Oxygen Nonstoichiometry, Electrical Conductivity, Chemical Expansion and Electrode Properties of Perovskite-Type SrFe0.9V0.1O3−δ
Abstract
1. Introduction
2. Materials and Methods
3. Results and Discussion
3.1. Phase Relationships and Crystal Structure
3.2. Microstructure
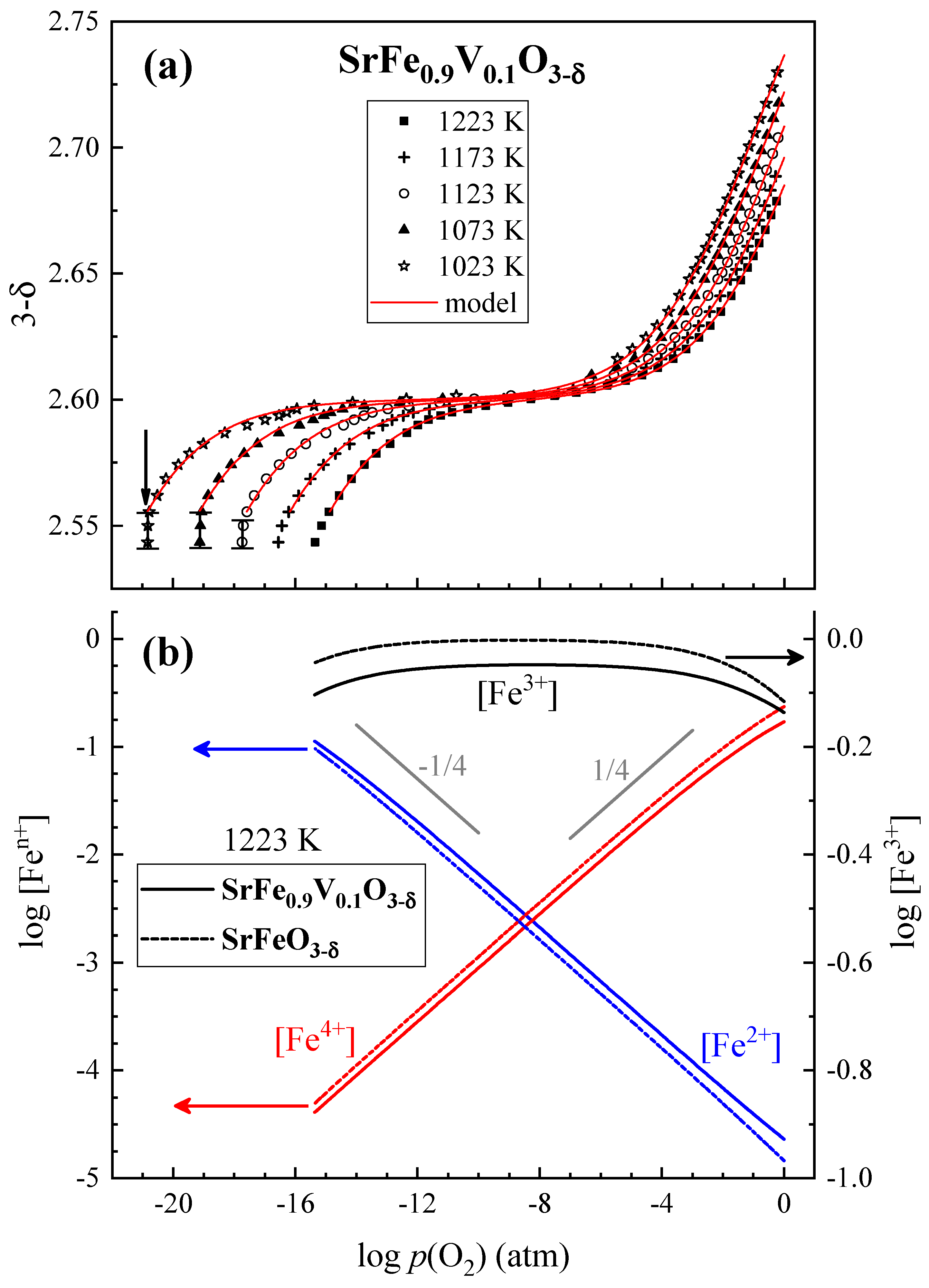
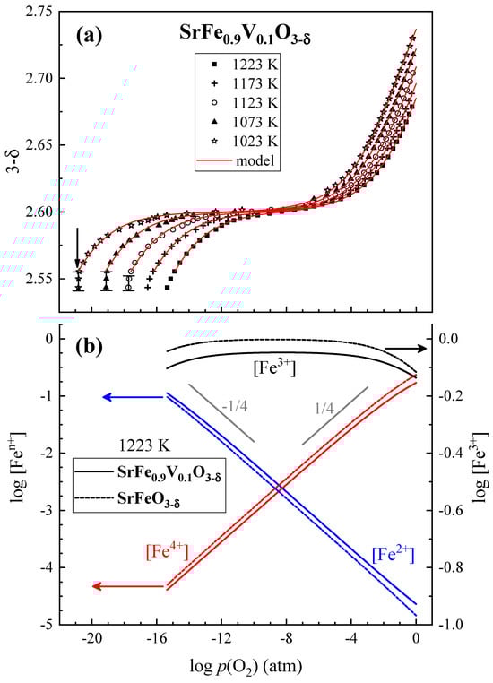
3.3. Oxygen Nonstoichiometry and Phase Stability Limit
3.4. Point Defect Formation Model
3.5. Defect Concentrations and Oxygen Thermodynamic Functions
3.6. Statistical Thermodynamic Modeling
3.7. Nonstoichiometry and Tolerance Factor at Room Temperature
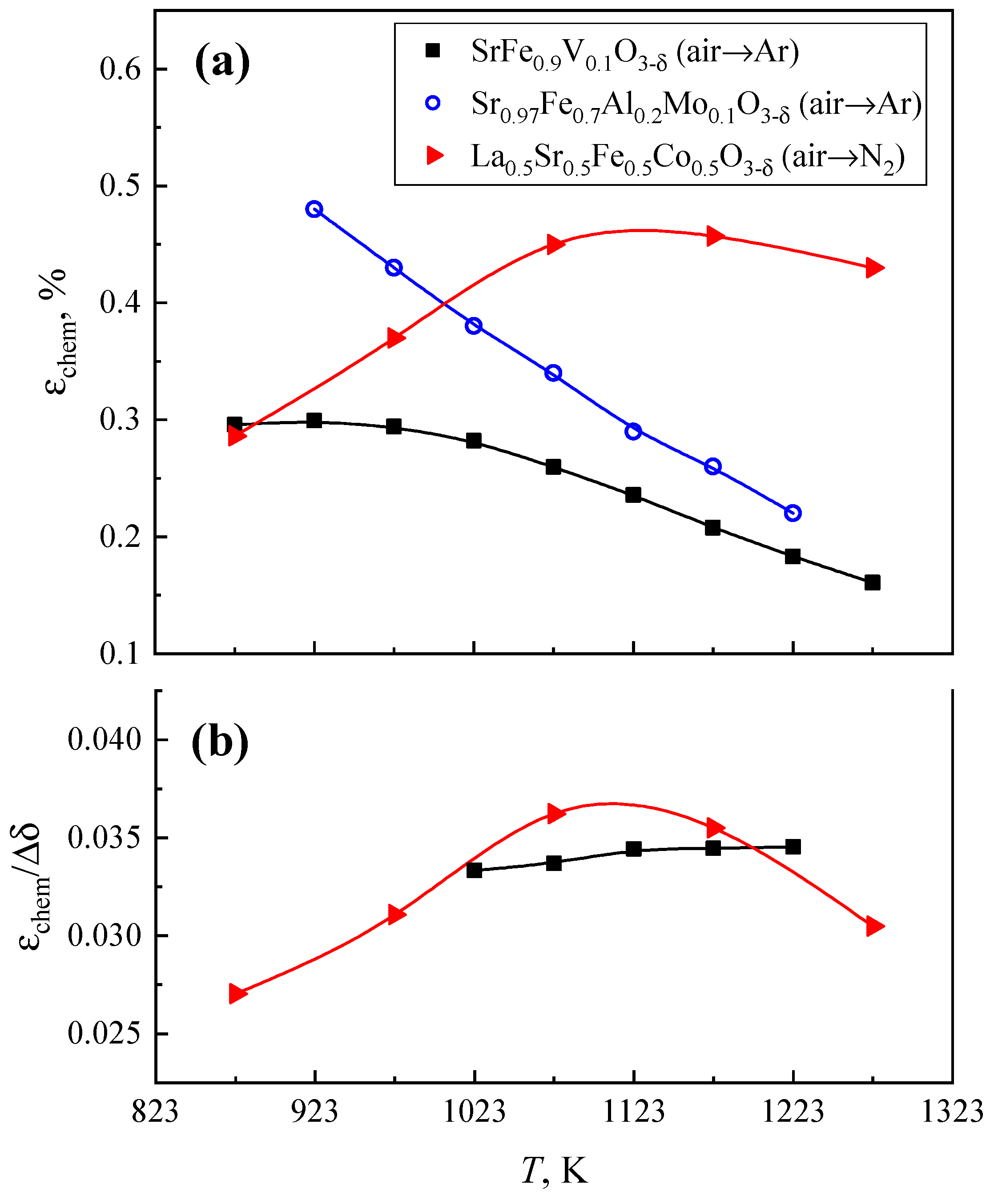
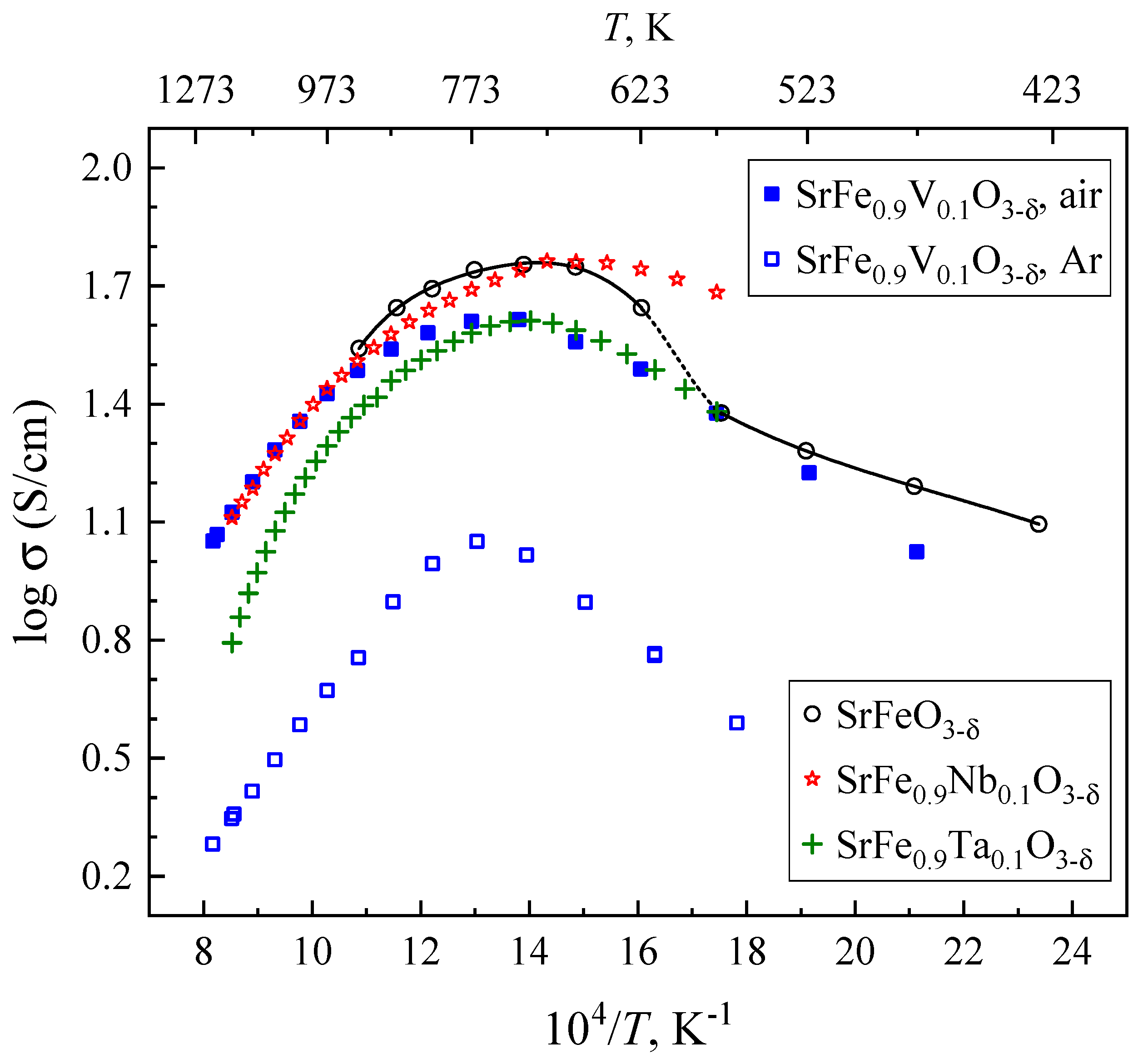
3.8. Lattice Expansion and Electrical Conductivity
3.9. Electrode Behavior
4. Conclusions
Supplementary Materials
Author Contributions
Funding
Data Availability Statement
Acknowledgments
Conflicts of Interest
Nomenclature
| List of abbreviations | |
| 10Sc1YSZ | 10 mol.% scandia- and 1 mol.% yttria-co-stabilized zirconia |
| CE | counter electrode |
| DC | direct current |
| EDX | energy-dispersive X-ray spectroscopy |
| GDC10 | Ce0.9Gd0.1O2−δ |
| GOF | goodness of fit |
| RE | reference electrode |
| SEM | scanning electron microscopy |
| SG | space group |
| SOFC | solid oxide fuel cell |
| SOEC | solid oxide electrolysis cell |
| TEC | average linear thermal expansion coefficient |
| TGA | thermogravimetric analysis |
| WE | working electrode |
| XRD | X-ray diffraction |
| List of symbols | |
| a | unit cell parameter |
| F | Faraday constant |
| total Gibbs energy | |
| standard Gibbs energy | |
