Flexural Strength Enhancement of Lightweight Concrete Beams Using Carbon Fiber and Epoxy Resin
Abstract
1. Introduction
2. Materials and Methods
2.1. Materials
2.2. Specimens’ Preparation
2.3. Flexural Strength Test
- —maximum recorded force in N;
- —distance between supports in mm;
- —sample width in mm;
- —sample thickness in mm.
- —distance between supports in mm;
- —deflection at a given point in mm;
- —sample thickness in mm.
2.4. Microscopic Observations
3. Results
3.1. Preliminary Experiment
3.2. Fundamental Experiment
4. Discussion
5. Conclusions
Author Contributions
Funding
Institutional Review Board Statement
Informed Consent Statement
Data Availability Statement
Acknowledgments
Conflicts of Interest
References
- Mechanical Properties of Self-Compacting Concrete: State-of-the-Art Report of the RILEM Technical Committee 228-MPS on Mechanical Properties of Self-Compacting Concrete; Khayat, K.H., De Schutter, G., Eds.; RILEM State-of-the-Art Reports; Springer International Publishing: Cham, Switzerland, 2014; Volume 14, ISBN 978-3-319-03244-3. [Google Scholar]
- Li, N.; Jin, Z.; Long, G.; Chen, L.; Fu, Q.; Yu, Y.; Zhang, X.; Xiong, C. Impact Resistance of Steel Fiber-Reinforced Self-Compacting Concrete (SCC) at High Strain Rates. J. Build. Eng. 2021, 38, 102212. [Google Scholar] [CrossRef]
- Saif, Y.; Mallek, J.; Hadrich, B.; Daoud, A. Mechanical Behavior of Self-Compacting Concrete Incorporating Rubber and Recycled Aggregates for Non-Structural Applications: Optimization Using Response Surface Methodology. Buildings 2025, 15, 2736. [Google Scholar] [CrossRef]
- Zhang, M.; Chen, J.; Liu, J.; Yin, H.; Ma, Y.; Yang, F. Fracture Behavior of Steel-Fiber-Reinforced High-Strength Self-Compacting Concrete: A Digital Image Correlation Analysis. Materials 2025, 18, 3631. [Google Scholar] [CrossRef]
- La Scala, A.; Carnimeo, L. Effective Comparison of Thermo-Mechanical Characteristics of Self-Compacting Concretes Through Machine Learning-Based Predictions. Fire 2025, 8, 289. [Google Scholar] [CrossRef]
- Stel’makh, S.A.; Shcherban’, E.M.; Beskopylny, A.; Mailyan, L.R.; Meskhi, B.; Varavka, V. Quantitative and Qualitative Aspects of Composite Action of Concrete and Dispersion-Reinforcing Fiber. Polymers 2022, 14, 682. [Google Scholar] [CrossRef]
- Mailyan, L.R.; Beskopylny, A.N.; Meskhi, B.; Shilov, A.V.; Stel’makh, S.A.; Shcherban’, E.M.; Smolyanichenko, A.S.; El’shaeva, D. Improving the Structural Characteristics of Heavy Concrete by Combined Disperse Reinforcement. Appl. Sci. 2021, 11, 6031. [Google Scholar] [CrossRef]
- Nikolenko, S.D.; Sazonova, S.A.; Asminin, V.F.; Mozgovoj, N.V.; Zvyagina, L.N. Behavior of Dispersion-Reinforced Concrete under Dynamic Action. J. Phys. Conf. Ser. 2022, 2373, 022006. [Google Scholar] [CrossRef]
- Kaddo, M.; Sinotova, M. Study of Dry Mixes with Aluminate Cements for Self-Leveling Floors. IOP Conf. Ser. Mater. Sci. Eng. 2018, 365, 032035. [Google Scholar] [CrossRef]
- Kalkan, Ş.O.; Gündüz, L. An Analysis of the Effectiveness of New Generation Self-Levelling Lightweight Composite Screed for Underfloor Heating Systems. J. Sustain. Constr. Mater. Technol. 2023, 8, 168–179. [Google Scholar] [CrossRef]
- Zong, M.; Ma, H.; Yan, X.; Zhu, P.; Wang, W.; Liu, H.; Dong, F.; Hua, M. Advances in the Application and Mechanism of Admixtures and Industrial By-Products in Cement-Based Self-Leveling Mortar: A Comprehensive Review. Materials 2025, 18, 1709. [Google Scholar] [CrossRef]
