Memory Devices with HfO2 Charge-Trapping and TiO2 Channel Layers: Fabrication via Remote and Direct Plasma Atomic Layer Deposition and Comparative Performance Evaluation
Abstract
1. Introduction
2. Materials and Methods
2.1. Fabrication of MHOTM Semiconductor Devices
2.2. Structural and Electrical Property Evaluation of Semiconductor Devices
3. Results and Discussion
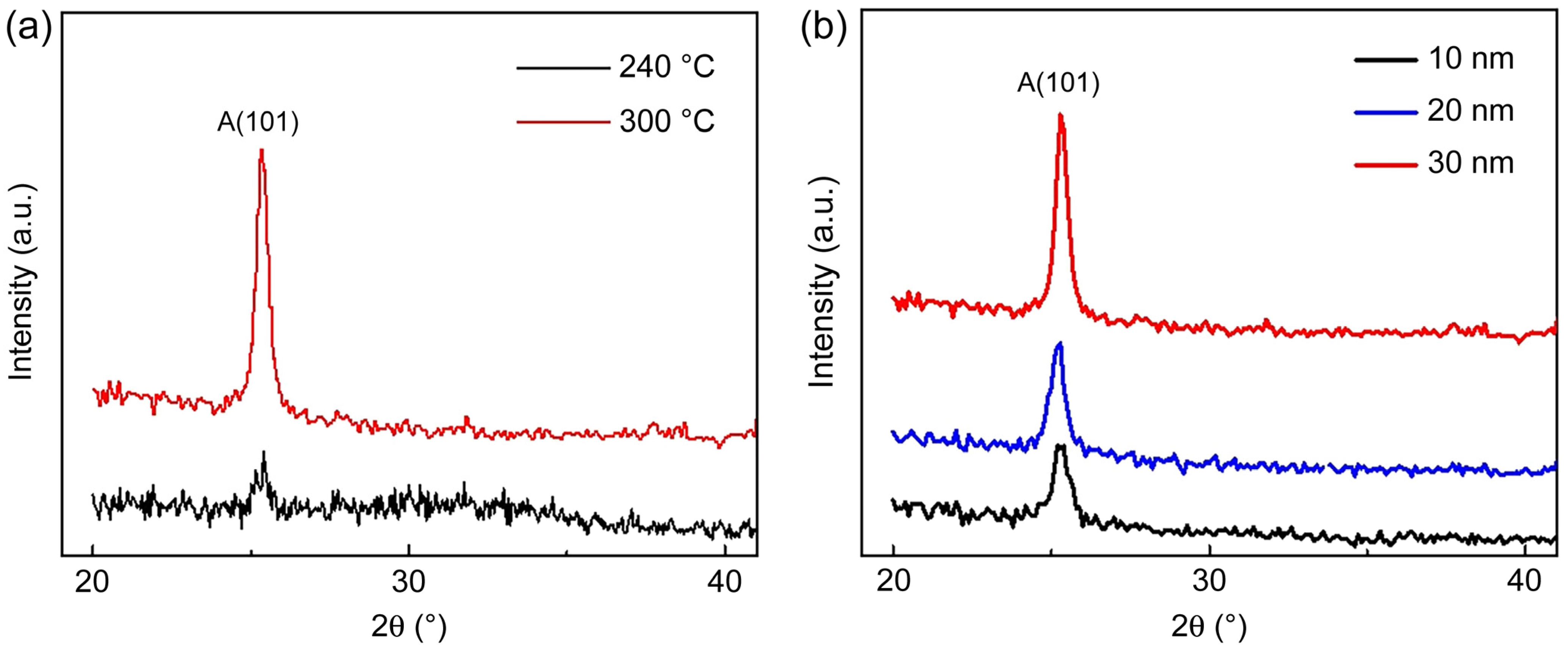
3.1. Anantase TiO2 Films
3.2. CTM Devices with TiO2 and HfO2 Layers
3.3. Electrical Characteristics of MHOTM Devices
4. Conclusions
Author Contributions
Funding
Data Availability Statement
Conflicts of Interest
Abbreviations
| ALD | Atomic layer deposition |
| DP | Direct plasma |
| CTL | Charge-trapping layer |
| CTM | Charge-trapping memory |
| MHOTM | Sin++/HfO2/Al2O3/TiO2/Al |
| PE | Plasma-enhanced |
| P/E | Program/erase |
| RP | Remote plasma |
References
- Zhao, C.; Zhao, C.Z.; Taylor, S.; Chalker, P.R. Review on non-volatile memory with high-k dielectrics: Flash for generation beyond 32 nm. Materials 2014, 7, 5117–5145. [Google Scholar] [CrossRef]
- Li, D.H.; Yun, J.-G.; Lee, J.H.; Park, B.-G. Scaling behaviors of silicon-nitride layer for charge-trapping memory. J. Vac. Sci. Technol. A 2010, 28, 675–678. [Google Scholar] [CrossRef]
- Lee, C.-H.; Park, K.-C.; Kim, K. Charge-trapping memory cell of SiO2/SiN/high-k dielectric Al2O3 with TaN metal gate for suppressing backward-tunneling effect. Appl. Phys. Lett. 2005, 87, 073510. [Google Scholar] [CrossRef]
- Maikap, S.; Lee, H.Y.; Wang, T.-Y.; Tzeng, P.-J.; Wang, C.C.; Lee, L.S.; Liu, K.C.; Yang, J.-R.; Tsai, M.-J. Charge trapping characteristics of atomic-layer-deposited HfO2 films with Al2O3 as a blocking oxide for high-density non-volatile memory device applications. Semicond. Sci. Technol. 2007, 22, 884. [Google Scholar] [CrossRef]
- Jung, M.-H.; Kim, K.-S.; Park, G.-H.; Cho, W.-J. Dependence of charge trapping and tunneling on the silicon-nitride (Si3N4) thickness for tunnel barrier Engineered nonvolatile memory applications. Appl. Phys. Lett. 2009, 94, 053508. [Google Scholar] [CrossRef]
- Nakata, S.; Kato, T.; Ozaki, S.; Kawae, T.; Morimoto, A. Improvement of charge trapping characteristics of Al2O3/Al-rich Al2O3/SiO2 stacked films by thermal annealing. Thin Solid Films 2013, 542, 242–245. [Google Scholar] [CrossRef]
- Bai, B.; Wang, H.; Li, Y.; Hao, Y.; Zhang, B.; Wang, B.; Wang, Z.; Yang, H.; Gao, Q.; Lü, C.; et al. Charge trapping memory device Based on the Ga2O3 films as trapping and blocking layer. Chin. Phys. B 2019, 28, 106802. [Google Scholar] [CrossRef]
