Sign in to use this feature.

Years

Between: -

Subjects

remove_circle_outline
remove_circle_outline
remove_circle_outline
remove_circle_outline

Journals

Article Types

Countries / Regions

Search Results (6)

Search Parameters:
Keywords = orientationally disordered crystals

Order results
Result details
Results per page
Select all
Export citation of selected articles as:
23 pages, 5986 KB  
Article
Partially Disordered Crystal Phases and Glassy Smectic Phases in Liquid Crystal Mixtures
by Aleksandra Deptuch, Anna Drzewicz, Magdalena Urbańska and Ewa Juszyńska-Gałązka
Materials 2025, 18(13), 3085; https://doi.org/10.3390/ma18133085 - 29 Jun 2025
Viewed by 742
Abstract
Three liquid crystalline mixtures were investigated, consisting of compounds abbreviated as MHPOBC and 3F5FPhF6 with molar ratios 0.9:0.1 (MIX5FF6-1), 0.75:0.25 (MIX5FF6-2), and 0.5:0.5 (MIX5FF6-3). The presence of the smectic A*, smectic C*, and smectic CA* phases was observed in all mixtures. [...] Read more.
Three liquid crystalline mixtures were investigated, consisting of compounds abbreviated as MHPOBC and 3F5FPhF6 with molar ratios 0.9:0.1 (MIX5FF6-1), 0.75:0.25 (MIX5FF6-2), and 0.5:0.5 (MIX5FF6-3). The presence of the smectic A*, smectic C*, and smectic CA* phases was observed in all mixtures. The hexatic smectic XA* phase, present in pure MHPOBC, disappeared quickly with an increasing admixture of 3F5FPhF6. Vitrification of smectic CA* was observed for the equimolar mixture, with the glass transition temperature and fragility index comparable to the pure glassforming 3F5FPhF6 component. Partial crystallization to conformationally or orientationally disordered crystal phases was observed on cooling in two mixtures with a smaller fraction of 3F5FPhF6. Broadband dielectric spectroscopy was applied to study the relaxation times in smectic and crystal phases. Vogel–Fulcher–Tammann, Mauro–Yue–Ellison–Gupta–Allan, and critical-like models were applied for analysis of the α-relaxation time in supercooled smectic XA* and smectic CA* phases. Full article
(This article belongs to the Special Issue Structural and Physical Properties of Liquid Crystals)
Show Figures

Graphical abstract

20 pages, 12087 KB  
Article
Preliminary Broadband Dielectric Spectroscopy Insight into Compressed Orientationally Disordered Crystal-Forming Neopentyl Glycol (NPG)
by Aleksandra Drozd-Rzoska, Jakub Kalabiński and Sylwester J. Rzoska
Materials 2025, 18(3), 635; https://doi.org/10.3390/ma18030635 - 31 Jan 2025
Cited by 2 | Viewed by 1437
Abstract
This report presents the first results on broadband dielectric spectroscopy insights into ODIC-forming neopentyl glycol (NPG) under compression up to the GPa domain. Particular attention was paid to the strongly discontinuous phase transition: orientationally disordered crystal (ODIC)–solid crystal. The insights cover static, dynamic, [...] Read more.
This report presents the first results on broadband dielectric spectroscopy insights into ODIC-forming neopentyl glycol (NPG) under compression up to the GPa domain. Particular attention was paid to the strongly discontinuous phase transition: orientationally disordered crystal (ODIC)–solid crystal. The insights cover static, dynamic, and energy-related properties, namely evolutions of the dielectric constant, DC electric conductivity, and dissipation factor. Worth stressing are results regarding the pressure-related Mossotti catastrophe-type behavior of the dielectric constant, the novel approach to non-Barus dynamics, and the discussion on fundamentals of dissipation factor changes in NPG. The results presented in the given report also introduce new experimental evidence and model discussions regarding the nature of ODIC mesophase and discontinuous phase transitions. Notable is the significance of understanding the nature of the colossal barocaloric effect in NPG. Full article
(This article belongs to the Special Issue Advances in Electronic and Photonic Materials)
Show Figures