- Lu, J.-X. Recent Advances in High Strength Lightweight Concrete: From Development Strategies to Practical Applications. Constr. Build. Mater. 2023, 400, 132905. [Google Scholar] [CrossRef]
- Costa, H.; Carmo, R.N.F.; Júlio, E. Influence of Lightweight Aggregates Concrete on the Bond Strength of Concrete-to-Concrete Interfaces. Constr. Build. Mater. 2018, 180, 519–530. [Google Scholar] [CrossRef]
- Abhilasha, K.R.; Lakhani, R.; Mishra, R.K.; Khan, S. Utilization of Solid Waste in the Production of Autoclaved Aerated Concrete and Their Effects on Its Physio-Mechanical and Microstructural Properties: Alternative Sources, Characterization, and Performance Insights. Int. J. Concr. Struct. Mater. 2023, 17, 6. [Google Scholar] [CrossRef]
- Raj, A.; Borsaikia, A.C.; Dixit, U.S. Evaluation of Mechanical Properties of Autoclaved Aerated Concrete (AAC) Block and Its Masonry. J. Inst. Eng. India Ser. A 2020, 101, 315–325. [Google Scholar] [CrossRef]
- Sidhu, A.S.; Siddique, R. Review on Effect of Curing Methods on High Strength Concrete. Constr. Build. Mater. 2024, 438, 136858. [Google Scholar] [CrossRef]
- Paulík, P. The Effect of Curing Conditions (In Situ vs. Laboratory) on Compressive Strength Development of High Strength Concrete. Procedia Eng. 2013, 65, 113–119. [Google Scholar] [CrossRef]
- Pereira Prado, L.; Carrazedo, R.; Khalil El Debs, M. Interface Strength of High-Strength Concrete to Ultra-High-Performance Concrete. Eng. Struct. 2022, 252, 113591. [Google Scholar] [CrossRef]
- Naganna, S.R.; Ibrahim, H.A.; Yap, S.P.; Tan, C.G.; Mo, K.H.; El-Shafie, A. Insights into the Multifaceted Applications of Architectural Concrete: A State-of-the-Art Review. Arab. J. Sci. Eng. 2021, 46, 4213–4223. [Google Scholar] [CrossRef]
- Ghalehnovi, M.; Asadi Shamsabadi, E.; Khodabakhshian, A.; Sourmeh, F.; De Brito, J. Self-Compacting Architectural Concrete Production Using Red Mud. Constr. Build. Mater. 2019, 226, 418–427. [Google Scholar] [CrossRef]
- Serralheiro, M.I.; De Brito, J.; Silva, A. Methodology for Service Life Prediction of Architectural Concrete Facades. Constr. Build. Mater. 2017, 133, 261–274. [Google Scholar] [CrossRef]
- Chang, H.; Wang, P.; Jin, Z.; Li, G.; Feng, P.; Ye, S.; Liu, J. Durability and Aesthetics of Architectural Concrete under Chloride Attack or Carbonation. Materials 2020, 13, 839. [Google Scholar] [CrossRef] [PubMed]
- Barnat-Hunek, D.; Szafraniec, M. Influence of Biodegradable Release Oils on the Physical and Mechanical Properties of Light-Colored Architectural Concrete. Materials 2021, 14, 4630. [Google Scholar] [CrossRef]
- Tamayo-García, B.; Albareda-Valls, A.; Rivera-Rogel, A.; Cornado, C. Mechanical Characterization of a New Architectural Concrete with Glass-Recycled Aggregate. Buildings 2019, 9, 145. [Google Scholar] [CrossRef]
- Subedi, A.; Kim, H.; Lee, S.-J.; Lee, M.-S. Assessing Abrasion Resistance in Concrete Pavements: A Review. Appl. Sci. 2025, 15, 2101. [Google Scholar] [CrossRef]
- Plati, C. Sustainability Factors in Pavement Materials, Design, and Preservation Strategies: A Literature Review. Constr. Build. Mater. 2019, 211, 539–555. [Google Scholar] [CrossRef]