- Na, S.-Y.; Yoon, S.-M. Impacts of HfO2/ZnO stack-structured charge-trap layers controlled by atomic layer deposition on nonvolatile memory characteristics of In-Ga-Zn-O channel charge-trap memory thin-film transistors. IEEE J. Electron Devices Soc. 2019, 7, 453–461. [Google Scholar] [CrossRef]
- Yoon, G.; Kim, T.; Agrawal, K.; Kim, J.; Park, J.; Kim, H.-H.; Cho, E.-C.; Yi, J. Optimization of MIS type non-volatile memory device with Al-doped HfO2 as charge trapping layer. ECS J. Solid State Sci. Technol. 2020, 9, 075004. [Google Scholar] [CrossRef]
- Chakraborty, P.; Mahato, S.S.; Maiti, T.K.; Bera, M.K.; Mahata, C.; Samanta, S.K.; Biswas, A.; Maiti, C.K. Performance improvement of flash memory using AlN as charge-trapping layer. Microelectron. Eng. 2009, 86, 299–302. [Google Scholar] [CrossRef]
- Huang, X.D.; Liu, L.; Xu, J.P.; Lai, P.T. Improved charge-trapping properties of HfYON film for nonvolatile memory applications in comparison with HfON and Y2O3 films. Appl. Phys. Lett. 2011, 99, 112903. [Google Scholar] [CrossRef]
- Shen, Y.; Zhang, Z.; Zhang, Q.; Wei, F.; Yin, H.; Wei, Q.; Men, K. A Gd-doped HfO2 single film for a charge trapping memory device with a large memory window under a low voltage. RSC Adv. 2020, 10, 7812–7816. [Google Scholar] [CrossRef] [PubMed]
- You, H.-W.; Cho, W.-J. Charge trapping properties of the HfO2 layer with various thicknesses for charge trap flash memory applications. Appl. Phys. Lett. 2010, 96, 093506. [Google Scholar] [CrossRef]
- Robertson, J.; Wallace, R.M. High-K materials and metal gates for CMOS applications. Mater. Sci. Eng. R Rep. 2015, 88, 1–41. [Google Scholar] [CrossRef]
- Wilk, G.D.; Wallace, R.M.; Anthony, J.M. High-κ gate dielectrics: Current status and materials properties considerations. J. Appl. Phys. 2001, 89, 5243–5275. [Google Scholar] [CrossRef]
- Zheng, G.; He, Y.-L.; Zhu, B.; Wu, X.; Zhang, D.W.; Ding, S.-J. Improvement of voltage linearity and leakage current of MIM capacitors with atomic layer deposited Ti-doped ZrO2 insulators. IEEE Trans. Electron Devices 2023, 70, 3064–3070. [Google Scholar] [CrossRef]
- Lee, S.; Han, G.; Kim, K.H.; Shim, D.; Go, D.; An, J. High-performance TiO2/ZrO2/TiO2 thin film capacitor by plasma-assisted atomic layer annealing. ACS Appl. Mater. Interfaces 2024, 16, 34419–34427. [Google Scholar] [CrossRef]
- Foster, A.S.; Lopez Gejo, F.; Shluger, A.L.; Nieminen, R.M. Vacancy and interstitial defects in hafnia. Phys. Rev. B 2002, 65, 174117. [Google Scholar] [CrossRef]
- Cho, D.-Y.; Oh, S.-J.; Chang, Y.J.; Noh, T.W.; Jung, R.; Lee, J.-C. Role of oxygen vacancy in HfO2/SiO2/Si(100) interfaces. Appl. Phys. Lett. 2006, 88, 193502. [Google Scholar] [CrossRef]
