Preliminary Broadband Dielectric Spectroscopy Insight into Compressed Orientationally Disordered Crystal-Forming Neopentyl Glycol (NPG)
Abstract
1. Introduction
2. Temperature-Related BDS Studies Under Atmospheric Pressure in Neopentyl Glycol
3. Materials and Methods
4. Results and Discussion
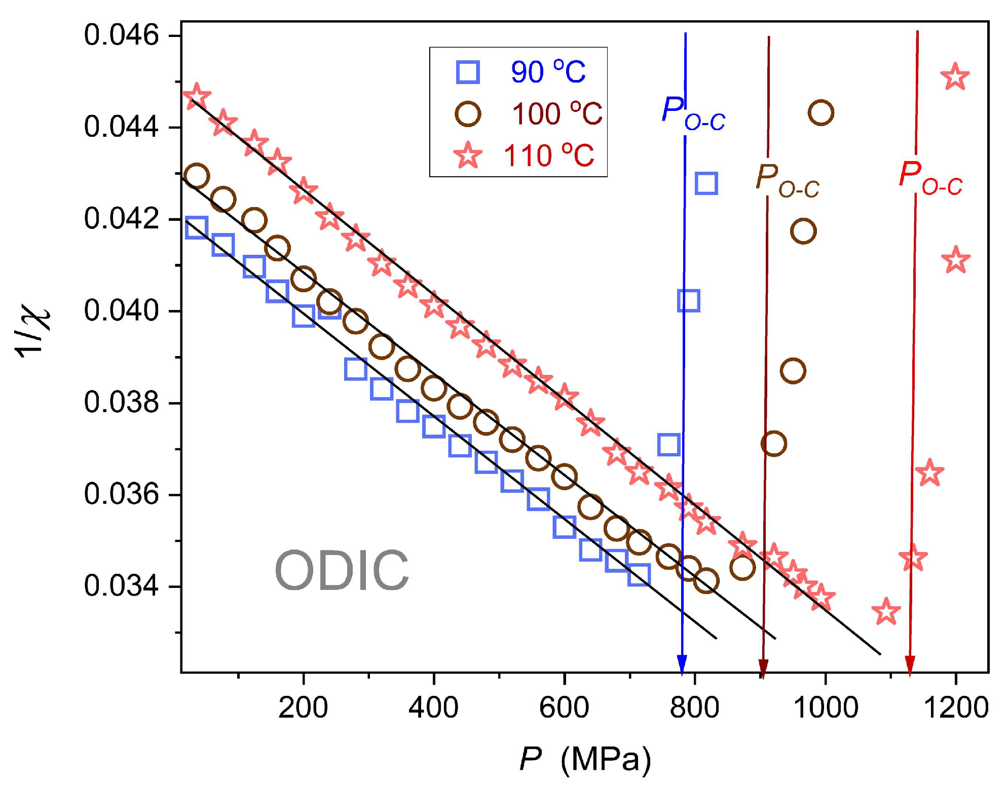
4.1. Real Part of Dielectric Permittivity, Moderate Pressure
4.2. Electric Conductivity, Moderate Pressure
4.3. Dielectric Loss Factor Changes
4.4. Dielectric Constant: Extreme Pressure Tests
4.5. DC Electric Conductivity: Extreme Pressure Test
4.6. Pressure Dependence of the ODIC–Crystal Discontinuous Phase Transition Temperature
5. Conclusions
Author Contributions
Funding
Institutional Review Board Statement
Informed Consent Statement
Data Availability Statement
Conflicts of Interest
References
- Samanta, C. NeoPentyl Glycol—A Unique Multi-Purpose Chemical; Petroleum Federation of India: New Delhi, India, 2016; pp. 23–28. [Google Scholar]
- Vest, K. Neopentyl Glycol (NPG) Market Analysis: Size, Share, Current Trends, Growth Factors, and Future Outlook 2024–2030. Available online: https://www.zionmarketresearch.com/sample/neopentyl-glycol-npg-market (accessed on 11 May 2024).