- Yang, S.; Yao, X.; Li, J.; Wang, X.; Zhang, C.; Wu, S.; Wang, K.; Wang, W. Preparation and Properties of Ready-to-Use Low-Density Foamed Concrete Derived from Industrial Solid Wastes. Constr. Build. Mater. 2021, 287, 122946. [Google Scholar] [CrossRef]
- Cornaro, C.; Buratti, C. Energy Efficiency in Buildings and Innovative Materials for Building Construction. Appl. Sci. 2020, 10, 2866. [Google Scholar] [CrossRef]
- Guo, J.; Huang, M.; Huang, S.; Wang, S. An Experimental Study on Mechanical and Thermal Insulation Properties of Rubberized Concrete Including Its Microstructure. Appl. Sci. 2019, 9, 2943. [Google Scholar] [CrossRef]
- Celik, S.; Family, R.; Menguc, M.P. Analysis of Perlite and Pumice Based Building Insulation Materials. J. Build. Eng. 2016, 6, 105–111. [Google Scholar] [CrossRef]
- Song, Q.; Bao, J.; Xue, S.; Zhang, P.; Han, X. Study on the Recycling of Ceramic Polishing Slag in Autoclaved Aerated Foam Concrete by Response Surface Methodology. J. Build. Eng. 2022, 56, 104827. [Google Scholar] [CrossRef]
- Chica, L.; Alzate, A. Cellular Concrete Review: New Trends for Application in Construction. Constr. Build. Mater. 2019, 200, 637–647. [Google Scholar] [CrossRef]
- Rudziewicz, M.; Maroszek, M.; Góra, M.; Dziura, P.; Mróz, K.; Hager, I.; Hebda, M. Feasibility Review of Aerated Materials Application in 3D Concrete Printing. Materials 2023, 16, 6032. [Google Scholar] [CrossRef] [PubMed]
- Bukhari, S.A.; Patil, D.; Gogate, N.G.; Minde, P.R. Utilization of Waste Materials in Non-Autoclaved Aerated Concrete Blocks: State of Art Review. Mater. Today Proc. 2023, S2214785323008982. [Google Scholar] [CrossRef]
- Thienel, K.-C.; Haller, T.; Beuntner, N. Lightweight Concrete—From Basics to Innovations. Materials 2020, 13, 1120. [Google Scholar] [CrossRef]
- Narayanan, N.; Ramamurthy, K. Structure and Properties of Aerated Concrete: A Review. Cem. Concr. Compos. 2000, 22, 321–329. [Google Scholar] [CrossRef]
- Cavalline, T.L.; Castrodale, R.W.; Freeman, C.; Wall, J. Impact of Lightweight Aggregate on Concrete Thermal Properties. ACI Mater. J. 2017, 114, 51701003. [Google Scholar] [CrossRef]
- Roberz, F.; Loonen, R.C.G.M.; Hoes, P.; Hensen, J.L.M. Ultra-Lightweight Concrete: Energy and Comfort Performance Evaluation in Relation to Buildings with Low and High Thermal Mass. Energy Build. 2017, 138, 432–442. [Google Scholar] [CrossRef]
- Samson, G.; Phelipot-Mardelé, A.; Lanos, C. A Review of Thermomechanical Properties of Lightweight Concrete. Mag. Concr. Res. 2017, 69, 201–216. [Google Scholar] [CrossRef]
- Fares, H.; Toutanji, H.; Pierce, K.; Noumowé, A. Lightweight Self-Consolidating Concrete Exposed to Elevated Temperatures. J. Mater. Civ. Eng. 2015, 27, 04015039. [Google Scholar] [CrossRef]
- Liu, X.; Chia, K.S.; Zhang, M.-H. Development of Lightweight Concrete with High Resistance to Water and Chloride-Ion Penetration. Cem. Concr. Compos. 2010, 32, 757–766. [Google Scholar] [CrossRef]
- Lotfy, A.; Hossain, K.M.A.; Lachemi, M. Transport and Durability Properties of Self-Consolidating Concrete Using Three Types of Lightweight Aggregates. ACI Mater. J. 2016, 113, 51689112. [Google Scholar] [CrossRef]
- Rashad, A.M. An Overview of Pumice Stone as a Cementitious Material—The Best Manual for Civil Engineer. Silicon 2021, 13, 551–572. [Google Scholar] [CrossRef]