- Xiong, K.; Robertson, J.; Gibson, M.C.; Clark, S.J. Defect energy levels in HfO2 high-dielectric-constant gate oxide. Appl. Phys. Lett. 2005, 87, 183505. [Google Scholar] [CrossRef]
- Zhang, Y.; Shao, Y.Y.; Lu, X.B.; Zeng, M.; Zhang, Z.; Gao, X.S.; Zhang, X.J.; Liu, J.-M.; Dai, J.Y. Defect states and charge trapping characteristics of HfO2 films for high performance nonvolatile memory applications. Appl. Phys. Lett. 2014, 105, 172902. [Google Scholar] [CrossRef]
- Choi, J.H.; Mao, Y.; Chang, J.P. Development of hafnium based high-k materials—A review. Mater. Sci. Eng. R Rep. 2011, 72, 97–136. [Google Scholar] [CrossRef]
- Hah, J.; West, M.P.; Athena, F.F.; Hanus, R.; Vogel, E.M.; Graham, S. Impact of oxygen concentration at the HfOx/Ti interface on the behavior of HfOx filamentary memristors. J. Mater. Sci. 2022, 57, 9299–9311. [Google Scholar] [CrossRef]
- Ogawa, A.; Iwamoto, K.; Ota, H.; Morita, Y.; Ikeda, M.; Nabatame, T.; Toriumi, A. 0.6nm-EOT high-k gate stacks with HfSiOx interfacial layer grown by solid-phase reaction between HfO2 and Si substrate. Microelectron. Eng. 2007, 84, 1861–1864. [Google Scholar] [CrossRef]
- Lee, J.-C.; Oh, S.-J.; Cho, M.; Hwang, C.S.; Jung, R. Chemical structure of the interface in ultrathin HfO2/Si films. Appl. Phys. Lett. 2004, 84, 1305–1307. [Google Scholar] [CrossRef]
- Banerjee, W.; Kashir, A.; Kamba, S. Hafnium oxide (HfO2)—A multifunctional oxide: A review on the prospect and challenges of hafnium oxide in resistive switching and ferroelectric memories. Small 2022, 18, 2107575. [Google Scholar] [CrossRef]
- Ren, J.; Liu, F.-Y.; Zhang, Y.-T.; Zhang, D.W. Initial reaction of HfO2 atomic layer deposition on silicon surfaces with different oxygen levels: A density functional theory study. Thin Solid Films 2007, 515, 4702–4708. [Google Scholar] [CrossRef]
- Swathi, S.P.; Angappane, S. Enhanced resistive switching performance of hafnium oxide-based devices: Effects of growth and annealing temperatures. J. Alloys Compd. 2022, 913, 165251. [Google Scholar] [CrossRef]
- Yin, H.; Kim, S.; Kim, C.J.; Song, I.; Park, J.; Kim, S.; Park, Y. Fully transparent nonvolatile memory employing amorphous oxides as charge trap and transistor’s channel layer. Appl. Phys. Lett. 2008, 93, 172109. [Google Scholar] [CrossRef]
- Katayama, M.; Ikesaka, S.; Kuwano, J.; Koinuma, H.; Matsumoto, Y. High quality anatase TiO2 film: Field-effect transistor based on anatase TiO2. Appl. Phys. Lett. 2008, 92, 132107. [Google Scholar] [CrossRef]
- Kubala, N.G.; Wolden, C.A. Self-limiting growth of anatase TiO2: A comparison of two deposition techniques. Thin Solid Films 2010, 518, 6733–6737. [Google Scholar] [CrossRef]
