Optimization of In-Situ Growth of Superconducting Al/InAs Hybrid Systems on GaAs for the Development of Quantum Electronic Circuits
Abstract
1. Introduction
2. Material and Methods
- S-1: After the growth of InAs/GaAs, As4 capping was performed in situ in the MBE to protect the semiconductor surface from oxidation, followed by air exposure and then re-insertion into the MBE chamber. The As4 is then decapped at around 350 °C, followed by 50 nm Al growth in the MBE with the protocol described above with pressure around 10−12 mbar.
- S-2: The InAs/GaAs sample was As-capped and exposed to air as in S-1 and then inserted in a sputtering chamber followed by As4 decapping and 50 nm Al growth at room temperature with a background pressure around 10−7 mbar.
- S-3: The InAs/GaAs (without the capping layer) was oxidized by air exposure and then inserted in the sputtering chamber where 50 nm Al was grown as in S-2.
3. Results and Discussions
3.1. Optimization of InAs QW Structures
3.2. Characterization of Al Thin Films and Devices
3.2.1. Structural Characterizations
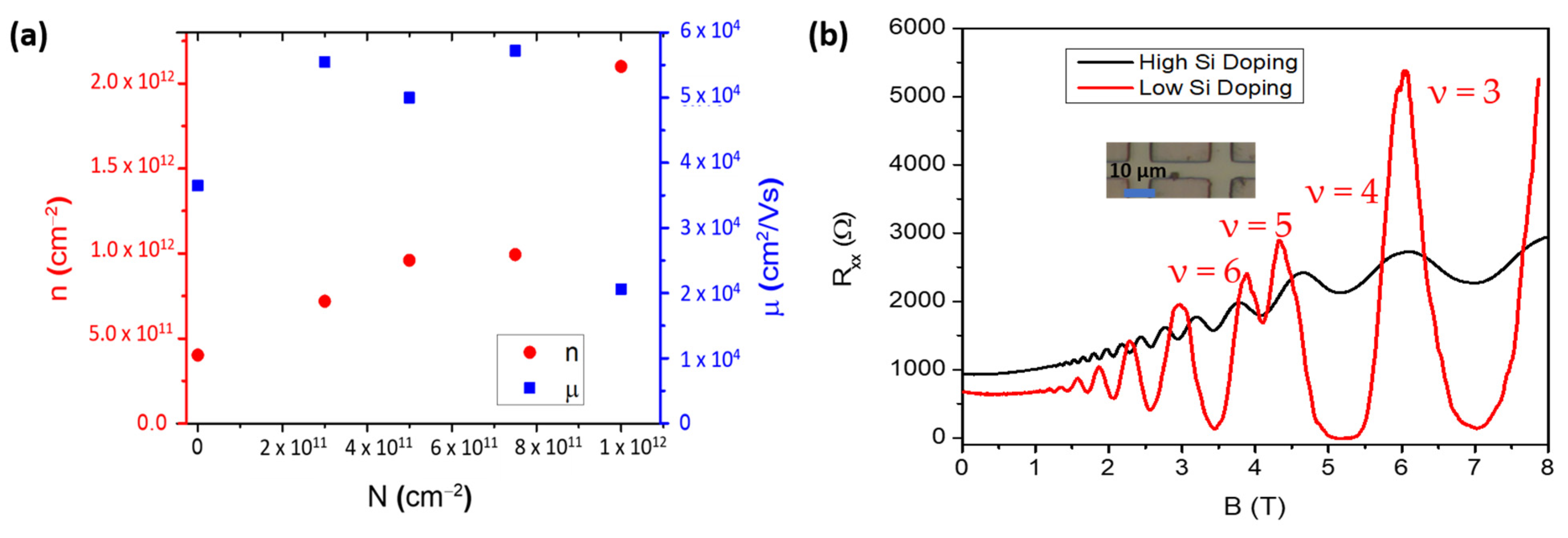
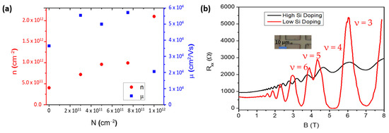
3.2.2. Electrical Characterizations
4. Conclusions
Author Contributions
Funding
Institutional Review Board Statement
Informed Consent Statement
Data Availability Statement
Conflicts of Interest
References
- Aasen, D.; Hell, M.; Mishmash, R.V.; Higginbotham, A.; Danon, J.; Leijnse, M.; Jespersen, T.S.; Folk, J.A.; Marcus, C.M.; Flensberg, K.; et al. Milestones toward Majorana-Based Quantum Computing. Phys. Rev. X 2016, 6, 031016. [Google Scholar] [CrossRef]
- De Lange, G.; van Heck, B.; Bruno, A.; van Woerkom, D.J.; Geresdi, A.; Plissard, S.R.; Bakkers, E.P.A.M.; Akhmerov, A.R.; DiCarlo, L. Realization of Microwave Quantum Circuits Using Hybrid Superconducting-Semiconducting Nanowire Josephson Elements. Phys. Rev. Lett. 2015, 115, 127002. [Google Scholar] [CrossRef] [PubMed]
- Larsen, T.W.; Petersson, K.D.; Kuemmeth, F.; Jespersen, T.S.; Krogstrup, P.; Nygård, J.; Marcus, C.M. Semiconductor-Nanowire-Based Superconducting Qubit. Phys. Rev. Lett. 2015, 115, 127001. [Google Scholar] [CrossRef] [PubMed]
- Leijnse, M.; Flensberg, K. Quantum Information Transfer between Topological and Spin Qubit Systems. Phys. Rev. Lett. 2011, 107, 210502. [Google Scholar] [CrossRef]
- Kjaergaard, M.; Suominen, H.J.; Nowak, M.P.; Akhmerov, A.R.; Shabani, J.; Palmstrøm, C.J.; Nichele, F.; Marcus, C.M. Transparent Semiconductor-Superconductor Interface and Induced Gap in an Epitaxial Heterostructure Josephson Junction. Phys. Rev. Appl. 2017, 7, 034029. [Google Scholar] [CrossRef]
- Beenakker, C.W.J. Universal Limit of Critical-Current Fluctuations in Mesoscopic Josephson Junctions. Phys. Rev. Lett. 1991, 67, 3836–3839. [Google Scholar] [CrossRef]