- Timmermans, J. Plastic crystals: A historical review. J. Phys. Chem. Solids 1961, 18, 1–8. [Google Scholar] [CrossRef]
- Tong, H.; Tan, P.; Xu, N. From crystals to disordered crystals: A hidden order-disorder transition. Sci. Rep. 2015, 5, 15378. [Google Scholar] [CrossRef] [PubMed]
- Das, S.; Mondal, A.; Reddy, C.M. Harnessing molecular rotations in plastic crystals: A holistic view for crystal engineering of adaptive soft materials. Chem. Soc. Rev. 2020, 49, 8878–8896. [Google Scholar] [CrossRef] [PubMed]
- Simonov, A.; Goodwin, A.L. Designing disorder into crystalline materials. Nat. Rev. Chem. 2020, 4, 657–673. [Google Scholar] [CrossRef]
- Takamizawa, S.; Kato, M. Elastic and plastic soft crystals with superelasticity, ferroelasticity, and superplasticity. In Soft Crystals; Kato, M., Ishii, K., Eds.; The Materials Research Society Series; Springer: Singapore, 2023. [Google Scholar]
- Strässle, T.; Furrer, A.; Müller, K.A. Cooling by adiabatic application of pressure—The barocaloric effect. Physica B Cond. Matt. 2000, 276–278, 944–945. [Google Scholar] [CrossRef]
- Lloveras, P.; Aznar, A.; Barrio, M.; Negrier, P.; Popescu, C.; Planes, A.; Mañosa, L.; Stern-Taulats, E.; Avramenko, A.; Mathur, N.D.; et al. Colossal barocaloric effects near room temperature in plastic crystals of neopentylglycol. Nat. Commun. 2019, 10, 1803. [Google Scholar] [CrossRef]
- Li, B.; Kawakita, Y.; Ohira-Kawamura, S.; Sugahara, T.; Wang, H.; Wang, J.; Chen, Y.; Kawaguchi, S.I.; Kawaguchi, S.; Ohara, K.; et al. Colossal barocaloric effects in plastic crystals. Nature 2019, 567, 506–510. [Google Scholar] [CrossRef]
- Li, F.B.; Li, M.; Xu, X.; Yang, Z.C.; Xu, H.; Jia, C.K.; Li, K.; He, J.; Li, B.; Wang, H. Understanding colossal barocaloric effects in plastic crystals. Nat. Commun. 2020, 11, 4190. [Google Scholar] [CrossRef]
- Li, F.; Li, M.; Niu, C.; Wang, H. Atomic-scale insights into the colossal barocaloric effects of neopentyl glycol plastic crystals. Appl. Phys. Lett. 2022, 120, 073902. [Google Scholar] [CrossRef]
- Zhang, Z.; Chen, Y.-N.; Qi, J.; Zhang, Z.; Ohara, K.; Sakata, O.; Zhang, Z.-D.; Li, B. High-energy x-ray diffraction study on phase transition asymmetry of plastic crystal neopentylglycol. Chin. Phys. B 2022, 31, 036802. [Google Scholar] [CrossRef]
- Dai, Z.; She, X.; Wang, C.; Ding, Y.; Zhang, X.; Zhao, D. Thermodynamic analysis on the performance of barocaloric refrigeration systems using neopentyl glycol as the refrigerant. J. Therm. Sci. 2023, 32, 1063–1073. [Google Scholar] [CrossRef]
- Rietveld, I.B. Solid-solid phase transitions between crystalline polymorphs of organic materials. Curr. Pharm. Des. 2023, 29, 445–461. [Google Scholar] [CrossRef] [PubMed]
- de Oliveira, N.A. Barocaloric effect in neopentylglycol plastic crystal: A theoretical study. Acta Mater. 2023, 246, 118657. [Google Scholar] [CrossRef]
- Moya, X.; Mathur, N.D. A hot future for cool materials. Front. Energy 2023, 17, 447–449. [Google Scholar] [CrossRef]