- Ma, Z.; Jiang, L.; Liao, H.; Cheng, F. Research on the Methods for Improving the Compressive Strength of Solid Waste-Based High-Strength Autoclaved Aerated Concrete. Constr. Build. Mater. 2022, 361, 129645. [Google Scholar] [CrossRef]
- Onur Pehlivanlı, Z.; Uzun, İ. Effect of Polypropylene Fiber Length on Mechanical and Thermal Properties of Autoclaved Aerated Concrete. Constr. Build. Mater. 2022, 322, 126506. [Google Scholar] [CrossRef]
- Peng, Y.; Liu, Y.; Zhan, B.; Xu, G. Preparation of Autoclaved Aerated Concrete by Using Graphite Tailings as an Alternative Silica Source. Constr. Build. Mater. 2021, 267, 121792. [Google Scholar] [CrossRef]
- Cai, Q.; Ma, B.; Jiang, J.; Wang, J.; Shao, Z.; Hu, Y.; Qian, B.; Wang, L. Utilization of Waste Red Gypsum in Autoclaved Aerated Concrete Preparation. Constr. Build. Mater. 2021, 291, 123376. [Google Scholar] [CrossRef]
- Liu, H.; Elchalakani, M.; Karrech, A.; Yehia, S.; Yang, B. High Strength Flowable Lightweight Concrete Incorporating Low C3A Cement, Silica Fume, Stalite and Macro-Polyfelin Polymer Fibres. Constr. Build. Mater. 2021, 281, 122410. [Google Scholar] [CrossRef]
- Hosen, M.A.; Shammas, M.I.; Shill, S.K.; Jumaat, M.Z.; Alengaram, U.J.; Ahmmad, R.; Althoey, F.; Islam, A.B.M.S.; Lin, Y. Investigation of Structural Characteristics of Palm Oil Clinker Based High-Strength Lightweight Concrete Comprising Steel Fibers. J. Mater. Res. Technol. 2021, 15, 6736–6746. [Google Scholar] [CrossRef]
- Prakash, R.; Thenmozhi, R.; Raman, S.N.; Subramanian, C.; Divyah, N. Mechanical Characterisation of Sustainable Fibre-Reinforced Lightweight Concrete Incorporating Waste Coconut Shell as Coarse Aggregate and Sisal Fibre. Int. J. Environ. Sci. Technol. 2021, 18, 1579–1590. [Google Scholar] [CrossRef]
- Zeng, Y.; Tang, A. Comparison of Effects of Basalt and Polyacrylonitrile Fibers on Toughness Behaviors of Lightweight Aggregate Concrete. Constr. Build. Mater. 2021, 282, 122572. [Google Scholar] [CrossRef]
- Wang, C.; Yin, S.; Zhao, Y.; Li, Y. Flexural Behavior of Composite Beams with Textile Reinforced Concrete (TRC) Permanent Formwork Considering Interface Characteristics. J. Build. Eng. 2025, 99, 111602. [Google Scholar] [CrossRef]
- Karthikeyan, G.; Margret, A.L.; Vineeth, V.; Harshani, R. Experimental Study on Mechanical Properties of Textile Reinforced Concrete (TRC). E3S Web Conf. 2023, 387, 04002. [Google Scholar] [CrossRef]
- Wu, C.; Pan, Y.; Yan, L. Mechanical Properties and Durability of Textile Reinforced Concrete (TRC)—A Review. Polymers 2023, 15, 3826. [Google Scholar] [CrossRef]
- Nahum, L.; Peled, A.; Gal, E. The Flexural Performance of Structural Concrete Beams Reinforced with Carbon Textile Fabrics. Compos. Struct. 2020, 239, 111917. [Google Scholar] [CrossRef]
- Goliath, K.B.; Cardoso, D.C.; Silva, F.D.A. Flexural Behavior of Carbon-Textile-Reinforced Concrete I-Section Beams. Compos. Struct. 2021, 260, 113540. [Google Scholar] [CrossRef]
- Raoof, S.M.; Bournas, D.A. TRM versus FRP in Flexural Strengthening of RC Beams: Behaviour at High Temperatures. Constr. Build. Mater. 2017, 154, 424–437. [Google Scholar] [CrossRef]
- Raoof, S.M.; Koutas, L.N.; Bournas, D.A. Textile-Reinforced Mortar (TRM) versus Fibre-Reinforced Polymers (FRP) in Flexural Strengthening of RC Beams. Constr. Build. Mater. 2017, 151, 279–291. [Google Scholar] [CrossRef]