- Beenakker, C.W.J. Quantum transport in semiconductor-superconductor microjunctions. Phys. Rev. B 1992, 46, 12841–12844. [Google Scholar] [CrossRef]
- Hays, M.; Fatemi, V.; Serniak, K.; Bouman, D.; Diamond, S.; de Lange, G.; Krogstrup, P.; Nygård, J.; Geresdi, A.; Devoret, M.H. Continuous Monitoring of a Trapped Superconducting Spin. Nat. Phys. 2020, 16, 1103–1107. [Google Scholar] [CrossRef]
- Deng, M.T.; Vaitiekėnas, S.; Hansen, E.B.; Danon, J.; Leijnse, M.; Flensberg, K.; Nygård, J.; Krogstrup, P.; Marcus, C.M. Majorana bound state in a coupled quantum-dot hybrid-nanowire system. Science 2016, 354, 1557–1562. [Google Scholar] [CrossRef]
- Lee, J.S.; Shojaei, B.; Pendharkar, M.; McFadden, A.P.; Kim, Y.; Suominen, H.J.; Kjaergaard, M.; Nichele, F.; Zhang, H.; Marcus, C.M.; et al. Transport Studies of Epi-Al/InAs Two-Dimensional Electron Gas Systems for Required Building-Blocks in Topological Superconductor Networks. Nano Lett. 2019, 19, 3083–3090. [Google Scholar] [CrossRef]
- Kitaev, A.Y. Unpaired Majorana fermions in quantum wires. Physics-Uspekhi 2001, 44, 131–136. [Google Scholar] [CrossRef]
- Reeg, C.; Dmytruk, O.; Chevallier, D.; Loss, D.; Klinovaja, J. Zero-Energy Andreev Bound States from Quantum Dots in Proximitized Rashba Nanowires. Phys. Rev. B 2018, 98, 245407. [Google Scholar] [CrossRef]
- Prada, E.; San-Jose, P.; de Moor, M.W.A.; Geresdi, A.; Lee, E.J.H.; Klinovaja, J.; Loss, D.; Nygård, J.; Aguado, R.; Kouwenhoven, L.P. From Andreev to Majorana Bound States in Hybrid Superconductor–Semiconductor Nanowires. Nat. Rev. Phys. 2020, 2, 575–594. [Google Scholar] [CrossRef]
- Rančić, M.J. Exactly Solving the Kitaev Chain and Generating Majorana-Zero-Modes out of Noisy Qubits. Sci. Rep. 2022, 12, 19882. [Google Scholar] [CrossRef] [PubMed]
- Hassler, F.; Akhmerov, A.R.; Beenakker, C.W.J. The Top-Transmon: A Hybrid Superconducting Qubit for Parity-Protected Quantum Computation. New J. Phys. 2011, 13, 095004. [Google Scholar] [CrossRef]
- Sau, J.D.; Tewari, S.; das Sarma, S. Experimental and Materials Considerations for the Topological Superconducting State in Electron- and Hole-Doped Semiconductors: Searching for Non-Abelian Majorana Modes in 1D Nanowires and 2D Heterostructures. Phys. Rev. B Condens. Matter Mater. Phys. 2012, 85, 064512. [Google Scholar] [CrossRef]
- Cole, W.S.; das Sarma, S.; Stanescu, T.D. Effects of Large Induced Superconducting Gap on Semiconductor Majorana Nanowires. Phys. Rev. B Condens. Matter Mater. Phys. 2015, 92, 174511. [Google Scholar] [CrossRef]
- Fornieri, A.; Whiticar, A.M.; Setiawan, F.; Portolés, E.; Drachmann, A.C.C.; Keselman, A.; Gronin, S.; Thomas, C.; Wang, T.; Kallaher, R.; et al. Evidence of Topological Superconductivity in Planar Josephson Junctions. Nature 2019, 569, 89–92. [Google Scholar] [CrossRef]
