A Facile Synthesis Strategy for N-Doped Graphene Quantum Dots Electrode Materials: Electrochemical Behaviors and Universal Energy Storage Mechanism
Abstract
1. Introduction
2. Experimental Section
2.1. Experimental Materials
2.2. Preparation of N-GQDs
2.3. Preparation of N-GQDs Electrode
2.4. Electrochemical Activation of the NG-X Electrode
2.5. Assembly of NG-2//AC-ASC
2.6. Material Characterization
2.7. Electrochemical Testing
logi = blogv + loga
2.8. Theoretical Calculation
3. Results and Discussion
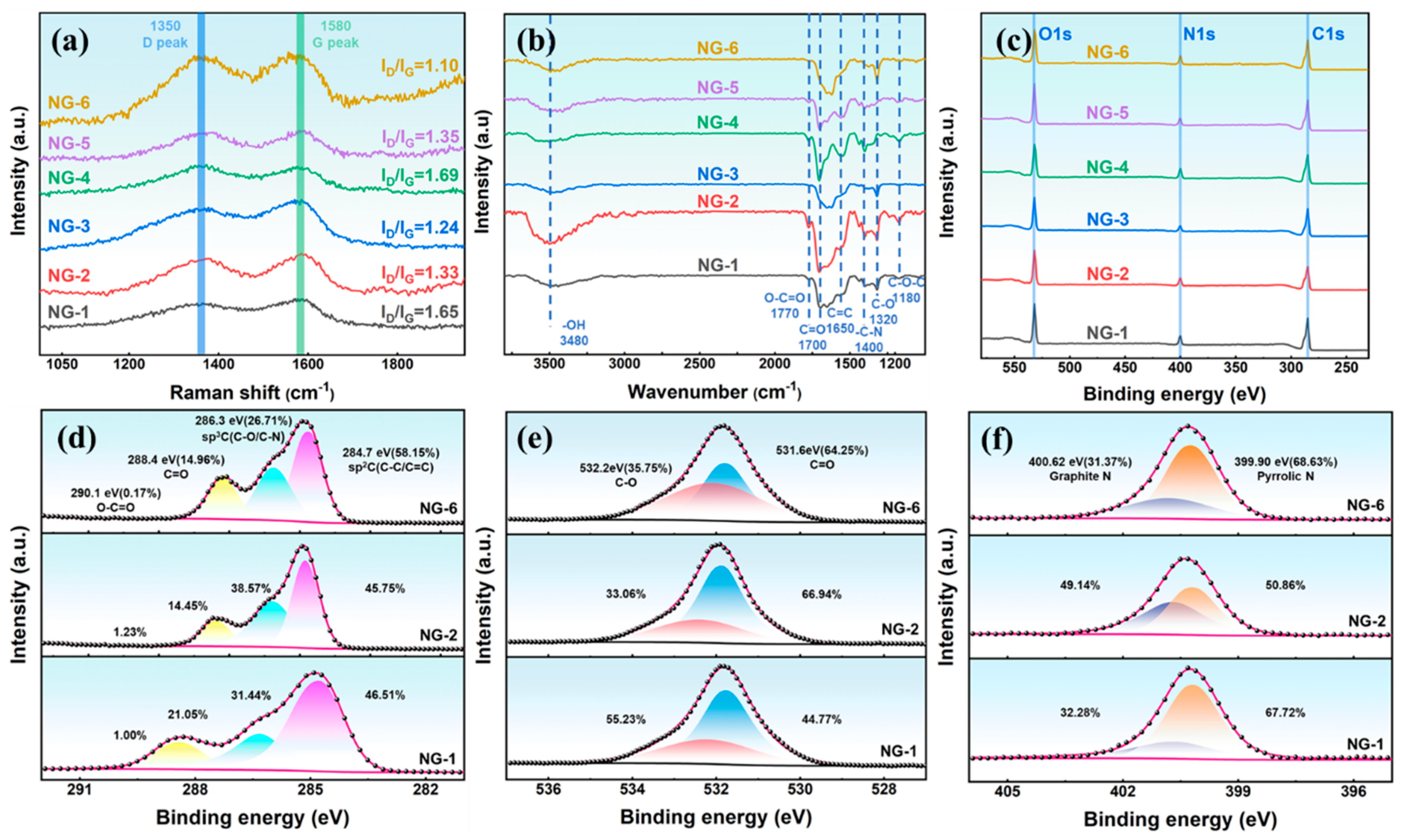
3.1. Structural Differences of N-GQDs Synthesized Under Different Hydrothermal Conditions
3.2. Analysis of Surface Functional Groups and Elemental Valence States of N-GQDs Synthesized Under Different Hydrothermal Conditions
3.3. Electrochemical Performance of N-GQDs Synthesized Under Different Hydrothermal Conditions

3.4. Evolution of Structure and Components of NG-2 During the Activation Process
3.5. Research on the Application of NG-2 Electrode in Asymmetric Supercapacitors
3.6. The Effect of Nitrogen Doping on the Electronic Structure and Surface Activity of N-GQDs
4. Conclusions
Supplementary Materials
Author Contributions
Funding
Data Availability Statement
Acknowledgments
Conflicts of Interest
References
- Nyamathulla, S.; Dhanamjayulu, C. A review of battery energy storage systems and advanced battery management system for different applications: Challenges and recommendations. J. Energy Storage 2024, 86, 111179. [Google Scholar] [CrossRef]
- Wang, G.; Lv, S.; Shen, Y.; Li, W.; Lin, L.; Li, Z. Advancements in heterojunction, cocatalyst, defect and morphology engineering of semiconductor oxide photocatalysts. J. Mater. 2024, 10, 315–338. [Google Scholar] [CrossRef]
- Zhang, Y.-H.; Zhang, S.; Hu, N.; Liu, Y.; Ma, J.; Han, P.; Hu, Z.; Wang, X.; Cui, G. Oxygen vacancy chemistry in oxide cathodes. Chem. Soc. Rev. 2024, 53, 3302–3326. [Google Scholar] [CrossRef] [PubMed]
- Elalfy, D.A.; Gouda, E.; Kotb, M.F.; Bures, V.; Sedhom, B.E. Comprehensive review of energy storage systems technologies, objectives, challenges, and future trends. Energy Strategy Rev. 2024, 54, 101482. [Google Scholar] [CrossRef]
- Khan, H.A.; Tawalbeh, M.; Aljawrneh, B.; Abuwatfa, W.; Al-Othman, A.; Sadeghifar, H.; Olabi, A.G. A comprehensive review on supercapacitors: Their promise to flexibility, high temperature, materials, design, and challenges. Energy 2024, 295, 131043. [Google Scholar] [CrossRef]