| standard free Gibbs energy of defect formation reaction | |
| enthalpy of defect formation reaction | |
| ∆hO | enthalpy of oxygen incorporation in the lattice |
| i | current density |
| i0 | exchange current density |
| Kd | equilibrium constant of charge disproportionation reaction |
| Ke | equilibrium constant of electron exchange reaction |
| Kox | equilibrium constant of iron oxidation reaction |
| n | number of electrons participating in the rate-determining step |
| p(O2) | oxygen partial pressure |
| R | molar gas constant |
| rA | average radius of A-cation |
| rB | average radius of B-cations |
| Rη | polarization resistance |
| radius of oxygen anion | |
| total configurational entropy | |
| entropy of defect formation reaction | |
| ∆sO | entropy of oxygen incorporation in the lattice |
| T | absolute temperature |
| t | Goldschmidt tolerance factor |
| w | number of anion sites unavailable for oxygen ions |
| wR | weighted profile R-factor |
| wRmin | expected R-factor |
| α, β | charge transfer coefficients |
| δ | oxygen nonstoichiometry |
| Δδref | parameter for correction of experimental data on the oxygen content |
| εchem | isothermal chemical expansion |
| η | overpotential |
| θ | diffraction angle |
| standard chemical potential | |
| ∆μO | oxygen chemical potential |
| σ | total electrical conductivity |
References
- Das, T.; Nicholas, J.D.; Qi, Y. Long-range charge transfer and oxygen vacancy interactions in strontium ferrite. J. Mater. Chem. A 2017, 5, 4493–4506. [Google Scholar] [CrossRef]