Figure 1

20 pages, 6496 KB  
Article
Critical Model Insight into Broadband Dielectric Properties of Neopentyl Glycol (NPG)
by Aleksandra Drozd-Rzoska, Jakub Kalabiński and Sylwester J. Rzoska
Materials 2024, 17(16), 4144; https://doi.org/10.3390/ma17164144 - 21 Aug 2024
Cited by 5 | Viewed by 2314
Abstract
This report presents the low-frequency (LF), static, and dynamic dielectric properties of neopentyl glycol (NPG), an orientationally disordered crystal (ODIC)-forming material important for the barocaloric effect applications. High-resolution tests were carried out for 173K<T<440K, in liquid, [...] Read more.
This report presents the low-frequency (LF), static, and dynamic dielectric properties of neopentyl glycol (NPG), an orientationally disordered crystal (ODIC)-forming material important for the barocaloric effect applications. High-resolution tests were carried out for 173K<T<440K, in liquid, ODIC, and solid crystal phases. The support of the innovative distortion-sensitive analysis revealed a set of novel characterizations important for NPG and any ODIC-forming material. First, the dielectric constant in the liquid and ODIC phase follows the Mossotti Catastrophe-like pattern, linked to the Clausius–Mossotti local field. It challenges the heuristic paradigm forbidding such behavior for dipolar liquid dielectrics. For DC electric conductivity, the prevalence of the ‘critical and activated’ scaling relation is evidenced. It indicates that commonly applied VFT scaling might have only an effective parameterization meaning. The discussion of dielectric behavior in the low-frequency (LF) domain is worth stressing. It is significant for applications but hardly discussed due to the cognitive gap, making an analysis puzzling. For the contribution to the real part of dielectric permittivity in the LF domain, associated with translational processes, exponential changes in the liquid phase and hyperbolic changes in the ODIC phase are evidenced. The novelty also constitutes tgδ temperature dependence, related to energy dissipation. The results presented also reveal the strong postfreezing/pre-melting-type effects on the solid crystal side of the strongly discontinuous ODIC–solid crystal transition. So far, such a phenomenon has been observed only for the liquid–solid crystal melting transition. The discussion of a possible universal picture of the behavior in the liquid phase of liquid crystalline materials and in the liquid and ODIC phases of NPG is particularly worth stressing. Full article
Show Figures

Figure 1

14 pages, 4205 KB  
Article
Novel “Anti-Zeolite” Ba3Sr3B4O12: Eu3+ Phosphors: Crystal Structure, Optical Properties, and Photoluminescence
by Rimma S. Bubnova, Andrey P. Shablinskii, Alexey V. Povolotskiy, Olga Yu. Shorets, Valery L. Ugolkov, Sergey N. Volkov, Valentina A. Yukhno and Stanislav K. Filatov
Symmetry 2023, 15(7), 1399; https://doi.org/10.3390/sym15071399 - 11 Jul 2023
Cited by 2 | Viewed by 1655
Abstract
Novel Ba3Sr3B4O12: Eu3+ phosphors were synthesized by crystallization from a melt. The crystal structures of Ba3(Sr3−1.5xEux)B4O12 (x = 0.03, 0.06, 0.15, 0.20, 0.25) [...] Read more.
Novel Ba3Sr3B4O12: Eu3+ phosphors were synthesized by crystallization from a melt. The crystal structures of Ba3(Sr3−1.5xEux)B4O12 (x = 0.03, 0.06, 0.15, 0.20, 0.25) solid solutions were refined from SCXRD data. The crystal structures of Ba3(Sr3−1.5xEux)B4O12 phosphors can be described in terms of the cationic sublattice and belong to the “anti-zeolite” family of borates. Its cationic framework is constructed of Ba and Sr atoms. The Eu3+ ions occupy the Sr(1) extraframework cationic site in the Ba3(Sr3−1.5xEux)B4O12 (x = 0.01–0.20) phosphors. The Ba3Sr2.625Eu0.25B4O12 borate crystallizes in a new structure type (I4/mcm, a = 13.132(3), c = 14.633(4) Å, V = 2523.5(11) Å3, Z = 8, R1 = 0.067). In the Ba3Sr2.625Eu0.25B4O12 crystal structure, the Eu3+ ions occupy Sr(1) and Ba/Sr(1) sites, which leads to changes in the crystal structure. The Wyckoff letter and occupancy of the O(5) site are changed; B–O anion groups contain two BO3 triangles (B(3) and B(4)), orientationally disordered over the four orientations, and two ordered BO3 triangles (B(1) and B(2)) in contrast to Ba3Sr3B4O12, in which these groups are disordered over the 4 and 8 orientations. The emission spectra of Ba3Sr3B4O12: Eu3+ show characteristic lines corresponding to the intraconfigurational 4f-4f transitions of Eu3+ ions. Ba3Sr2.7Eu0.20B4O12 demonstrates the strongest luminescent intensity among Ba3(Sr3−1.5xEux)B4O12 solid solutions. The increase in the Eu3+ content results in a gradual change in chromaticity from light red to orange-red/red. It can be concluded that Ba3Sr3B4O12: Eu3+ is a promising red phosphor. Full article
(This article belongs to the Special Issue Symmetry in Inorganic Crystallography and Mineralogy)
Show Figures