- Fu, L.; Ma, J.; Zhang, Z.; Wang, G.; Yao, Y.; Wei, W. Core-shell-structured NiCo2O4 composite with GO/C to enhance its electrocatalytic performance as a cathode catalyst in zinc-air batteries. Vacuum 2024, 224, 113163. [Google Scholar] [CrossRef]
- Li, T.; Zhang, H.; Deng, T.; Zhu, J.; Yan, Q. Interfacial electronic insulation strategy for high-performance Zinc-ion batteries. Vacuum 2024, 230, 113610. [Google Scholar] [CrossRef]
- Yao, Y.; Fu, L.; Ma, J.; Wang, G.; Wei, W.; Zhang, Z. Formation of core-shell structure MnCo2O4 microspheres and as a bifunctional catalyst for zinc-air batteries. Vacuum 2024, 227, 113416. [Google Scholar] [CrossRef]
- Das Mahapatra, A.; Kumar, S.; Chauhan, P.S.; Mondal, A.; Sutradhar, A.; Misra, A. Large Area Graphene-MXene Quantum Dot Based High Performance Photochargeable Supercapacitor. ACS Appl. Energy Mater. 2024, 7, 5801–5810. [Google Scholar] [CrossRef]
- Pradhan, L.; Mohanty, B.; Padhy, G.; Trivedi, R.K.; Das, D.P.; Chakraborty, B.; Jena, B.K. Supercapacitor properties of partially oxidised-MXene quantum dots/ graphene hybrids: Fabrication of flexible/wearable micro-supercapacitor devices. Chem. Eng. J. 2024, 497, 154587. [Google Scholar] [CrossRef]
- Zahir, N.; Magri, P.; Luo, W.; Gaumet, J.-J.; Pierrat, P. Recent Advances on Graphene Quantum Dots for Electrochemical Energy Storage Devices. Energy Environ. Mater. 2022, 5, 201–214. [Google Scholar] [CrossRef]
- Li, Z.; Cao, L.; Qin, P.; Liu, X.; Chen, Z.; Wang, L.; Pan, D.; Wu, M. Nitrogen and oxygen co-doped graphene quantum dots with high capacitance performance for micro-supercapacitors. Carbon 2018, 139, 67–75. [Google Scholar] [CrossRef]
- Coteţ, L.C.; Măicăneanu, A.; Forţ, C.I.; Danciu, V. Alpha-cypermethrin pesticide adsorption on carbon aerogel and xerogel. Sep. Sci. Technol. 2013, 48, 2649–2658. [Google Scholar] [CrossRef]
- Zhao, J.; Zhu, J.; Li, Y.; Wang, L.; Dong, Y.; Jiang, Z.; Fan, C.; Cao, Y.; Sheng, R.; Liu, A.; et al. Graphene quantum dot reinforced electrospun carbon nanofiber fabrics with high surface area for ultrahigh rate supercapacitors. ACS Appl. Mater. Interfaces 2020, 12, 11669–11678. [Google Scholar] [CrossRef]
- Yun, X.; Li, J.; Chen, X.; Chen, H.; Xiao, L.; Xiang, K.; Chen, W.; Liao, H.; Zhu, Y. Porous Fe2O3 modified by Nitrogen-doped carbon quantum dots/reduced graphene oxide composite aerogel as a high-capacity and high-rate anode material for alkaline aqueous batteries. ACS Appl. Mater. Interfaces 2019, 11, 36970–36984. [Google Scholar] [CrossRef]