- Sereda, V.; Sednev, A.; Tsvetkov, D.; Zuev, A. Enthalpy increments and redox thermodynamics of SrFeO3−δ. J. Mater. Res. 2019, 34, 3288–3295. [Google Scholar] [CrossRef]
- Sereda, V.; Tsvetkov, D.; Ivanov, I.; Zuev, A. Interplay between chemical strain, defects and ordering in Sr1−xLaxFeO3 materials. Acta Mater. 2019, 162, 33–45. [Google Scholar] [CrossRef]
- Patrakeev, M.; Leonidov, I.; Kozhevnikov, V.; Kharton, V. Ion–electron transport in strontium ferrites: Relationships with structural features and stability. Solid State Sci. 2004, 6, 907–913. [Google Scholar] [CrossRef]
- Merkulov, O.; Naumovich, E.; Patrakeev, M.; Markov, A.; Bouwmeester, H.J.; Leonidov, I.; Kozhevnikov, V. Oxygen nonstoichiometry and defect chemistry of perovskite-structured SrFe1−xMoxO3−δ solid solutions. Solid State Ion. 2016, 292, 116–121. [Google Scholar] [CrossRef]
- Savinskaya, O.A.; Nemudry, A.P.; Lyakhov, N.Z. Synthesis and properties of SrFe1−xMxO3−z (M=Mo, W) perovskites. Inorg. Mater. 2007, 43, 1350–1360. [Google Scholar] [CrossRef]
- Zhu, Z.; Wei, Z.; Zhao, Y.; Chen, M.; Wang, S. Properties characterization of tungsten doped strontium ferrites as cathode materials for intermediate temperature solid oxide fuel cells. Electrochim. Acta 2017, 250, 203–211. [Google Scholar] [CrossRef]
- Zhang, M.; Du, Z.; Zhang, Y.; Zhao, H. Progress of Perovskites as Electrodes for Symmetrical Solid Oxide Fuel Cells. ACS Appl. Energy Mater. 2022, 5, 13081–13095. [Google Scholar] [CrossRef]
- Hui, S.; Petric, A. Conductivity and stability of SrVO3 and mixed perovskites at low oxygen partial pressures. Solid State Ion. 2001, 143, 275–283. [Google Scholar] [CrossRef]
