10−4 | 2.064 | 1.31 | 294 | 1793 | 460 | −0.567 | 3.437 | −1.057 | −0.04 | 1.60 | 0.74 |
Table 9.
Comparison of experimental and numerical results.
Table 9.
Comparison of experimental and numerical results.
| V0 [m/s] | Test df [mm] | MJC df [mm] | MJC-2 df [mm] | Test lf [mm] | MJC lf [mm] | MJC-2 lf [mm] |
|---|
| 231.6 | 8.82 | 8.36 | 8.51 | 26.43 | 25.59 | 26.18 |
| 257.3 | 9.29 | 8.76 | 8.95 | 25.71 | 26.28 | 25.45 |