- Zhang, T.; Lindemann, T.; Gardner, G.C.; Gronin, S.; Wu, T.; Manfra, M.J. Mobility exceeding 100,000 cm2/Vs in modulation-doped shallow InAs quantum wells coupled to epitaxial aluminum. Phys. Rev. Mater. 2023, 7, 056201. [Google Scholar] [CrossRef]
- Nichele, F.; Drachmann, A.C.C.; Whiticar, A.M.; O’Farrell, E.C.T.; Suominen, H.J.; Fornieri, A.; Wang, T.; Gardner, G.C.; Thomas, C.; Hatke, A.T.; et al. Scaling of Majorana Zero-Bias Conductance Peaks. Phys. Rev. Lett. 2017, 119, 136803. [Google Scholar] [CrossRef]
- Tschirky, T.; Mueller, S.; Lehner, C.A.; Fält, S.; Ihn, T.; Ensslin, K.; Wegscheider, W. Scattering Mechanisms of Highest-Mobility InAs/AlxGa1-XSb Quantum Wells. Phys. Rev. B 2017, 95, 115304. [Google Scholar] [CrossRef]
- Hatke, A.T.; Wang, T.; Thomas, C.; Gardner, G.; Manfra, M.J. Mobility in excess of 106 cm2/Vs in InAs quantum wells grown on lattice mismatched InP substrates. Appl. Phys. Lett. 2017, 111, 142106. [Google Scholar] [CrossRef]
- Benali, A.; Rajak, P.; Ciancio, R.; Plaisier, J.R.; Heun, S.; Biasiol, G. Metamorphic InAs/InGaAs QWs with electron mobilities exceeding 7×105 cm2/Vs. J. Cryst. Growth 2022, 593, 126768. [Google Scholar] [CrossRef]
- Lee, J.S.; Shojaei, B.; Pendharkar, M.; Feldman, M.; Mukherjee, K.; Palmstrøm, C.J. Contribution of top barrier materials to high mobility in near-surface InAs quantum wells grown on GaSb(001). Phys. Rev. Mater. 2019, 3, 014603. [Google Scholar] [CrossRef]
- Wickramasinghe, K.S.; Mayer, W.; Yuan, J.; Nguyen, T.; Jiao, L.; Manucharyan, V.; Shabani, J. Transport Properties of near Surface InAs Two-Dimensional Heterostructures. Appl. Phys. Lett. 2018, 113, 262104. [Google Scholar] [CrossRef]
- Suominen, H.J.; Kjaergaard, M.; Hamilton, A.R.; Shabani, J.; Palmstrøm, C.J.; Marcus, C.M.; Nichele, F. Zero-Energy Modes from Coalescing Andreev States in a Two-Dimensional Semiconductor-Superconductor Hybrid Platform. Phys. Rev. Lett. 2017, 119, 176805. [Google Scholar] [CrossRef]
- Gardner, G.C.; Fallahi, S.; Watson, J.D.; Manfra, M.J. Modified MBE hardware and techniques and role of gallium purity for attainment of two dimensional electron gas mobility >35 × 106 cm2/V s in AlGaAs/GaAs quantum wells grown by MBE. J. Cryst. Growth 2016, 441, 71–77. [Google Scholar] [CrossRef]
- Krogstrup, P.; Ziino, N.L.B.; Chang, W.; Albrecht, S.M.; Madsen, M.H.; Johnson, E.; Nygård, J.; Marcus, C.M.; Jespersen, T.S. Epitaxy of Semiconductor-Superconductor Nanowires. Nat. Mater. 2015, 14, 400–406. [Google Scholar] [CrossRef]
- Shabani, J.; Kjaergaard, M.; Suominen, H.J.; Kim, Y.; Nichele, F.; Pakrouski, K.; Stankevic, T.; Lutchyn, R.M.; Krogstrup, P.; Feidenhans’L, R.; et al. Two-Dimensional Epitaxial Superconductor-Semiconductor Heterostructures: A Platform for Topological Superconducting Networks. Phys. Rev. B 2016, 93, 155402. [Google Scholar] [CrossRef]