- Macías, J.; Yaremchenko, A.; Frade, J. Redox transitions in strontium vanadates: Electrical conductivity and dimensional changes. J. Alloys Compd. 2014, 601, 186–194. [Google Scholar] [CrossRef]
- Macías, J.; Yaremchenko, A.A.; Fagg, D.P.; Frade, J.R. Structural and defect chemistry guidelines for Sr(V,Nb)O3-based SOFC anode materials. Phys. Chem. Chem. Phys. 2015, 17, 10749–10758. [Google Scholar] [CrossRef]
- Yaremchenko, A.; Brinkmann, B.; Janssen, R.; Frade, J. Electrical conductivity, thermal expansion and stability of Y- and Al-substituted SrVO3 as prospective SOFC anode material. Solid State Ion. 2013, 247–248, 86–93. [Google Scholar] [CrossRef]
- Ge, X.; Chan, S.; Liu, Q.; Sun, Q. Solid Oxide Fuel Cell Anode Materials for Direct Hydrocarbon Utilization. Adv. Energy Mater. 2012, 2, 1156–1181. [Google Scholar] [CrossRef]
- Aguilar, L.; Zha, S.; Cheng, Z.; Winnick, J.; Liu, M. A solid oxide fuel cell operating on hydrogen sulfide (H2S) and sulfur-containing fuels. J. Power Sources 2004, 135, 17–24. [Google Scholar] [CrossRef]
- Cheng, Z.; Zha, S.; Aguilar, L.; Liu, M. Chemical, electrical, and thermal properties of strontium doped lanthanum vanadate. Solid State Ion. 2005, 176, 1921–1928. [Google Scholar] [CrossRef]
- Jiang, S.; Sunarso, J.; Zhou, W.; Shen, J.; Ran, R.; Shao, Z. Cobalt-free SrNbxFe1−xO3−δ (x = 0.05, 0.1 and 0.2) perovskite cathodes for intermediate temperature solid oxide fuel cells. J. Power Sources 2015, 298, 209–216. [Google Scholar] [CrossRef]
- Anikina, P.V.; Markov, A.A.; Patrakeev, M.V.; Leonidov, I.A.; Kozhevnikov, V.L. High-temperature transport and stability of SrFe1−xNbxO3−δ. Solid State Sci. 2009, 11, 1156–1162. [Google Scholar] [CrossRef]