- Witkowska-Dobrev, J.; Szlachetka, O.; Francke, B.; Chyliński, F.; Małek, M.; Šadzevičius, R.; Ramukevičius, D.; Frąk, M.; Dzięcioł, J.; Kruszewski, M.; et al. Effect of Different Water-Cement Ratios on the Durability of Prefabricated Concrete Tanks Exposed to Acetic Acid Aggression. J. Build. Eng. 2023, 78, 107712. [Google Scholar] [CrossRef]
- Witkowska-Dobrev, J.; Szlachetka, O.; Dohojda, M.; Wiśniewski, K. Effect of Acetic Acid on Compressive Strength and Geometric Texture of the Surface of C20/25 Class Concrete. Sustainability 2021, 13, 5136. [Google Scholar] [CrossRef]
- Witkowska-Dobrev, J.; Szlachetka, O.; Malarski, M.; Czajkowska, J.; Miturski, M.; Nowak, P.; Dohojda, M. Effect of Sewage on Compressive Strength and Geometric Texture of the Surface of Concrete Elements. Struct. Concr. 2023, 24, 468–484. [Google Scholar] [CrossRef]
- Czajkowska, J.; Malarski, M.; Witkowska-Dobrev, J.; Dohojda, M.; Nowak, P. Mechanical Performance of Concrete Exposed to Sewage—The Influence of Time and pH. Minerals 2021, 11, 544. [Google Scholar] [CrossRef]
- PN-EN 1992-1-1:2024-05; Eurocode 2: Design of Concrete Structures—Part 1-1: General Rules and Rules for Buildings. Polish Committee for Standardization: Warsaw, Poland, 2024.
- Merah, A.; Khenfer, M.M.; Korichi, Y. The Effect of Industrial Coating Type Acrylic and Epoxy Resins on the Durability of Concrete Subjected to Accelerated Carbonation. J. Adhes. Sci. Technol. 2015, 29, 2446–2460. [Google Scholar] [CrossRef]
- Coffetti, D.; Crotti, E.; Gazzaniga, G.; Gottardo, R.; Pastore, T.; Coppola, L. Protection of Concrete Structures: Performance Analysis of Different Commercial Products and Systems. Materials 2021, 14, 3719. [Google Scholar] [CrossRef] [PubMed]
- Markuszewski, D. Detection and Tracking Damage in Composite Structures Elements. Mach. Dyn. Res. 2017, 41, 183–191. [Google Scholar]
- Markuszewski, D. Comparison of Various Types of Damage Symptoms in the Task of Diagnostics Composite Profiles. Diagnostyka 2019, 20, 105–110. [Google Scholar] [CrossRef]
- Wiśniewski, K.; Dohojda, M.; Witkowska-Dobrev, J. Ochrona Betonu Zwykłego Przed Agresywnym Środowiskiem w Budownictwie Rolniczym. Acta Sci. Pol.—Archit. Bud. 2020, 18, 83–93. [Google Scholar] [CrossRef]
- Ajir, K.; Toufigh, V.; Ghaemian, M. Protecting Ordinary Cement Concrete against Acidic and Alkaline Attacks Utilizing Epoxy Resin Coating. Constr. Build. Mater. 2025, 472, 141003. [Google Scholar] [CrossRef]
- Markuszewski, D.; Bielak, M.; Wądołowski, M.; Grzybek, A. Polymer-Carbon Composite Supporting Structure. Adv. Sci. Technol. Res. J. 2022, 16, 244–250. [Google Scholar] [CrossRef] [PubMed]
- Markuszewski, D.; Wądołowski, M.; Krajewski, A. The Influence of Variable Stiffness of the Shape Memory Alloys Carbon Composite Structure on Mechanical Vibration. Materials 2024, 17, 480. [Google Scholar] [CrossRef] [PubMed]
- Gorzym, M.; Markuszewski, D. Laboratory Tests of Rolling Resistance of Different Tread Profiles for the Wheel of Martian Roverr. Adv. Sci. Technol. Res. J. 2024, 18, 280–295. [Google Scholar] [CrossRef]
- Wilczyńska, K.; Markuszewski, D. Experimental Study of the Design of Strength Properties of Polymeric Support Structures. Chem. Rev. 2024, 1, 171–175. [Google Scholar] [CrossRef]
- EN 771-4:2011+A1:2015; Specification for Masonry Units—Part 4: Autoclaved Aerated Concrete Masonry Units. European Committee for Standardization: Brussels, Belgium, 2015.
