Abstract
In this study, unreinforced masonry (URM) walls constructed from concrete blocks and clay bricks were strengthened using horizontally and vertically oriented glass fiber-reinforced polymer (GFRP) grid strips bonded with sprayed polyurea. The walls were subjected to diagonal compression loading until failure. The results demonstrated a significant improvement in both the shear capacity and pseudo-ductility of the strengthened URM walls compared to their unstrengthened counterparts. The primary conclusions drawn from this research are as follows: (1) the maximum strain in the vertical GFRP strips increased with the higher axial stiffness of the strips; (2) the discrete vertical strips contributed substantially to enhancing the shear capacity and pseudo-ductility of the URM walls; (3) increasing the axial stiffness of the vertical strips can alter the failure mode of the walls, shifting it from joint failure to tension or compression failure of the blocks or bricks; (4) a reduction factor is necessary to account for the potential asymmetrical performance of double-sided strengthening schemes applied to URM walls. The experimental program was reported in a previous publication and additional information is presented in this paper.
1. Introduction
Large inventories of older masonry buildings worldwide have been designed without proper seismic design standards. Previous research and seismic events around the world have clearly demonstrated that, if left in its current state, unreinforced masonry (URM) walls are prone to extensive damage during seismic events. Consequently, the seismic upgrade of older URM walls has become a critical issue in contemporary structural engineering. Fiber-reinforced polymer (FRP) composites have gained widespread acceptance as a solution for the seismic strengthening of URM walls [1,2,3]. However, limitations in displacement ductility capacity and other drawbacks of FRP materials have prompted the investigation of alternative strengthening systems, such as fabric-reinforced cementitious matrix (FRCM), also known by various other names including textile-reinforced mortar (TRM), cementitious matrix-grid (CMG), or composites reinforced mortar [4,5,6,7,8,9], steel-reinforced grout (SRG), and engineered cementitious composites (ECC) [10,11].
Research on the strengthening of URM walls with polyurea has been reported recently.
Polyurea combines good application properties, such as rapid cure and insensitivity to substrate moisture, with equally good physical properties, such as high hardness, flexibility, tensile strength, and resistance against cracks [12]. Hrynyk and Myers [13] presented that sprayed polyurea was effective in improving the energy absorption and reducing the fragmentation of URM walls. Cuong et al. [14] found that polyurea clearly increased the shear strength of masonry prisms. Zhu et al. [15] studied clay brick walls strengthened with sprayed polyurea under close-in blast load and found that polyurea was effective in increasing the load capacity. However, investigation of the sprayed polyurea in the shear strengthening of URM walls is extremely limited in the open literature.
Regarding the shear capacity of URM walls, it is generally accepted that the contribution of vertical fiber-reinforced polymer (FRP) strips to the shear strength is negligible. Triantafillou [16] concluded that the strengthening of URM walls with discrete vertical narrow FRP strips or bars was ineffective, as the dowel action provided by the FRP system was minimal and did not significantly contribute to the shear strength of the walls. Similarly, Prota et al. [17] and D’Ambra et al. [18] reported that, when vertical strips or fibers have no continuity at the ends, the contribution of vertical FRP can be neglected in the shear strength of URM walls. By contrast, Borri et al. [10] found a significant increase in the shear strength of clay brick walls after being strengthened with discrete steel grout strips using both horizontal and vertical layouts. However, their analysis only considered the contribution of the horizontal reinforcement in calculating the shear strength.
Del Zoppo et al. [11] reported that horizontal fibers mainly affect the shear strength and stiffness of panels; whereas vertical fibers mainly contribute to the deformation capacity of URM walls in the post-peak phase. Meriggi et al. [19] concluded that vertical strips are effective in redistributing stress in FRCM and can prevent shear sliding by preventing vertical separation at mortar joints and uplift that are associated with the horizontal component of wall deformation. Once again, Meriggi et al. [19] only considered the enhancement of shear capacity and stiffness from the horizontal strips.
In terms of design specifications, vertical strips are generally excluded from the shear capacity analysis of URM walls worldwide, including in the USA, Italy, or China [20,21,22]. However, recent research has clearly demonstrated that strengthening with vertical FRP systems can increase the shear capacity and ductility of URM walls. Petersen et al. [23] investigated the shear capacity of brick walls strengthened with near surface mounted (NSM) FRP strips and reported that the vertically aligned reinforcement was an effective scheme in increasing the strength (up to 46%) and ductility of URM walls. Likewise, Konthesingha et al. [24] studied the effectiveness of strengthening URM walls with NSM FRP strips and found that the vertical strips constrained the cracking and increased failure load up to 9%. Wang et al. [25] reported on the shear strength and post-failure ductility of URM walls and concluded an increment up to 48% after strengthening with vertical SRG strips. Kaluza [26] found significant increase of capacity (up to 48%) and ductility of concrete block walls due to strengthening with vertical CFRP or GFRP strips. Increase in the shear capacity resulting from vertical fibers due to joint sliding is recognized in the specifications by ACI 549.6R [20].
This research investigates a strengthening scheme that combines an organic matrix with an impregnated glass fabric grid. In this composite, a fast-setting polyurea matrix is sprayed over a glass fiber-reinforced polymer (GFRP) grid. The resin impregnation helps with redistributing stress, preventing or delaying premature ruptures caused by localized concentrations of stress, as well as mitigating telescopic failures [20,27,28]. In our study, four concrete block walls and four clay brick walls were strengthened with discrete GFRP grid strips bonded with sprayed polyurea, with variables including strip orientation (horizontal or vertical) and strengthening configuration (single-sided or double-sided). The URM walls were tested until failure under in-plane diagonal compressive loading. The results confirmed that the discrete vertical strips effectively inhibit crack propagation along the bed joints, delay overall failure, and significantly increase the shear capacity of the URM walls. The experimental program was reported by the authors of this paper in a previous publication [29] and additional information is presented in this paper.
The novelty of this study lies in the following contributions: (A) the experimental strain behavior of the discrete polyurea strips during compression testing was investigated; (B) the increase in shear capacity of the strengthened URM walls due to discrete vertical polyurea strips was thoroughly analyzed; (C) a comparative analysis of single-sided and double-sided strengthening configurations for URM walls was performed, supplemented by additional test data from the literature.