- Zhang, Y.; Gao, X.; Sunarso, J.; Liu, B.; Zhou, W.; Ni, M.; Shao, Z. Significantly Improving the Durability of Single-Chamber Solid Oxide Fuel Cells: A Highly Active CO2-Resistant Perovskite Cathode. ACS Appl. Energy Mater. 2018, 1, 1337–1343. [Google Scholar] [CrossRef]
- Qiu, H.; Liang, M.; Zhao, J.; Liang, Z.; Jiang, S.; Shi, H.; Wang, W.; Wen, H.; Su, C. A-site cation deficient SrTa0.1Fe0.9O3−δ as a bi-functional cathode for both oxygen ion- and proton-conducting solid oxide fuel cells. Ceram. Int. 2024, 50, 40500–40509. [Google Scholar] [CrossRef]
- Xu, S.; Qiu, H.; Jiang, S.; Jiang, J.; Wang, W.; Xu, X.; Kong, W.; Chivurugwi, T.D.; Proskurin, A.; Chen, D.; et al. New strategy for boosting cathodic performance of low temperature solid oxide fuel cells via chlorine doping. Nano Res. 2024, 17, 8086–8094. [Google Scholar] [CrossRef]
- Nakayama, N.; Takano, M.; Inamura, S.; Nakanishi, N.; Kosuge, K. Electron microscopy study of the “cubic” perovskite phase SrFe1−xVxO2.5+x (0.05 ≤ x ≤ 0.1). J. Solid State Chem. 1987, 71, 403–417. [Google Scholar] [CrossRef]
- Ancharova, U.V.; Cherepanova, S.V. Nano-domain states of strontium ferrites SrFe1−yMyO2.5+x (M=V, Mo; y ≤ 0.1; x ≤ 0.2). J. Solid State Chem. 2015, 225, 410–416. [Google Scholar] [CrossRef]
- Ancharova, U.V.; Cherepanova, S.V.; Petrov, S.A. Adaptation ways for a high concentration oxygen vacancies in nonstoichiometric strontium ferrites. J. Struct. Chem. 2017, 58, 53–61. [Google Scholar] [CrossRef]