- Cirillo, L.; Greco, A.; Masselli, C. The Application of barocaloric solid-state cooling in the cold food chain for carbon footprint reduction. Energies 2023, 16, 6436. [Google Scholar] [CrossRef]
- Rendell-Bhatti, F.; Boldrin, D.; Dilshad, M.; Moya, X.; MacLaren, D.A. Understanding variations of thermal hysteresis in barocaloric plastic crystal neopentyl glycol using correlative microscopy and calorimetry. J. Phys. Energy 2024, 6, 025020. [Google Scholar] [CrossRef]
- Dai, Z.; She, X.; Wang, C.; Ding, Y.; Li, Y.; Zhang, X.; Zhao, D. Dynamic simulation and performance analysis of a solid-state barocaloric refrigeration system. Energy 2024, 294, 130800. [Google Scholar] [CrossRef]
- Qian, K.; Lin, S.; Zhang, Z.; Li, B.; Peng, Y.; Li, Y.; Zhao, C. Highly efficient mechanocaloric cooling using colossal barocaloric plastic crystals. Cell Rep. Phys. Sci. 2024, 5, 101981. [Google Scholar] [CrossRef]
- Marin-Delado, R.; Moya, X.; Guzman-Verri, G.G. Landau theory of barocaloric plastic crystals. J. Phys. Energy 2024, 6, 035003. [Google Scholar] [CrossRef]
- Ahčin, Ž.; Kitanovski, A.; Tušek, J. Latent thermal energy storage using solid-state phase transformation in caloric materials. Cell Rep. Phys. Sci. 2024, 9, 102175. [Google Scholar] [CrossRef]
- Somodi, C.B.; McCormick, K.; Tabor, D.P.; Pentzer, E.; Shamberger, P.J. Phase-change materials and their applications. J. Appl. Phys. 2024, 135, 145101. [Google Scholar] [CrossRef]
- Xu, X.; Xie, W.; Li, F.; Niu, C.; Li, M.; Wang, H. General approach for efficient prediction of refrigeration performance in caloric materials. Phys. Rev. Appl. 2024, 22, 014036. [Google Scholar] [CrossRef]
- Qian, S.; Takeuchi, I. Sizing up caloric devices. Science 2024, 385, 6708. [Google Scholar] [CrossRef] [PubMed]
- Zhang, K.; Wang, X.; Li, H.; Zhao, X.; Zhang, G.; Tan, C.; Wang, Y.; Li, B. Large thermal hysteresis enabled caloric batteries. Appl. Energy 2025, 377, 124408. [Google Scholar]
- Skripov, V.P.; Faizulin, M.Z. Crystal-Liquid-Gas Phase Transitions and Thermodynamic Similarity; Wiley-VCH: Berlin, Germany, 2006. [Google Scholar]
- Riegler, H.; Köhler, R. How pre-melting on surrounding interfaces broadens solid–liquid phase transitions. Nat. Phys. 2007, 3, 890–894. [Google Scholar] [CrossRef]
- Lawson, A.C. Physics of the Lindemann rule. Philos. Mag. 2009, 89, 1757–1770. [Google Scholar] [CrossRef]
- Mei, Q.S.; Lu, K. Melting and superheating of crystalline solids: From bulk to nanocrystals. Prog. Mater. Sci. 2007, 5, 1175–1262. [Google Scholar] [CrossRef]
- Samanta, A.H.; Tuckerman, M.E.; Yu, T.-Q.; Ee, W. Microscopic mechanisms of equilibrium melting of a solid. Science 2014, 345, 729–732. [Google Scholar] [CrossRef]
- de With, G. Melting is well-known, but is it also well-understood? Chem. Rev. 2023, 123, 13713–13795. [Google Scholar] [CrossRef]
- Wilson, K.G. The Renormalization Group and Critical Phenomena. Nobel Prize Lecture. Available online: https://www.nobelprize.org/prizes/physics/1982/wilson/lecture/ (accessed on 4 June 2024).