- ISO 178:2019; Plastics—Determination of Flexural Properties. International Organization for Standardization: Geneva, Switzerland, 2019.
- EN 196-1:2016; (Main) Methods of Testing Cement—Part 1: Determination of Strength. European Committee for Standardization: Brussels, Belgium, 2016.
- Available online: https://www.leica-microsystems.com/ (accessed on 10 November 2025).
- Drobiec, Ł.; Niemiec, R. Strength Parameters of Autoclaved Aerated Concrete. 2023, pp. 1119–1131. Available online: https://www.dnibetonu.com/wp-content/pdfs/2023/Drobiec_Niemiec.pdf (accessed on 10 November 2025).
- Kaminski, M.L.; Fasano, E. Ultimate strength. In Proceedings of the 14th International Ship and Offshore Structures Congress (ISSC), Tokyo, Japan, 2–6 October 2000; Volume 1, pp. 253–322. [Google Scholar]
- Boczkowska, A.; Krzesiński, G. Kompozyty i Techniki Ich Wytwarzania; Oficyna Wydawnicza Politechniki Warszawskiej: Warszawa, Poland, 2016. [Google Scholar]


















| Sample | Material | Measuring [mm] | Unit of Mass [g] |
|---|---|---|---|
| AC1 | aerated concrete, sample without additives | 40 × 40 × 200 | 170 |
| AC2 | aerated concrete, sample impregnated with resin | 40 × 40 × 200 | 182 |
| AC3 | aerated concrete, sample additionally reinforced with carbon fabric | 40 × 40 × 200 | 190 |
| AC4 | aerated concrete, sample without additives | 20 × 20 × 110 | 31 |
| AC5 | aerated concrete, sample impregnated with resin | 20 × 20 × 110 | 36 |
| AC6 | aerated concrete, sample additionally reinforced with carbon fabric | 20 × 20 × 110 | 41 |
| VR1 | volcanic rock, sample without additives | 20 × 20 × 110 | 20 |
| VR2 | volcanic rock, sample impregnated with resin | 20 × 20 × 110 | 26 |
| VR3 | volcanic rock, sample additionally reinforced with carbon fabric | 20 × 20 × 110 | 33 |
| Sample | δ [MPa] | ε [%] | s [mm] | FM [N] |
|---|---|---|---|---|
| AC1 | 1.84 | 84 | 0.7 | 784.8 |
| AC2 | 2.75 | 108 | 0.9 | 1177.2 |