- Ramesha, K.; Gopalakrishnan, J.; Smolyaninova, V.; Greene, R. ALaFeVO6 (A=Ca, Sr): New Double-Perovskite Oxides. J. Solid State Chem. 2001, 162, 250–253. [Google Scholar] [CrossRef]
- Kharton, V.; Tsipis, E.; Marozau, I.; Viskup, A.; Frade, J.; Irvine, J. Mixed conductivity and electrochemical behavior of (La0.75Sr0.25)0.95Cr0.5Mn0.5O3−δ. Solid State Ion. 2007, 178, 101–113. [Google Scholar] [CrossRef]
- Nikitin, S.; Dyakina, M.; Tsipis, E.; Patrakeev, M. Oxygen nonstoichiometry, electrical conductivity, and electrochemical activity of La0.45Ce0.05Sr0.5FeO3−δ. J. Power Sources 2024, 597, 234115. [Google Scholar] [CrossRef]
- Hidayat, T.; Shishin, D.; Jak, E.; Decterov, S.A. Thermodynamic reevaluation of the Fe–O system. Calphad 2015, 48, 131–144. [Google Scholar] [CrossRef]
- Kuhn, M.; Hashimoto, S.; Sato, K.; Yashiro, K.; Mizusaki, J. Oxygen nonstoichiometry, thermo-chemical stability and lattice expansion of La0.6Sr0.4FeO3−δ. Solid State Ion. 2011, 195, 7–15. [Google Scholar] [CrossRef]
- Oishi, M.; Yashiro, K.; Sato, K.; Mizusaki, J.; Kawada, T. Oxygen nonstoichiometry and defect structure analysis of B-site mixed perovskite-type oxide (La, Sr)(Cr, M)O3−δ (M=Ti, Mn and Fe). J. Solid State Chem. 2008, 181, 3177–3184. [Google Scholar] [CrossRef]
- Mizusaki, J.; Yoshihiro, M.; Yamauchi, S.; Fueki, K. Thermodynamic quantities and defect equilibrium in the perovskite-type oxide solid solution La1−xSrxFeO3−δ. J. Solid State Chem. 1987, 67, 1–8. [Google Scholar] [CrossRef]
- Non-Linear Least-Squares Minimization and Curve-Fitting for Python. Available online: https://lmfit.github.io/lmfit-py/ (accessed on 1 November 2023).