2. Experimental Program
The experimental program was reported in a previous publication [29] and only the main characteristics and results are summarized here. Meanwhile, additional information is provided in this paper.
2.1. Test Matrix
Concrete block masonry walls with the dimensions of 1626 × 1626 × 152 mm3 and clay brick walls with dimensions of 1219 × 1219 × 92 mm3 were strengthened according to the layout depicted in Table 1. In Table 1, n denotes the retrofit scheme, concrete walls are defined as WCn, and clay brick walls are defined as WKn. The size of the concrete blocks and the clay bricks was 152 × 203 × 406 mm3 and 57 × 92 × 197 mm3, respectively. The thickness of the head and bed joints was about 9.5 mm. The concrete block wall test consisted of testing four unstrengthened control block walls and four strengthened concrete block walls with 114 mm wide GFRP grid reinforced polyurea strips. Likewise, during the clay brick walls testing phase, except for one unstrengthened control brick wall, four brick walls were also strengthened with 114 mm wide GFRP grid reinforced polyurea strips. The scheme was adopted to study the effectiveness of orientation of the strips (horizontal or vertical) and strengthening configuration (single-sided or double-sided). The spacing between the strips was kept smaller than the spacing limit described in ACI 440.7R [30]. Further details can be found in the previous publication [29].
Table 1.
Strengthening schemes.
2.2. Material Properties
The GFRP grids were made from individual glass cords and connected to each other by transverse cords of a smaller size. Type N mortar [31] was used to build the walls. Material characterization of the sprayed polyurea, the GFRP grid, the grid reinforced polyurea, and the masonry units are reported elsewhere [29,32], and the major mechanical property is shown in Table 2.
Table 2.
Material properties.
2.3. Strain Gauges Locations
Figure 1 shows the location of the strain gauges that were attached to the GFRP grid reinforced polyurea strips on both sides of the walls. Strain gauges located at the back side are indicated in parentheses. The locations of strain gauges along walls WK1–WK3 are similar to those for the counterpart concrete block walls WC1–WC3 in Figure 1. The capacity of the strain gages was 15,000 µɛ.

Figure 1.
Strain gages placement: (a) wall WC1—single side strengthening; (b) wall WC2—double side strengthening; (c) wall WC3—single side strengthening; (d) wall WC4—double side strengthening; (e) wall WK4—double side strengthening.
2.4. Test Setup
The walls were tested until failure according to the setup depicted in Figure 2. The setup was modified from its original form in ASTM E519-10 [36] and adopted by many researchers [3,37,38]. As shown in Figure 2, the walls were loaded diagonally with manually activated hydraulic jacks positioned on one corner of the walls, where two jacks were used in order to decrease the eccentricity of loading. The applied diagonal force was measured using two 450 kN capacity compression load cells placed between the hydraulic jacks and the steel shoe. Four linear variable differential transducers (LVDTs) with a gauge length of 200 mm were also installed diagonally along both sides to measure the displacements of the walls. The walls were subjected to a continuous load up to 50% of the expected maximum force, after which the load was applied in smaller increments (10–20% of the peak force) until the maximum force was reached and the test was concluded. In total, a test was completed within 30–60 min.
Figure 2.
Test Setup. (a) schematic test setup; (b) test setup of one concrete block wall.
3. Experimental Results
3.1. Failure Mode and Failure Load of the Tested Walls
As shown in Table 3, four types of failure modes are observed in the test and are schematically shown in Figure 3. The unstrengthened control walls failed due to diagonal stepped cracks (Figure 4a). For wall WC2 with double-sided strengthening, diagonal cracks were observed before the wall failed due to a sliding crack along the horizontal bed joint (Figure 4b). For concrete block walls with discrete vertical strips, the walls failed due to a stepped shear friction crack along the loading diagonal (Figure 4c,d). For clay brick wall WK4, a crack along the joints was prevented due to the double-sided strengthening strips, and the wall failed due to the failure of the bricks under diagonal compression (Figure 4e). Additional information can be found elsewhere [29].
Table 3.
Experimental results.
Figure 3.
Schematic failure mode of the tested wall: (a) shear friction; (b) shear friction + shear slide; (c) shear friction + diagonal tension; (d) diagonal compression.

Figure 4.
Failure mode of the tested walls: (a) typical shear friction failure; (b) wall WC 2; (c) wall WC 3; (d) wall WC 4; (e) wall WK 4.