- Anisimov, M.A. Critical Phenomena in Liquid and Liquid Crystals; Gordon and Breach Science Publishers: Philadelphia, PA, USA, 1991. [Google Scholar]
- Stanley, H.E. Introduction to Phase Transitions and Critical Phenomena; Oxford University Press: New York, NY, USA, 1992. [Google Scholar]
- Honig, J.; Spalek, J. A Primer to the Theory of Critical Phenomena; Elsevier: Amsterdam, The Netherlands, 2018. [Google Scholar]
- Kalabiński, J.; Drozd-Rzoska, A.; Rzoska, S.J. Giant premelting effects for solid-liquid discontinuous transition in nitrobenzene under compression. Crystals 2023, 13, 247. [Google Scholar] [CrossRef]
- Łoś, A.J.; Drozd-Rzoska, S.J.; Rzoska, S.; Starzonek, K.; Czupryński, P.; Mukherjee, P. Near-continuous isotropic—Nematic transition in compressed rod-like liquid crystal based nanocolloid. J. Mol. Liq. 2023, 382, 121884. [Google Scholar] [CrossRef]
- Drozd-Rzoska, A.; Rzoska, S.J.; Łoś, J. Supercriticality, glassy dynamics, and the new insight into melting/freezing discontinuous transition in linseed oil. Biophysica 2024, 4, 34–57. [Google Scholar] [CrossRef]
- Kalabiński, J.; Drozd-Rzoska, A.; Starzonek, S.; Rzoska, S.J. Precritical and giant post-freezing and premelting effects for dielectric properties in binary mixture of limited miscibility. Crystals 2024, 14, 612. [Google Scholar] [CrossRef]
- Kremer, F.; Schoenhals, A. Broadband Dielectric Spectroscopy; Springer: Berlin/Heidelberg, Germany, 2002. [Google Scholar]
- Drozd-Rzoska, A.; Kalabiński, J.; Rzoska, S.J. Critical model-insight into broadband dielectric properties of neopentyl glycol (NPG). Materials 2024, 17, 4144. [Google Scholar] [CrossRef]
- Burns, J. Linear dielectric thermodynamics: A new universal law for optical, dielectric constants. J. Am. Ceram. Soc. 2021, 104, 2087–2101. [Google Scholar] [CrossRef]
- Zheng, M.; Escorihuela-Sayalero, C.; Ikeshoji, T.; Takagi, S.; Kim, S.; Orimo, S.-I.; Barrion, M.; Tamarit, J.L.; Lloveras, P.; Cazaorl, C.; et al. Colossal Reversible Barocaloric Effects in a Plastic Crystal Mediated by Lattice Vibrations and Ion Diffusion. Adv. Sci. 2024, 11, 2306488. [Google Scholar] [CrossRef]
- Boldrin, D. Fantastic barocalorics and where to find them. Appl. Phys. Lett. 2021, 118, 170502. [Google Scholar] [CrossRef]
- Kennedy, D.; Norman, C. What don’t we know. Science’s 125 Open Questions; in 125th anniversary Science 1st July special issue. Science 2005, 309, 75. [Google Scholar] [CrossRef]
- Berthier, L.; Ediger, M. Facets of the glass transition. Phys. Today 2016, 69, 40–44. [Google Scholar] [CrossRef]
- Berthier, L.; Reichman, D.R. Modern computational studies of the glass transition. Nat. Rev. Phys. 2023, 5, 102–116. [Google Scholar] [CrossRef]
- Drozd-Rzoska, A.; Rzoska, S.J.; Starzonek, S. New scaling paradigm for dynamics in glass-forming systems. Prog. Mater. Sci. 2023, 134, 101074. [Google Scholar] [CrossRef]
- Gavazzoni, C.; Brito, C.; Wyart, M. Testing theories of the glass transition with the same liquid but many kinetic rules. Phys. Rev. Lett. 2024, 132, 248201. [Google Scholar] [CrossRef] [PubMed]