Figure 1

13 pages, 678 KB  
Article
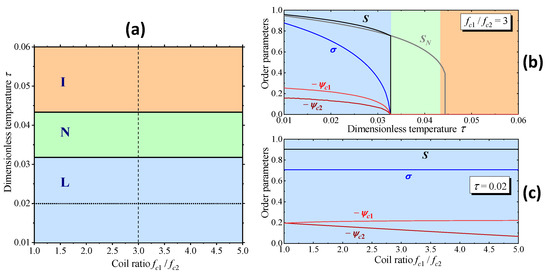
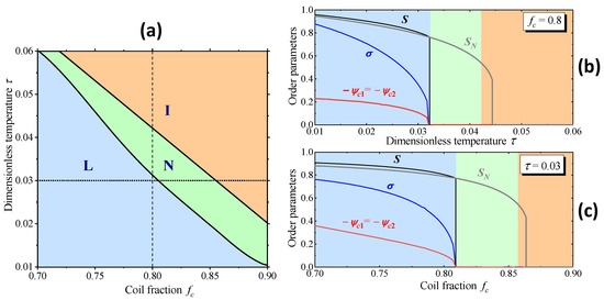
Different Mechanisms of Translational Symmetry Breaking in Liquid-Crystal Coil–Rod–Coil Triblock Copolymers
by Mikhail A. Osipov, Maxim V. Gorkunov and Alexander A. Antonov
Symmetry 2021, 13(10), 1834; https://doi.org/10.3390/sym13101834 - 1 Oct 2021
Viewed by 1852
Abstract
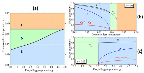
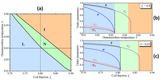
A molecular-statistical theory of coil-rod–coil triblock copolymers with orientationally ordered rod-like fragments has been developed using the density functional approach. An explicit expression for the free energy has been obtained in terms of the direct correlation functions of the reference disordered phase, the [...] Read more.
A molecular-statistical theory of coil-rod–coil triblock copolymers with orientationally ordered rod-like fragments has been developed using the density functional approach. An explicit expression for the free energy has been obtained in terms of the direct correlation functions of the reference disordered phase, the Flory–Huggins parameter and the potential of anisotropic interaction between rigid rods. The theory has been used to derive several phase diagrams and to calculate numerically orientational and translational order parameter profiles for different polymer architecture as a function of the Flory–Huggins parameter, which specifies the short-range repulsion and as functions of temperature. In triblock copolymers, the nematic–lamellar transition is accompanied by the translational symmetry breaking, which can be caused by two different microscopic mechanisms. The first mechanism resembles a low dimensional crystallization and is typical for conventional smectic liquid crystals. The second mechanism is related to the repulsion between rod and coil segments and is typical for block copolymers. Both mechanisms are analyzed in detail as well as the effects of temperature, coil fraction and the triblock asymmetry on the transition into the lamellar phase. Full article
(This article belongs to the Section Chemistry: Symmetry/Asymmetry)
Show Figures

Figure 1

19 pages, 1749 KB  
Article
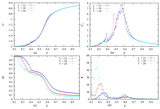
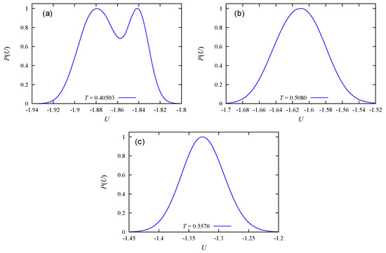
Statistical Physics Approach to Liquid Crystals: Dynamics of Mobile Potts Model Leading to Smectic Phase, Phase Transition by Wang–Landau Method
by V. Thanh Ngo, Phuong-Thuy Nguyen and Hung T. Diep
Entropy 2020, 22(11), 1232; https://doi.org/10.3390/e22111232 - 29 Oct 2020
Cited by 3 | Viewed by 2886
Abstract
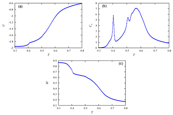
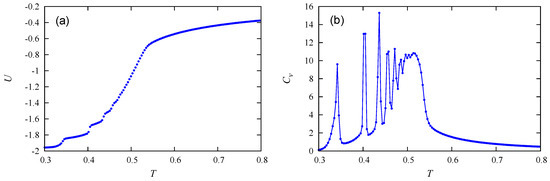
We study the nature of the smectic–isotropic phase transition using a mobile 6-state Potts model. Each Potts state represents a molecular orientation. We show that with the choice of an appropriate microscopic Hamiltonian describing the interaction between individual molecules modeled by a mobile [...] Read more.
We study the nature of the smectic–isotropic phase transition using a mobile 6-state Potts model. Each Potts state represents a molecular orientation. We show that with the choice of an appropriate microscopic Hamiltonian describing the interaction between individual molecules modeled by a mobile 6-state Potts spins, we observe the smectic phase dynamically formed when we cool the molecules from the isotropic phase to low temperatures (T). In order to elucidate the order of the transition and the low-T properties, we use the high-performance Wang–Landau flat energy-histogram technique. We show that the smectic phase goes to the liquid (isotropic) phase by melting/evaporating layer by layer starting from the film surface with increasing T. At a higher T, the whole remaining layers become orientationally disordered. The melting of each layer is characterized by a peak of the specific heat. Such a succession of partial transitions cannot be seen by the Metropolis algorithm. The successive layer meltings/evaporations at low T are found to have a first-order character by examining the energy histogram. These results are in agreement with experiments performed on some smectic liquid crystals. Full article
(This article belongs to the Section Statistical Physics)
Show Figures

Figure 1

Back to TopTop