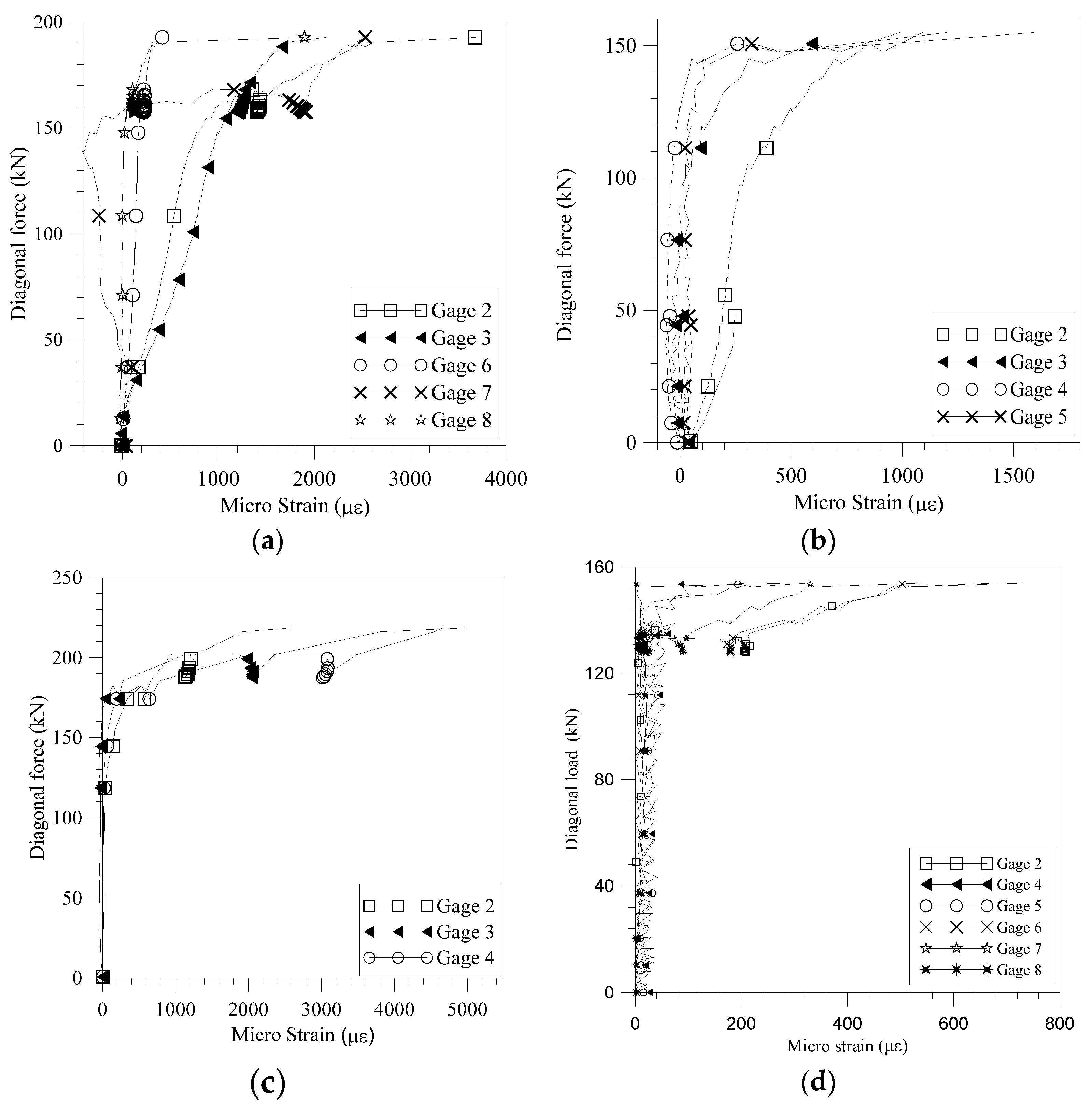
3.2. Experimental Strains of the Polyurea Strips
The maximum strains of the strips are shown in Table 4 and summarized as follows:
Table 4.
Recorded strain of the polyurea strips at maximum diagonal load for the URM walls.
- Walls WC1, WK1, WK2, and WK3: The recorded strains are negligible, and therefore, are not included in Table 4. This aligns with what was reported by Jing et al. [39]. In their test, the ratio of the recorded maximum strain to the ultimate limit of the CFRP plate at failure for the URM walls was 8.94%; however, a significant increase in shear capacity was achieved. The reason is that other than the shear force taken by the FRP itself, the restraining effect of the FRP resulted in a significant increase in the shear capacity. Therefore, the restraining effect, due to the 7 mm thick sprayed polyurea strips in the test, was responsible for the greater increase of shear capacity of the URM walls even though the recorded strain of the strips was low.
- Wall WC2: Table 4 and Figure 1b and Figure 5a illustrate that the recorded strains on the FRP strips are negligible when the strain gauges are positioned away from the diagonal cracks. At failure, the strain readings from gauges 2/3 and 4/5 are nearly identical, suggesting that the horizontal strips were subjected to significant tension in the vertical direction at the locations where the stepped cracks intersected. Additionally, strain readings from gauges 4, 7, and 8 on the front side, as well as from gauges 11, 14, and 15 on the back side, show that the strains in the strips at corresponding locations on each side are significantly different.
Figure 5. Experimental strain of polyurea strips: (a) wall WC2; (b) wall WC3; (c) wall WC4; (d) wall WK4. - Wall WC4: High strains in the vertical direction, as shown in Figure 1d and Figure 5c, indicate that the vertical strips contributed to constraining dilation along the bed joints. Furthermore, the variation in strain readings from gauges 3, 4, and 5 on the front side, and from gauges 8, 9, and 10 on the back side, reveals that, at failure, the strains measured in the strips at corresponding locations on each side differ significantly (Table 4 and Figure 1d).
- Wall WK4: Shear cracks along the mortar joints were not observed, which can be attributed to the clamping mechanism provided by the vertical strips. The strains recorded along the strips from both sides at the maximum diagonal load were relatively small (Table 4 and Figure 1e and Figure 5d). The wall exhibited considerable post-peak load ductility, as strains in the strips increased significantly, while the diagonal load remained nearly constant or experienced only a small decrease.
Overall, the test results demonstrate that no premature debonding of the discrete polyurea strips occurred during the experiments. This is noteworthy, especially considering the absence of mechanical anchorages at the end zones between the concrete block or the brick substrate and the polyurea strips. The fact that the polyurea strips remained bonded without additional anchorage suggests that, for GFRP-reinforced polyurea systems, the need for supplementary anchorage at the strip ends may be unnecessary, enhancing the practicality and efficiency of this strengthening technique.
Furthermore, the recorded strains in the double-sided strengthened walls showed a clear difference between the strengthening materials applied on each side. This asymmetry in strain response indicates that the strengthening contribution from each side was not equal, with one side potentially providing a more significant effect on the overall performance of the wall. Such a difference in contribution could arise from factors such as material properties, the quality of bonding, or stress distribution during loading. It is important to emphasize that no significant out-of-plane deformation or bending was observed during the diagonal compression tests, which suggests that the overall structural behavior of the walls remained stable and the strengthening systems functioned as intended.
Given these observations, when analyzing the shear capacity of the URM walls strengthened with double-sided polyurea systems, it is crucial to apply a reduction factor. This factor would account for the asymmetrical performance of the system and the potential effects of eccentricity that could result from the unequal contribution of the strengthening materials on each side. Incorporating this reduction factor into the design and analysis would lead to more accurate predictions of wall performance under real-world loading conditions, ensuring the robustness and reliability of the strengthening technique.
3.3. Shear Strain of the URM Walls
Shear strains were computed according to ASTM E519 [36] as follows:
where and are the measured shortening and elongation diagonally and g is the LVDTs gage length.