- Drozd-Rzoska, A.; Rzoska, S.J.; Pawlus, S.; Tamarit, J.L. Dynamic crossover and the dynamic scaling description in vitrifying of orientationally disordered crystal. Phys. Rev. B 2006, 73, 224205. [Google Scholar] [CrossRef]
- Drozd-Rzoska, A.; Rzoska, S.J.; Pawlus, S.; Tamarit, J.L. Dielectric relaxation in compressed glassy and orientationally disordered mixed crystal. Phys. Rev. B 2006, 74, 064201. [Google Scholar] [CrossRef]
- Tamarit, J.L.; Perez-Jubindoz, M.A.; de la Fuentez, M.R. Dielectric studies on orientationally disordered phases of neopentylglycol ((CH3/2C(CH2OH)2) and tris(hydroxymethyl aminomethane) ((NH2)C(CH2OH)3). J. Phys. Condens. Matter 1997, 9, 5469–5478. [Google Scholar] [CrossRef]
- Tamarit, J.L.; Lopez, D.O.; de la Fuente, M.R.; Perez-Jubindo, M.A.; Salud, J.; Barrio, M. Relaxation dynamics in orientationally disordered molecular mixed crystal [(CH3)3CCH2OH]0.7[(CH3)2C(CH2OH)2]0.3. J. Phys. Condens. Matter 2000, 12, 8209–8220. [Google Scholar] [CrossRef]
- Romanini, M. Relaxation Dynamics in Disordered Systems. Ph.D. Thesis, Universat Polytecnica de Catalunya, Barcelona, Spain, 2015. [Google Scholar]
- Drozd-Rzoska, A.; Rzoska, S.J.; Pawlus, S.; Martinez-Garcia, J.C.; Tamarit, J.-L. Evidence for critical-like behavior in ultraslowing glass-forming systems. Phys. Rev. E 2010, 82, 031501. [Google Scholar] [CrossRef]
- Pan, H.; Luo, J.; Li, B.; Wübbenhorst, M. Phase-dependent dielectric properties and proton conduction of neopentyl glycol. RSC Adv. 2021, 11, 23228. [Google Scholar] [CrossRef]
- von Hippel, A. Dielectrics and Waves; Artech House: New York, NY, USA, 1954. [Google Scholar]
- Böttcher, C.J.F. Theory of Electric Polarization; Elsevier: Amsterdam, The Netherlands, 1973. [Google Scholar]
- Chełkowski, A. Dielectric Physics; PWN-Elsevier: Warsaw, Poland, 1990. [Google Scholar]
- Kornyushin, Y. The Clausius–Mossotti approximation in the theory of polar materials. Ceram. Intern. 2003, 29, 333–345. [Google Scholar] [CrossRef]
- Sagadevan, S.; Sundaram, A.S. A brief review of the relevant dielectric theories of solids. Lat. Am. J. Phys. Educ. 2014, 8, 397–406. [Google Scholar]
- Raju, G.G. Dielectric in Electric Field; CRC Press: Boca Raton, FL, USA, 2018. [Google Scholar]
- Drozd-Rzoska, A. Universal behavior of the apparent fragility in ultraslow glass forming systems. Sci. Rep. 2019, 9, 6816. [Google Scholar] [CrossRef]
- Drozd-Rzoska, A.; Rzoska, S.J.; Szpakiewicz-Szatan, A.; Starzonek, S.; Łoś, J.; Orzechowski, K. Supercritical anomalies in liquid ODIC-forming cyclooctanol under the strong electric field. J. Mol. Liq. 2022, 345, 1178491. [Google Scholar] [CrossRef]
- Hirshfeld, A.W. The Electric Life of Michel Faraday; Raincoast Books: Vancouver, BC, Canada, 2006. [Google Scholar]
- Bauer, T.H.; Köhler, M.; Lunkenheimer, P.; Loidl, A.; Angell, C.A. Relaxation dynamics and ionic conductivity in a fragile plastic crystal. J. Chem. Phys. 2010, 133, 144509. [Google Scholar] [CrossRef]
- Tomylko, S.; Yaroshchuk, O.; Kovalchuk, O.; Maschke, U.; Yamaguchi, R. Dielectric properties of nematic liquid crystal modified dielectric properties of nematic liquid crystal modified with diamond. Ukr. J. Phys. 2012, 57, 239–243. [Google Scholar] [CrossRef]