- Pappas, D.P.; Arnold, C.S. Application of W–Re Thermocouples for in Situ Ultrahigh Vacuum Use over a Wide Temperature Range. Rev. Sci. Instrum. 2005, 76, 016104. [Google Scholar] [CrossRef]
- Tiilikainen, J.; Tilli, J.M.; Bosund, V.; Mattila, M.; Hakkarainen, T.; Sormunen, J.; Lipsanen, H. Accuracy in X-Ray Reflectivity Analysis. J. Phys. D Appl. Phys. 2007, 40, 7497–7501. [Google Scholar] [CrossRef]
- Nečas, D.; Klapetek, P. Gwyddion: An Open-Source Software for SPM Data Analysis. Cent. Eur. J. Phys. 2012, 10, 181–188. [Google Scholar] [CrossRef]
- Rebuffi, L.; Plaisier, J.R.; Abdellatief, M.; Lausi, A.; Scardi, A.P. Mcx: A Synchrotron Radiation Beamline for X-Ray Diffraction Line Profile Analysis. Z. Anorg. Allg. Chem. 2014, 640, 3100–3106. [Google Scholar] [CrossRef]
- Troian, A.; Knutsson, J.V.; McKibbin, S.R.; Yngman, S.; Babadi, A.S.; Wernersson, L.E.; Mikkelsen, A.; Timm, R. InAs-oxide interface composition and stability upon thermal oxidation and high-k atomic layer deposition. AIP Adv. 2018, 8, 125227. [Google Scholar] [CrossRef]
- Nagaiah, P.; Tokranov, V.; Yakimov, M.; Koveshnikov, S.; Oktyabrsky, S.; Veksler, D.; Tsai, W.; Bersuker, G. Mobility and Remote Scattering in Buried InGaAs Quantum Well Channels with High-k Gate Oxide. J. Vac. Sci. Technol. B Nanotechnol. Microelectron. Mater. Process. Meas. Phenom. 2010, 28, C3H5–C3H9. [Google Scholar] [CrossRef]
- Tan, I.H.; Snider, G.L.; Chang, L.D.; Hu, E.L. A Self-Consistent Solution of Schrödinger-Poisson Equations Using a Nonuniform Mesh. J. Appl. Phys. 1990, 68, 4071–4076. [Google Scholar] [CrossRef]
- Capotondi, F.; Biasiol, G.; Vobornik, I.; Sorba, L.; Giazotto, F.; Cavallini, A.; Fraboni, B. Two-dimensional electron gas formation in undoped In0.75Ga0.25As/In0.75Al0.25As quantum wells. J. Vac. Sci. Technol. B 2004, 22, 702–706. [Google Scholar] [CrossRef]
- Lee, S.T.; Lee, I.G.; Jang, H.; Kong, M.; Song, C.; Kim, C.Z.; Jung, S.H.; Choi, Y.; Kim, S.; Eom, S.K.; et al. High Performance InGaAs Channel MOSFETs on Highly Resistive InAlAs Buffer Layers. Solid State Electron. 2021, 176, 107940. [Google Scholar] [CrossRef]
- Umansky, V.; de-Picciotto, R.; Heiblum, M. Extremely High-Mobility Two Dimensional Electron Gas: Evaluation of Scattering Mechanisms. Appl. Phys. Lett. 1997, 71, 683–685. [Google Scholar] [CrossRef]
- Sütő, M.; Prok, T.; Makk, P.; Kirti, M.; Biasiol, G.; Tóvári, E.; Csonka, S. Near-Surface InAs 2DEG on a GaAs Substrate: Characterization and Superconducting Proximity Effect. Phys. Rev. B 2022, 106, 235404. [Google Scholar] [CrossRef]