- Yoo, J.; Yoo, C.; Yu, J.; Jacobson, A.J. Determination of oxygen nonstoichiometry in SrFeO3−δ by solid-state Coulometric titration. J. Am. Ceram. Soc. 2017, 100, 2690–2699. [Google Scholar] [CrossRef]
- Dezso, A.; Kaptay, G. On the Configurational Entropy of Nanoscale Solutions for More Accurate Surface and Bulk Nano-Thermodynamic Calculations. Entropy 2017, 19, 248. [Google Scholar] [CrossRef]
- Istomin, S.Y.; Lyskov, N.V.; Mazo, G.N.; Antipov, E.V. Electrode materials based on complex d-metal oxides for symmetrical solid oxide fuel cells. Russ. Chem. Rev. 2021, 90, 644–676. [Google Scholar] [CrossRef]
- Shannon, R.D. Revised effective ionic radii and systematic studies of interatomic distances in halides and chalcogenides. Acta Cryst. 1976, A32, 751–766. [Google Scholar] [CrossRef]
- Lein, H.L.; Wiik, K.; Grande, T. Thermal and chemical expansion of mixed conducting La0.5Sr0.5Fe1−xCoxO3−δ materials. Solid State Ion. 2006, 177, 1795–1798. [Google Scholar] [CrossRef]
- Kolotygin, V.A.; Tsipis, E.V.; Markov, A.A.; Patrakeev, M.V.; Waerenborgh, J.C.; Shaula, A.L.; Kharton, V.V. Transport and Electrochemical Properties of SrFe(Al,Mo)O3–δ. Russ. J. Electrochem. 2018, 54, 514–526. [Google Scholar] [CrossRef]
- Hombo, J.; Matsumoto, Y.; Kawano, T. Electrical conductivities of SrFeO3−δ and BaFeO3−δ perovskites. J. Solid State Chem. 1990, 84, 138–143. [Google Scholar] [CrossRef]
- Svensson, A.M.; Sunde, S.; Nisşancioğlu, K. Mathematical modeling of oxygen exchange and transport in air-perovskite-YSZ interface regions: I. Reduction of intermediately adsorbed oxygen. J. Electrochem. Soc. 1997, 144, 2719–2732. [Google Scholar] [CrossRef]
- Jiang, S.P. Development of lanthanum strontium cobalt ferrite perovskite electrodes of solid oxide fuel cells—A review. Int. J. Hydrogen Energy 2019, 44, 7448–7493. [Google Scholar] [CrossRef]
- Ascolani-Yael, J.; Montenegro-Hernández, A.; Garcés, D.; Liu, Q.; Wang, H.; Yakal-Kremski, K.; Barnett, S.; Mogni, L. The oxygen reduction reaction in solid oxide fuel cells: From kinetic parameters measurements to electrode design. J. Phys. Energy 2020, 2, 042004. [Google Scholar] [CrossRef]
- Anikina, P.V.; Markov, A.A.; Patrakeev, M.V.; Leonidov, I.A.; Kozhevnikov, V.L. The structure, nonstoichiometry, and thermodynamic characteristics of oxygen in strontium ferrite doped with niobium, SrFe1−xNbxO3−δ, Russ. J. Phys. Chem. A 2009, 83, 699–704. [Google Scholar] [CrossRef]











| Composition | , kJ·mol−1 | , J·mol−1·K−1 | , kJ·mol−1 | , J·mol−1·K−1 | w | Ref. |
|---|---|---|---|---|---|---|
| SrFe0.9V0.1O3−δ | −98.4 ± 0.6 | −78.2 ± 0.5 | 129 ± 1 | 7.5 ± 0.5 | 0.203 ± 0.001 | this work |
| SrFe0.93Mo0.07O3−δ | −94 ± 3 | −80 ± 2 | 132 ± 3 | 7 ± 2 | - | [5] |