- Kim, T.; Lim, J.W.; Lee, S.H.; Na, J.; Jeong, J.; Jung, K.H.; Kim, G.; Yun, S.J. Visible light-erasable oxide FET-based nonvolatile memory operated with a deep trap interface. ACS Appl. Mater. Interfaces 2018, 10, 26405–26412. [Google Scholar] [CrossRef] [PubMed]
- Suresh, A.; Novak, S.; Wellenius, P.; Misra, V.; Muth, J. Transparent indium gallium zinc oxide transistor based floating gate memory with platinum nanoparticles in the gate dielectric. Appl. Phys. Lett. 2009, 94, 123501. [Google Scholar] [CrossRef]
- Karunagaran, B.; Kim, K.; Mangalaraj, D.; Yi, J.; Velumani, S. Structural, optical and Raman scattering studies on DC magnetron sputtered titanium dioxide thin films. Sol. Energy Mater. Sol. Cells 2005, 88, 199–208. [Google Scholar] [CrossRef]
- Kim, T.; Lim, J.W.; Yun, S.J.; Lee, S.H.; Jung, K.H. Multi-level long-term memory resembling human memory based on photosensitive field-effect transistors with stable interfacial deep traps. Adv. Electron. Mater. 2020, 6, 1901044. [Google Scholar] [CrossRef]
- Yajima, T.; Oike, G.; Nishimura, T.; Toriumi, A. Independent control of phases and defects in TiO2 thin films for functional transistor channels. Phys. Status Solidi A 2016, 213, 2196–2202. [Google Scholar] [CrossRef]
- Zhang, J.; Cui, P.; Lin, G.; Zhang, Y.; Sales, M.G.; Jia, M.; Li, Z.; Goodwin, C.; Beebe, T.; Gundlach, L.; et al. High performance anatase-TiO2 thin film transistors with a two-step oxidized TiO2 channel and plasma enhanced atomic layer-deposited ZrO2 gate dielectric. Appl. Phys. Express 2019, 12, 096502. [Google Scholar] [CrossRef]
- Lin, J.; Wang, B.; Sproul, W.D.; Ou, Y.; Dahan, I. Anatase and rutile TiO2 films deposited by arc-free deep oscillation magnetron sputtering. J. Phys. D Appl. Phys. 2013, 46, 084008. [Google Scholar] [CrossRef]
- Martínez-Puente, M.A.; Horley, P.; Aguirre-Tostado, F.S.; López-Medina, J.; Borbón-Nuñez, H.A.; Tiznado, H.; Susarrey-Arce, A.; Martínez-Guerra, E. ALD and PEALD deposition of HfO2 and its effects on the nature of oxygen vacancies. Mater. Sci. Eng. B 2022, 285, 115964. [Google Scholar] [CrossRef]
- Hausmann, D.M.; Kim, E.; Becker, J.; Gordon, R.G. Atomic layer deposition of hafnium and zirconium oxides using metal amide precursors. Chem. Mater. 2002, 14, 4350–4358. [Google Scholar] [CrossRef]
- Kim, K.; Oh, I.-K.; Kim, H.; Lee, Z. Atomic-scale characterization of plasma-induced damage in plasma-enhanced atomic layer deposition. Appl. Surf. Sci. 2017, 425, 781–787. [Google Scholar] [CrossRef]
- Knoops, H.C.M.; Faraz, T.; Arts, K.; Kessels, W.M.M. (Erwin). Status and prospects of plasma-assisted atomic layer deposition. J. Vac. Sci. Technol. A 2019, 37, 030902. [Google Scholar] [CrossRef]