- Ercolani, D.; Biasiol, G.; Cancellieri, E.; Rosini, M.; Jacoboni, C.; Carillo, F.; Heun, S.; Sorba, L.; Nolting, F. Transport anisotropy in In0.75 Ga0.25 As two-dimensional electron gases induced by indium concentration modulation. Phys. Rev. B 2008, 77, 235307. [Google Scholar] [CrossRef]
- Chang, K.H.; Gilbala, R.; Srolovitz, D.J.; Bhattacharya, P.K.; Mansfield, J.F. Crosshatched Surface Morphology in Strained III-V Semiconductor Films. J. Appl. Phys. 1990, 67, 4093–4098. [Google Scholar] [CrossRef]
- Liu, H.W.; Lin, F.C.; Lin, S.W.; Wu, J.Y.; Chou, B.T.; Lai, K.J.; Lin, S.D.; Huang, J.S. Single-Crystalline Aluminum Nanostructures on a Semiconducting GaAs Substrate for Ultraviolet to Near-Infrared Plasmonics. ACS Nano 2015, 9, 3875–3886. [Google Scholar] [CrossRef] [PubMed]
- Tsai, Y.H.; Wu, Y.H.; Ting, Y.Y.; Wu, C.C.; Wu, J.S.; Lin, S.D. Nano- to Atomic-Scale Epitaxial Aluminum Films on Si Substrate Grown by Molecular Beam Epitaxy. AIP Adv. 2019, 9, 105001. [Google Scholar] [CrossRef]
- Lin, S.W.; Wu, J.Y.; Lin, S.D.; Lo, M.C.; Lin, M.H.; Liang, C.T. Characterization of Single-Crystalline Aluminum Thin Film on (100) GaAs Substrate. Jpn. J. Appl. Phys. 2013, 52, 045801. [Google Scholar] [CrossRef]
- Tournet, J. University of Waterloo, Waterloo, Canada. Growth and Characterization of Epitaxial Al Layers on GaAs and Si Substrates for Superconducting CPW Resonators in Scalable Quantum Computing Systems. 2015. Available online: https://hdl.handle.net/10012/9550 (accessed on 12 January 2025).
- Tournet, J.; Gosselink, D.; Miao, G.X.; Jaikissoon, M.; Langenberg, D.; McConkey, T.G.; Mariantoni, M.; Wasilewski, Z.R. Growth and Characterization of Epitaxial Aluminum Layers on Gallium-Arsenide Substrates for Superconducting Quantum Bits. Supercond. Sci. Technol. 2016, 29, 064004. [Google Scholar] [CrossRef]
- Lovygin, M.V.; Borgardt, N.I.; Kazakov, I.P.; Seibt, M. Electron Microscopy of an Aluminum Layer Grown on the Vicinal Surface of a Gallium Arsenide Substrate. Semiconductors 2015, 49, 337–344. [Google Scholar] [CrossRef]
- Wang, T.; Thomas, C.; Diaz, R.E.; Gronin, S.; Passarello, D.; Gardner, G.C.; Capano, M.A.; Manfra, M.J. The Dependence of Aluminum Lattice Orientation on Semiconductor Lattice Parameter in Planar InAs/Al Hybrid Heterostructures. J. Cryst. Growth 2020, 535, 125570. [Google Scholar] [CrossRef]
- Fan, Y.T.; Lo, M.C.; Wu, C.C.; Chen, P.Y.; Wu, J.S.; Liang, C.T.; Lin, S.D. Atomic-Scale Epitaxial Aluminum Film on GaAs Substrate. AIP Adv. 2017, 7, 075213. [Google Scholar] [CrossRef]
- Lin, S.W.; Wu, Y.H.; Chang, L.; Liang, C.T.; Lin, S.D. Pure Electron-Electron Dephasing in Percolative Aluminum Ultrathin Film Grown by Molecular Beam Epitaxy. Nanoscale Res. Lett. 2015, 10, 71. [Google Scholar] [CrossRef]
- Gubin, A.I.; Il’in, K.S.; Vitusevich, S.A.; Siegel, M.; Klein, N. Dependence of Magnetic Penetration Depth on the Thickness of Superconducting Nb Thin Films. Phys. Rev. B Condens. Matter Mater. Phys. 2005, 72, 064503. [Google Scholar] [CrossRef]