The pseudo-ductility of the walls were evaluated per the following:
In general, is the shear strain registered at 20% off the peak shear stress at the post peak stage [7,40], and is the shear strain corresponding to 70% of the maximum shear stress in the ascending loading branch [7,41] or corresponding to the peak shear stress [42,43]. In this paper, was calculated at the peak shear stress. Table 3 shows that, for both the concrete block and the clay brick walls, the strengthened walls demonstrated a larger post peak-load pseudo-ductility capacity than the plain control walls. Furthermore, the URM walls strengthened with vertical strips generally achieved greater pseudo-ductility, with the exception of walls WC1 vs. WC3 in Table 3.
3.4. Evaluation of the Test Results
Results from other in-plane diagonal compression tests using the URM walls strengthened with FRP, FRCM, or SRG are summarized in this section for further analysis.
3.5. Effect of Strips Layout on the Shear Strengthening of URM Walls
ACI 440.7R [30] specifies a maximum clear spacing of 400 mm between externally bonded strips in fiber-reinforced polymer (FRP) systems. In the tests reported in Table 3, the clear spacing between the horizontal strips in the concrete block and clay brick walls was 305 mm and 203 mm, respectively. As shown in Table 3, walls WC2 and WK2 failed due to shear sliding along the unstrengthened bed joints, indicating that the application of only horizontal strips was insufficient to prevent sliding failure. This finding aligns with previous studies by Mahmood and Ingham [3] and Konthesingha et al. [24], which reported similar outcomes.
Furthermore, these walls exhibited lower pseudo-ductility compared to those strengthened with other configurations, as seen in Table 3. This observation is particularly significant when considering seismic retrofit applications, where pseudo-ductility is a key design objective. In such cases, where both sides of the URM walls are strengthened to enhance energy dissipation and prevent brittle failure, achieving higher pseudo-ductility is crucial. Therefore, the results suggest that a clear spacing of less than 400 mm may be necessary for such strengthening schemes to ensure the desired level of ductility and the overall performance for seismic applications.
The tension strain in the GFRP strips was consistently recorded in this study, regardless of whether the URM walls were strengthened with horizontal or vertical strips. This suggests that grid strengthening with both horizontal and vertical strips could be an effective scheme for enhancing the shear capacity and ductility of URM walls. This approach is supported by the literature [18,20] and the test results of walls S12GH, S12GV, and S12GHV, as shown in Table 5. These results demonstrate that the capacity and ductility of walls strengthened with orthogonal strips were greater than those strengthened with only horizontal or vertical strips.
Table 5.
Shear strengthening of URM walls with vertical and horizontal schemes in the literature.
Whether the walls were strengthened with discrete strips or full-surface strengthening, the results indicate that vertical strengthening significantly improved both the strength and ductility of the URM walls (Table 5). Additionally, increasing the axial stiffness of the FRP material led to the enhanced shear capacity of the walls, as evidenced by comparing WC3 with WC4 and WK3 with WK4 in Table 3. Notably, when the total cross-sectional area of the strengthening materials remained constant, discrete strip strengthening resulted in a greater increase in shear capacity compared to full-surface strengthening (see comparisons of S4H vs. S12GH and S4V vs. S12GV in Table 5).
Further, when the same amount of strengthening material was used, the results suggest that greater ductility could be achieved with vertical strips instead of horizontal ones. This is observed in the comparison of walls S4V with S4H, S12GV with S12GH, and WTC 5 with WTC 2 in Table 5, and the walls presented in Table 3. Moreover, since discrete vertical strips can effectively induce compression failure in URM walls (see Figure 4e), additional strengthening materials may not provide further benefit in terms of performance.
Ferretti and Mazzotti [44] reported that the central region of masonry panels experiences higher tensile stresses during diagonal compression tests, particularly at the onset of cracking. As a result, it is critical to ensure sufficient strengthening in the central regions, even for walls that did not directly fail in this area during testing. This consideration is essential for optimizing the overall performance of the strengthened URM walls and preventing premature failure in critical regions.
3.6. Effective Strain of Polyurea Strips at Failure of the Strengthened URM Walls
As reported in the literature, thicker and stiffer FRP composites are more susceptible to premature debonding failure. Valluzzi et al. [45] observed that less stiff FRP materials were more effective for increasing the ultimate strength and stiffness of masonry panels. Additionally, the effective strain of FRP strips has been found to be inversely proportional to their axial stiffness, , with FRP materials exhibiting higher axial stiffness tending to debond at lower strains [16,46]. For FRCM-masonry joints, Ceroni and Salzano [47] and Meriggi et al. [19] found that the failure strain due to slippage and debonding decreased as axial stiffness, , increased.
However, for the URM walls strengthened with vertical polyurea strips, results from this study, as shown in Table 4, indicate that the maximum strain in the strips of wall WC4 is significantly greater than that of wall WC3. This can be attributed to the increased overall integrity of the URM walls when vertical strips are applied on both sides. This dual-sided strengthening delayed shear friction failure compared to single-sided strengthening, thereby enhancing the effective strain of the strengthening strips. A similar trend was observed for brick walls strengthened with NSM FRP strips, where the maximum strain in the vertical strips of double-sided strengthening was generally greater than that in single-sided strengthening (see walls V2 and V4A, V4B in Table 5).
Moreover, Table 4 shows that, when discrete strips with the same axial stiffness are used, the maximum strain in the vertical strips is generally greater than that in the horizontal strips. This suggests that it may be reasonable to adopt different allowable strain limits for horizontal and vertical strengthening schemes when evaluating the shear contribution of the strips.
The typical model to predict the effective strain of an FRP sheet bonded to masonry was developed by Triantafillou [16] (when is less than 1 GPa)
where, and are the reinforcement ratio and the elastic modulus of FRP strips, respectively. A comparison between the recorded tension strain of polyurea strips and Equation (3) in Figure 6 indicates that this model overestimated the effective strain in this test.
Figure 6.
Strain of polyurea strips [20].
In the diagonal compression test of the URM walls strengthened with discrete polyurea strips, the stress condition of the strips is significantly influenced by the various cracking patterns of the walls. The bonding mechanism of the strengthening material in this context differs from that observed in typical bond tests. Furthermore, no debonding of the polyurea strips was observed during the tests. As a result, models based on standard bonding tests may not accurately predict the effective strain of the strips during the compression test and may not be directly applicable for structural analysis of the strengthened URM walls without appropriate modifications.