- Profijt, H.B.; Potts, S.E.; van de Sanden, M.C.M.; Kessels, W.M.M. Plasma-assisted atomic layer deposition: Basics, opportunities, and challenges. J. Vac. Sci. Technol. A 2011, 29, 050801. [Google Scholar] [CrossRef]
- Fischer, D.D.; Knaut, M.; Reif, J.; Nehm, F.; Albert, M.; Bartha, J.W. Direct plasma-enhanced atomic layer deposition of aluminum nitride for water permeation barriers. J. Vac. Sci. Technol. A 2020, 38, 022419. [Google Scholar] [CrossRef]
- Lo Nigro, R.; Schilirò, E.; Mannino, G.; Di Franco, S.; Roccaforte, F. Comparison between thermal and plasma enhanced atomic layer deposition processes for the growth of HfO2 dielectric layers. J. Cryst. Growth 2020, 539, 125624. [Google Scholar] [CrossRef]
- Zhang, X.-Y.; Yang, Y.; Zhang, Z.-X.; Geng, X.-P.; Hsu, C.-H.; Wu, W.-Y.; Lien, S.-Y.; Zhu, W.-Z. Deposition and characterization of RP-ALD SiO2 thin films with different oxygen plasma powers. Nanomaterials 2021, 11, 1173. [Google Scholar] [CrossRef] [PubMed]
- Yoo, J.-H.; Park, W.-J.; Kim, S.-W.; Lee, G.-R.; Kim, J.-H.; Lee, J.-H.; Uhm, S.-H.; Lee, H.-C. Preparation of remote plasma atomic layer-deposited HfO2 thin films with high charge trapping densities and their application in nonvolatile memory devices. Nanomaterials 2023, 13, 1785. [Google Scholar] [CrossRef]
- Ahadi, K.; Cadien, K. Ultra low density of interfacial traps with mixed thermal and plasma enhanced ALD of high-κ gate dielectrics. RSC Adv. 2016, 6, 16301–16307. [Google Scholar] [CrossRef]
- Jung, H.; Oh, I.-K.; Yoon, C.M.; Park, B.-E.; Lee, S.; Kwon, O.; Lee, W.J.; Kwon, S.-H.; Kim, W.-H.; Kim, H. Effects of Ar addition to O2 plasma on plasma-enhanced atomic layer deposition of oxide thin films. ACS Appl. Mater. Interfaces 2018, 10, 40286–40293. [Google Scholar] [CrossRef]
- Heil, S.B.S.; van Hemmen, J.L.; Hodson, C.J.; Singh, N.; Klootwijk, J.H.; Roozeboom, F.; van de Sanden, M.C.M.; Kessels, W.M.M. Deposition of TiN and HfO2 in a commercial 200mm remote plasma atomic layer deposition reactor. J. Vac. Sci. Technol. A 2007, 25, 1357–1366. [Google Scholar] [CrossRef]
- Park, P.K.; Roh, J.-S.; Choi, B.H.; Kang, S.-W. Interfacial layer properties of HfO2 films formed by plasma-enhanced atomic layer deposition on silicon. Electrochem. Solid-State Lett. 2006, 9, F34. [Google Scholar] [CrossRef]
- Morant, C.; Galán, L.; Sanz, J.M. An XPS study of the initial stages of oxidation of hafnium. Surf. Interface Anal. 1990, 16, 304–308. [Google Scholar] [CrossRef]
- Bouroushian, M.; Kosanovic, T. Characterization of thin films by low incidence X-Ray diffraction. Cryst. Struct. Theory Appl. 2012, 1, 35–39. [Google Scholar] [CrossRef]