- Pearl, J. Current Distribution in Superconducting Films Carrying Quantized Fluxoids. Appl. Phys. Lett. 1964, 5, 65–66. [Google Scholar] [CrossRef]









| Al Layer Thickness | ρ4K (Ω·m) | ρ300K (Ω·m) | RRR |
|---|---|---|---|
| 10 nm on InAs/GaAs | 6.95 × 10−9 | 2.22 × 10−8 | 3.19 |
| 50 nm on InAs/GaAs | 2.38 × 10−9 | 3.05 × 10−8 | 12.8 |
| 50 nm on GaAs | 3.14 × 10−9 | 2.21 × 10−8 | 7.03 |
| S-1 (50 nm) | 1.28 × 10−9 | 3.11 × 10−8 | 24.26 |
| S-2 (50 nm, Sputtering) | 3.76 × 10−8 | 1.24 × 10−7 | 3.29 |
| S-3 (50 nm, Sputtering) | 5.44 × 10−8 | 1.33 × 10−7 | 2.44 |
| 10 nm on GaAs (MBE) [50] | ~4 × 10−9 | ~1 × 10−8 | 2.5 |
| 60 nm on GaAs (MBE) [45] | 1.46 × 10−9 | 2.97 × 10−8 | 20.3 |
Disclaimer/Publisher’s Note: The statements, opinions and data contained in all publications are solely those of the individual author(s) and contributor(s) and not of MDPI and/or the editor(s). MDPI and/or the editor(s) disclaim responsibility for any injury to people or property resulting from any ideas, methods, instructions or products referred to in the content. |
© 2025 by the authors. Licensee MDPI, Basel, Switzerland. This article is an open access article distributed under the terms and conditions of the Creative Commons Attribution (CC BY) license (https://creativecommons.org/licenses/by/4.0/).
Share and Cite
Kirti, M.; Sütő, M.; Tóvári, E.; Makk, P.; Prok, T.; Csonka, S.; Banerjee, P.; Rajak, P.; Ciancio, R.; Plaisier, J.R.; et al. Optimization of In-Situ Growth of Superconducting Al/InAs Hybrid Systems on GaAs for the Development of Quantum Electronic Circuits. Materials 2025, 18, 385. https://doi.org/10.3390/ma18020385
Kirti M, Sütő M, Tóvári E, Makk P, Prok T, Csonka S, Banerjee P, Rajak P, Ciancio R, Plaisier JR, et al. Optimization of In-Situ Growth of Superconducting Al/InAs Hybrid Systems on GaAs for the Development of Quantum Electronic Circuits. Materials. 2025; 18(2):385. https://doi.org/10.3390/ma18020385
Chicago/Turabian StyleKirti, Magdhi, Máté Sütő, Endre Tóvári, Péter Makk, Tamás Prok, Szabolcs Csonka, Pritam Banerjee, Piu Rajak, Regina Ciancio, Jasper R. Plaisier, and et al. 2025. "Optimization of In-Situ Growth of Superconducting Al/InAs Hybrid Systems on GaAs for the Development of Quantum Electronic Circuits" Materials 18, no. 2: 385. https://doi.org/10.3390/ma18020385
APA StyleKirti, M., Sütő, M., Tóvári, E., Makk, P., Prok, T., Csonka, S., Banerjee, P., Rajak, P., Ciancio, R., Plaisier, J. R., Parisse, P., & Biasiol, G. (2025). Optimization of In-Situ Growth of Superconducting Al/InAs Hybrid Systems on GaAs for the Development of Quantum Electronic Circuits. Materials, 18(2), 385. https://doi.org/10.3390/ma18020385