| SrFeO3−δ | −102 ± 6 | −87 ± 5 | 122.5 ± 0.2 | 0 ** | - | [5] |
| Composition | Atmosphere | Conditions | T, K | TEC × 106, K−1 | Ref. |
|---|---|---|---|---|---|
| SrFe0.9V0.1O3−δ | air | isothermal dwells | 873–1273 | 25.0 ± 0.3 | This work |
| cooling, 3 K/min | 873–1273 | 24.8 ± 0.1 | |||
| 373–673 | 14.2 ± 0.1 | ||||
| Ar * | isothermal dwells | 873–1273 | 22 ± 1 | ||
| SrFe0.9Nb0.1O3−δ | air | heating, 5 K/min | 683–1273 | 27.5 | [16] |
| 300–683 | 15.6 | ||||
| SrFe0.9Ta0.1O3−δ | air | heating | 823–1173 | 37.0 | [18] |
| 300–823 | 14.8 | ||||
| SrFeO3−δ | air | heating, 2 K/min | 623–1373 | 34.1 | [3] |
| 323–523 | 15.6 |
Disclaimer/Publisher’s Note: The statements, opinions and data contained in all publications are solely those of the individual author(s) and contributor(s) and not of MDPI and/or the editor(s). MDPI and/or the editor(s) disclaim responsibility for any injury to people or property resulting from any ideas, methods, instructions or products referred to in the content. |
© 2025 by the authors. Licensee MDPI, Basel, Switzerland. This article is an open access article distributed under the terms and conditions of the Creative Commons Attribution (CC BY) license (https://creativecommons.org/licenses/by/4.0/).
Share and Cite
Ivanov, A.I.; Nikitin, S.S.; Dyakina, M.S.; Tsipis, E.V.; Patrakeev, M.V.; Agarkov, D.A.; Zverkova, I.I.; Zhigachev, A.O.; Kedrov, V.V.; Kharton, V.V. Oxygen Nonstoichiometry, Electrical Conductivity, Chemical Expansion and Electrode Properties of Perovskite-Type SrFe0.9V0.1O3−δ. Materials 2025, 18, 493. https://doi.org/10.3390/ma18030493
Ivanov AI, Nikitin SS, Dyakina MS, Tsipis EV, Patrakeev MV, Agarkov DA, Zverkova II, Zhigachev AO, Kedrov VV, Kharton VV. Oxygen Nonstoichiometry, Electrical Conductivity, Chemical Expansion and Electrode Properties of Perovskite-Type SrFe0.9V0.1O3−δ. Materials. 2025; 18(3):493. https://doi.org/10.3390/ma18030493
Chicago/Turabian StyleIvanov, Aleksei I., Sergey S. Nikitin, Mariya S. Dyakina, Ekaterina V. Tsipis, Mikhail V. Patrakeev, Dmitrii A. Agarkov, Irina I. Zverkova, Andrey O. Zhigachev, Victor V. Kedrov, and Vladislav V. Kharton. 2025. "Oxygen Nonstoichiometry, Electrical Conductivity, Chemical Expansion and Electrode Properties of Perovskite-Type SrFe0.9V0.1O3−δ" Materials 18, no. 3: 493. https://doi.org/10.3390/ma18030493
APA StyleIvanov, A. I., Nikitin, S. S., Dyakina, M. S., Tsipis, E. V., Patrakeev, M. V., Agarkov, D. A., Zverkova, I. I., Zhigachev, A. O., Kedrov, V. V., & Kharton, V. V. (2025). Oxygen Nonstoichiometry, Electrical Conductivity, Chemical Expansion and Electrode Properties of Perovskite-Type SrFe0.9V0.1O3−δ. Materials, 18(3), 493. https://doi.org/10.3390/ma18030493