- Hwang, D.; Kim, D.Y.; Jo, S.M.; Armel, V.; MacFarlane, D.R.; Jang, S.-Y. Highly efficient plastic crystal ionic conductors for solid-state dye-sensitized solar cells. Sci. Rep. 2013, 3, 3520. [Google Scholar] [CrossRef]
- Ayeb, H.; Missaoui, T.; Mouhli, A.; Jomni, F.; Soltani, T. Dielectric spectroscopy study on the impact of magnetic and nonmagnetic nanoparticles dispersion on ionicbehavior in nematic liquid crystal. Phase Transit. 2021, 94, 37–46. [Google Scholar] [CrossRef]
- Kumar, A.; Varshney, D.; Prakash, J. Role of ionic contribution in dielectric behaviour of a nematic liquid crystal with variable cell thickness. J. Mol. Liq. 2020, 303, 112520. [Google Scholar] [CrossRef]
- Lin, F.C.; Po-Chang, W.; Jian, B.R.; Lee, W. Dopant effect and cell-configuration-dependent dielectric properties of nematic liquid crystals. Adv. Condens. Matter Phys. 2013, 1, 5. [Google Scholar] [CrossRef]
- Garbovskiy, Y. Conventional and unconventional ionic phenomena in tunable soft materials made of liquid crystals and nanoparticles. Nano Express 2021, 2, 012004. [Google Scholar] [CrossRef]
- Yoshizawa-Fujita, M.; Nakazawa, M.; Takeoka, Y.; Rikukawa, M. Phase transitions and ionic conductivity of ionic plastic crystals based on pyrrolidinium cations and dihydrogen phosphate anion. J. Non Cryst. Solids X 2022, 13, 100078. [Google Scholar] [CrossRef]
- Barus, C. Isothermals, isopiestic and isometrics relative to viscosity. Am. J. Sci. 1893, 45, 87–96. [Google Scholar] [CrossRef]
- Drozd-Rzoska, A. Activation volume in superpressed glass-formers. Sci. Rep. 2019, 9, 13787. [Google Scholar] [CrossRef] [PubMed]
- Hill, R. Characterisation of dielectric loss in solids and liquids. Nature 1978, 275, 96–99. [Google Scholar] [CrossRef]
- Kim, T.; Yong, H.; Kim, B.; Kim, D.; Choi, D.; Park, Y.T.; Lee, S. Energy-loss return gate via liquid dielectric polarization. Nat. Commun. 2018, 9, 1437. [Google Scholar] [CrossRef]
- Morsalin, S.; Phung, T.B.; Danikas, M.; Mawad, D. Diagnostic challenges in dielectric loss assessment and interpretation: A review. IET Sci. Meas. Technol. 2019, 13, 767–782. [Google Scholar] [CrossRef]
- Paluch, M.; Casalini, R.; Best, A.; Patkowski, A. Volume effects on the molecular mobility close to glass transition in supercooled phenylphthalein-dimethylether. J. Chem. Phys. B 2002, 117, 7624–7630. [Google Scholar] [CrossRef]
- Pawlus, S.; Casalini, R.; Roland, C.M.; Paluch, M.; Rzoska, S.J.; Ziolo, J. Temperature and volume effects on the change of dynamics in propylene carbonate. Phys. Rev. E 2004, 70, 061501. [Google Scholar] [CrossRef]
- Kriegs, H.; Gapinski, J.; Meier, G.; Paluch, M.; Pawlus, S.; Patkowski, A. Pressure effects on the alpha and alpha’ relaxations in polymethylphenylsiloxane. J. Chem. Phys. 2006, 124, 104901. [Google Scholar] [CrossRef]
- Pawlus, S.; Mierzwa, M.; Paluch, M.; Rzoska, S.J.; Roland, C.M. Dielectric and mechanical relaxation in isooctylcyanobiphenyl (8*OCB). J. Phys. Condens. Matt. 2010, 22, 235101. [Google Scholar] [CrossRef]