- Renault, O.; Samour, D.; Damlencourt, J.-F.; Blin, D.; Martin, F.; Marthon, S.; Barrett, N.T.; Besson, P. HfO2/SiO2 interface chemistry studied by synchrotron radiation X-Ray photoelectron spectroscopy. Appl. Phys. Lett. 2002, 81, 3627–3629. [Google Scholar] [CrossRef]
- Major, G.H.; Fairley, N.; Sherwood, P.M.A.; Linford, M.R.; Terry, J.; Fernandez, V.; Artyushkova, K. Practical guide for curve fitting in X-ray photoelectron spectroscopy. J. Vac. Sci. Technol. A 2020, 38, 061203. [Google Scholar] [CrossRef]
- Wei, D.; Hossain, T.; Garces, N.Y.; Nepal, N.; Meyer, H.M.; Kirkham, M.J.; Eddy, C.R.; Edgar, J.H. Influence of atomic layer deposition temperatures on TiO2/n-Si MOS capacitor. ECS J. Solid State Sci. Technol. 2013, 2, N110. [Google Scholar] [CrossRef]
- George, S.M. Atomic layer deposition: An overview. Chem. Rev. 2010, 110, 111–131. [Google Scholar] [CrossRef] [PubMed]
- Kim, J.; Kim, S.; Jeon, H.; Cho, M.-H.; Chung, K.-B.; Bae, C. Characteristics of HfO2 thin films grown by plasma atomic layer deposition. Appl. Phys. Lett. 2005, 87, 053108. [Google Scholar] [CrossRef]
- Park, S.-J.; Lee, J.-P.; Jang, J.S.; Rhu, H.; Yu, H.; You, B.Y.; Kim, C.S.; Kim, K.J.; Cho, Y.J.; Baik, S.; et al. In situ control of oxygen vacancies in TiO2 by atomic layer deposition for resistive switching devices. Nanotechnology 2013, 24, 295202. [Google Scholar] [CrossRef]
- Driemeier, C.; Wallace, R.M.; Baumvol, I.J.R. Oxygen species in HfO2 films: An in situ X-ray photoelectron spectroscopy study. J. Appl. Phys. 2007, 102, 024112. [Google Scholar] [CrossRef]
- Xu, D.; Cheng, X.; Zhang, Y.; Wang, Z.; Xia, C.; Cao, D.; Yu, Y.; Shen, D. Plasma enhanced atomic layer deposition of HfO2 with in situ plasma treatment. Microelectron. Eng. 2012, 93, 15–18. [Google Scholar] [CrossRef]
- Bertóti, I.; Mohai, M.; Sullivan, J.L.; Saied, S.O. Surface characterisation of plasma-nitrided titanium: An XPS study. Appl. Surf. Sci. 1995, 84, 357–371. [Google Scholar] [CrossRef]
- Bharti, B.; Kumar, S.; Lee, H.-N.; Kumar, R. Formation of oxygen vacancies and Ti(3+) state in TiO2 thin film and enhanced optical properties by air plasma treatment. Sci. Rep. 2016, 6, 32355. [Google Scholar] [CrossRef] [PubMed]
- Xu, N.; Liu, L.F.; Sun, X.; Liu, X.; Han, D.; Wang, Y.; Han, R.; Kang, J.; Yu, B. Characteristics and mechanism of conduction/set process in TiN/ZnO/Pt resistance switching random-access memories. Appl. Phys. Lett. 2008, 92, 232112. [Google Scholar] [CrossRef]
- Hsieh, P.-T.; Chen, Y.-C.; Kao, K.-S.; Wang, C.-M. Luminescence mechanism of ZnO thin film investigated by XPS measurement. Appl. Phys. A 2008, 90, 317–321. [Google Scholar] [CrossRef]