Code specifications typically define a constant effective strain for horizontal strips [20,22]. However, it appears that the effective strain of the horizontal strips is influenced by several factors, including the reinforcement ratio, layout of the strengthening materials, and other variables (see Table 4). Therefore, the fixed effective strain value as specified by ACI 549.6R [20] may oversimplify the actual behavior (Figure 6). Moreover, assuming that each horizontal strip reaches the limit strain specified in the code could lead to an overestimation of the contribution of the horizontal strengthening materials to the shear capacity of the strengthened walls.
3.7. Contribution of Discrete Vertical Strips to Shear Capacity of the URM Walls
Table 5 demonstrates that the use of discrete vertical FRP strips and SRG strips resulted in a significant increase in shear capacity, with improvements of up to 46% for wall V4B [23], 48% for wall S12GV [25], and 221% for wall WTC 5 [3].
As shown in Table 4, significant tension was recorded in the discrete vertical strips when the walls failed due to cracking along the joints. This suggests that the vertical strips played a crucial role in carrying significant tensile forces resulting from the horizontal shear. Initially, the tension in the strips was minimal when the diagonal load was relatively low. However, as the load approached the failure point, the tension in the strips increased substantially (see Figure 5). This increase in tension contributed to compressive forces along the bed joints of the URM walls. For the URM walls strengthened with polyurea strips that failed due to cracking along the bed joints, the shear strength contribution from the vertical strips can be calculated as follows:
where is the shear strength due to the increased compressive load at the bed joints that resulted from the vertical strips and is the contribution from the strips itself. Similar to the approach in Silva et al. [29], the shear strength due to the increased compressive stress could be calculated as follows:
where, and are the total cross-sectional area and elastic modulus of the vertical strips, respectively, is the effective strain of the vertical strips, is the shear friction coefficient, and is the angle between the loading diagonal and horizontal direction. The shear contribution of the vertical strips is as follows [29]:
Therefore, the total contribution of the vertical strips can be calculated as follows:
In this study, a shear friction coefficient µ of 0.5 and α of 45° were considered in the test analysis. Table 6 shows that, for the URM walls strengthened with vertical strips that failed due to the stepped shear-friction cracks, Equation (7) gives a reasonable prediction of the shear capacity. One reason for the discrepancy between the experimental and theoretical capacity of wall WC3 is that the maximum strain of polyurea strips may not be caught during the test, as only a limited number of strain gauges were deployed.
Table 6.
Experimental and theoretical shear capacity increment due to vertical GFRP schemes.
Moreover, with addition of test results from Petersen et al. [23], Figure 7 indicates that Equation (7) can provide a reasonable estimation of the shear capacity increment of the URM walls strengthened with discrete vertical strips (GFRP grid strips or CFRP strips) that failed mainly due to stepped joint cracks during diagonal compression test.
Figure 7.
Shear capacity increment of URM walls due to discrete vertical strips [23].
3.8. Comparison of Double-Sided Strengthening with Single-Sided Strengthening
In general, the single-sided strengthening of URM walls may introduce structural asymmetry, potentially causing out-of-plane bending and a significant strength degradation. ACI 549.6R [20] and Meriggi et al. [19] recommend applying a reduction factor of 0.7 for single-sided strengthening with FRCM to account for eccentricity, whereas a factor of 1.0 is applied for double-sided strengthening with FRCM.
Table 3 reveals that, for the URM walls strengthened with polyurea strips that failed due to cracking along the joints, the shear capacity increment factor for double-sided strengthening over single-sided strengthening ranges from 1.18 to 3.66. This indicates that the asymmetry associated with single-sided strengthening is influenced by the layout of the strengthening scheme, and increasing the axial stiffness of the strips may mitigate the negative effects of structural eccentricity (see walls WC1–WC2 and WK1–WK2 in Table 3). Regarding the orientation of the strengthening materials, single-sided strengthening with vertical strips caused a more pronounced negative impact compared to horizontal strips (see walls WC1–WC2 and WC3–WC4 in Table 3).
Table 7 demonstrates that the increment factor for shear capacity with double-sided strengthening over single-sided strengthening ranges from 1.12 to 3.18 for full surface strengthening, and from 1.07 to 2.77 for discrete strip/bar strengthening. Therefore, a single constant reduction factor, as stated in ACI 549.6R [20], may not adequately cover all cases, as many factors—such as strengthening configuration, material type, masonry typology, and geometry—contribute to performance differences between single-sided and double-sided strengthening systems. Furthermore, Table 3 and Table 7 indicate that there is no significant difference in shear capacity increment when organic or inorganic matrices are employed.
Table 7.
Experimental results of other diagonal compression tests in the literature.
The results presented in Table 3 and Table 7 show that the increment factor for shear capacity of double-sided strengthening over single-sided strengthening in many tested walls is less than 2.0. Consequently, the average effective strain in double-sided strengthening materials should be lower than in single-sided strengthening, and a reduction factor should be introduced during the design phase to account for this situation. This is comparable to findings by Yang et al. [49], which demonstrated that the strengthening effect did not increase linearly with the addition of textile layers and that the strengthening efficiency of the URM walls decreased as more layers of basalt were employed.
Given that detailed strain data for strengthening materials at failure is often not reported in the literature, and the minimum shear capacity increment factor observed is around 1.2 (Table 3 and Table 7), a reduction factor of 0.6 could be used for design purposes.
Furthermore, as shown in Table 3 and Table 7, the pseudo-ductility of the strengthened URM walls increased compared to control walls. While the shear capacity of walls with double-sided strengthening was greater than that of walls with single-sided strengthening, the ductility of double-sided strengthened walls could be lower when the walls fail predominantly due to cracking along the joints. This observation is supported by the tests reported by Marcari et al. [5] and Mahmood and Ingham [3] in Table 7, and the results of walls WC3–WC4 and WK1–WK2 in Table 3.