- Zhu, Y.; Li, J.; Yun, X.; Zhao, G.; Ge, P.; Zou, G.; Liu, Y.; Hou, H.; Ji, X. Graphitic carbon quantum dots modified nickel cobalt sulfide as cathode materials for alkaline aqueous batteries. Nano-Micro Lett. 2020, 12, 16. [Google Scholar] [CrossRef]
- Li, Z.; Li, Y.F.; Wang, L.; Cao, L.; Liu, X.; Chen, Z.W.; Pan, D.Y.; Wu, M.H. Assembling nitrogen and oxygen co-doped graphene quantum dots onto hierarchical carbon networks for all-solid-state flexible supercapacitors. Electrochim. Acta 2017, 235, 561–569. [Google Scholar] [CrossRef]
- Lu, Z.H.; Hu, Z.L.; Xiao, L.; Xie, Y.J.; Li, N.; Xi, L.J.; Chen, W.H.; Xiao, J.; Zhu, Y.R. Battery-type Ni-Co-Se hollow microspheres cathode materials enabled by bifunctional N-doped carbon quantum dots with ultrafast electrochemical kinetics for hybrid supercapacitors. Chem. Eng. J. 2022, 450, 138347. [Google Scholar] [CrossRef]
- Li, Z.; Bu, F.; Wei, J.J.; Yao, W.W.; Wang, L.; Chen, Z.; Pan, D.; Wu, M. Boosting the energy storage densities of supercapacitors by incorporating N-doped graphene quantum dots into cubic porous carbon. Nanoscale 2018, 10, 22871–22883. [Google Scholar] [CrossRef] [PubMed]
- Fan, W.; Wu, J. Development and Future Trend of Computer Simulation and Quantum Computer Simulation. J. Syst. Simul. 2017, 29, 1161–1167. [Google Scholar]
- Fauseweh, B. Quantum many-body simulations on digital quantum computers: State-of-the-art and future challenges. Nat. Commun. 2024, 15, 2123. [Google Scholar] [CrossRef] [PubMed]
- Tiwari, G.; Shukla, A.; Singh, A.; Tiwari, R. Computer Simulation for Effective Pharmaceutical Kinetics and Dynamics: A Review. Curr. Comput.-Aided Drug Des. 2024, 20, 325–340. [Google Scholar] [CrossRef] [PubMed]
- Hssi, A.A.; Soussi, A.; Labchir, N.; Taoufiq, M.; Najih, H.; Elfanaoui, A.; Ihlal, A.; Bouabid, K. A DFT theoretical and experimental study of the effect of indium doping within electrochemical deposited ZnO. Vacuum 2023, 217, 112503. [Google Scholar] [CrossRef]
- Yashwanth, H.J.; Rondiya, S.R.; Dzade, N.Y.; Dhole, S.D.; Phase, D.M.; Hareesh, K. Enhanced photocatalytic activity of N, P, co-doped carbon quantum dots: An insight from experimental and computational approach. Vacuum 2020, 180, 17. [Google Scholar] [CrossRef]
- Park, J.; Moon, J.; Ri, V.; Lee, S.; Kim, C.; Cairns, E.J. Nitrogen-Doped Graphene Quantum Dots: Sulfiphilic Additives for the High-Performance Li-S Cells. ACS Appl. Energy Mater. 2021, 4, 3518–3525. [Google Scholar] [CrossRef]
- Guo, Q.; Feng, J.; Dong, L. Underlying Mechanisms on Tunable Electronic Structures of Graphene Quantum Dots Doped with Nitrogen and Sulfur Heteroatoms. ECS Trans. 2020, 98, 25–33. [Google Scholar] [CrossRef]