- Grzybowski, A.; Koperwas, K.; Swiety-Pospiech, A.; Grzybowska, K.; Paluch, M. Activation volume in the density scaling regime:equation of state and its test by using experimental and simulation data. Phys. Rev. B 2013, 87, 054105. [Google Scholar] [CrossRef]
- Paluch, M.; Masiewicz, E.; Grzybowski, A.; Pawlus, S.; Pionteck, M.; Wojnarowska, Z. General rules prospected for the liquid fragility in various material groups and different thermodynamic conditions. J. Chem. Phys. 2014, 141, 13450. [Google Scholar] [CrossRef] [PubMed]
- Panagos, P.; Floudas, G. Dynamics of poly (propyl methacrylate) as a function of temperature and pressure. J. Non Cryst. Solids 2015, 407, 184–189. [Google Scholar] [CrossRef]
- Grzybowski, A.S.; Urban, S.; Mróz, S.; Paluch, M. Activation volume of selected liquid crystals in the density scaling regime. Sci. Rep. 2017, 7, 42174. [Google Scholar] [CrossRef]
- Santamaría, A.; Boix, M.; Conde, J.I.; Pascual, B. PVC/PBA random copolymers obtained by SET–DTLRP: Pressure effect on glass transition, rheology, and processing. J. Vinyl. Add. Technol. 2018, 25, 78–84. [Google Scholar]
- Jesionek, P.; Włodarczyk, P.; Heczko, M.; Kamiński, K.; Kamińśka, E. Variation of activation volume as an indicator of the difference in clusterization phenomenon induced by H-bonding and F−Π stacking interactions in enantiomers and a racemate of flurbiprofen. J. Phys. Chem. B 2024, 128, 4021–4032. [Google Scholar] [CrossRef]
- Simon, F.E.; Glatzel, G. Bemerkungen zur Schmelzdruck kurve. Z. Anorg. Allg. Chem. 1929, 178, 309. [Google Scholar] [CrossRef]













Disclaimer/Publisher’s Note: The statements, opinions and data contained in all publications are solely those of the individual author(s) and contributor(s) and not of MDPI and/or the editor(s). MDPI and/or the editor(s) disclaim responsibility for any injury to people or property resulting from any ideas, methods, instructions or products referred to in the content. |
© 2025 by the authors. Licensee MDPI, Basel, Switzerland. This article is an open access article distributed under the terms and conditions of the Creative Commons Attribution (CC BY) license (https://creativecommons.org/licenses/by/4.0/).
Share and Cite
Drozd-Rzoska, A.; Kalabiński, J.; Rzoska, S.J. Preliminary Broadband Dielectric Spectroscopy Insight into Compressed Orientationally Disordered Crystal-Forming Neopentyl Glycol (NPG). Materials 2025, 18, 635. https://doi.org/10.3390/ma18030635
Drozd-Rzoska A, Kalabiński J, Rzoska SJ. Preliminary Broadband Dielectric Spectroscopy Insight into Compressed Orientationally Disordered Crystal-Forming Neopentyl Glycol (NPG). Materials. 2025; 18(3):635. https://doi.org/10.3390/ma18030635
Chicago/Turabian StyleDrozd-Rzoska, Aleksandra, Jakub Kalabiński, and Sylwester J. Rzoska. 2025. "Preliminary Broadband Dielectric Spectroscopy Insight into Compressed Orientationally Disordered Crystal-Forming Neopentyl Glycol (NPG)" Materials 18, no. 3: 635. https://doi.org/10.3390/ma18030635
APA StyleDrozd-Rzoska, A., Kalabiński, J., & Rzoska, S. J. (2025). Preliminary Broadband Dielectric Spectroscopy Insight into Compressed Orientationally Disordered Crystal-Forming Neopentyl Glycol (NPG). Materials, 18(3), 635. https://doi.org/10.3390/ma18030635