3.9. Failure Mode of the URM Walls Strengthened with Vertical GFRP Strips
The experimental results of the URM walls strengthened with vertical GFRP schemes are further compared in Table 6, where for Wall 6 [48] and COW 9 [37] only the vertical strengthening is included. Elastic modulus of concrete block and clay brick masonry was estimated with and , respectively, according to MSJC standard [50]. It is shown in Table 6 that, for the strengthening of URM walls with GFRP, with the increase of , the failure mode of the wall changed from stepped joint failure (shear friction) to combined failure (shear friction + tension of brick) or compression failure of the masonry units. However, the exact boundary between the different failure modes could not be precisely determined in this paper as the failure modes is also related to the layout and mechanical property of the strengthening materials, and many other factors. Furthermore, since the diagonal crushing is achieved, additional strengthening may not be necessary, which imposes the limit for strengthening.
Meanwhile, when vertical strips are used for shear strengthening, typically it is required to check the toe crushing by the code [20,21]. However, as seen from this study, for the strengthening of clay brick walls, instead of toe crushing, diagonal compression outside of the compression toe was observed (WK4 in Figure 4e and Table 3). As it is reported, during the diagonal compression test, the principal compression stress is around three times that of the tensile stress along the loaded diagonal [51]. Therefore, except for toe crushing, compression failure of the walls should also be checked.
3.10. Design Recommendations
For the shear strengthening of URM walls with discrete polyurea strips, the following recommendations should be considered:
- Concrete Block Walls: when only discrete horizontal strips are used for shear strengthening, it is advisable to cover each of the bed joints to effectively prevent shear sliding failure along the bed joints.
- Double-Sided Strengthening: for strengthening of the URM walls with horizontal strips, assuming the contribution of double-sided strengthening is equal to twice that of single-sided strengthening may lead to an overestimation of the shear strength increment; therefore, a reduction factor of 0.6 should be considered for design purposes until more experimental data is available.
- Discrete Vertical Strips vs. Full Surface Strengthening: since discrete vertical strips have been found to be more efficient than full surface strengthening when the same amount of strengthening fabric or grid is used, it is recommended to apply discrete vertical strips instead of full surface strengthening for improved shear capacity and cost-effectiveness.
4. Conclusions
This research provides valuable insights into the in-plane strengthening of unreinforced masonry (URM) walls using discrete glass fiber-reinforced polymer (GFRP) grid strips bonded with sprayed polyurea. This study focused on the effects of strengthening orientation (horizontal and vertical), the configuration (single-sided and double-sided), and the interplay between material properties and structural performance under diagonal compression loading. The findings underscore the significant contributions of vertical GFRP strips to both the shear capacity and pseudo-ductility of the URM walls. The following conclusions can be drawn from this research program:
- Vertical Strengthening Efficacy: The application of vertical GFRP strips effectively constrained the development of bed joint cracking and delayed the overall failure of the URM walls. This resulted in a notable improvement in shear capacity and pseudo-ductility compared to unstrengthened walls or those strengthened only with horizontal strips.
- Enhanced Effective Strain: The discrete vertical strips demonstrated a higher effective strain compared to horizontal strips, particularly in walls failing due to shear friction cracking. This suggests that greater strain allowances can be adopted when considering the contribution of vertical strips to the overall shear capacity of the strengthened URM walls.
- Predictive Accuracy of Shear Models: the preliminary model proposed in this study reasonably predicted the shear capacity increments due to the inclusion of vertical GFRP strips, highlighting the potential for refined analytical tools in structural design applications.
- Asymmetrical Behavior in Double-Sided Strengthening: Despite the absence of out-of-plane bending, the strain responses differed significantly between the two sides of double-sided strengthened walls. This asymmetry emphasizes the need for reduction factors to accurately reflect the unequal contributions of each side in design calculations.
- Superiority of Vertical Strips in Pseudo-Ductility: vertical strengthening schemes consistently achieved higher pseudo-ductility compared to horizontal ones, reinforcing their suitability for seismic retrofitting where energy dissipation and deformation capacity are critical.
In conclusion, this study advances the understanding of strengthening URM walls, highlighting the potential of discrete vertical GFRP strips for enhancing seismic performance. It advocates for the broader adoption of this approach in seismic retrofitting practices, offering valuable insights into its effectiveness. However, this study’s findings are primarily based on diagonal compression tests, which involve combined compression–shear stress states. As such, further experimental validation is needed to explore other loading scenarios and stress conditions. Future research should aim to fully characterize the response of the strengthened URM walls under various loading conditions and validate the design recommendations derived from this study.
Author Contributions
Conceptualization, P.Y. and P.S.; methodology, P.Y. and P.S.; formal analysis, P.Y.; investigation, P.Y.; resources, A.N.; data curation, P.Y.; writing—original draft preparation, P.Y.; writing—review and editing, P.S. and A.N.; project administration, A.N. All authors have read and agreed to the published version of the manuscript.
Funding
This research received no external funding.
Institutional Review Board Statement
Not applicable.
Informed Consent Statement
Not applicable.
Data Availability Statement
The raw data supporting the conclusions of this article will be made available by the authors on request due to privacy.
Conflicts of Interest
The authors declare no conflict of interest.