- Greczynski, G.; Hultman, L. Binding energy referencing in X-ray photoelectron spectroscopy. Nat. Rev. Mater. 2025, 10, 62–78. [Google Scholar] [CrossRef]
- Delley, B. An all-electron numerical-method for solving the local density functional for polyatomic-molecules. J. Chem. Phys. 1990, 92, 508–517. [Google Scholar] [CrossRef]
- Perdew, J.P.; Burke, K.; Ernzerhof, M. Comment on “Generalized gradient approximation made simple”—Reply. Phys. Rev. Lett. 1998, 80, 891. [Google Scholar] [CrossRef]
- Dong, Y.; Pang, H.; Yang, H.B.; Guo, C.; Shao, J.; Chi, Y.; Li, C.M.; Yu, T. Carbon-Based Dots Co-doped with Nitrogen and Sulfur for High Quantum Yield and Excitation-Independent Emission. Angew. Chem.-Int. Ed. 2013, 52, 7800–7804. [Google Scholar] [CrossRef]
- Luo, Z.; Yang, D.; Qi, G.; Shang, J.; Yang, H.; Wang, Y.; Yuwen, L.; Yu, T.; Huang, W.; Wang, L. Microwave-assisted solvothermal preparation of nitrogen and sulfur co-doped reduced graphene oxide and graphene quantum dots hybrids for highly efficient oxygen reduction. J. Mater. Chem. A 2014, 2, 20605–20611. [Google Scholar] [CrossRef]
- Permatasari, F.A.; Aimon, A.H.; Iskandar, F.; Ogi, T.; Okuyama, K. Role of C-N Configurations in the Photoluminescence of Graphene Quantum Dots Synthesized by a Hydrothermal Route. Sci. Rep. 2016, 6, 21042. [Google Scholar] [CrossRef] [PubMed]
- Wang, W.; Liu, W.Y.; Zeng, Y.X.; Han, Y.; Yu, M.H.; Lu, X.H.; Tong, Y.X. A Novel Exfoliation Strategy to Significantly Boost the Energy Storage Capability of Commercial Carbon Cloth. Adv. Mater. 2015, 27, 3572–3578. [Google Scholar] [CrossRef] [PubMed]
- Wang, Z.F.; Han, Y.; Zeng, Y.X.; Qie, Y.L.; Wang, Y.C.; Zheng, D.Z.; Lu, X.; Tong, Y. Activated carbon fiber paper with exceptional capacitive performance as a robust electrode for supercapacitors. J. Mater. Chem. A 2016, 4, 5828–5833. [Google Scholar] [CrossRef]
- Lee, Y.H.; Chang, K.H.; Hu, C.C. Differentiate the pseudocapacitance and double-layer capacitance contributions for nitrogen-doped reduced graphene oxide in acidic and alkaline electrolytes. J. Power Sources 2013, 227, 300–308. [Google Scholar] [CrossRef]
- Oh, Y.J.; Yoo, J.J.; Kim, Y.I.; Yoon, J.K.; Yoon, H.N.; Kim, J.H.; Park, S.B. Oxygen functional groups and electrochemical capacitive behavior of incompletely reduced graphene oxides as a thin-film electrode of supercapacitor. Electrochim. Acta 2014, 116, 118–128. [Google Scholar] [CrossRef]