- Sanjinés, R.; Tang, H.; Berger, H.; Gozzo, F.; Margaritondo, G.; Lévy, F. Electronic structure of anatase TiO2 oxide. J. Appl. Phys. 1994, 75, 2945–2951. [Google Scholar] [CrossRef]
- Brzhezinskaya, M.; Mishakov, I.V.; Bauman, Y.I.; Shubin, Y.V.; Maksimova, T.A.; Stoyanovskii, V.O.; Gerasimov, E.Y.; Vedyagin, A.A. One-Pot Functionalization of catalytically derived carbon nanostructures with heteroatoms for toxic-free environment. Appl. Surf. Sci. 2022, 590, 153055. [Google Scholar] [CrossRef]
- Rabchinskii, M.K.; Ryzhkov, S.A.; Besedina, N.A.; Brzhezinskaya, M.; Malkov, M.N.; Stolyarova, D.Y.; Arutyunyan, A.F.; Struchkov, N.S.; Saveliev, S.D.; Diankin, I.D.; et al. Guiding graphene derivatization for covalent immobilization of aptamers. Carbon 2022, 196, 264–279. [Google Scholar] [CrossRef]











Disclaimer/Publisher’s Note: The statements, opinions and data contained in all publications are solely those of the individual author(s) and contributor(s) and not of MDPI and/or the editor(s). MDPI and/or the editor(s) disclaim responsibility for any injury to people or property resulting from any ideas, methods, instructions or products referred to in the content. |
© 2025 by the authors. Licensee MDPI, Basel, Switzerland. This article is an open access article distributed under the terms and conditions of the Creative Commons Attribution (CC BY) license (https://creativecommons.org/licenses/by/4.0/).
Share and Cite
Hwang, I.; Kim, J.; Lee, J.; Jung, Y.; Yoon, C. Memory Devices with HfO2 Charge-Trapping and TiO2 Channel Layers: Fabrication via Remote and Direct Plasma Atomic Layer Deposition and Comparative Performance Evaluation. Materials 2025, 18, 948. https://doi.org/10.3390/ma18050948
Hwang I, Kim J, Lee J, Jung Y, Yoon C. Memory Devices with HfO2 Charge-Trapping and TiO2 Channel Layers: Fabrication via Remote and Direct Plasma Atomic Layer Deposition and Comparative Performance Evaluation. Materials. 2025; 18(5):948. https://doi.org/10.3390/ma18050948
Chicago/Turabian StyleHwang, Inkook, Jiwon Kim, Joungho Lee, Yeonwoong Jung, and Changbun Yoon. 2025. "Memory Devices with HfO2 Charge-Trapping and TiO2 Channel Layers: Fabrication via Remote and Direct Plasma Atomic Layer Deposition and Comparative Performance Evaluation" Materials 18, no. 5: 948. https://doi.org/10.3390/ma18050948
APA StyleHwang, I., Kim, J., Lee, J., Jung, Y., & Yoon, C. (2025). Memory Devices with HfO2 Charge-Trapping and TiO2 Channel Layers: Fabrication via Remote and Direct Plasma Atomic Layer Deposition and Comparative Performance Evaluation. Materials, 18(5), 948. https://doi.org/10.3390/ma18050948