References
- Albert, M.L.; Elwi, A.E.; Cheng, J.J.R. Strengthening of unreinforced masonry walls using FRPs. J. Compos. Constr. 2001, 5, 76–84. [Google Scholar] [CrossRef]
- Hamid, A.A.; EI-Dakhakhni, W.W.; Hakam, Z.H.R.; Eigaaly, M. Behavior of Composite Unreinforced Masonry-Fiber-Reinforced Polymer Wall Assemblages Under In-plane Loading. J. Compos. Constr. 2005, 9, 73–83. [Google Scholar] [CrossRef]
- Mahmood, H.; Ingham, J.M. Diagonal Compression Testing of FRP-Retrofitted Unreinforced Clay Brick Masonry Wallettes. J. Compos. Constr. 2011, 15, 810–820. [Google Scholar] [CrossRef]
- Garofano, A.; Ceroni, F.; Pecce, M. Modelling of the in-plane behaviour of masonry walls strengthened with polymeric grids embedded in cementitious mortar layers. Compos. Part B Eng. 2016, 85, 243–258. [Google Scholar] [CrossRef]
- Marcari, G.; Basili, M.; Vestroni, F. Experimental investigation of tuff masonry panels reinforced with surface bonded basalt textile-reinforced mortar. Compos. Part B Eng. 2017, 108, 131–142. [Google Scholar] [CrossRef]
- Giaretton, M.; Dizhur, D.; Garbin, E.; Ingham, J.M.; Porto, F.D. In-Plane Strengthening of Clay Brick and Block Masonry Walls Using Textile-Reinforced Mortar. J. Compos. Constr. 2018, 22, 04018028. [Google Scholar] [CrossRef]
- Cheng, S.C.; Yin, S.P.; Jing, J. Comparative experimental analysis on the in-plane shear performance of brick masonry walls strengthened with different fiber reinforced materials. Constr. Build. Mater. 2020, 259, 120387. [Google Scholar] [CrossRef]
- Cassese, P.; Balestrieri, C.; Fenu, L.G.; Asprone, D.; Parisi, F. In-plane shear behaviour of adobe masonry wallets strengthened with textile reinforced mortar. Constr. Build. Mater. 2021, 306, 124832. [Google Scholar] [CrossRef]
- Castori, G.; Corradi, M.; Sperazini, E. Full size testing and detailed micro-modeling of the in-plane behavior of FRCM–reinforced masonry. Constr. Build. Mater. 2021, 299, 124276. [Google Scholar] [CrossRef]
- Borri, A.; Castori, G.; Corradi, M. Shear behaviour of masonry panels strengthened by high strength steel cords. Constr. Build. Mater. 2011, 25, 494–503. [Google Scholar] [CrossRef]
- Del Zoppo, M.; Ludovico, M.D.; Prota, A. Analysis of FRCM and CRM parameters for the in-plane shear strengthening of different URM types. Compos. Part B Eng. 2019, 171, 20–33. [Google Scholar] [CrossRef]
- Shojaei, B.; Najafi, M.; Yazdanbakhsh, A.; Abtahi, M.; Zhang, C.W. A review on the applications of polyurea in the construction industry. Polym. Adv. Technol. 2021, 32, 2797–2812. [Google Scholar] [CrossRef]
- Hrynyk, T.D.; Myers, J.J. Out-of-Plane Behavior of URM Arching Walls with Modern Blast Retrofits: Experimental Results and Analytical Model. J. Struct. Eng. 2008, 134, 1589–1597. [Google Scholar] [CrossRef]
- Cuong, N.H.; Shin, J.K.; Kim, J.H.; Luat, N.V.; Lee, K. Compressive and shear behavior of brick masonry assemblages strengthened with polyurea coating: Experiment and DEM investigations. Constr. Build. Mater. 2022, 348, 128534. [Google Scholar] [CrossRef]
- Zhu, H.; Wang, X.; Wang, Y.; Ji, C.; Wu, G.; Zhang, L.; Han, Z. Damage behavior and assessment of polyurea sprayed reinforced clay brick masonry walls subjected to close-in blast loads. Int. J. Impact Eng. 2022, 167, 104283. [Google Scholar] [CrossRef]
- Triantafillou, T.C. Strengthening of Masonry Structures using Epoxy-bonded FRP Laminates. J. Compos. Constr. 1998, 2, 96–104. [Google Scholar] [CrossRef]
- Prota, A.; Manfredi, G.; Nardone, F. Assessment of Design Formulas for In-Plane FRP Strengthening of Masonry Walls. J. Compos. Constr. 2008, 12, 643–649. [Google Scholar] [CrossRef]
- D’Ambra, C.; Lignola, G.P.; Prota, A. Simple method to evaluate FRCM strengthening effects on in-plane shear capacity of masonry walls. Constr. Build. Mater. 2021, 268, 121125. [Google Scholar] [CrossRef]
- Meriggi, P.; Santis, S.D.; Fares, S.; Felice, G.D. Design of the shear strengthening of masonry walls with fabric reinforced cementitious matrix. Constr. Build. Mater. 2021, 279, 122452. [Google Scholar] [CrossRef]
- American Concrete Institute (ACI). Guide to Design and Construction of Externally Bonded Fiber-Reinforced Cementitious Matrix (FRCM) and Steel-Reinforced Grout (SRG) Systems for Repair and Strengthening Masonry Structures; ACI 549.6R; ACI: Farmington Hills, MI, USA, 2020. [Google Scholar]
- CNR-DT 200 R1/2012; Guide for the Design and Construction of Externally Bonded FRP Systems for Strengthening Existing Structures. Italian National Research Council: Rome, Italy, 2013.
- GB50608-2020; Technical Code for Infrastructure Application of FRP Composites. Ministry of Housing and Urban-Rural Development of the People’s Republic of China: Beijing, China, 2020. (In Chinese)
- Petersen, R.B.; Masia, M.J.; Seracino, R. In-Plane Shear Behavior of Masonry Panels Strengthened with NSM CFRP Strips. I: Experimental Investigation. J. Compos. Constr. 2010, 14, 754–763. [Google Scholar] [CrossRef]
- Konthesingha, K.M.C.; Masia, M.J.; Petersen, R.B.; Page, A.W. Experimental evaluation of static cyclic in-plane shear behavior of unreinforced masonry walls strengthened with NSM FRP strips. J. Compos Constr. 2015, 19, 04014055. [Google Scholar] [CrossRef]
- Wang, X.; Lam, C.C.; Iu, V.P. Experimental investigation of in-plane shear behaviour of grey clay brick masonry panels strengthened with SRG. Eng. Struct. 2018, 162, 84–96. [Google Scholar] [CrossRef]
- Kaluza, M. Experimental Analysis of Surface Application of Fiber-Reinforced Polymer Composite on Shear Behavior of Masonry Walls Made of Autoclaved Concrete Block. Buildings 2022, 12, 2208. [Google Scholar] [CrossRef]
- Donnini, J.; Corinaldesi, V. Mechanical characterization of different FRCM systems for structural reinforcement. Constr. Build. Mater. 2017, 145, 565–575. [Google Scholar] [CrossRef]
- del Felice, G.; D’Antino, T.; Santis, S.D.; Meriggi, P.; Roscini, F. Lessons Learned on the Tensile and Bond Behavior of Fabric Reinforced Cementitious Matrix (FRCM). Compos. Front. Built Environ. 2020, 6, 5. [Google Scholar] [CrossRef]
- Silva, P.F.; Yu, P.; Nanni, A. Monte Carlo Simulation of Shear Capacity of URM Walls Retrofitted by Polyurea Reinforced GFRP Grids. J. Compos. Constr. 2008, 12, 405–415. [Google Scholar] [CrossRef]
- ACI 440.7R-10; Guide for the Design and Construction of Externally Bonded Fiber-Reinforced Polymer Systems for Strengthening Unreinforced Masonry Structures. American Concrete Institute: Farmington Hills, MI, USA, 2010.