- Luo, W.S.; Quan, H.Y.; Zhang, Z.X.; Wang, Y.Y.; Xie, X.L.; Hong, Z.; Chen, D. Electrodeposition Coupled with Electrochemical Activation for Constructing High-Capacitance Carbon Quantum Dot-Based Films on Carbon Cloth as Electrodes. ACS Appl. Nano Mater. 2021, 4, 12051–12061. [Google Scholar] [CrossRef]
- Zhang, M.; Song, Y.; Zhao, X.; Guo, Y.; Yang, L.; Xu, S. Nanoneedle-decorated NiCo-layered double hydroxide microspheres tuned as high-efficiency electrodes for pseudocapacitors. Crystengcomm 2019, 21, 6985–6990. [Google Scholar] [CrossRef]
- Huang, Q.A.; Li, Y.; Tsay, K.C.; Sun, C.W.; Yang, C.P.; Zhang, L.; Zhang, J. Multi-scale impedance model for supercapacitor porous electrodes: Theoretical prediction and experimental validation. J. Power Sources 2018, 400, 69–86. [Google Scholar] [CrossRef]
- Zhang, E.; Fulik, N.; Paasch, S.; Borchardt, L.; Kaskel, S.; Brunner, E. Ionic liquid—Electrode materials interactions studied by NMR spectroscopy, cyclic voltammetry, and impedance spectroscopy. Energy Storage Mater. 2019, 19, 432–438. [Google Scholar] [CrossRef]
- Kang, J.; Wen, J.Z.; Jayaram, S.H.; Yu, A.P.; Wang, X.H. Development of an equivalent circuit model for electrochemical double layer capacitors (EDLCs) with distinct electrolytes. Electrochim. Acta 2014, 115, 587–598. [Google Scholar] [CrossRef]
- Huang, J.; Gao, Y.; Luo, J.; Wang, S.; Li, C.; Chen, S.; Zhang, J. Editors’ choice-review-impedance response of porous electrodes: Theoretical framework, physical models and applications. J. Electrochem. Soc. 2020, 167, 166503. [Google Scholar] [CrossRef]
- Li, Z.; Liu, X.; Wang, L.; Bu, F.; Wei, J.J.; Pan, D.Y.; Wu, M. Hierarchical 3D All-Carbon Composite Structure Modified with N-Doped Graphene Quantum Dots for High-Performance Flexible Supercapacitors. Small 2018, 14, e1801498. [Google Scholar] [CrossRef]
- Abidin, S.; Mamat, S.; Rasyid, S.A.; Zainal, Z.; Sulaiman, Y. Fabrication of poly(vinyl alcohol)-graphene quantum dots coated with poly(3,4-ethylenedioxythiophene) for supercapacitor. J. Polym. Sci. Part A-Polym. Chem. 2018, 56, 50–58. [Google Scholar] [CrossRef]
- Hsiao, Y.C.; Hung, J.L.; Kubendhiran, S.; Yougbar, S.; Lin, L.Y.; Wu, Y.F. Novel synthesis of N-doped graphene quantum dot as conductive agent for carbon based supercapacitors. J. Energy Storage 2022, 56, 105902. [Google Scholar] [CrossRef]
- Li, Z.; Qin, P.; Wang, L.; Yang, C.S.; Li, Y.F.; Chen, Z.W.; Pan, D.; Wu, M. Amine-enriched Graphene Quantum Dots for High-pseudocapacitance Supercapacitors. Electrochim. Acta 2016, 208, 260–266. [Google Scholar] [CrossRef]