| AC3 | 6.66 | 720 | 6.0 | 2882.9 |
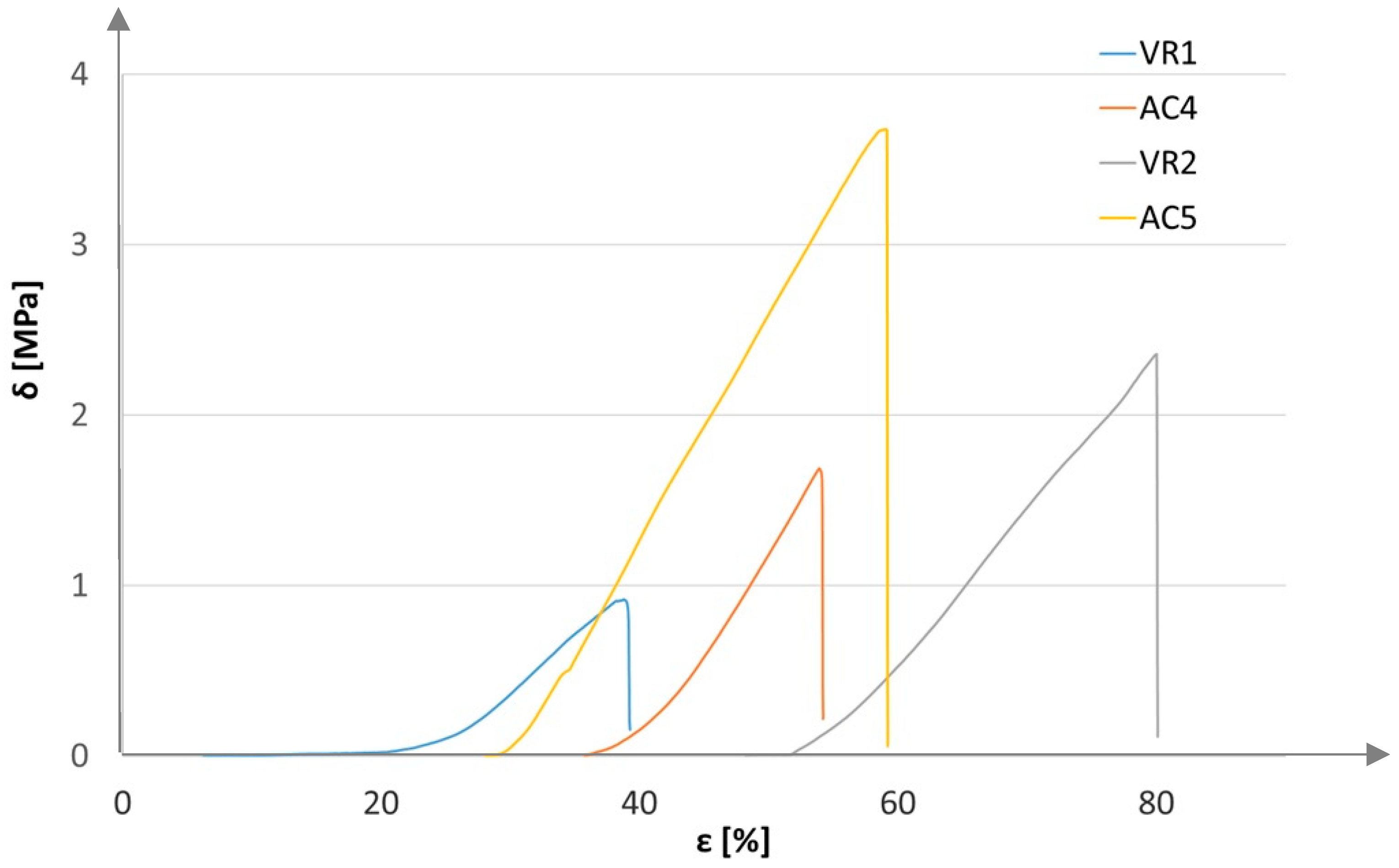
| Sample | δ [MPa] | Increase in Strength [%] | ε [%] | s [mm] | FM [N] |
|---|---|---|---|---|---|
| AC4 | 1.69 | base value | 39 | 0.52 | 112.49 |
| AC5 | 3.68 | 118 | 59 | 0.79 | 245.17 |
| AC6 | 34.47 | 1940 | 749 | 9,99 | 2298.20 |
| VR1 | 0.92 | base value | 54 | 0.72 | 61.24 |
| VR2 | 2.27 | 147 | 80 | 1.07 | 157.10 |
| VR3 | 25.14 | 2633 | 768 | 10.24 | 1675.73 |
Disclaimer/Publisher’s Note: The statements, opinions and data contained in all publications are solely those of the individual author(s) and contributor(s) and not of MDPI and/or the editor(s). MDPI and/or the editor(s) disclaim responsibility for any injury to people or property resulting from any ideas, methods, instructions or products referred to in the content. |
© 2025 by the authors. Licensee MDPI, Basel, Switzerland. This article is an open access article distributed under the terms and conditions of the Creative Commons Attribution (CC BY) license (https://creativecommons.org/licenses/by/4.0/).
Share and Cite
Markuszewski, D.; Ciężkowski, P.; Blumbergs, I. Flexural Strength Enhancement of Lightweight Concrete Beams Using Carbon Fiber and Epoxy Resin. Materials 2025, 18, 5297. https://doi.org/10.3390/ma18235297
Markuszewski D, Ciężkowski P, Blumbergs I. Flexural Strength Enhancement of Lightweight Concrete Beams Using Carbon Fiber and Epoxy Resin. Materials. 2025; 18(23):5297. https://doi.org/10.3390/ma18235297
Chicago/Turabian StyleMarkuszewski, Damian, Paweł Ciężkowski, and Ilmars Blumbergs. 2025. "Flexural Strength Enhancement of Lightweight Concrete Beams Using Carbon Fiber and Epoxy Resin" Materials 18, no. 23: 5297. https://doi.org/10.3390/ma18235297
APA StyleMarkuszewski, D., Ciężkowski, P., & Blumbergs, I. (2025). Flexural Strength Enhancement of Lightweight Concrete Beams Using Carbon Fiber and Epoxy Resin. Materials, 18(23), 5297. https://doi.org/10.3390/ma18235297