- ASTM C270-07; Standard Specification for Mortar for Unit Masonry. ASTM International: West Conshohocken, PA, USA, 2007.
- Yu, P.Y.; Silva, P.F.; Nanni, A. Flexural Strengthening of RC Beams using GFRP Grid Bonded with Sprayed Polyurea. Eng. Struct. 2023, 292, 116516. [Google Scholar] [CrossRef]
- ASTM D3039/D3039M; Standard Test Method for Tensile Properties of Polymer Matrix Composite Materials. ASTM International: West Conshohocken, PA, USA, 2014.
- ASTM C1314; Standard Test Method for Compressive Strength of Masonry Prisms. ASTM International: West Conshohocken, PA, USA, 2010.
- ASTM C109/C109M; Standard Test Method for Compressive Strength of Hydraulic Cement Mortar (Using 2-in. or [50 mm] Cube Specimens). ASTM International: West Conshohocken, PA, USA, 2016.
- ASTM E519-10; Standard Test Method for Diagonal Tension (Shear) in Masonry Assemblages. ASTM International: West Conshohocken, PA, USA, 2010.
- Li, T.; Galati, N.; Tumialan, J.G.; Nanni, A. Analysis of Unreinforced Masonry Concrete Walls Strengthened with Glass Fiber Reinforced Polymer Bars. ACI Struct. J. 2005, 102, 569. [Google Scholar]
- De Carvalho Bello, C.B.; Cecchi, A.; Meroi, E.; Oliveira, D.V. Experimental and Numerical Investigations on the Behaviour of Masonry Walls Reinforced with an Innovative Sisal FRCM System. Key Eng. Mater. 2017, 747, 190–195. [Google Scholar] [CrossRef]
- Jing, J.J.; Zhou, C.D.; Zhang, C.; Li, T. In-plane cyclic behavior of brick walls strengthened with CFRP plates embedded in the horizontal mortar joint. J. Build. Eng. 2023, 63, 105476. [Google Scholar] [CrossRef]
- Babaeidarabad, S.; Arboleda, D.; Loreto, G.; Nanni, A. Shear strengthening of un-reinforced concrete masonry walls with fibric-reinforced-cementitious-matrix. Constr. Build. Mater. 2014, 65, 243–253. [Google Scholar] [CrossRef]
- Parisi, F.; Iovinella, I.; Balsamo, A.; Augenti, N.; Prota, A. In-plane behavior of tuff masonry strengthened with inorganic matrix–grid composites. Compos. Part B Eng. 2013, 45, 1657–1666. [Google Scholar] [CrossRef]
- Prota, A.; Marcari, G.; Fabbrocino, G.; Manfredi, G.; Aldea, C. Experimental in-plane behavior of tuff masonry strengthened with cementitious matrix-grid composites. J. Compos. Constr. 2006, 10, 223–233. [Google Scholar] [CrossRef]
- Alecci, V.; Barducci, S.; D’Ambrisi, A.; De Stefano, M.; Focacci, F.; Luciano, R.; Penna, R. Shear capacity of masonry panels repaired with composite materials: Experimental and analytical investigations. Compos. Part B Eng. 2019, 171, 61–69. [Google Scholar] [CrossRef]
- Ferretti, F.; Mazzotti, C. FRCM/SRG strengthened masonry in diagonal compression: Experimental results and analytical approach proposal. Constr. Build. Mater. 2021, 283, 122766. [Google Scholar] [CrossRef]
- Valluzzi, M.R.; Tinazzi, D.; Modena, C. Shear behavior of masonry panels strengthened by FRP laminates. Constr. Build. Mater. 2002, 16, 409–416. [Google Scholar] [CrossRef]
- Choi, Y.C.; Choi, H.K.; Lee, D.; Choi, C.S. Shear Strength of Unreinforced Masonry Wall Retrofitted with Fiber Reinforced Polymer and Hybrid Sheet. Int. J. Polym. Sci. 2015, 2015, 863057. [Google Scholar] [CrossRef]
- Ceroni, F.; Salzano, P. Design provisions for FRCM systems bonded to concrete and masonry elements. Compos. Part B Eng. 2018, 143, 230–242. [Google Scholar] [CrossRef]
- Tumialan, G.; Morbin, A.; Nanni, A.; Medena, C. Shear strength of Masonry Walls with FRP Composites. In COMPOSITES 2001 Convention and Trade Show; Composites Fabricators Association: Tampa, FL, USA, 2001; 6p. [Google Scholar]
- Yang, P.; Tian, W.; Qing, L. In-plane shear behavior of brick masonry walls strengthened with basalt textile-reinforced concrete. Constr. Build. Mater. 2023, 401, 132732. [Google Scholar] [CrossRef]
- Masonry Standards Joint Committee. Building Code Requirements for Masonry Structures (ACI 530-02/ASCE 5-02/TMS 402-02) and Related Commentaries; The Masonry Society, SEI of ASCE and American Concrete Institute: Farmington Hills, MI, USA, 2002; Available online: https://engineering.purdue.edu/~ramirez/CE479/FALL05/MasonryBuildingCode1-3-02.pdf (accessed on 24 January 2025).
- Calderini, C.; Cattari, S.; Lagomarsino, S. The use of the diagonal compression test to identify the shear mechanical parameters of masonry. Constr. Build. Mater. 2010, 24, 677–685. [Google Scholar] [CrossRef]
Disclaimer/Publisher’s Note: The statements, opinions and data contained in all publications are solely those of the individual author(s) and contributor(s) and not of MDPI and/or the editor(s). MDPI and/or the editor(s) disclaim responsibility for any injury to people or property resulting from any ideas, methods, instructions or products referred to in the content. |
© 2025 by the authors. Licensee MDPI, Basel, Switzerland. This article is an open access article distributed under the terms and conditions of the Creative Commons Attribution (CC BY) license (https://creativecommons.org/licenses/by/4.0/).