- Qing, Y.; Jiang, Y.; Lin, H.; Wang, L.X.; Liu, A.J.; Cao, Y.L.; Sheng, R.; Guo, Y.; Fan, C.W.; Zhang, S.; et al. Boosting the supercapacitor performance of activated carbon by constructing overall conductive networks using graphene quantum dots. J. Mater. Chem. A 2019, 7, 6021–6027. [Google Scholar] [CrossRef]
- Strauss, V.; Marsh, K.; Kowal, M.D.; El-Kady, M.; Kaner, R.B. A Simple Route to Porous Graphene from Carbon Nanodots for Supercapacitor Applications. Adv. Mater. 2018, 30, 1704449. [Google Scholar] [CrossRef]
- Tian, W.H.; Zhu, J.Y.; Dong, Y.; Zhao, J.; Li, J.; Guo, N.N.; Lin, H.; Zhang, S.; Jia, D. Micelle-induced assembly of graphene quantum dots into conductive porous carbon for high rate supercapacitor electrodes at high mass loadings. Carbon 2020, 161, 89–96. [Google Scholar] [CrossRef]








Disclaimer/Publisher’s Note: The statements, opinions and data contained in all publications are solely those of the individual author(s) and contributor(s) and not of MDPI and/or the editor(s). MDPI and/or the editor(s) disclaim responsibility for any injury to people or property resulting from any ideas, methods, instructions or products referred to in the content. |
© 2025 by the authors. Licensee MDPI, Basel, Switzerland. This article is an open access article distributed under the terms and conditions of the Creative Commons Attribution (CC BY) license (https://creativecommons.org/licenses/by/4.0/).
Share and Cite
Wang, Y.; Dai, S.; Guo, J.; Wang, Y.; Tang, B. A Facile Synthesis Strategy for N-Doped Graphene Quantum Dots Electrode Materials: Electrochemical Behaviors and Universal Energy Storage Mechanism. Materials 2025, 18, 5373. https://doi.org/10.3390/ma18235373
Wang Y, Dai S, Guo J, Wang Y, Tang B. A Facile Synthesis Strategy for N-Doped Graphene Quantum Dots Electrode Materials: Electrochemical Behaviors and Universal Energy Storage Mechanism. Materials. 2025; 18(23):5373. https://doi.org/10.3390/ma18235373
Chicago/Turabian StyleWang, Yongbo, Shichao Dai, Jinghe Guo, Yanxiang Wang, and Bo Tang. 2025. "A Facile Synthesis Strategy for N-Doped Graphene Quantum Dots Electrode Materials: Electrochemical Behaviors and Universal Energy Storage Mechanism" Materials 18, no. 23: 5373. https://doi.org/10.3390/ma18235373
APA StyleWang, Y., Dai, S., Guo, J., Wang, Y., & Tang, B. (2025). A Facile Synthesis Strategy for N-Doped Graphene Quantum Dots Electrode Materials: Electrochemical Behaviors and Universal Energy Storage Mechanism. Materials, 18(23), 5373. https://doi.org/10.3390/ma18235373

